Abstract
Malnutrition and sarcopenia commonly overlap and contribute to adverse health outcomes. Previously, chronic supplementation with two oral nutritional supplements (ONS), control (CONS) and experimental ONS enriched with protein, vitamin D and β-hydroxy β-methylbutyrate (HMB) (EONS), improved muscle strength and quality in malnourished sarcopenic older adults, with EONS demonstrating early strength benefits at 12 weeks. To understand the underlying biological mechanisms contributing to the observed early strength benefits of EONS, we examined serum biomarker changes in response to 12-week supplementation. Serum samples (EONS (n = 90) and CONS (n = 103)) collected at baseline and 12 weeks were analyzed. Biomarkers (n = 243) were measured using multiplexed immunoassay, commercial immunoassays and ELISAs. Sixty markers were excluded with levels below assay detection limits. Sixteen biomarkers significantly changed in response to both interventions including nutritional and metabolic markers. Thirteen biomarkers significantly changed in response to EONS but not CONS. Increases in immunoglobulins, myoglobin, total protein, vitamin E and magnesium were observed with EONS. Inflammation-related ferritin and osteopontin decreased, while soluble receptors for cytokines increased, suggesting decreased inflammation. Sex hormone-binding globulin associated with sarcopenia also decreased with EONS. Biomarkers reflective of multiple biological systems were impacted by nutritional intervention in sarcopenic older adults. Incremental biomarker changes were observed in response to EONS containing HMB that possibly link to improvements in skeletal muscle health.
1. Introduction
Malnutrition and sarcopenia are two conditions that can occur simultaneously and are particularly prevalent in older adults. Malnutrition plays a major role in the development of sarcopenia [1], with muscle loss now considered an important characteristic of malnutrition [2] and has been included in the recent consensus definition of malnutrition [3]. Malnutrition and sarcopenia independently, and in conjunction, contribute to an increased risk of adverse health events such as reduced quality of life, mobility disability, hospitalization and mortality [4,5,6,7]. Thus, there is a need for interventions that can both restore nutrition status, as well as address loss of muscle strength and function towards improving quality of life, physical functionality, and long-term well-being.
Recently, chronic nutritional intervention studies using specific nutrients that target muscle health have shown positive benefits on muscle strength, quality and function in sarcopenic populations [8,9,10]. Protein has well-known anabolic effects on muscle and low protein intake has been associated with many negative health outcomes [11,12]. Thus, older adults are recommended to consume at least 1.0–1.2 g protein/kg body weight/day, with even higher intake levels recommended for malnourished patients [13,14].
Vitamin D3 supplementation has been demonstrated to improve bone and muscle health, and prevent falls and fractures leading to mobility disability [15,16]. Supplementation is especially relevant in malnourished older adults who have reduced sunlight exposure, and a decrease in synthesis capacity of skin leading to vitamin D deficiency [17,18].
β-hydroxy β-methylbutyrate (HMB), a metabolite of leucine with anabolic properties, has been evaluated in numerous studies as an intervention for improving muscle health outcomes especially in populations at risk of muscle loss [19]. In addition, in healthy older adults, HMB has been shown to preserve muscle during extended bed rest [13] and improve muscle mass and strength in the absence of exercise training [20,21]. Mechanistically, HMB can impact multiple pathways associated with muscle metabolism. It has been shown to stimulate muscle protein synthesis via the activation of the mechanistic target of the rapamycin (mTOR) system, the classical regulator of muscle anabolism, and also stimulate the growth hormone/insulin-like growth hormone factor (IGF-1) axis [22,23,24]. It has also been shown to downregulate muscle protein breakdown via the ubiquitin proteasome pathway and the lysosomal autophagy pathway [25,26]. Animal studies on muscle wasting demonstrated that HMB downregulates expression of Foxhead Box O3 (FOXO3) and Nuclear Factor-kappa B (NF-κB), classical mediators of inflammation involved in muscle wasting [27,28].
Older adults with malnutrition and sarcopenia may not consume sufficient amounts of high-quality protein, vitamin D and/or other nutrients targeting muscle health through meals alone. Oral nutritional supplements (ONS) that provide high-quality protein, vitamins, minerals and calories are recommended to meet the basic nutritional needs of such individuals when diet alone is not enough [29]. Furthermore, specialized ONS containing HMB, designed to address muscle loss, have been explored in several studies involving malnourished individuals and have shown beneficial effects on nutritional status, muscle strength, quality of life, and activities of daily living [30,31,32]. However, there is a gap in understanding the biological systems that are impacted by specialized ONS containing HMB, to help in understanding the mechanisms behind its clinical benefits in malnourished adults. Blood biomarker analysis provides an opportunity to gain such insights into the mechanistic pathways modulated by an intervention, which could possibly lead to expanding the application of the intervention to new populations. Towards this end, we selected one of our previous ONS intervention studies in malnourished sarcopenic older adults, from which blood samples were available for biomarker analysis [8]. In this previous study, compared to a control ONS (CONS) that provided protein and vitamin D, supplementation with a specialized ONS enriched with higher protein, higher vitamin D and HMB (EONS) resulted in early improvements (within 12 weeks) in strength and muscle quality in sarcopenic subpopulations [8]. We used a non-targeted biomarker approach to comprehensively explore physiological pathways that are responsive to nutritional intervention that may have contributed to these muscle health and other systemic benefits. The purpose of this current study was to determine if the EONS would modulate additional biomarkers beyond those modulated by CONS in malnourished sarcopenic older adults at the end of a 12-week intervention period.
2. Materials and Methods
2.1. Participants
In our previous prospective, randomized, double-blinded, controlled study [8], 330 older adults (125 males/205 females) (median age of 77 years) were included from eight countries across Europe and North America. Participants were included if they were (1) at risk or had malnutrition determined by the Subjective Global Assessment (SGA) [33], and (2) had sarcopenia according to the European Working Group on Sarcopenia in Older People (EWGSOP 1) definition [34]. Sarcopenia was defined as low grip strength (<20 kg in females; <30 kg in males) and/or low gait speed (<0.8 m·s−1) combined with low skeletal muscle index [34]. Participants were randomized into one of two groups: control ONS (CONS) or experimental ONS (EONS). Detailed information on this study protocol and inclusion/exclusion criteria were reported previously [8]. The original study protocol (previously published; Cramer et al., 2016) [8] was reviewed by local ethics committees or institutional review boards of all European locations and by Quorum IRB (Approval #25390) for the U.S. sites and was conducted according to the guidelines of the Declaration of Helsinki. All participants signed a written informed consent. This study was registered on ClinicalTrials.gov, NCT01191125. All IRB protocols at their respective institutions were approved between 2010 and 2012, with the last amendment to the protocols made in 2012.
2.2. Study Design
Over the duration of this study, participants were instructed to drink two servings of CONS or EONS products daily between regular meals for 24 weeks as described in Cramer et al. [8]. The blinded products were isocaloric and provided 330 kcals per serving. Each serving of the CONS (Ensure Plus; Abbott, Zwolle, The Netherlands) contained 14 g protein, 11 g fat, 44 g carbohydrate, 147 IU vitamin D3, and additional vitamins and minerals. Each serving of the EONS (Ensure Plus Advance, Abbott, Zwolle, Netherlands) contained 20 g protein, 11 g fat, 36 g carbohydrate, 1.5 g Ca-HMB, 499 IU vitamin D3, and additional vitamins and minerals. Participants were instructed to continue their usual diet, physical activity, and lifestyle habits, along with additional instructions to consume the study product daily and to adhere to a recommended meal plan containing 0.8 g·kg−1·d−1 of protein at a minimum.
