Abstract
Mycotoxins are secondary metabolites produced by fungi that infect a wide range of foods worldwide. Nivalenol (NIV), a type B trichothecene produced by numerous Fusarium species, has the ability to infect a variety of foods both in the field and during post-harvest handling and management. NIV is frequently found in cereal and cereal-based goods, and its strong cytotoxicity poses major concerns for both human and animal health. To address these issues, this review briefly overviews the sources, occurrence, chemistry and biosynthesis of NIV. Additionally, a brief overview of several sophisticated detection and management techniques is included, along with the implications of processing and environmental factors on the formation of NIV. This review’s main goal is to offer trustworthy and current information on NIV as a mycotoxin concern in foods, with potential mitigation measures to assure food safety and security.
Keywords:
nivalenol; food contamination; human and animal health; detection and management strategies Key Contribution:
Food contamination with nivalenol is a significant concern worldwide. This article briefly highlights the occurrence, chemistry and biosynthesis, impact of processing and environmental factors on the formation of NIV, along with their detection and management strategies for food safety and security.
1. Introduction
Mycotoxins, which are secondary metabolites produced by many fungi, can be detrimental to both human and animal’s health when ingested through contaminated food [1,2,3,4,5,6]. The contamination of crops and their processed products is a major public health and economic concern. More than 80% of the agricultural produce is contaminated by at least one mycotoxin. Several genera of fungi, including Cephalosporium, Cyclindrocarpon, Myrothecium, Phomopsis, Stachybotrys, Trichoderma, Trichotecium, and Verticimonosporium species, are mainly responsible for the mycotoxin production among which the trichothecene group of mycotoxins share a major proportion, and hence pose wider concerns [7]. The trichothecene group of mycotoxins are categorized as type A, B, C, and D, which includes more than 170 different toxins, but their toxicity potential depends upon the type of mycotoxin being produced by the fungi [8].
Nivalenol (NIV) is one of the major mycotoxins, produced by several Fusarium species and belongs to the type B trichothecene. It is a natural contaminant found worldwide in various foodstuffs. Due to the potent cytotoxicity, NIV constitutes a serious health risk to both humans and animals. Its contamination is observed very frequently in agricultural products. Crops, such as wheat, barley, and corn, are usually contaminated with NIV, as these crops are more prone to the growth of NIV-producing fungal species [9,10,11]. Furthermore, NIV is also resistant against food processing conditions, thereby leading to the further spread of NIV-induced mycotoxicosis in consumers [12]. Controlling NIV exposure is especially important because of how frequently it contaminates foods and how easily it can harm mammals through immunotoxicity and hemotoxicity [13]. NIV can produce certain complications, such as inhibition of cell proliferation, induction of CXCL8/interleukin (IL) -8 secretions, and the involvement of stress-activated mitogen-activated protein kinases [14,15,16].
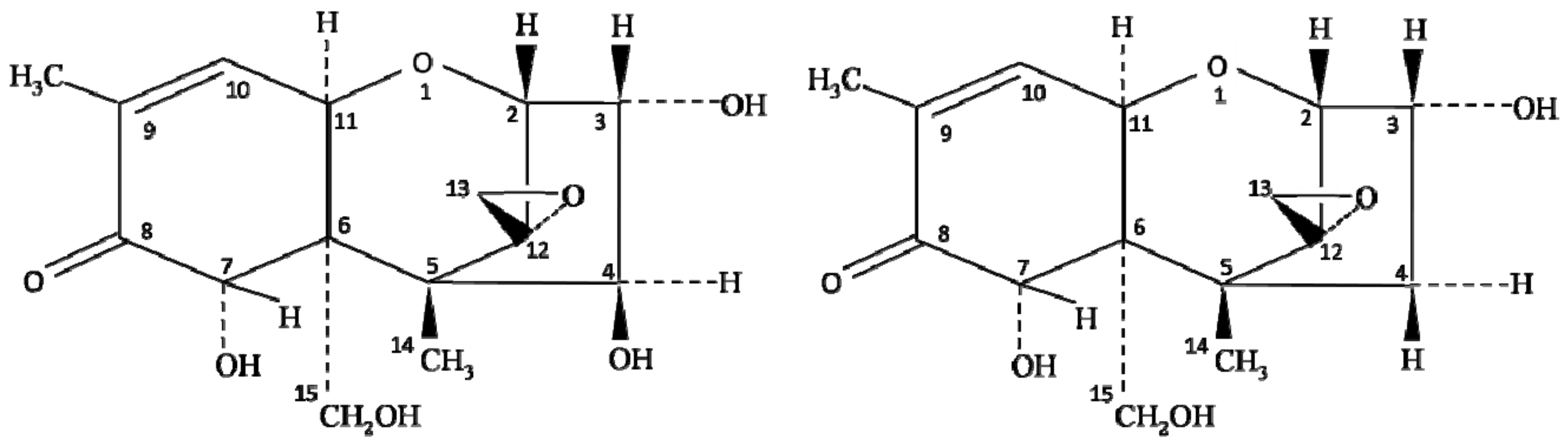
