Wild Watermelon-Extracted Juice Ingestion Reduces Peripheral Arterial Stiffness with an Increase in Nitric Oxide Production: A Randomized Crossover Pilot Study
Abstract
1. Introduction
2. Materials and Methods
2.1. Study Participants
2.2. Study Design
2.3. Preparation of Wild Watermelon-Extracted Juice
2.4. Measurements of Arterial Stiffness, Blood Pressures, and Heart Rate
2.5. Measurements of Hemodynamics in Carotid, Brachial, and Posterior Tibial Arteries
2.6. NOx Levels in Plsama
2.7. Glucose Levels in Plsama
2.8. Estradiol Levels in Serum
2.9. Metabolic Parameters in Serum
2.10. Statistical Analysis
3. Results
3.1. SBP, DBP, baPWV, cfPWV, faPWV, and HR
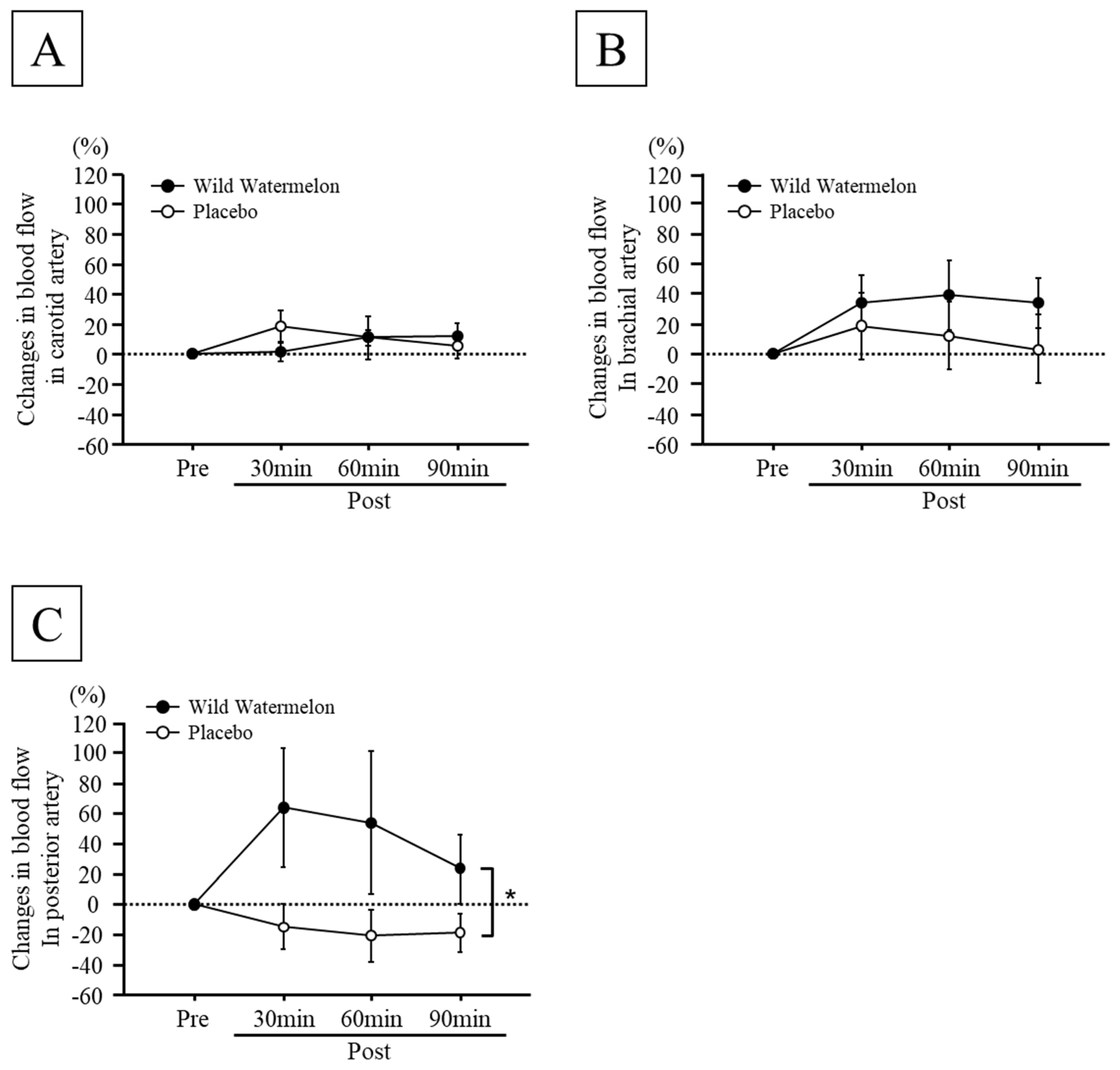
3.2. Blood Flows in Carotid, Brachial, and Posterior Tibial Arteries
3.3. Plasma NOx Levels
3.4. Serum Metabolic Parameters
4. Discussion
5. Conclusions
Author Contributions
Funding
Institutional Review Board Statement
Informed Consent Statement
Data Availability Statement
Acknowledgments
Conflicts of Interest
References
- Safar, M.E.; London, G.M. Therapeutic studies and arterial stiffness in hypertension: Recommendations of the European Society of Hypertension. The Clinical Committee of Arterial Structure and Function. Working Group on Vascular Structure and Function of the European Society of Hypertension. J. Hypertens. 2000, 18, 1527–1535. [Google Scholar] [PubMed]
- Arnett, D.K.; Evans, G.W.; Riley, W.A. Arterial stiffness: A new cardiovascular risk factor? Am. J. Epidemiol. 1994, 140, 669–682. [Google Scholar] [CrossRef] [PubMed]
- Sutton-Tyrrell, K.; Najjar, S.S.; Boudreau, R.M.; Venkitachalam, L.; Kupelian, V.; Simonsick, E.M.; Havlik, R.; Lakatta, E.G.; Spurgeon, H.; Kritchevsky, S.; et al. Elevated aortic pulse wave velocity, a marker of arterial stiffness, predicts cardiovascular events in well-functioning older adults. Circulation 2005, 111, 3384–3390. [Google Scholar] [CrossRef] [PubMed]
- Moncada, S.; Higgs, E.A. Nitric oxide and the vascular endothelium. Handb. Exp. Pharmacol. 2006, 176 Pt 1, 213–254. [Google Scholar]
- Napoli, C.; Ignarro, L.J. Nitric oxide and atherosclerosis. Nitric Oxide 2001, 5, 88–97. [Google Scholar] [CrossRef]
- Bondonno, C.P.; Croft, K.D.; Hodgson, J.M. Dietary Nitrate, Nitric Oxide, and Cardiovascular Health. Crit. Rev. Food. Sci. Nutr. 2016, 56, 2036–2052. [Google Scholar] [CrossRef]
