Body Composition Analysis in Postoperative Breast Cancer Patients Undergoing Chemotherapy and Its Association with Physical Activity and Quality of Life: A Longitudinal Pilot Study
Abstract
1. Introduction
2. Materials and Methods
2.1. Participants
2.2. Study Design
2.3. Assessment
2.4. Ethics
2.5. Statistical Analysis
3. Results
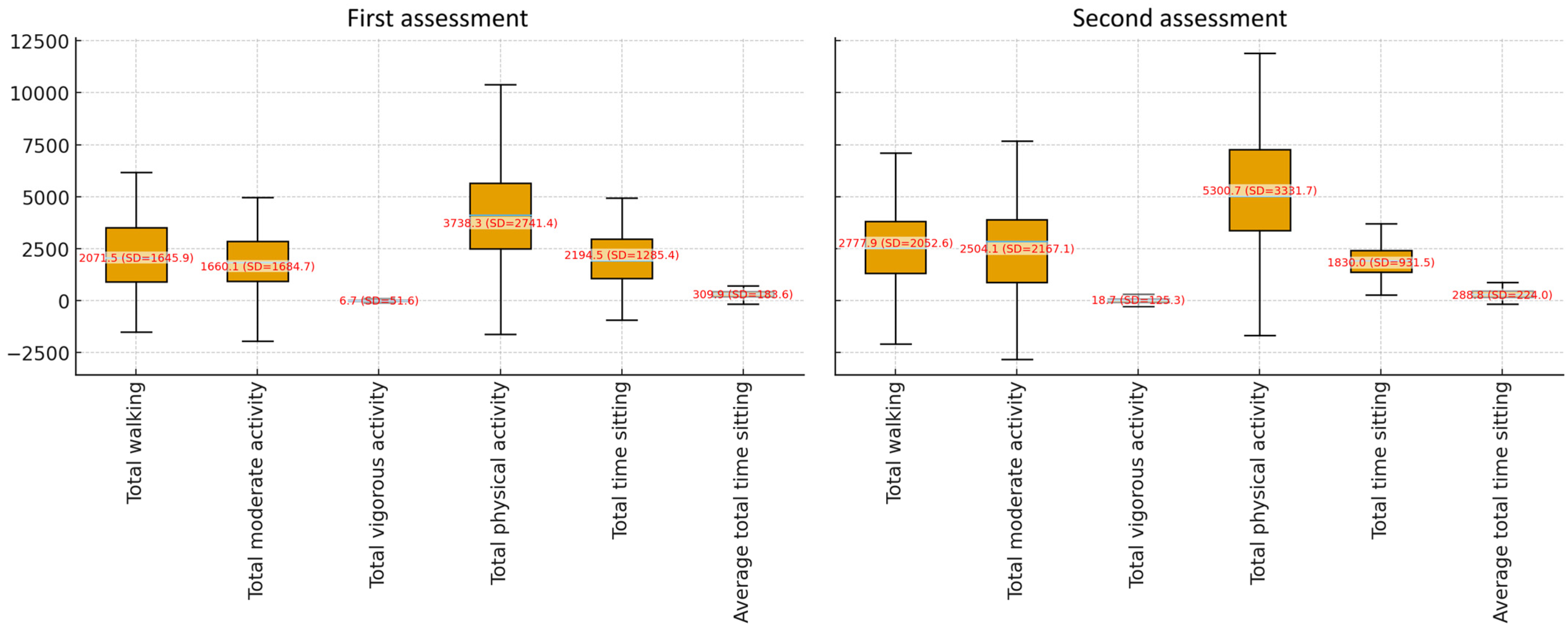
3.1. Physical Activity
3.2. Quality of Life
3.3. Body Composition Analysis Along with Physical Activity and Quality of Life
4. Discussion
5. Conclusions
Author Contributions
Funding
Institutional Review Board Statement
Informed Consent Statement
Data Availability Statement
Conflicts of Interest
Abbreviations
| ACSM | American College of Sports Medicine |
| ABSI | A Body Shape Index |
| BMI | Body Mass Index |
| FFMI | Fat-Free Mass Index |
| HER2 | Human Epidermal Growth Factor Receptor 2 |
| HIIT | High-Intensity Interval Training |
| IPAQ-L | International Physical Activity Questionnaire–Long Form |
| MICT | Moderate-Intensity Continuous Training |
| QoL | Quality of Life |
| SD | Standard Deviation |
| WHOQOL-BREF | World Health Organization Quality of Life–BREF |
References
- Sung, H.; Ferlay, J.; Siegel, R.L.; Laversanne, M.; Soerjomataram, I.; Jemal, A.; Bray, F. Global Cancer Statistics 2020: GLOBOCAN Estimates of Incidence and Mortality Worldwide for 36 Cancers in 185 Countries. CA Cancer J. Clin. 2021, 71, 209–249. [Google Scholar] [CrossRef] [PubMed]
- Shaikh, H.; Bradhurst, P.; Ma, L.X.; Tan, S.Y.; Egger, S.J.; Vardy, J.L. Body Weight Management in Overweight and Obese Breast Cancer Survivors. Cochrane Database Syst. Rev. 2020, 12, CD012110. [Google Scholar] [CrossRef] [PubMed]
- Brown, J.C.; Sarwer, D.B.; Troxel, A.B.; Sturgeon, K.; DeMichele, A.M.; Denlinger, C.S.; Schmitz, K.H. A Randomized Trial of Exercise and Diet on Body Composition in Survivors of Breast Cancer with Overweight or Obesity. Breast Cancer Res. Treat. 2021, 189, 145–154. [Google Scholar] [CrossRef] [PubMed]
- Yang, H.; Liu, H.; Zhang, X. Exercise Interventions on Body Composition and Quality of Life of Overweight/Obese Breast Cancer Survivors: A Meta-Analysis. BMC Women’s Health 2023, 23, 484. [Google Scholar] [CrossRef]
- American College of Sports Medicine. Exercise and Cancer Resources. Available online: https://acsm.org/education-resources/trending-topics-resources/cancer/ (accessed on 20 September 2025).