Chemically, the structure of NIV is very similar to DON (deoxynivalenol) mycotoxin of the type B trichothecene group. The only difference between NIV and DON is one oxygen atom at the C-4 position (Figure 1); however, the toxicity of these oxides of carbon completely differs from each other. The co-occurrence of NIV and DON has been reported extensively, but the oxidative stress and toxicity induced by NIV contamination are higher than that described for DON [7,12]. Several studies have reported the contamination of NIV in foods, including wheat [17,18], barley [19,20], groundnuts [21], maize and their by-products [22,23,24], but the level of contamination varies with the type of crop and ecological factors, such as temperature and humidity. Magan et al. [25] reported that environmental factors, including farm practices, handling, storage, processing, and distribution of food grains, largely influence the spread of NIV contamination. Therefore, the knowledge of climatic conditions on the growth of Fusarium species, along with its behavior and mycotoxin production, is essential to control the risk of NIV contamination in crops [26].
Figure 1.
Chemical structure of nivalenol (NIV) and deoxynivalenol (DON).
2. Chemistry and Biosynthesis of Nivalenol
Trichothecenes are sesquiterpenoids with a variable pattern of oxygen and ester groups on a core tricyclic skeleton containing an epoxide function, also known as the 12,13-epoxytrichothec-9-ene (EPT) [27]. A large variety of trichothecene have been found in diverse fungal taxa and are grouped into four classes (types A-D) based on the substitution pattern on the fundamental EPT core [28,29]. Numerous research has been conducted to understand the various impacts of trichothecenes and to study the underlying mechanisms to mitigate the huge losses caused by Fusarium diseases globally [30,31,32,33], which endanger the viability of farms and entire rural communities.
Fusarium’s two primary chemotypes are connected to organisms that either generate deoxynivalenol or nivalenol [34]. The functioning of two genes, TRI13 that expresses a trichothecene 4-hydroxylase and TRI7 that encodes a trichothecene 4-acetyltransferase, has been shown to be the genetic difference between deoxynivalenol and nivalenol chemotypes. Both genes are present but inactive in Fusarium chemotypes that produce deoxynivalenol [35,36]. Compared to its type B companion, DON and NIV, which are more abundant in Asia, contaminate grains at greater levels and cause more severe acute and chronic toxicities. In F. graminearum, twelve trichothecene genes are grouped within a 25-kb area on chromosome II that is inherited as a single core TRI cluster [37,38]. Two more loci are involved, including the single gene Tri101 and the two-gene Tri1-Tri16 locus, both of which are situated in unrelated chromosomal areas [39]. In F. graminearum, the presence of both functioning Tri7 and Tri13 genes is needed for NIV-producing chemotypes [35,40].
Biosynthetic clusters are used in fungi to produce secondary or specialized metabolites [41]. As a result, the proteins that catalyze the biosynthesis of distinct trichothecenes are likewise arranged in biosynthetic clusters (TRI) [37,38], where many of the genes appear to be coordinately expressed and controlled. Intermediates from two separate trichothecene routes, deoxynivalenol biosynthesis and T-2 toxin generation, can feed the nivalenol process. The entry processes from the deoxynivalenol biosynthesis into the nivalenol biosynthesis are mediated by TRI13, which codes for a trichothecene 4-hydroxylase, and TRI7, which codes for a trichothecene 4-acetyltransferase and is non-functional in Fusarium species of the deoxynivalenol chemotype.