- Wong, A.; Alvarez-Alvarado, S.; Jaime, S.J.; Kinsey, A.W.; Spicer, M.T.; Madzima, T.A.; Figueroa, A. Combined whole-body vibration training and l-citrulline supplementation improves pressure wave reflection in obese postmenopausal women. Appl. Physiol. Nutr. Metab. 2016, 41, 292–297. [Google Scholar] [CrossRef]
- Seals, D.R.; Nagy, E.E.; Moreau, K.L. Aerobic exercise training and vascular function with ageing in healthy men and women. J. Physiol. 2019, 597, 4901–4914. [Google Scholar] [CrossRef]
- Fragkos, K.C.; Forbes, A. Was citrulline first a laxative substance? The truth about modern citrulline and its isolation. Nihon Ishigaku Zasshi 2011, 57, 275–292. [Google Scholar]
- Hanada, A.; Morimoto, R.; Horio, Y.; Shichiri, M.; Nakashima, A.; Ogawa, T.; Suzuki, K.; Sumitani, H.; Ogata, T.; Isegawa, Y. Influenza virus entry and replication inhibited by 8-prenylnaringenin from Citrullus lanatus var. citroides (wild watermelon). Food Sci. Nutr. 2022, 10, 926–935. [Google Scholar] [CrossRef]
- Kawasaki, S.; Miyake, C.; Kohchi, T.; Fujii, S.; Uchida, M.; Yokota, A. Responses of wild watermelon to drought stress: Accumulation of an ArgE homologue and citrulline in leaves during water deficits. Plant. Cell Physiol. 2000, 41, 864–873. [Google Scholar] [CrossRef] [PubMed]
- Morita, M.; Sakurada, M.; Watanabe, F.; Yamasaki, T.; Doi, H.; Ezaki, H.; Morishita, K.; Miyakex, T. Effects of Oral L-Citrulline Supplementation on Lipoprotein Oxidation and Endothelial Dysfunction in Humans with Vasospastic Angina. Immunol. Endocr. Metab. Agents. Med. Chem. 2013, 13, 214–220. [Google Scholar] [CrossRef] [PubMed]
- Ochiai, M.; Hayashi, T.; Morita, M.; Ina, K.; Maeda, M.; Watanabe, F.; Morishita, K. Short-term effects of L-citrulline supplementation on arterial stiffness in middle-aged men. Int. J. Cardiol. 2012, 155, 257–261. [Google Scholar] [CrossRef] [PubMed]
- Morita, M.; Hayashi, T.; Ochiai, M.; Maeda, M.; Yamaguchi, T.; Ina, K.; Kuzuya, M. Oral supplementation with a combination of L-citrulline and L-arginine rapidly increases plasma L-arginine concentration and enhances NO bioavailability. Biochem. Biophys. Res. Commun. 2014, 454, 53–57. [Google Scholar] [CrossRef]
- Bailey, S.J.; Blackwell, J.R.; Williams, E.; Vanhatalo, A.; Wylie, L.J.; Winyard, P.G.; Jones, A.M. Two weeks of watermelon juice supplementation improves nitric oxide bioavailability but not endurance exercise performance in humans. Nitric Oxide 2016, 59, 10–20. [Google Scholar] [CrossRef]