For the analysis of blood biomarkers, fasted serum samples that were collected at baseline and at 12 weeks post-intervention were used. A total of 193 subjects (EONS (n = 90) and CONS (n = 103)) met the requirement for having fasted blood samples collected at both timepoints (baseline and 12 weeks) and were included in the analysis. Biomarkers that were analyzed included an extensive range of biomarker categories, such as inflammatory markers, immune markers, metabolic markers, hormones, nutritional markers, cytokines and growth factors; many of these are linked to muscle/metabolism based on existing literature. A total of 190 biomarkers were measured using the multiplexed immunoassay array Human DiscoveryMap ® 175+ v1.0 (Myriad-RBM, Austin, TX, USA) (Table S1), of which 60 biomarkers were excluded from evaluation due to results being below assay detection levels in ≥30% of subjects (Table S2). In addition, 47 clinically approved Invitro Diagnostic Tests markers (ICON, Framingdale, NY, USA) were measured. Other markers included were: (1) estradiol, sex hormone-binding globulin (SHBG), and dehydroepiandrosterone (DHEA) measured on ARCHITECT (Abbott, Chicago, IL, USA), and (2) commercially available enzyme-linked immunoassay (ELISA) kits for plasma total C-terminal agrin fragment (tCAF) (Neurotune AG, Schlieren, Switzerland), insulin-like growth factor-1 (IGF-1) (R&D systems, Minneapolis, MN, USA), and vitamin E (MyBiosource Inc., San Diego, CA, USA).
2.3. Statistical Analyses
Baseline values were expressed as the median and interquartile ranges (IQR) for continuous variables and as percentages for categorical variables. Biomarker means ± SD and mean percent change ± SD were calculated and separate paired-sample t-tests were performed to compare change across time (baseline to 12 weeks) for each group separately. Sidak-adjusted p-values were calculated to account for the number of simultaneous tests. A Pearson product-moment correlation analysis was performed to examine associations between selected metabolic and muscle-related baseline markers and measurements of skeletal muscle mass and strength. All statistical analyses were performed with Microsoft Excel, version 16.10 or SAS 9.4 (SAS Institute, Cary, NC, USA).
3. Results
From the original 330 participants, a total of 193 participants (75 males, 118 females) were included in this analysis, based on having fasted blood samples collected at baseline and 12 weeks post-intervention. Baseline characteristics of the included participants are shown in Table 1. There were no significant differences between groups at baseline. The median age was 77 years, and 61.1% were females. A majority of participants were non-obese (79.3%) and were considered normal weight or overweight when categorized by body mass index (BMI) (32.1% and 43.5%, respectively) (Table 1). As previously described, all included participants were categorized with a Subjective Global Assessment (SGA) rating of “B” (mild to moderate malnourishment) and had low skeletal muscle mass [8]. Overall, 73.1% had low handgrip strength, with 60.0% of males and 81.4% of females classified as having low grip strength as defined by the EWGSOP 1 criteria (<30 kg in males, <20 kg in females). Low gait speed was indicated in 40.4% of the participants.
Table 1.
Baseline characteristics of study population used for biomarker analysis.
Sixteen serum biomarkers were found to change significantly from baseline in both intervention groups at the end of the 12-week period (Table 2). Six of these were nutritional biomarkers including pre-albumin, transferrin, vitamin B12, blood urea nitrogen (BUN), apolipoprotein C III (Apo C-III) and apolipoprotein (a) (LP(a)), all of which showed a significant increase from their baseline values. Metabolic markers including insulin-like growth factor-1 (IGF-1) and leptin increased in response to the nutritional interventions and levels of IGF binding protein-2 (IGFBP-2) decreased (Table 2).
Table 2.
Biomarkers common to both treatment groups (EONS and CONS) that significantly changed over 12 weeks of nutritional supplementation.
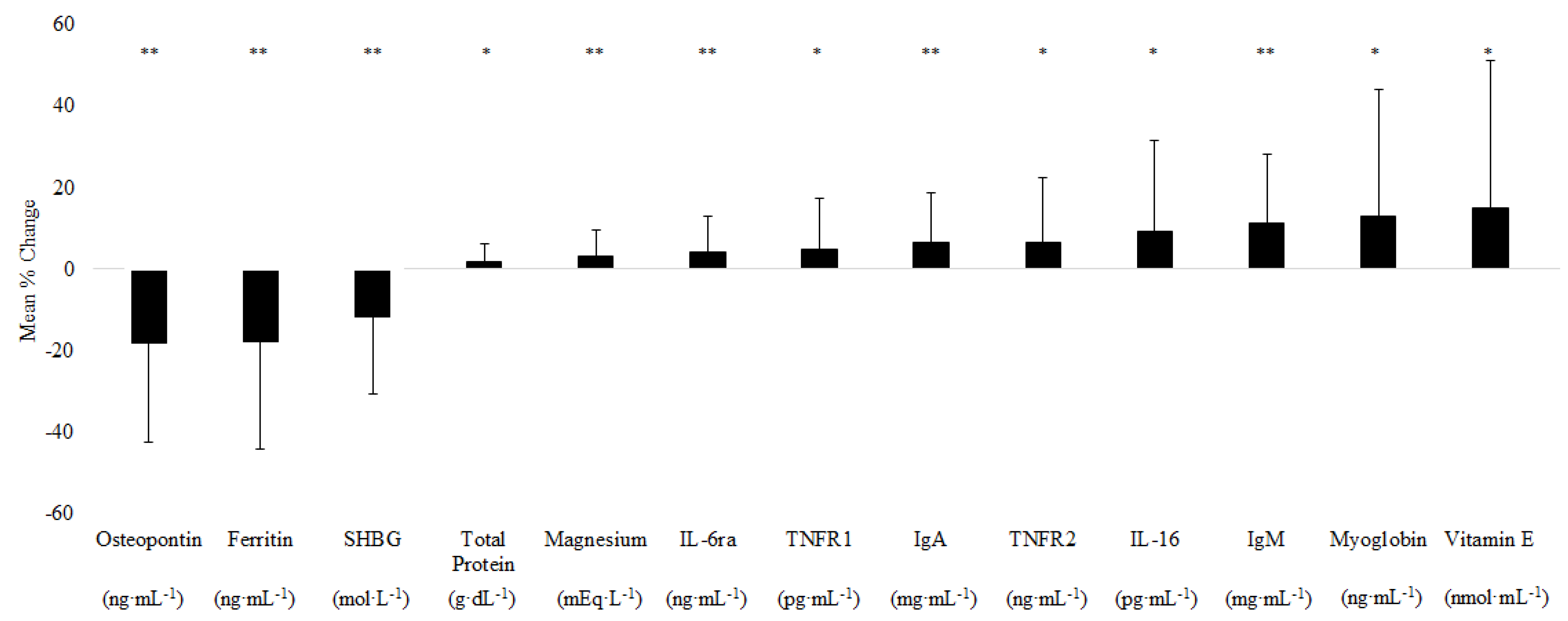
The EONS group but not the CONS group displayed significant changes in 12 additional biomarkers (Figure 1). Upon 12 weeks of supplementation with EONS, ferritin and osteopontin decreased from baseline by 17.73% and 18.24%, respectively, and IL-6 receptor (IL-6r), TNF-α receptor 1 and 2 (TNFR1 and TNFR2) increased by 4.29%, 5.04%, and 6.48%, respectively. Immunity-related markers such as immunoglobulin A (IgA) and immunoglobulin M (IgM) increased by 6.46% and 11.40% from baseline, respectively. Magnesium, total protein, and vitamin E showed significant increases from baseline of 3.35%, 1.86%, and 15.15%, respectively. Sex hormone-binding globulin (SHBG) decreased by 11.59% and myoglobin increased by 13.02%. Means ± standard deviation (SD) and mean percent change for both EONS and CONS of these reported biomarkers can be found in Table S3.