- Skevington, S.M.; Tucker, C. Designing Response Scales for Cross-Cultural Use in Health Care: Data from the Development of the UK WHOQOL. Br. J. Med. Psychol. 1999, 72, 51–61. [Google Scholar] [CrossRef]
- Harper, A.; Power, M. WHOQOL User Manual; University of Edinburgh: Edinburgh, UK, 1999. [Google Scholar]
- Mannocci, A.; Masala, D.; Mei, D.; Tribuzio, A.M.; Villari, P.; La Torre, G. International Physical Activity Questionnaire for Adolescents (IPAQ A): Reliability of an Italian Version. Minerva Pediatr. 2021, 73, 383–390. [Google Scholar] [CrossRef]
- Biernat, E.; Stupnicki, R.; Gajewski, A. International Physical Activity Questionnaire (IPAQ)—Polish Version. Phys. Educ. Sport 2007, 51, 47–54. [Google Scholar]
- Porciúncula Frenzel, A.; Aberici Pastore, C.; González, M.C. The Influence of Body Composition on Quality of Life of Patients with Breast Cancer. Nutr. Hosp. 2013, 28, 1475–1482. [Google Scholar] [CrossRef]
- Pavlović Mavić, M.; Šeparović, R.; Vazdar, L.; Vuger, A.T.; Banović, M. Impact of Body Composition on the Quality of Life of Premenopausal Patients with Early Stage Breast Cancer during Chemotherapy. Acta Clin. Croat. 2022, 61, 605–612. [Google Scholar] [CrossRef] [PubMed]
- Hojan, K.; Molińska-Glura, M.; Milecki, P. Physical Activity and Body Composition, Body Physique, and Quality of Life in Premenopausal Breast Cancer Patients during Endocrine Therapy—A Feasibility Study. Acta Oncol. 2013, 52, 319–326. [Google Scholar] [CrossRef] [PubMed]
- Isanejad, A.; Nazari, S.; Gharib, B.; Motlagh, A.G. Comparison of the Effects of High-Intensity Interval and Moderate-Intensity Continuous Training on Inflammatory Markers, Cardiorespiratory Fitness, and Quality of Life in Breast Cancer Patients. J. Sport Health Sci. 2023, 12, 674–689. [Google Scholar] [CrossRef] [PubMed]
- Joaquim, A.; Leão, I.; Antunes, P.; Capela, A.; Viamonte, S.; Alves, A.J.; Helguero, L.A.; Macedo, A. Impact of Physical Exercise Programs in Breast Cancer Survivors on Health-Related Quality of Life, Physical Fitness, and Body Composition: Evidence from Systematic Reviews and Meta-Analyses. Front. Oncol. 2022, 12, 955505. [Google Scholar] [CrossRef] [PubMed]
- Courneya, K.S.; An, K.Y.; Arthuso, F.Z.; Bell, G.J.; Morielli, A.R.; McNeil, J.; Wang, Q.; Allen, S.J.; Ntoukas, S.M.; McNeely, M.L.; et al. Associations between Health-Related Fitness and Quality of Life in Newly Diagnosed Breast Cancer Patients. Breast Cancer Res. Treat. 2023, 199, 533–544. [Google Scholar] [CrossRef] [PubMed]