- Díaz, A.; Galli, C.; Tringler, M.; Ramírez, A.; Fischer, E.I.C. Reference values of pulse wave velocity in healthy people from an urban and rural argentinean population. Int. J. Hypertens. 2014, 2014, 653239. [Google Scholar] [CrossRef]
- Yamato, Y.; Hasegawa, N.; Fujie, S.; Ogoh, S.; Iemitsu, M. Acute effect of stretching one leg on regional arterial stiffness in young men. Eur. J. Appl. Physiol. 2017, 117, 1227–1232. [Google Scholar] [CrossRef]
- Yamato, Y.; Higaki, Y.; Fujie, S.; Hasegawa, N.; Horii, N.; Aoyama, H.; Yamashina, Y.; Ogoh, S.; Iemitsu, M. Acute effect of passive one-legged intermittent static stretching on regional blood flow in you.ng men. Eur. J. Appl. Physiol. 2021, 121, 331–337. [Google Scholar] [CrossRef]
- Del Bo’, C.; Deon, V.; Campolo, J.; Lanti, C.; Parolini, M.; Porrini, M.; Klimis-Zacas, D.; Riso, P. A serving of blueberry (V. corymbosum) acutely improves peripheral arterial dysfunction in young smokers and non-smokers: Two randomized, controlled, crossover pilot studies. Food Funct. 2017, 8, 4108–4117. [Google Scholar] [CrossRef]
- Serdar, C.C.; Cihan, M.; Yücel, D.; Serdar, M.A. Sample size, power and effect size revisited: Simplified and practical approaches in pre-clinical, clinical and laboratory studies. Biochem. Med. 2021, 31, 010502. [Google Scholar] [CrossRef]
- Umar, K.J.; Hassan, L.G.; Usman, H.; Wasagu, R.S. Nutritional composition of the seeds of wild melon (Citrullus ecirrhosus). Pak. J. Biol. Sci. 2013, 16, 536–540. [Google Scholar] [CrossRef] [PubMed][Green Version]
- Akashi, K.; Nishimura, N.; Ishida, Y.; Yokota, A. Potent hydroxyl radical-scavenging activity of drought-induced type-2 metallothionein in wild watermelon. Biochem. Biophys. Res. Commun. 2004, 323, 72–78. [Google Scholar] [CrossRef] [PubMed]
- Takahara, K.; Akashi, K.; Yokota, A. Purification and characterization of glutamate N-acetyltransferase involved in citrulline accumulation in wild watermelon. FEBS J. 2005, 272, 5353–5364. [Google Scholar] [CrossRef] [PubMed]
- Yokota, A.; Kawasaki, S.; Iwano, M.; Nakamura, C.; Miyake, C.; Akashi, K. Citrulline and DRIP-1 protein (ArgE homologue) in drought tolerance of wild watermelon. Ann. Bot. 2002, 89, 825–832. [Google Scholar] [CrossRef]
- Akashi, K.; Miyake, C.; Yokota, A. Citrulline, a novel compatible solute in drought-tolerant wild watermelon leaves, is an efficient hydroxyl radical scavenger. FEBS Lett. 2001, 508, 438–442. [Google Scholar] [CrossRef]