The gene TRI13 encodes a trichothecene 4-hydroxylase that has been identified and described from Fusarium graminearum strain 88-1, which represents the nivalenol chemotype. This enzyme catalyzes the conversion of 3,15-acetyldeoxynivalenol to 3,15-diacetylnivalenol, hence functioning as a switch between deoxynivalenol-producing and nivalenol-producing Fusarium graminearum strains [35,42]. The TRI7-encoded trichothecene C-4-acetyltransferase then performs C-4 acetylation, leading to the formation of 3,4,15-triacetylnivalenol [35,42,43]. The same intermediate can also be produced via the trichothecene 7,8-dihydroxylase (TRI1), which acts as 3,4,15-triacetoxyscirpenol 7,8-dihydroxylase and converts 3,4,15-triacetoxyscirpenol, an intermediate of the T-2 toxin biosynthesis, into 7,8-dihydroxy-3,4,15-triacetoxyscirpenol, followed by a currently unknown protein that confers the carbonyl function to the C-8 of 3,4,15-triacetylnivalenol [44,45]. In Fusarium graminearum strain 79A1 [46], the trichothecene C-3 esterase (TRI8) deacylates 3,4,15-triacetylnivalenol, generating 4,15-diacetylnivalenol, which is subsequently deacylated at C-4 by an unknown protein. Furthermore, in the NIV chemotype, Tri13 hydroxylates 3,15- diacetyldeoxynivalenol to yield 3,15-diacetylnivalenol, which is further transformed into NIV [47].
3. Effects of Environmental Factors on Nivalenol Production
Environmental factors, including climatic conditions and farming practices, as well as handling and storage, processing, and transportation of food, all play a role in NIV contamination [25]. According to Nazari et al. [48], the production of NIV in durum wheat is initiated at the optimum temperature of 25 and 35 °C, when inoculated with F. poae. However, the fungus was unable to produce NIV at temperatures ≤ 10 °C [48]. The researchers also reported that the optimum temperature for NIV production by F. poae was greater than that of the optimum temperature for colony development (24.7 °C), implying that NIV is generated when the fungus is under stress, such as high temperatures. In accordance with these findings, Shen et al. [26] revealed that environmental conditions are one of the most major factors that determine the geographic distribution of Fusarium spp. and trichothecene chemotype variability in China, with a considerably higher predominance of F. asiaticum NIV chemotype in the southern, relatively warm regions of the country. Contrary to the above, Schöneberg et al. [49] observed that F. poae-inoculated cereals contain higher NIV at 10 °C, than those inoculated at 15–20 °C.
Water activity (aw) plays a vital role in the growth of a microorganism, and its toxin productions. Hope and Magan [50] reported that the highest NIV production was obtained between 0.99 aw and 0.96aw, with the best result at 0.981 aw with a 40 day incubation period for Fusarium culmorum. However, at 0.995aw, NIV production was found to be 10 times lower. In addition, Llorens et al. [51] reported that the Fusarium species showed the highest production of NIV of 161 μg/g at 20 °C and 0.970 aw. Moreover, no NIV production was detected at 32 °C or above. According to Neme and Mohammed [52], aw below 0.9 ceases the production of NIV in Fusarium species. Apart from temperature and aw, substrate plays a vital role in NIV production by several microorganisms. Nazari et al. [48] reported wholemeal wheat flour to be the favourable substrate for NIV production under in vitro conditions. Vogelgsang et al. [53] reported maize kernels, followed by wheat, oat, and rice, to be a favourable substrate for NIV production. Moreover, Pettersson [54] reported barley to be the limiting cereal for NIV production.