Figure 1.
Biomarker changes specific to experimental ONS (EONS) following 12-week supplementation. Values are the means ± SD, compared by univariable dependent t-test with Sidak-adjusted p-value < 0.05. Interleukin-6 receptor-α (IL-6ra), tumor necrosis factor receptor-1 (TNFR1), tumor necrosis factor receptor-2 (TNFR2), immunoglobulin A (IgA), immunoglobulin M (IgM), and sex hormone-binding globulin (SHBG). * indicates p < 0.05; ** indicates p < 0.01.
4. Discussion
Our previous work has shown the benefits of a 24-week intervention with two high-quality nutritional supplements on improving muscle strength and functional outcomes in malnourished older adults with sarcopenia [8]. Both nutritional supplements (CONS and EONS) provided macronutrients including protein, calories, and key micronutrients to address malnutrition. Additionally, EONS contained HMB, a leucine metabolite with known muscle health benefits, [8,19] in addition to higher protein and higher vitamin D than CONS. In sarcopenic subpopulations, 12 weeks of intervention with EONS resulted in significant improvements in leg strength and muscle quality, compared to CONS, indicating additional benefits of EONS [8]. In this study, we wanted to understand the underlying biochemical and physiological changes that occur in response to nutritional supplementation in malnourished sarcopenic older adults, and also to determine if there were differences in biomarkers in response to the two different supplements. A comprehensive biomarker approach was utilized to look at changes in a vast array of serum biomarkers, many of which have been previously associated with muscle mass, strength, and metabolism. We intentionally used a broad screening approach since limited data exist on biomarker changes in response to nutrition in sarcopenic malnourished older adults.
There were several shared biomarkers that changed in response to the two ONS interventions (Table 2), indicating that these biomarkers were responsive to nutrition in general. Lower levels of prealbumin, transferrin, IGF-1 and leptin are known to be associated with malnutrition [35,36,37] and as expected, levels of these markers increased following nutritional intervention. IGF-1 is also a well-known anabolic factor associated with muscle strength and performance [38,39]. Elevated IGFBP-2 was recently found to be associated with malnutrition [40], and the observed decrease in IGFBP-2 levels following nutritional intervention is potentially reflective of an improved nutrition status. Additionally, observed increases in apolipoprotein levels, BUN, vitamin B12, and vitamin D are be tied to the delivery of dietary protein, lipids and vitamins by the nutritional supplements.
Other markers that increased in response to both ONS treatments have not been previously reported within the context of malnutrition. Clusterin is a protein reported to be involved in cellular lipid metabolism and also known to bind leptin and ghrelin [41], which could explain the increase in clusterin following ONS intervention. Interleukin-2 receptor-α (IL-2ra), the receptor for IL-2 found on T lymphocytes, also significantly increased upon ONS intervention. IL2- receptors are upregulated in response to IL-2 produced predominantly by T lymphocytes [42]. IL-2 has been shown to decrease in malnourished individuals [43], tied to alterations in immune status. Although we could not measure changes in IL-2 levels due to the lower limit of quantitation of the assay, it is possible that an increase in IL-2ra indicates a general improvement in T-cell health parallel to an improvement in nutritional status. Epidermal growth factor receptor (EGFR) is a tyrosine kinase receptor expressed in multiple organs and plays important roles in proliferation, survival, and differentiation [44]. EGFR plays a critical role in gastrointestinal tract homeostasis, and it’s associated signaling pathway has been previously shown to be activated by certain amino acids [45]. In addition, EGFR activation is linked to gut hormone signaling (G protein-coupled peptide YY neuropeptide and GLP-2) [44] that could explain its response to changes in nutrition status. Thrombomodulin acts as an anticoagulant and also in suppressing inflammation [46], indicating that an increase in concentration following nutritional supplementation could signal an improvement in health status. Systemic complement C3 and serum amyloid P-component (SAP) regulate many aspects of innate immunity, and modest increases in their levels possibly reflect improvements in immune health status following nutritional supplementation [47,48]. Complement C3 (C3) is also known to be responsive to dietary modulation which could explain its increase over the nutritional intervention period [49]. The relevance of the endothelial adhesion molecule, e-selectin, is unknown since levels of other endothelial adhesion molecules did not increase.
Thirteen additional biomarkers significantly changed in response to the EONS intervention but not in the CONS group (Figure 1). This could be related to the compositional differences between the two supplements, with the EONS group containing HMB, as well as higher protein and higher vitamin D. Myoglobin was found to increase with EONS intervention. Myoglobin has a functional role in oxygen delivery to muscle important for muscle adaptations. Weber et al. [50] found myoglobin levels to be 48% lower in patients with cancer cachexia compared to healthy controls. Additionally, myoglobin was positively related to quadriceps cross-sectional area (CSA) in both healthy individuals and patients with cachexia. Our previous work has shown that myoglobin levels increase in response to HMB supplementation in older adults on bed rest [51]. Thus, the observed increase in myoglobin levels could be reflective of positive skeletal muscle adaptations in response to HMB in the EONS.
Older adults are known to exhibit declines in both the innate and adaptive immune systems, resulting in increased susceptibility to- and severity of infections [52,53,54]. Beyond the negative effects of aging, malnutrition is known to negatively impact the hematopoietic and lymphoid organs, compromising immunity [55,56]. A reduction in IgA secretion can lead to increased risk of mucosal infections, especially in malnourished individuals [57]. Chronic intervention with EONS resulted in significant increases in IgA and IgM levels, indicating improvements in overall immune health status in response to EONS. It is possible that HMB along with protein and vitamin D could have played a role in modulating these immune markers. Vitamin D is well recognized as an immune modulator [58]. A positive benefit of HMB on immunity has been previously demonstrated in animals [59,60,61]. Along these lines, another nutritional intervention study reported an increase in IgM levels in response to ONS containingHMB in hospitalized older patients with comorbidities [62].