- Mori, M. Regulation of nitric oxide synthesis and apoptosis by arginase and arginine recycling. J. Nutr. 2007, 137, 1616S–1620S. [Google Scholar] [CrossRef]
- Theodorou, A.A.; Zinelis, P.T.; Malliou, V.J.; Chatzinikolaou, P.N.; Margaritelis, N.V.; Mandalidis, D.; Geladas, N.D.; Paschalis, V. Acute L-Citrulline Supplementation Increases Nitric Oxide Bioavailability but Not Inspiratory Muscle Oxygenation and Respiratory Performance. Nutrients 2021, 13, 3311. [Google Scholar] [CrossRef]
- Rogers, J.M.; Gills, J.; Gray, M. Acute effects of Nitrosigine® and citrulline malate on vasodilation in young adults. J. Int. Soc. Sports Nutr. 2020, 17, 12. [Google Scholar] [CrossRef]
- Treggiari, D.; Dalbeni, A.; Meneguzzi, A.; Delva, P.; Fava, C.; Molesini, B.; Pandolfini, T.; Minuz, P. Lycopene inhibits endothelial cells migration induced by vascular endothelial growth factor A increasing nitric oxide bioavailability. J. Funct. Foods 2018, 42, 312–318. [Google Scholar] [CrossRef]
- Durante, W. The Emerging Role of l-Glutamine in Cardiovascular Health and Disease. Nutrients 2019, 11, 2092. [Google Scholar] [CrossRef]
- Hou, E.; Sun, N.; Zhang, F.; Zhao, C.; Usa, K.; Liang, M.; Tian, Z. Malate and Aspartate Increase L-Arginine and Nitric Oxide and Attenuate Hypertension. Cell Rep. 2017, 19, 1631–1639. [Google Scholar] [CrossRef] [PubMed]
- Yamagata, K.; Tanaka, N.; Matsufuji, H.; Chino, M. β-carotene reverses the IL-1β-mediated reduction in paraoxonase-1 expression via induction of the CaMKKII pathway in human endothelial cells. Microvasc. Res. 2012, 84, 297–305. [Google Scholar] [CrossRef]
- McKinley-Barnard, S.; Andre, T.; Morita, M.; Willoughby, D.S. Combined L-citrulline and glutathione supplementation increases the concentration of markers indicative of nitric oxide synthesis. J. Int. Soc. Sports Nutr. 2015, 12, 27. [Google Scholar] [CrossRef] [PubMed]
- MacDonald, E.A.; Rose, R.A.; Quinn, T.A. Neurohumoral control of sinoatrial node activity and heart rate: Insight from experimental models and findings from humans. Front. Physiol. 2020, 11, 170. [Google Scholar] [CrossRef] [PubMed]
- Mangoni, M.E.; Nargeot, J. Genesis and regulation of the heart automaticity. Physiol. Rev. 2008, 88, 919–982. [Google Scholar] [CrossRef]
- Salvi, P.; Bellasi, A.; Di Iorio, B. Does it make sense to measure only the brachial blood pressure? Blood. Purif. 2013, 36, 21–25. [Google Scholar] [CrossRef]