- Kämmerer, U.; Klement, R.J.; Joos, F.T.; Sütterlin, M.; Reuss-Borst, M. Low Carb and Ketogenic Diets Increase Quality of Life, Physical Performance, Body Composition, and Metabolic Health of Women with Breast Cancer. Nutrients 2021, 13, 1029. [Google Scholar] [CrossRef] [PubMed]
- Ligorio, F.; Zambelli, L.; Fucà, G.; Lobefaro, R.; Santamaria, M.; Zattarin, E.; de Braud, F.; Vernieri, C. Prognostic Impact of Body Mass Index (BMI) in HER2+ Breast Cancer Treated with Anti-HER2 Therapies: From Preclinical Rationale to Clinical Implications. Ther. Adv. Med. Oncol. 2022, 14, 17588359221079123. [Google Scholar] [CrossRef] [PubMed]

| First Assessment | Second Assessment | p-Value * | |||||||
|---|---|---|---|---|---|---|---|---|---|
| Domains | M | SD | Min.–Max. | % n ≥M | M | SD | Min.–Max. | % n ≥M | |
| Physical | 54.7 | 12.7 | 25.0–75.0 | 45% | 54.2 | 10.5 | 38.0–69.0 | 51.7% | 0.798 |
| Psychological | 68.8 | 14.7 | 21.0–94 | 71.7% | 72.4 | 12.5 | 19.0–100.0 | 56.7% | 0.113 |
| Social relationships | 51.4 | 8.0 | 6.0–56.0 | 51.7% | 51.5 | 7.7 | 25.0–56.0 | 63.3% | 0.788 |
| Environment | 81.5 | 13.9 | 44.0–100.0 | 45% | 85.7 | 12.7 | 38.0–100.0 | 58.3% | 0.028 |
| First Assessment | Second Assessment | Assessment Difference (II–I) | p-Value | |||||||||
|---|---|---|---|---|---|---|---|---|---|---|---|---|
| M ± SD | Min–Max | Me | Q1 | Q3 | M ± SD | Min–Max | Me | Q1 | Q3 | |||
| Body mass [kg] | 69.5 ± 12.4 | 45.6–95.4 | 69.5 | 60.5 | 76.9 | 70.5 ± 12.4 | 47.6–98.3 | 70.8 | 62.5 | 78.1 | 1.0 | 0.001 ** |
| Waist circumference [cm] | 92.9 ± 10.3 | 71.0–117.0 | 92.0 | 84.0 | 100.5 | 93.5 ± 9.8 | 71.0–140.0 | 93.0 | 84.0 | 102.0 | 0.1 | 0.539 ** |
| Hip circumference [cm] | 109.0 ± 11.6 | 73.0–133.0 | 108.0 | 102.0 | 117.0 | 108.6 ± 12.4 | 75.0–134.0 | 108.0 | 100.5 | 116.5 | −0.4 | 0.564 ** |
| Arm circumference [cm] | 32.7 ± 7.5 | 25.0–81.0 | 31.0 | 29.0 | 35.0 | 33.5 ± 8.1 | 24.0–73.0 | 31.5 | 30.0 | 35.0 | 0.8 | 0.209 * |
| WHR | 0.86 ± 0.11 | 0.72–1.54 | 0.84 | 0.80 | 0.89 | 0.87 ± 0.16 | 0.72–1.87 | 0.85 | 0.81 | 0.89 | 0.01 | 0.564 * |
| BMI | 26.6 ± 5.1 | 17.7–41.8 | 25.8 | 22.8 | 29.6 | 26.9 ± 5.0 | 17.8–41.1 | 26.4 | 23.3 | 29.9 | 0.3 | 0.001 ** |