Other nutritional markers such as total protein, magnesium and vitamin E levels also significantly increased in the EONS group only, indicating improved nutritional status, tied to the differences in composition of EONS and CONS [8]. Vitamin E has been shown to be associated with skeletal muscle health. Semba et al. [63] reported that higher circulating vitamin E levels were associated with muscle strength measurements including grip strength and leg extension strength in sarcopenic older females [63]. Magnesium levels (within normal range) have been reported to have an association with muscle performance, specifically in older adults [64]. Specifically, Domingueze et al. [64] reported associations between magnesium concentrations and measurements of strength and power in older adults [64]. Serum vitamin D was previously reported to significantly increase from baseline in both groups, with the EONS group showing a significantly greater increase compared to the CONS group [8]. Additionally, high sex hormone-binding globulin (SHBG) levels have been associated with sarcopenia in both older men and women [65] and was found to decrease in response to EONS intervention. This is possibly related to the higher vitamin D doses delivered by EONS (1000 IU·d−1), since there appears to be an inverse relationship between Vitamin D and SHBG tied to muscle health [66].
Sub-acute inflammation manifested by small but significant increases in levels of inflammatory biomarkers (e.g., IL-6 and TNF-α) has been reported with aging and sarcopenia [67,68]. In the present study, baseline levels of IL-6 and TNF-α were below the lowest limit of quantitation of the assays and thus excluded from analysis. It appears that the assays for IL-6 and TNF-α present on the multiplex we employed had lower sensitivity than those previously reported. For example, Visser et al. [67] reported IL-6 levels > 1.8 pg·mL−1 to be associated with low muscle mass, and >80% of their population had IL-6 levels ≤ 4 pg·mL−1, whereas the lowest detectable level of IL-6 in our assay was 4.2 pg·mL−1 [67].
However, there was some evidence for sub-acute inflammation in our study participants based on changes in osteopontin, ferritin, and cytokine receptors. Osteopontin is a protein well associated with inflammation and other disease states [69]. Karadag et al. [70] reported an association between high osteopontin levels and weight loss in patients with cancer [70]. In the present study, EONS supplementation resulted in an 18% decrease in osteopontin levels, implying a decrease in inflammation. In addition, supplementation with EONS resulted in an increase in levels of the soluble receptors for IL-6 and TNF-α. These soluble receptors have been reported to have a neutralizing effect on their respective cytokines. The soluble IL-6 receptor has previously been reported to act as a buffer by binding circulating IL-6, thus neutralizing its inflammatory effects [71]. Lustosa et al. [72] reported higher levels of soluble receptor for TNF-α (TNFR1) in non-sarcopenic women compared to sarcopenic women [72]. Therefore, it is possible that higher levels of circulating TNFR1 could bind TNF-α and hamper its related inflammatory cascade in non-sarcopenic individuals, protecting skeletal muscle [72,73]. Ferritin levels also decreased by ~18% in response to EONS. Although ferritin is a marker of iron deficiency, increases in serum ferritin levels have been reported to occur during age-associated inflammation, even in subjects who were not iron deficient [74]. These findings point to an anti-inflammatory benefit of EONS which could help explain the early improvements in muscle strength observed at the 12 week timepoint. Previous studies have shown that HMB can modulate levels of circulating inflammatory cytokines in populations under physical stress [75,76]. A recent study in older adults with sarcopenia demonstrated that compared to exercise alone, a 12-week intervention using ONS with HMB along with exercise could modify T cell-specific inflammatory gene expression, and was associated with improved lower limb muscle strength performance [77].
A limitation to our study is that a subgroup of the original study participants (193 out of a total of 330 participants) were used for biomarker analysis based on availability of blood samples. However, the subgroups analyzed were still relatively large in size and well matched for their baseline characteristics. Another limitation is that we were not able to measure the extremely low sub-clinical levels of some inflammatory markers. However, we were able to look at alternate inflammation-related markers to draw conclusions. One additional limitation is that because the EONS supplement contained higher levels of protein and vitamin D in addition HMB compared to the CONS supplement, it is not possible to isolate which ingredient in EONS was directly responsible for the observed biomarker changes. It is possible that the effects could be due to a synergy between the various components in EONS.
5. Conclusions
Taken together, the findings from this study indicate that in sarcopenic malnourished older adults, multiple biochemical pathways related to nutrition, immunity, inflammation, anabolism and muscle metabolism can be impacted by nutrition. Many of these markers are known to be associated with muscle health outcomes. In our study, correlation analysis (Table S4) revealed that baseline levels of markers such as IGF-1 and prealbumin positively correlated with muscle strength, whereas markers such as IGFBP-2, leptin, osteopontin, and SHBG negatively correlated with muscle strength. These data also show that it is possible to modulate pathways linked to improving muscle metabolism using a high protein, high vitamin D oral nutrition supplement containing HMB.
It is possible that some of the biomarkers reported herein could be useful surrogates to track/monitor progression of sarcopenia, or could also be early indicators of muscle health status in people at risk of malnutrition and sarcopenia. These exploratory findings will need to be validated in additional intervention studies in sarcopenic malnourished older adults. Additionally, further investigative studies are needed to explore the connection between immunity, inflammation and muscle metabolism. This will aid in developing a more targeted approach to address sarcopenia development and progression.
Supplementary Materials
The following supporting information can be downloaded at: https://www.mdpi.com/article/10.3390/nu14061196/s1, Table S1: Listing of biomarkers analyzed to identify which markers are impacted by chronic nutrition supplementation; Table S2: Biomarkers excluded from statistical analyses because at least 30% of the samples had levels below the lower limit of quantitation; Table S3. Means ± standard deviations (SD) of biomarkers that changed over 12 weeks after supplementation of the experimental ONS (EONS) with HMB; Table S4. Correlation of biomarkers with measures of skeletal muscle strength at baseline in study participants (n = 193).
Author Contributions
S.L.P., S.G., G.J.D., M.L., V.A.M. and J.T.C. conceptualized this study; V.A.M. was responsible for sample collection and storage; G.J.D. and S.L.P. were responsible for coordinating the biomarker analysis; G.J.D. was responsible for lab analysis of some key biomarkers; S.G. was responsible for the statistical analysis, S.L.P., S.G., G.J.D. and M.L. analyzed and interpreted the data; M.E.S., S.L.P. and S.G. drafted the manuscript. S.L.P., M.E.S., S.G., G.J.D., M.L., V.A.M. and J.T.C. reviewed and edited the manuscript. All authors have read and agreed to the published version of the manuscript.
Funding
This research was funded by Abbott Nutrition.
Institutional Review Board Statement
The original clinical study was conducted according to the guidelines of the Declaration of Helsinki, and the protocol was reviewed by local ethics committees or institutional review boards and all participants signed a written informed consent. The original study was registered on ClinicalTrials.gov with the identifier: NCT01191125. Informed consent was obtained from all subjects involved in this study.
Informed Consent Statement
Written informed consent was obtained from all subjects before participation in this study and for de-identified biomarker analysis tied to the study. Participants were informed that their aggregate data may be used in scientific presentations or publications as part of the informed consent.
Data Availability Statement
The data presented in this study are available on request from the corresponding author.
Acknowledgments
The authors would like to thank the volunteers for dedicating their time to completing this study and providing blood samples for analysis.
Conflicts of Interest
S.L.P., S.G., G.J.D. and M.L. are current employees of Abbott. V.A.M. was a past employee of Abbott. This study was funded by Abbott Nutrition. J.T.C. was an investigator on the original study funded by Abbott. M.E.S. and J.T.C. received a small grant to help draft this manuscript.