- Huonker, M.; Schmid, A.; Schmidt-Trucksass, A.; Grathwohl, D.; Keul, J. Size and blood flow of central and peripheral arteries in highly trained able-bodied and disabled athletes. J. Appl. Physiol. 2003, 95, 685–691. [Google Scholar] [CrossRef]
- Hirata, K.; Vlachopoulos, C.; Adji, A.; O’Rourke, M.F. Benefits from angiotensin-converting enzyme inhibitor ‘beyond blood pressure lowering’: Beyond blood pressure or beyond the brachial artery? J. Hypertens. 2005, 23, 551–556. [Google Scholar] [CrossRef]
- Kim, H.L.; Kim, S.H. Pulse Wave Velocity in Atherosclerosis. Front. Cardiovasc. Med. 2019, 6, 41. [Google Scholar] [CrossRef]
- Song, P.; Fang, Z.; Wang, H.; Cai, Y.; Rahimi, K.; Zhu, Y.; Fowkes, F.G.R.; Fowkes, F.J.I.; Rudan, I. Global and regional prevalence, burden, and risk factors for carotid atherosclerosis: A systematic review, meta-analysis, and modelling study. Lancet Glob. Health 2020, 8, e721–e729. [Google Scholar] [CrossRef]
- Criqui, M.H.; Matsushita, K.; Aboyans, V.; Hess, C.N.; Hicks, C.W.; Kwan, T.W.; McDermott, M.M.; Misra, S.; Ujueta, F.; American Heart Association Council on Epidemiology and Prevention; et al. Lower Extremity Peripheral Artery Disease: Contemporary Epidemiology, Management Gaps, and Future Directions: A Scientific Statement From the American Heart Association. Circulation 2021, 144, e171–e191. [Google Scholar] [CrossRef]
- Vincellette, C.M.; Losso, J.; Early, K.; Spielmann, G.; Irving, B.A.; Allerton, T.D. Supplemental Watermelon Juice Attenuates Acute Hyperglycemia-Induced Macro-and Microvascular Dysfunction in Healthy Adults. J. Nutr. 2021, 151, 3450–3458. [Google Scholar] [CrossRef] [PubMed]
- Figueroa, A.; Wong, A.; Hooshmand, S.; Sanchez-Gonzalez, M.A. Effects of watermelon supplementation on arterial stiffness and wave reflection amplitude in postmenopausal women. Menopause 2013, 20, 573–577. [Google Scholar] [CrossRef] [PubMed]
- Rodriguez-Mateos, A.; Rendeiro, C.; Bergillos-Meca, T.; Tabatabaee, S.; George, T.W.; Heiss, C.; Spencer, J.P. Intake and time dependence of blueberry flavonoid-induced improvements in vascular function: A randomized, controlled, double-blind, crossover intervention study with mechanistic insights into biological activity. Am. J. Clin. Nutr. 2013, 98, 1179–1191. [Google Scholar] [CrossRef]
- Cheok, A.; Xu, Y.; Zhang, Z.; Caton, P.W.; Rodriguez-Mateos, A. Betalain-rich dragon fruit (pitaya) consumption improves vascular function in men and women: A double-blind, randomized controlled crossover trial. Am. J. Clin. Nutr. 2022, 115, 1418–1431. [Google Scholar] [CrossRef] [PubMed]