| FFMI | 17.6 ± 1.9 | 14.5–24.4 | 17.4 | 16.1 | 18.5 | 17.8 ± 1.8 | 13.9–23.5 | 17.6 | 16.5 | 19.0 | 0.2 | 0.011 * |
| ABSI | 0.08 ± 0.005 | 0.07–0.10 | 0.08 | 0.07 | 0.08 | 0.08 ± 0.008 | 0.06–0.13 | 0.08 | 0.07 | 0.08 | 0.0 | 0.085 |
| Fat content [%] | 32.5 ± 7.6 | 15.3–44.3 | 33.1 | 27.5 | 38.8 | 32.7 ± 7.4 | 13.9–46.6 | 33.4 | 28.4 | 37.7 | 0.2 | 0.874 * |
| Muscles [kg] | 43.8 ± 4.6 | 34.6–52.9 | 42.6 | 40.1 | 47.0 | 44.4 ± 4.7 | 35.4–54.3 | 44.8 | 41.3 | 48.3 | 0.6 | 0.001 ** |
| Right leg | ||||||||||||
| Fat content [%] | 38.4 ± 6.3 | 25.2–51.3 | 38.9 | 34.2 | 43.4 | 38.2 ± 6.7 | 20.7–20.7 | 39.4 | 52.2 | 33.6 | −0.2 | 0.536 ** |
| Muscles [kg] | 7.2 ± 0.8 | 5.8–8.9 | 7.2 | 6.6 | 7.8 | 7.3 ± 0.8 | 5.6–9.1 | 7.5 | 6.8 | 7.8 | 0.1 | 0.002 ** |
| Left leg | ||||||||||||
| Fat content [%] | 38.5 ± 6.1 | 26.0–49.9 | 39.0 | 34.8 | 43.1 | 38.7 ± 6.2 | 25.9–50.9 | 39.7 | 34.3 | 42.6 | 0.2 | 0.307 ** |
| Muscles [kg] | 7.1 ± 0.8 | 5.6–9.0 | 7.0 | 6.5 | 7.5 | 7.2 ± 0.8 | 5.6–8.9 | 7.2 | 6.6 | 7.7 | 0.1 | 0.023 ** |
| Right arm | ||||||||||||
| Fat content [%] | 30.6 ± 11.0 | 7.4–52.4 | 31.5 | 23.3 | 38.7 | 31.5 ± 10.6 | 6.9–51.8 | 31.9 | 25.2 | 39.1 | 0.9 | 0.041 ** |
| Muscles [kg] | 2.3 ± 0.3 | 1.7–3.1 | 2.2 | 2.0 | 2.5 | 2.3 ± 0.3 | 1.7–3.1 | 2.3 | 2.1 | 2.4 | 0.0 | 0.282 ** |
| Left arm | ||||||||||||
| Fat content [%] | 32.5 ± 10.5 | 11.0–54.3 | 32.6 | 26.1 | 40.5 | 32.8 ± 10.4 | 6.9–53.6 | 32.5 | 26.8 | 40.6 | 0.3 | 0.543 ** |
| Muscles [kg] | 2.2 ± 0.3 | 1.6–2.9 | 2.2 | 2.0 | 2.5 | 2.3 ± 0.3 | 1.6–3.0 | 2.3 | 2.1 | 2.5 | 0.1 | 0.001 ** |
| Trunk | ||||||||||||
| Fat content [%] | 28.6 ± 8.5 | 6.9–41.8 | 29.9 | 22.5 | 35.3 | 28.8 ± 8.0 | 7.0–45.5 | 30.0 | 24.7 | 34.1 | 0.2 | 0.918 * |
| Muscles [kg] | 25.0 ± 2.5 | 19.9–29.7 | 24.6 | 22.8 | 27.1 | 25.3 ± 2.7 | 19.3–30.9 | 25.5 | 23.5 | 27.2 | 0.3 | 0.032 * |
| Body Composition Variables | IPAQ-L Domains | First Assessment | Second Assessment | ||
|---|---|---|---|---|---|
| Spearman’s Rho | p-Value | Spearman’s Rho | p-Value | ||
| Body mass [kg] | Total walking | −0.034 | 0.794 | −0.126 | 0.337 |
| Total moderate activity | 0.171 | 0.189 | 0.145 | 0.268 | |
| Total vigorous activity | −0.052 | 0.689 | −0.149 | 0.256 | |
| Total physical activity | 0.129 | 0.328 | 0.019 | 0.882 | |
| Total time sitting | −0.047 | 0.722 | 0.203 | 0.120 | |
| Average total time sitting | −0.013 | 0.922 | 0.282 | 0.029 | |
| BMI | Total walking | −0.048 | 0.712 | −0.073 | 0.578 |