References
- Vandewoude, M.F.J.; Alish, C.J.; Sauer, A.C.; Hegazi, R.A. Malnutrition-Sarcopenia Syndrome: Is This the Future of Nutrition Screening and Assessment for Older Adults? J. Aging Res. 2012, 2012, 651570. [Google Scholar] [CrossRef] [PubMed]
- Landi, F.; Camprubi-Robles, M.; Bear, D.; Cederholm, T.; Malafarina, V.; Welch, A.; Cruz-Jentoft, A. Muscle loss: The new malnutrition challenge in clinical practice. Clin. Nutr. 2018, 38, 2113–2120. [Google Scholar] [CrossRef] [PubMed] [Green Version]
- Jensen, G.L.; Cederholm, T.; Correia, M.I.T.; Fukushima, R.; Higashiguchi, T.; Baptista, G.A.; Barazzoni, R.; Blaauw, R.; Coats, A.J.; Crivelli, A.; et al. GLIM Criteria for the Diagnosis of Malnutrition: A Consensus Report from the Global Clinical Nutrition Community. J. Parenter. Enter. Nutr. 2018, 43, 32–40. [Google Scholar] [CrossRef] [PubMed] [Green Version]
- Landi, F.; Liperoti, R.; Russo, A.; Giovannini, S.; Tosato, M.; Capoluongo, E.; Bernabei, R.; Onder, G. Sarcopenia as a risk factor for falls in elderly individuals: Results from the ilSIRENTE study. Clin. Nutr. 2012, 31, 652–658. [Google Scholar] [CrossRef] [PubMed]
- Lumbers, M.; Driver, L.; Howland, R.; Older, M.; Williams, C. Nutritional status and clinical outcome in elderly femalesurgical orthopaedic patients. Clin. Nutr. 1996, 15, 101–107. [Google Scholar] [CrossRef]
- Vivanti, A.; Ward, N.; Haines, T. Nutritional status and associations with falls, balance, mobility and functionality during hospital admission. J. Nutr. Heal. Aging 2010, 15, 388–391. [Google Scholar] [CrossRef] [PubMed]
- Cederholm, T.; Jägren, C.; Hellström, K. Outcome of protein-energy malnutrition in elderly medical patients. Am. J. Med. 1995, 98, 67–74. [Google Scholar] [CrossRef]
- Cramer, J.T.; Cruz-Jentoft, A.J.; Landi, F.; Hickson, M.; Zamboni, M.; Pereira, S.L.; Hustead, D.S.; Mustad, V.A. Impacts of High-Protein Oral Nutritional Supplements Among Malnourished Men and Women with Sarcopenia: A Multicenter, Randomized, Double-Blinded, Controlled Trial. J. Am. Med. Dir. Assoc. 2016, 17, 1044–1055. [Google Scholar] [CrossRef] [PubMed] [Green Version]
- Bo, Y.; Liu, C.; Ji, Z.; Yang, R.; An, Q.; Zhang, X.; You, J.; Duan, D.; Sun, Y.; Zhu, Y.; et al. A high whey protein, vitamin D and E supplement preserves muscle mass, strength, and quality of life in sarcopenic older adults: A double-blind randomized controlled trial. Clin. Nutr. 2018, 38, 159–164. [Google Scholar] [CrossRef] [PubMed]
- Takeuchi, I.; Yoshimura, Y.; Shimazu, S.; Jeong, S.; Yamaga, M.; Koga, H. Effects of branched-chain amino acids and vitamin D supplementation on physical function, muscle mass and strength, and nutritional status in sarcopenic older adults undergoing hospital-based rehabilitation: A multicenter randomized controlled trial. Geriatr. Gerontol. Int. 2018, 19, 12–17. [Google Scholar] [CrossRef] [Green Version]
- Langsetmo, L.; Harrison, S.; Jonnalagadda, S.; Pereira, S.L.; Shikany, J.M.; Farsijani, S.; Lane, N.E.; Cauley, J.A.; Stone, K.; Cawthon, P.M.; et al. Low Protein Intake Irrespective of Source is Associated with Higher Mortality Among Older Community-Dwelling Men. J. Nutr. Heal. Aging 2020, 24, 900–905. [Google Scholar] [CrossRef] [PubMed]
- Coelho-Júnior, H.J.; Rodrigues, B.; Uchida, M.; Marzetti, E. Low Protein Intake Is Associated with Frailty in Older Adults: A Systematic Review and Meta-Analysis of Observational Studies. Nutrients 2018, 10, 1334. [Google Scholar] [CrossRef] [Green Version]
- Deutz, N.E.; Pereira, S.L.; Hays, N.P.; Oliver, J.S.; Edens, N.K.; Evans, C.M.; Wolfe, R.R. Effect of β-hydroxy-β-methylbutyrate (HMB) on lean body mass during 10 days of bed rest in older adults. Clin. Nutr. 2013, 32, 704–712. [Google Scholar] [CrossRef] [PubMed]
- Bauer, J.; Biolo, G.; Cederholm, T.; Cesari, M.; Cruz-Jentoft, A.J.; Morley, J.E.; Phillips, S.; Sieber, C.; Stehle, P.; Teta, D.; et al. Evidence-Based Recommendations for Optimal Dietary Protein Intake in Older People: A Position Paper From the PROT-AGE Study Group. J. Am. Med. Dir. Assoc. 2013, 14, 542–559. [Google Scholar] [CrossRef] [PubMed]
- Bischoff-Ferrari, H.A.; Dawson-Hughes, B.; Willett, W.C.; Staehelin, H.B.; Bazemore, M.G.; Zee, R.Y.; Wong, J.B. Effect of Vitamin D on Falls. JAMA 2004, 291, 1999–2006. [Google Scholar] [CrossRef] [PubMed]
- Garcia, M.; Seelaender, M.; Sotiropoulos, A.; Coletti, D.; Lancha, A.H. Vitamin D, muscle recovery, sarcopenia, cachexia, and muscle atrophy. Nutrition 2019, 60, 66–69. [Google Scholar] [CrossRef]
- Bruyère, O.; Cavalier, E.; Souberbielle, J.-C.; Bischoff-Ferrari, H.A.; Beaudart, C.; Buckinx, F.; Reginster, J.-Y.; Rizzoli, R. Effects of vitamin D in the elderly population: Current status and perspectives. Arch. Public Health 2014, 72, 32. [Google Scholar] [CrossRef] [Green Version]
- Bischoff-Ferrari, H. Vitamin D-why does it matter?—Defining vitamin D deficiency and its prevalence. Scand. J. Clin. Lab. Investig. Suppl. 2012, 243, 3–6. [Google Scholar] [CrossRef]
- Bear, D.E.; Langan, A.; Dimidi, E.; Wandrag, L.; Harridge, S.D.R.; Hart, N.; Connolly, B.; Whelan, K. β-Hydroxy-β-methylbutyrate and its impact on skeletal muscle mass and physical function in clinical practice: A systematic review and meta-analysis. Am. J. Clin. Nutr. 2019, 109, 1119–1132. [Google Scholar] [CrossRef] [PubMed] [Green Version]