4. Occurrence of Nivalenol in Food and Feed
Several species of Fusarium, including F. poae, F. culmorum, F. grainearum, F. cortaderae, F. asiaticum, F. nivale, F crookwellense etc., are mainly responsible for producing NIV and its acetyle derivatives in foods [18,24,55,56]. The Fusarium species easily grow on cereal grain and produce Fusarium head blight disease under favorable environmental conditions. In general, moderate temperature and high air humidity are ideal for the infection and growth of these Fusarium species. However, sometimes it may vary from species to species, such as F. graminearum are usually found in the warmer and more humid regions (Australia, Eastern Europe, North America, South China), whereas cold climatic regions (Western Europe) are suitable for the growth of F. culmorum species [57]. NIV is reported in various cereals and cereal-based products worldwide (Table 1). It is also interesting to note that NIV mostly co-occurs with DON and is detected simultaneously in different food matrices. Furthermore, most of the methods mentioned in Table 1 were used for the multi-mycotoxin analysis.
Table 1.
Occurrence of nivalenol in food and feed around the world.
5. Nivalenol Tolerance Limit
NIV has been noted in the past few decades to be present in wheat, barley, groundnuts, and maize at concentrations ranging from a few μg/kg to over mg/kg [13]. The highest contamination levels were found in cereals and cereal-based goods (107.2 µg/kg), followed by legumes and legume-based products (31.7 µg/kg). In cereal-based baby feeds, contamination levels were lower (17.1 µg/kg), whereas NIV was not discovered in alcoholic beverages [13]. There is currently a dearth of knowledge regarding the prevalence of NIV and its toxicological significance. In animal models, the long-term effects of NIV treatment at low oral dose levels have been investigated. While China places no NIV limit on meals and feeds, several nations only allow very low levels of NIV in grains [103]. The maximum limit for different mycotoxins has been established for various food commodities to protect human and animal health from agricultural produce that has been contaminated. To control the maximum level of NIV incidence in food and feed, the EU has not yet created any particular guidelines. Based on the scientific consensus regarding the general toxicity of NIV, the Scientific Committee on Food (SCF) set a temporary tolerated daily intake (t-TDI), or 0–0.7 µg/kg body weight per day, for NIV. However, 0.4 µg/kg body weight per day t-TDI for NIV has been set as the concentration level by the Japanese Food Safety Commission (FSCJ). Based on 10 years of data on the prevalence of NIV in 18 European countries, the European Food Safety Authority recently revised the TDI for NIV and set a TDI of up to 1.2 µg/kg body weight per day [104].
6. Mechanism of Toxicity and Health Effects of Nivalenol
The effects of NIV on cell viability have been investigated using a variety of cell lines and tests. The porcine jejuna epithelial (IPEC-J2) cells and human colorectal adenocarcinoma (Caco-2) cells are the most frequently used cell models in NIV cytotoxicity research because trichothecenes have been shown to alter cell proliferation, particularly in tissue with increased levels of cellular proliferation, such as intestinal epithelial cells. After 48 hours of exposure to NIV, Wan et al. [105] and Alassane-Kpembi et al. [106] used the 3-(4,5-dimethylthiazol-2-yl)-2,5-diphenyltetrazolium bromide (MTT) test to obtain comparable IC50 values on IPEC-J2 and Caco-2 cells, respectively, after 48 hours of exposure to NIV. More proof of the cytotoxicity of NIV after 48 hours of exposure is available (THP-1) on human monocytic leukemia cells and calf small intestinal epithelial cells B (CIEB) [23]. The effects of 24 hours of treatment, however, resulted in very different IC50 values in rat non-tumorigenic intestinal epithelial cells (IEC-6) and human hepatocellular carcinoma (HepG2) cells, Caco-2 cell clone C2BBe1 cells, and HepG2 cells, with the latter obtaining a higher IC50 value [107,108]. These results suggest that cells of human origin are more responsive to NIV after 24 hours than cells of other origins, in line with Taranu et al.’s [109] suggestion that human lymphocytes were more receptive to NIV than pig cells.