| Total moderate activity | 0.104 | 0.428 | 0.073 | 0.577 | |
| Total vigorous activity | −0.090 | 0.493 | −0.153 | 0.244 | |
| Total physical activity | 0.064 | 0.629 | 0.019 | 0.881 | |
| Total time sitting | −0.026 | 0.846 | 0.169 | 0.195 | |
| Average total time sitting | 0.011 | 0.933 | 0.256 | 0.048 | |
| WHR | Total walking | −0.142 | 0.281 | −0.095 | 0.469 |
| Total moderate activity | −0.120 | 0.360 | 0.145 | 0.268 | |
| Total vigorous activity | −0.184 | 0.159 | −0.257 | 0.048 | |
| Total physical activity | −0.128 | 0.328 | 0.003 | 0.979 | |
| Total time sitting | 0.023 | 0.861 | 0.141 | 0.282 | |
| Average total time sitting | 0.073 | 0.578 | 0.131 | 0.318 | |
| Fat content [%] | Total walking | −0.001 | 0.992 | −0.062 | 0.636 |
| Total moderate activity | 0.238 | 0.067 | 0.021 | 0.876 | |
| Total vigorous activity | −0.150 | 0.251 | −0.178 | 0.175 | |
| Total physical activity | 0.173 | 0.185 | −0.038 | 0.772 | |
| Total time sitting | −0.047 | 0.719 | 0.035 | 0.793 | |
| Average total time sitting | 0.000 | 0.995 | 0.109 | 0.405 | |
| Muscles [kg] | Total walking | −0.079 | 0.546 | −0.169 | 0.195 |
| Total moderate activity | 0.134 | 0.307 | 0.198 | 0.129 | |
| Total vigorous activity | 0.094 | 0.475 | −0.064 | 0.626 | |
| Total physical activity | 0.064 | 0.625 | 0.055 | 0.677 | |
| Total time sitting | 0.006 | 0.965 | 0.288 | 0.026 | |
| Average total time sitting | 0.001 | 0.992 | 0.368 | 0.004 | |
| Body Composition Variables | WHOQOL-BREF Domains | First Assessment | Second Assessment | ||
|---|---|---|---|---|---|
| Spearman’s Rho | p-Value | Spearman’s Rho | p-Value | ||
| Body mass [kg] | Physical | −0.169 | 0.196 | −0.189 | 0.149 |
| Psychological | −0.249 | 0.055 | −0.088 | 0.503 | |
| Social relationships | −0.169 | 0.195 | −0.131 | 0.319 | |
| Environment | −0.197 | 0.131 | −0.091 | 0.486 | |
| BMI | Physical | −0.235 | 0.070 | −0.163 | 0.213 |
| Psychological | −0.299 | 0.020 | −0.078 | 0.552 | |
| Social relationships | −0.213 | 0.102 | −0.107 | 0.415 | |
| Environment | −0.220 | 0.091 | 0.031 | 0.817 | |
| WHR | Physical | −0.029 | 0.827 | −0.233 | 0.073 |
| Psychological | −0.035 | 0.793 | −0.308 | 0.017 | |
| Social relationships | −0.169 | 0.198 | −0.140 | 0.285 | |
| Environment | −0.132 | 0.316 | −0.162 | 0.215 | |
| Fat content [%] | Physical | −0.266 | 0.040 | −0.151 | 0.248 |