- Stout, J.R.; Smith-Ryan, A.E.; Fukuda, D.H.; Kendall, K.L.; Moon, J.R.; Hoffman, J.R.; Wilson, J.M.; Oliver, J.S.; Mustad, V.A. Effect of calcium β-hydroxy-β-methylbutyrate (CaHMB) with and without resistance training in men and women 65+ yrs: A randomized, double-blind pilot trial. Exp. Gerontol. 2013, 48, 1303–1310. [Google Scholar] [CrossRef] [PubMed] [Green Version]
- Oktaviana, J.; Zanker, J.; Vogrin, S.; Duque, G. The Effect of β-Hydroxy-β-Methylbutyrate (HMB) on Sarcopenia and Functional Frailty in Older Persons: A Systematic Review. J. Nutr. Health Aging 2018, 23, 145–150. [Google Scholar] [CrossRef] [PubMed]
- Wilkinson, D.J.; Hossain, T.; Hill, D.S.; Phillips, B.; Crossland, H.; Williams, J.; Loughna, P.; Churchward-Venne, T.A.; Breen, L.; Phillips, S.; et al. Effects of leucine and its metabolite β-hydroxy-β-methylbutyrate on human skeletal muscle protein metabolism. J. Physiol. 2013, 591, 2911–2923. [Google Scholar] [CrossRef] [PubMed]
- Eley, H.L.; Russell, S.T.; Baxter, J.H.; Mukerji, P.; Tisdale, M.J. Signaling pathways initiated by β-hydroxy-β-methylbutyrate to attenuate the depression of protein synthesis in skeletal muscle in response to cachectic stimuli. Am. J. Physiol. Metab. 2007, 293, E923–E931. [Google Scholar] [CrossRef]
- Gerlinger-Romero, F.; Guimarães-Ferreira, L.; Giannocco, G.; Nunes, M. Chronic supplementation of beta-hydroxy-beta methylbutyrate (HMβ) increases the activity of the GH/IGF-I axis and induces hyperinsulinemia in rats. Growth Horm. IGF Res. 2011, 21, 57–62. [Google Scholar] [CrossRef] [PubMed]
- Smith, H.J.; Mukerji, P.; Tisdale, M.J. Attenuation of Proteasome-Induced Proteolysis in Skeletal Muscle by β-Hydroxy-β-Methylbutyrate in Cancer-Induced Muscle Loss. Cancer Res. 2005, 65, 277–283. [Google Scholar]
- Kovarik, M.; Muthny, T.; Sispera, L.; Holecek, M. Effects of β-hydroxy-β-methylbutyrate treatment in different types of skeletal muscle of intact and septic rats. J. Physiol. Biochem. 2010, 66, 311–319. [Google Scholar] [CrossRef]
- Girón, M.D.; Vilchez, J.D.; Shreeram, S.; Salto, R.; Manzano, M.; Cabrera, E.; Campos, N.; Edens, N.K.; Rueda, R.; López-Pedrosa, J.M. β-Hydroxy-β-Methylbutyrate (HMB) Normalizes Dexamethasone-Induced Autophagy-Lysosomal Pathway in Skeletal Muscle. PLoS ONE 2015, 10, e0117520. [Google Scholar] [CrossRef]
- Smith, H.J. Mechanism of the Attenuation of Proteolysis-Inducing Factor Stimulated Protein Degradation in Muscle by β-Hydroxy-β-Methylbutyrate. Cancer Res. 2004, 64, 8731–8735. [Google Scholar] [CrossRef] [PubMed] [Green Version]
- Integrated Care for Older People: Guidelines on Community-Level Interventions to Manage Declines in Intrinsic Capacity; WHO guidelines approved by the guidelines review committee; World Health Organization: Geneva, Switzerland, 2017; ISBN 978-92-4-155010-9. Available online: https://www.who.int/publications/i/item/9789241550109 (accessed on 1 March 2022).
- Sanz-Paris, A.; Camprubi-Robles, M.; Lopez-Pedrosa, J.M.; Pereira, S.L.; Rueda, R.; Ballesteros-Pomar, M.D.; Almeida, J.M.G.; Cruz-Jentoft, A.J. Role of Oral Nutritional Supplements Enriched with B-hydroxy-B-Methylbutyrate in Maintaining Muscle Function and Improving Clinical Outcomes in Various Clinical Settings. J. Nutr. Health Aging 2018, 22, 664–675. [Google Scholar] [CrossRef] [PubMed] [Green Version]
- Chew, S.T.H.; Tan, N.C.; Cheong, M.; Oliver, J.; Baggs, G.; Choe, Y.; How, C.H.; Chow, W.L.; Tan, C.Y.L.; Kwan, S.C.; et al. Impact of specialized oral nutritional supplement on clinical, nutritional, and functional outcomes: A randomized, placebo-controlled trial in community-dwelling older adults at risk of malnutrition. Clin. Nutr. 2021, 40, 1879–1892. [Google Scholar] [CrossRef]
- Cornejo-Pareja, I.; Ramirez, M.; Camprubi-Robles, M.; Rueda, R.; Vegas-Aguilar, I.M.; Garcia-Almeida, J.M. Effect on an Oral Nutritional Supplement with β-Hydroxy-β-methylbutyrate and Vitamin D on Morphofunctional Aspects, Body Composition, and Phase Angle in Malnourished Patients. Nutrients 2021, 13, 4355. [Google Scholar] [CrossRef] [PubMed]
- Detsky, A.S.; McLaughlin, J.R.; Baker, J.P.; Johnston, N.; Whittaker, S.; Mendelson, R.A.; Jeejeebhoy, K.N. What is subjective global assessment of nutritional status? J. Parenter. Enter. Nutr. 1987, 11, 8–13. [Google Scholar] [CrossRef] [PubMed] [Green Version]
- Cruz-Jentoft, A.J.; Baeyens, J.P.; Bauer, J.M.; Boirie, Y.; Cederholm, T.; Landi, F.; Martin, F.C.; Michel, J.-P.; Rolland, Y.; Schneider, S.M.; et al. Sarcopenia: European consensus on definition and diagnosis: Report of the European Working Group on Sarcopenia in Older People. Age Ageing 2010, 39, 412–423. [Google Scholar] [CrossRef] [PubMed] [Green Version]
- Ingenbleek, Y.; De Visscher, M.; De Nayer, P. Measurement of prealbumin as index of protein-calorie malnutrition. Lancet 1972, 300, 106–109. [Google Scholar] [CrossRef]
- Ingenbleek, Y.; Schrieck, H.-G.V.D.; De Nayer, P.; De Visscher, M. Albumin, transferrin and the thyroxine-binding prealbumin/retinol-binding protein (TBPA-RBP) complex in assessment of malnutrition. Clin. Chim. Acta 1975, 63, 61–67. [Google Scholar] [CrossRef]
- Haspolat, K.; Ece, A.; Gürkan, F.; Atamer, Y.; Tutanç, M.; Yolbaş, I. Relationships between leptin, insulin, IGF-1 and IGFBP-3 in children with energy malnutrition. Clin. Biochem. 2007, 40, 201–205. [Google Scholar] [CrossRef]