Most food commodities include several mycotoxins, as various fungal species and mycotoxins can co-occur in a single food product [1,110,111,112]. Multi-exposure to mycotoxin can have cumulative, antagonistic, or synergistic consequences. Furthermore, the toxicity of the mixture cannot always be predicted based only on the individual toxicity of each mycotoxin present. To provide more accurate and effective risk evaluations, research of the commonly reported toxin combinations is required. On the Caco-2/human colon cancer (HT29-MTX) 70/30 co-culture, the binary (NIV + fumonisin B1 (FB1), tertiary (NIV + DON + ZEA, NIV + DON + FB1, NIV + ZEA + FB1), and quaternary (NIV + DON + ZEA + FB1) combinations caused stronger cytotoxic effects on cell growth compared to NIV alone [113]. Contrary to this, on IPC-J2 cells, no increases in overall cytotoxicity of the binary, tertiary, and quaternary combinations of NIV with DON, ZEA, and FB1 were detected, as compared to the individual mycotoxin NIV. It has been shown that the NIV has an impact on the maturation of lipopolysaccharide-stimulated dendritic cells generated from murine bone marrow. It was demonstrated by Luongo et al. [114] that in vitro pre-treatment of DCs with NIV 3 mg/kg resulted in a reduction in the synthesis of MHC class II molecules. In humans, a growing body of research suggests that trichothecenes are frequently linked to gastroenteritis outbreaks [115]. Because the intestine is the first line of defense against food pollutants, such as mycotoxins, the intestine and intestinal mucosa might be exposed to high amounts of them after ingestion of contaminated food or feed. Cheat et al. [116] discovered significant gut mucosal alterations after acute NIV (1–10 mg/kg) exposure.
The histological scores of the pig jejunal explant cultures dropped in a concentration-dependent manner after 4 hours of exposure to NIV at doses of 1 mg/kg. NIV showed the highest amount of toxicity in comparison to the acute effects brought on by DON [116]. However, Alassane-Kpembi et al. [117] reported the synergistic effect of mycotoxins on the intestinal epithelium. They found that the simultaneous presence of mycotoxins in foods could be more toxic than predicted from the mycotoxins alone. NIV exposure generated strong pro-oxidant effects in IEC-6 cells, which were again larger than those caused by DON [118]. NIV (2 mg/kg) was found to cause mucin genes MUC5AC and MUC5B mRNA expression to be downregulated on Caco-2/HT29-MTX co-cultures, a well-known standard model for intestinal absorption, transport, and permeability studies. NIV is also suspected to contribute to the onset of Kashin–Beck Disease (KBD), an endemic, age-related degenerative osteoarthropathy that mostly affects adolescents on the Chinese mainland. Additionally, the induction of the pro-apoptotic protein Bax, the suppression of the anti-apoptotic protein Bcl-2, and the induction of caspase-3 activation in IEC-6 cells resulted in the formation of hypodiploid nuclei and a change in the distribution of the cell cycle, which in turn caused apoptosis, as shown by the induction of the pro-apoptotic protein Bax and the suppression of the anti-apoptotic protein Bcl-2 [107]. However, in dendritic cells, NIV (1–3 mg/kg) did not activate caspase-3, suggesting that the observed concentration-dependent decrease in expression levels was primarily brought about by necrosis rather than apoptosis induction. Smith et al. [119] observed that 12 hours of exposure to 0.8 mg/kg NIV and 0.006 mg/kg T-2 toxin caused cell necrosis primarily in human monocytic leukemia cells.
NIV inhibitors that bind to ribosomes can quickly activate mitogen-activated protein kinases (MAPKs) and cause death during the “ribotoxic stress response”. A crucial subject is the nature of the connection between ribosomal RNA damage and the emergence of MAPK signaling cascades. Unknown intermediary signal transduction pathways, likely to be protein-mediated, may take place between toxicant-damaged 28S rRNA and the MAP kinases [120]. This action may be limited to specific stages of the ribosome cycle. Although a variety of proteins interact with ribosomes and might conceivably modulate MAPK activation, no obvious mechanism has yet been discovered. Two kinases have been identified as potential mediators of the ribotoxic stress response generated by trichothecene-induced MAPK activation. These are protein kinases that are activated by double-stranded RNA (dsRNA) (PKR) [121]. PKR is a serine/threonine protein kinase that can be triggered by dsRNA, interferon, and other substances [122]. Hck belongs to the Src nonreceptor tyrosine kinases, a subfamily of protein tyrosine kinases known as “rheostats for immunological signalling” [123]. Figure 2 depicts an overview of the probable signaling cascades altered by NIV and their downstream consequences. However, further in-depth research is required to understand how these kinases transmit signals from the ribosome to MAPK cascades, eventually impacting gene transcription and mRNA stability.