| Psychological | −0.249 | 0.054 | −0.101 | 0.442 | |
| Social relationships | −0.256 | 0.049 | −0.032 | 0.809 | |
| Environment | −0.210 | 0.107 | −0.012 | 0.929 | |
| Muscles [kg] | Physical | 0.042 | 0.748 | −0.076 | 0.564 |
| Psychological | −0.086 | 0.513 | −0.065 | 0.621 | |
| Social relationships | 0.074 | 0.574 | −0.114 | 0.386 | |
| Environment | −0.031 | 0.815 | −0.095 | 0.473 | |
Disclaimer/Publisher’s Note: The statements, opinions and data contained in all publications are solely those of the individual author(s) and contributor(s) and not of MDPI and/or the editor(s). MDPI and/or the editor(s) disclaim responsibility for any injury to people or property resulting from any ideas, methods, instructions or products referred to in the content. |
© 2025 by the authors. Licensee MDPI, Basel, Switzerland. This article is an open access article distributed under the terms and conditions of the Creative Commons Attribution (CC BY) license (https://creativecommons.org/licenses/by/4.0/).
Share and Cite
Grupińska, J.; Wlazło, M.; Grajek, M.; Budzyń, M.; Malchrowicz-Mośko, E.; Jurys, T. Body Composition Analysis in Postoperative Breast Cancer Patients Undergoing Chemotherapy and Its Association with Physical Activity and Quality of Life: A Longitudinal Pilot Study. Nutrients 2025, 17, 3352. https://doi.org/10.3390/nu17213352
Grupińska J, Wlazło M, Grajek M, Budzyń M, Malchrowicz-Mośko E, Jurys T. Body Composition Analysis in Postoperative Breast Cancer Patients Undergoing Chemotherapy and Its Association with Physical Activity and Quality of Life: A Longitudinal Pilot Study. Nutrients. 2025; 17(21):3352. https://doi.org/10.3390/nu17213352
Chicago/Turabian StyleGrupińska, Joanna, Marika Wlazło, Mateusz Grajek, Magdalena Budzyń, Ewa Malchrowicz-Mośko, and Tomasz Jurys. 2025. "Body Composition Analysis in Postoperative Breast Cancer Patients Undergoing Chemotherapy and Its Association with Physical Activity and Quality of Life: A Longitudinal Pilot Study" Nutrients 17, no. 21: 3352. https://doi.org/10.3390/nu17213352
APA StyleGrupińska, J., Wlazło, M., Grajek, M., Budzyń, M., Malchrowicz-Mośko, E., & Jurys, T. (2025). Body Composition Analysis in Postoperative Breast Cancer Patients Undergoing Chemotherapy and Its Association with Physical Activity and Quality of Life: A Longitudinal Pilot Study. Nutrients, 17(21), 3352. https://doi.org/10.3390/nu17213352