- Gielen, E.; O’Neill, T.W.; Pye, S.R.; Adams, J.E.; Wu, F.C.; Laurent, M.R.; Claessens, F.; Ward, K.A.; Boonen, S.; Bouillon, R.; et al. Endocrine determinants of incident sarcopenia in middle-aged and elderly European men. J. Cachex. Sarcopenia Muscle 2015, 6, 242–252. [Google Scholar] [CrossRef] [Green Version]
- Ascenzi, F.; Barberi, L.; Dobrowolny, G.; Villa Nova Bacurau, A.; Nicoletti, C.; Rizzuto, E.; Rosenthal, N.; Scicchitano, B.M.; Musarò, A. Effects of IGF-1 isoforms on muscle growth and sarcopenia. Aging Cell 2019, 18, e12954. [Google Scholar] [CrossRef]
- Dong, J.; Zeng, Y.; Zhang, P.; Li, C.; Chen, Y.; Li, Y.; Wang, K. Serum IGFBP2 Level Is a New Candidate Biomarker of Severe Malnutrition in Advanced Lung Cancer. Nutr. Cancer 2019, 72, 858–863. [Google Scholar] [CrossRef]
- Matukumalli, S.R.; Tangirala, R.; Rao, C.M. Clusterin: Full-length protein and one of its chains show opposing effects on cellular lipid accumulation. Sci. Rep. 2017, 7, 41235. [Google Scholar] [CrossRef] [Green Version]
- Depper, J.M.; Leonard, W.J.; Drogula, C.; Kronke, M.; Waldmann, T.A.; Greene, W.C. Interleukin 2 (IL-2) augments transcription of the IL-2 receptor gene. Proc. Natl. Acad. Sci. USA 1985, 82, 4230–4234. [Google Scholar] [CrossRef] [PubMed] [Green Version]
- González-Martínez, H.; Rodríguez, L.; Nájera, O.; Cruz, D.; Miliar, A.; Domínguez, A.; Sánchez, F.; Graniel, J.; González-Torres, M.C. Expression of Cytokine mRNA in Lymphocytes of Malnourished Children. J. Clin. Immunol. 2008, 28, 593–599. [Google Scholar] [CrossRef] [PubMed]
- Chen, J.; Zeng, F.; Forrester, S.J.; Eguchi, S.; Zhang, M.-Z.; Harris, R.C. Expression and Function of the Epidermal Growth Factor Receptor in Physiology and Disease. Physiol. Rev. 2016, 96, 1025–1069. [Google Scholar] [CrossRef] [PubMed]
- Zhu, M.; Qin, Y.-C.; Gao, C.-Q.; Yan, H.-C.; Wang, X.-Q. l-Glutamate drives porcine intestinal epithelial renewal by increasing stem cell activity via upregulation of the EGFR-ERK-mTORC1 pathway. Food Funct. 2020, 11, 2714–2724. [Google Scholar] [CrossRef] [PubMed]
- Li, Y.-H.; Kuo, C.-H.; Shi, G.-Y.; Wu, H.-L. The role of thrombomodulin lectin-like domain in inflammation. J. Biomed. Sci. 2012, 19, 34. [Google Scholar] [CrossRef] [PubMed] [Green Version]
- Ricklin, D.; Reis, E.S.; Mastellos, D.C.; Gros, P.; Lambris, J.D. Complement component C3—The “Swiss Army Knife” of innate immunity and host defense. Immunol. Rev. 2016, 274, 33–58. [Google Scholar] [CrossRef] [PubMed] [Green Version]
- Pilling, D.; Gomer, R.H. The Development of Serum Amyloid P as a Possible Therapeutic. Front. Immunol. 2018, 9, 2328. [Google Scholar] [CrossRef] [Green Version]
- Van Greevenbroek, M.M.J.; Arts, I.C.W.; Van Der Kallen, C.J.H.; Dagnelie, P.C.; Ferreira, I.; Jansen, E.; Schalkwijk, C.G.; Feskens, E.J.M.; Stehouwer, C.D.A. Complement C3 Is Inversely Associated with Habitual Intake of Provitamin A but Not with Dietary Fat, Fatty Acids, or Vitamin E in Middle-Aged to Older White Adults and Positively Associated with Intake of Retinol in Middle-Aged to Older White Women. J. Nutr. 2013, 144, 61–67. [Google Scholar] [CrossRef] [Green Version]
- Weber, M.-A.; Kinscherf, R.; Krakowski-Roosen, H.; Aulmann, M.; Renk, H.; Künkele, A.; Edler, L.; Kauczor, H.-U.; Hildebrandt, W. Myoglobin plasma level related to muscle mass and fiber composition—A clinical marker of muscle wasting? Klin. Wochenschr. 2007, 85, 887–896. [Google Scholar] [CrossRef]
- Pereira, S.; Davis, G.; Luo, M.; Gawel, S.; Chandran, R.; Deutz, N.; Wolfe, R.; Edens, N. LB010-sun β-HYDROXY-β-methylbutyrate (HMB) modulates circulating biomarkers in older adults on extended bedrest (BR). Clin. Nutr. 2013, 32, S226. [Google Scholar] [CrossRef]
- Maue, A.C.; Haynes, L. CD4+ T Cells and Immunosenescence—A Mini-Review. Gerontology 2009, 55, 491–495. [Google Scholar] [CrossRef] [PubMed]
- Agarwal, S.; Busse, P.J. Innate and adaptive immunosenescence. Ann. Allergy Asthma Immunol. 2010, 104, 183–190. [Google Scholar] [CrossRef] [PubMed]
- Keilich, S.R.; Bartley, J.M.; Haynes, L. Diminished immune responses with aging predispose older adults to common and uncommon influenza complications. Cell. Immunol. 2019, 345, 103992. [Google Scholar] [CrossRef] [PubMed]
- Ibrahim, M.K.; Zambruni, M.; Melby, C.L.; Melby, P.C. Impact of Childhood Malnutrition on Host Defense and Infection. Clin. Microbiol. Rev. 2017, 30, 919–971. [Google Scholar] [CrossRef] [Green Version]
- Watson, R.R.; McMurray, D.N.; Martin, P.; Reyes, M.A. Effect of age, malnutrition and renutrition on free secretory component and IgA in secretions. Am. J. Clin. Nutr. 1985, 42, 281–288. [Google Scholar] [CrossRef] [Green Version]
- Reddy, V.; Raghuramulu, N.; Bhaskaram, C. Secretory IgA in protein-calorie malnutrition. Arch. Dis. Child 1976, 51, 871–874. [Google Scholar] [CrossRef] [Green Version]
- Charoenngam, N.; Holick, M.F. Immunologic Effects of Vitamin D on Human Health and Disease. Nutrients 2020, 12, 2097. [Google Scholar] [CrossRef]
- Wójcik, R.; Małaczewska, J.; Zwierzchowski, G.; Miciński, J.; Kaczorek-Łukowska, E. The influence of dietary supplementation with the leucine metabolite β-hydroxy-β-methylbutyrate (HMB) on the chemotaxis, phagocytosis and respiratory burst of peripheral blood granulocytes and monocytes in calves. BMC Veter. Res. 2020, 16, 171. [Google Scholar] [CrossRef]
- Peterson, A.L.; Qureshi, M.A.; Ferket, P.R.; Fuller, J.C. Enhancement of Cellular and Humoral Immunity in Young Broilers by the Dietary Supplementation of β-Hydroxy-β-Methylbutyrate. Immunopharmacol. Immunotoxicol. 1999, 21, 307–330. [Google Scholar] [CrossRef]