| Placebo | Watermelon | Unpaired t-Test | |
|---|---|---|---|
| HR, bpm | 55.2 ± 2.1 | 53.2 ± 2.2 | 0.5100 |
| SBP, mmHg | 103.6 ± 1.9 | 100.5 ± 2.2 | 0.2884 |
| DBP, mmHg | 59.3 ± 1.9 | 57.5 ± 1.7 | 0.4658 |
| baPWV, cm/s | 997.0 ± 26.4 | 990.0 ± 22.9 | 0.8433 |
| cfPWV, cm/s | 682.5 ± 10.8 | 671.4 ± 29.0 | 0.7235 |
| faPWV, cm/s | 847.3 ± 27.5 | 871.3 ± 30.2 | 0.5624 |
| BF in carotid artery, mL/min | 229.5 ± 19.8 | 239.6 ± 16.5 | 0.6962 |
| BF in brachial artery, mL/min | 18.8 ± 3.7 | 16.8 ± 2.0 | 0.6368 |
| BF in posterior artery, mL/min | 9.3 ± 3.5 | 6.7 ± 2.4 | 0.5591 |
| Plasma NOx levels, μmol/L | 62.0 ± 10.5 | 63.9 ± 10.8 | 0.8971 |
| Plasma glucose levels, mmol/L | 4.6 ± 0.1 | 4.6 ± 0.1 | 0.7953 |
| Serum estradiol levels, pg/mL | 152.8 ± 29.6 | 146.1 ± 21.8 | 0.8565 |
| Serum HDL cholesterol levels, mg/dL | 60.7 ± 3.8 | 61.9 ± 3.6 | 0.8121 |
| Serum total cholesterol levels, mg/dL | 156.1 ± 4.7 | 159.1 ± 3.6 | 0.6168 |
| Serum triglyceride levels, mg/dL | 51.2 ± 6.2 | 47.1 ± 6.6 | 0.6550 |
| Serum ALP levels, U/L | 57.3 ± 4.3 | 57.1 ± 3.2 | 0.9756 |
| Serum AST levels, U/L | 15.6 ± 1.0 | 15.5 ± 1.1 | 0.9557 |
| Serum ALT levels, U/L | 9.9 ± 1.6 | 9.7 ± 1.3 | 0.9041 |
| Serum γ-GTP levels, U/L | 13.3 ± 0.9 | 13.2 ± 0.9 | 0.9482 |
| Serum creatinine levels, mg/dL | 0.6 ± 0.0 | 0.6 ± 0.0 | 0.8789 |
| eGFR, mL/min/1.73 m2 | 101.0 ± 4.2 | 100.0 ± 4.2 | 0.8656 |
| Post (Placebo Intake) | Post (Wild Watermelon Intake) | Two-Way ANOVA | |||||||
|---|---|---|---|---|---|---|---|---|---|
| ΔPre | Δ30 | Δ60 | Δ90 | ΔPre | Δ30 | Δ60 | Δ90 | ||
| HR, % | 0 ± 0 | −1.7 ± 1.6 | 1.1 ± 1.9 | −0.4 ± 1.4 | 0 ± 0 | 2.3 ± 1.1 | 3.4 ± 1.6 | 2.4 ± 1.1 | 0.4485 |
| SBP, % | 0 ± 0 | 0.3 ± 1.4 | −0.1 ± 1.2 | 2.9 ± 1.4 | 0 ± 0 | −0.2 ± 1.1 | 2.5 ± 1.1 | 3.0 ± 1.4 | 0.5124 |
| DBP, % | 0 ± 0 | 1.1 ± 1.8 | −0.5 ± 2.6 | 3.0 ± 2.7 | 0 ± 0 | −0.8 ± 2.1 | 1.9 ± 2.4 | 4.2 ± 2.3 | 0.7580 |
| Glucose, % | 0 ± 0 | 2.0 ± 1.4 | 0.4 ± 1.6 | 1.1 ± 1.3 | 0 ± 0 | 2.0 ± 1.2 | 2.4 ± 1.5 | 1.6 ± 1.5 | 0.8234 |
| Estradiol, % | 0 ± 0 | −1.1 ± 7.4 | −8.8 ± 7.0 | −12.0 ± 5.8 | 0 ± 0 | −14.3 ± 5.7 | −13.0 ± 3.9 | −25.4 ± 6.3 | 0.5007 |
| HDL-C, % | 0 ± 0 | −3.8 ± 1.4 | −2.3 ± 1.0 | −1.6 ± 1.7 | 0 ± 0 | −1.7 ± 1.2 | −1.4 ± 1.1 | −2.5 ± 1.1 | 0.5731 |
| Total-C, % | 0 ± 0 | −4.6 ± 1.4 | −3.1 ± 1.0 | −2.0 ± 1.1 | 0 ± 0 | −2.2 ± 0.9 | −1.7 ± 1.0 | −2.2 ± 0.8 | 0.4609 |