- Wójcik, R.; Ząbek, K.; Małaczewska, J.; Milewski, S.; Kaczorek-Łukowska, E. The Effects of β-Hydroxy-β-Methylbutyrate (HMB) on Chemotaxis, Phagocytosis, and Oxidative Burst of Peripheral Blood Granulocytes and Monocytes in Goats. Animals 2019, 9, 1031. [Google Scholar] [CrossRef] [Green Version]
- Matheson, E.; Luo, M.; Davis, G.; Baggs, G.; Nelson, J.; Pereira, S.; Hagazi, R.; Ahmed, N.; Steele, C.; Deutz, N. MON-P090: Effect of a Specialized Ons on Serum Markers of Nutrition and Inflammation in Hospitalized Malnourished Older Patients. Clin. Nutr. 2016, 35, S186. [Google Scholar] [CrossRef]
- Semba, R.D.; Blaum, C.; Guralnik, J.M.; Moncrief, D.T.; Ricks, M.O.; Fried, L.P. Carotenoid and vitamin E status are associated with indicators of sarcopenia among older women living in the community. Aging Clin. Exp. Res. 2003, 15, 482–487. [Google Scholar] [CrossRef] [PubMed]
- Dominguez, L.J.; Barbagallo, M.; Lauretani, F.; Bandinelli, S.; Bos, A.; Corsi, A.M.; Simonsick, E.M.; Ferrucci, L. Magnesium and Muscle Performance in Older Persons: The InCHIANTI Study. Am. J. Clin. Nutr. 2006, 84, 419–426. [Google Scholar] [CrossRef] [PubMed]
- Petermann-Rocha, F.; Gray, S.R.; Pell, J.P.; Celis-Morales, C.; Ho, F.K. Biomarkers Profile of People with Sarcopenia: A Cross-sectional Analysis from UK Biobank. J. Am. Med. Dir. Assoc. 2020, 21, 2017e1–2017e9. [Google Scholar] [CrossRef] [PubMed]
- Barrett-Connor, E.; Laughlin, G.A.; Li, H.; Nielson, C.M.; Wang, P.Y.; Dam, T.T.; Cauley, J.A.; Ensrud, K.E.; Stefanick, M.L.; Lau, E.; et al. The association of concurrent vitamin D and sex hormone deficiency with bone loss and fracture risk in older men: The osteoporotic fractures in men (MrOS) study. J. Bone Miner. Res. 2012, 27, 2306–2313. [Google Scholar] [CrossRef]
- Visser, M.; Pahor, M.; Taaffe, D.R.; Goodpaster, B.H.; Simonsick, E.M.; Newman, A.B.; Nevitt, M.; Harris, T.B. Relationship of Interleukin-6 and Tumor Necrosis Factor with Muscle Mass and Muscle Strength in Elderly Men and Women: The Health ABC Study. J. Gerontol. 2002, 57, M326–M332. [Google Scholar] [CrossRef] [Green Version]
- Rong, Y.-D.; Bian, A.-L.; Hu, H.-Y.; Ma, Y.; Zhou, X.-Z. Study on relationship between elderly sarcopenia and inflammatory cytokine IL-6, anti-inflammatory cytokine IL-10. BMC Geriatr. 2018, 18, 308. [Google Scholar] [CrossRef] [Green Version]
- Icer, M.A.; Gezmen-Karadag, M. The multiple functions and mechanisms of osteopontin. Clin. Biochem. 2018, 59, 17–24. [Google Scholar] [CrossRef] [PubMed]
- Karadag, F.; Gulen, S.T.; Karul, A.B.; Kilicarslan, N.; Ceylan, E.; Kuman, N.K.; Cildag, O. Osteopontin as a marker of weight loss in lung cancer. Scand. J. Clin. Lab. Investig. 2011, 71, 690–694. [Google Scholar] [CrossRef]
- Aparicio-Siegmund, S.; Garbers, Y.; Flynn, C.M.; Waetzig, G.H.; Gouni-Berthold, I.; Krone, W.; Berthold, H.K.; Laudes, M.; Rose-John, S.; Garbers, C. The IL-6-neutralizing sIL-6R-sgp130 buffer system is disturbed in patients with type 2 diabetes. Am. J. Physiol. Metab. 2019, 317, E411–E420. [Google Scholar] [CrossRef]
- Lustosa, L.P.; Batista, P.P.; Pereira, D.S.; Pereira, L.S.M.; Scianni, A.; Ribeiro-Samora, G.A. Comparison between parameters of muscle performance and inflammatory biomarkers of non-sarcopenic and sarcopenic elderly women. Clin. Interv. Aging 2017, 12, 1183–1191. [Google Scholar] [CrossRef] [PubMed] [Green Version]
- Waetzig, G.H.; Rosenstiel, P.; Arlt, A.; Till, A.; Bräutigam, K.; Schäfer, H.; Rose-John, S.; Seegert, D.; Schreiber, S. Soluble tumor necrosis factor (TNF) receptor-1 induces apoptosis via reverse TNF signaling and autocrine transforming growth factor-β1. FASEB J. 2004, 19, 91–93. [Google Scholar] [CrossRef] [PubMed]
- Cankurtaran, M.; Yavuz, B.; Halil, M.; Ulger, Z.; Haznedaroğlu, I.; Arıoğul, S. Increased ferritin levels could reflect ongoing aging-associated inflammation and may obscure underlying iron deficiency in the geriatric population. Eur. Geriatr. Med. 2012, 3, 277–280. [Google Scholar] [CrossRef]
- Hoffman, J.R.; Gepner, Y.; Stout, J.R.; Hoffman, M.W.; Ben-Dov, D.; Funk, S.; Daimont, I.; Jajtner, A.R.; Townsend, J.R.; Church, D.D.; et al. β-Hydroxy-β-methylbutyrate attenuates cytokine response during sustained military training. Nutr. Res. 2016, 36, 553–563. [Google Scholar] [CrossRef]
- Gepner, Y.; Hoffman, J.R.; Shemesh, E.; Stout, J.R.; Church, D.D.; Varanoske, A.N.; Zelicha, H.; Shelef, I.; Chen, Y.; Frankel, H.; et al. Combined effect of Bacillus coagulans GBI-30, 6086 and HMB supplementation on muscle integrity and cytokine response during intense military training. J. Appl. Physiol. 2017, 123, 11–18. [Google Scholar] [CrossRef] [PubMed] [Green Version]
- Ma, S.-L.; Wu, J.; Zhu, L.; Chan, R.; Wang, X.; Huang, D.; Tang, N.; Woo, J. Peripheral Blood T Cell Gene Expression Responses to Exercise and HMB in Sarcopenia. Nutrients 2021, 13, 2313. [Google Scholar] [CrossRef]
Publisher’s Note: MDPI stays neutral with regard to jurisdictional claims in published maps and institutional affiliations. |
© 2022 by the authors. Licensee MDPI, Basel, Switzerland. This article is an open access article distributed under the terms and conditions of the Creative Commons Attribution (CC BY) license (https://creativecommons.org/licenses/by/4.0/).