| TG, % | 0 ± 0 | −1.0 ± 2.4 | −3.4 ± 1.5 | −4.5 ± 2.4 | 0 ± 0 | 1.0 ± 2.1 | 3.4 ± 2.4 | 2.9 ± 2.6 | 0.1758 |
| ALP, % | 0 ± 0 | −5.7 ± 1.8 | −2.2 ± 1.2 | −2.8 ± 1.1 | 0 ± 0 | −5.7 ± 1.8 | −2.2 ± 1.2 | −2.8 ± 1.1 | 0.2180 |
| AST, % | 0 ± 0 | −8.1 ± 3.7 | −4.7 ± 2.1 | −1.8 ± 2.7 | 0 ± 0 | −4.4 ± 2.2 | −2.1 ± 1.9 | −1.6 ± 3.1 | 0.8144 |
| ALT, % | 0 ± 0 | −8.5 ± 3.3 | −4.9 ± 3.0 | 1.2 ± 4.0 | 0 ± 0 | −7.4 ± 2.6 | −1.2 ± 2.9 | −2.8 ± 2.7 | 0.5636 |
| γ-GTP, % | 0 ± 0 | −2.2 ± 1.7 | −0.6 ± 1.2 | −3.1 ± 1.5 | 0 ± 0 | −2.4 ± 2.1 | −3.5 ± 1.8 | −2.1 ± 2.4 | 0.6443 |
| Creatinine, % | 0 ± 0 | −4.7 ± 1.4 | −5.5 ± 0.7 | −6.7 ± 1.7 | 0 ± 0 | −2.3 ± 1.5 | −5.1 ± 1.3 | −4.5 ± 1.5 | 0.6889 |
| eGFR, % | 0 ± 0 | 5.7 ± 1.8 | 6.5 ± 0.9 | 8.3 ± 2.3 | 0 ± 0 | 2.9 ± 1.7 | 6.1 ± 1.7 | 5.5 ± 1.8 | 0.6757 |
Publisher’s Note: MDPI stays neutral with regard to jurisdictional claims in published maps and institutional affiliations. |
© 2022 by the authors. Licensee MDPI, Basel, Switzerland. This article is an open access article distributed under the terms and conditions of the Creative Commons Attribution (CC BY) license (https://creativecommons.org/licenses/by/4.0/).
Share and Cite
Fujie, S.; Iemitsu, K.; Inoue, K.; Ogawa, T.; Nakashima, A.; Suzuki, K.; Iemitsu, M. Wild Watermelon-Extracted Juice Ingestion Reduces Peripheral Arterial Stiffness with an Increase in Nitric Oxide Production: A Randomized Crossover Pilot Study. Nutrients 2022, 14, 5199. https://doi.org/10.3390/nu14245199
Fujie S, Iemitsu K, Inoue K, Ogawa T, Nakashima A, Suzuki K, Iemitsu M. Wild Watermelon-Extracted Juice Ingestion Reduces Peripheral Arterial Stiffness with an Increase in Nitric Oxide Production: A Randomized Crossover Pilot Study. Nutrients. 2022; 14(24):5199. https://doi.org/10.3390/nu14245199
Chicago/Turabian StyleFujie, Shumpei, Keiko Iemitsu, Kenichiro Inoue, Taro Ogawa, Ayaka Nakashima, Kengo Suzuki, and Motoyuki Iemitsu. 2022. "Wild Watermelon-Extracted Juice Ingestion Reduces Peripheral Arterial Stiffness with an Increase in Nitric Oxide Production: A Randomized Crossover Pilot Study" Nutrients 14, no. 24: 5199. https://doi.org/10.3390/nu14245199
APA StyleFujie, S., Iemitsu, K., Inoue, K., Ogawa, T., Nakashima, A., Suzuki, K., & Iemitsu, M. (2022). Wild Watermelon-Extracted Juice Ingestion Reduces Peripheral Arterial Stiffness with an Increase in Nitric Oxide Production: A Randomized Crossover Pilot Study. Nutrients, 14(24), 5199. https://doi.org/10.3390/nu14245199