Figure 2.
Proposed mechanism of action of NIV.
7. Effects of Processing on Nivalenol
Various processing methods, including physical processing (sorting, cleaning, milling, polishing) [124,125], thermal processing (cooking, baking, extrusion, per-boiling, roasting) [126,127], chemical treatments and fermentation processes [128] can affect NIV. According to Lešnik et al. [129], cleaning significantly affected the NIV content of the flour, where industrial cleaners showed an effective response with reduced NIV contamination in grains by 34.8%, whereas the traditional grain cleaner showed a decrease in NIV contamination by 15.5%. Schaarschmidt and Fauhl-Hassek [130] further reported more than 50% reduction in NIV with manual separation of unwanted kernels (such as split and poor-quality kernels, cob pieces). After manual sorting, industrial dry cleaning, floatation and washing further helped in the reduction in NIV contamination. Tibola et al. [131] also reported that preliminary processing, such as cleaning, sorting, and grading of wheat, significantly reduced the NIV content in grains. In addition, NIV dissolves in water, so cleaning of wheat grain followed by milling treatment effectively degraded 74% of NIV in two different wheat cultivars viz., norin 61 and chikugoizumi [132]. Similarly, Thammawong et al. [133] reported decreased NIV content in milled flour compared to the contaminated whole grains. Lešnik et al. [129] reported that the level of contamination also depends on the type of milling and fractionation of grains. They revealed that increased NIV contaminations were observed in the outer kernel (bran and reduced flour) and reduced NIV contamination was observed in the endosperm fraction flour. The study also concluded that contaminated grains containing 130–200 μg/kg NIV showed reduced contamination up to 64.8–71% in roller-grinder mill, 38.1–59.9% in hammer crasher mill and 37–54.4% in millstone milling. Trigo-Stockli [134] showed a 20–69% reduction in NIV during dry milling of wheat flour.
Furthermore, Hossen et al. [135] showed that cooking of NIV contaminated noodles made from Japanese soft wheat cultivar namely Chikugoizumi decreased the NIV content to half. However, Sugita-Konishi et al. [136] reported a limited effect of heat/thermal treatment on the NIV content due to its thermo-stability. In addition, baking of barley flour at 200 °C for 70 mins reduced NIV by 77% [137]. In addition, Lešnik et al. [129] reported a 50% reduction in NIV in wheat bread during industrial and traditional baking processes. Furthermore, Bretz et al. [138] observed that NIV under heating in mild alkaline condition breaks into four different compounds, namely norNIV A, norNIV B, norNIV C, and NIV lactone.
In addition, Scudamore et al. [139] reported that extrusion of wheat flour at 140 °C with low moisture results in degradation of NIV. However, it was clear from the study that increased temperature during the extrusion process did not affect the NIV concentration, whereas the moisture content during extrusion was found to play a significant role in lowering NIV contamination. Furthermore, Park et al. [140] reported reduced NIV without any damage to the foodstuff with microwave-induced argon cold plasma treatment for 5 seconds. In addition, Hojnik et al. [141] proposed a possibility of degradation of NIV toxicity using argon plasma-generated microwave discharges. Niedźwiedź et al. [142] predicted that the NIV reduction during plasma treatments might be due to structural changes. Besides this, Boeira et al. [143] reported a 56.5% reduction in NIV with magnetic field implicated alcoholic fermentation and proposed this to be an efficient method for NIV degradation.
8. Detection Techniques
NIV and DON generally exist as co-occurring mycotoxins in the food matrices, and thus are detected simultaneously. NIV detection techniques are critical for investigating the incidence, potential prevention, and control of NIV. NIV analysis in foods is critical. However, it is challenging to identify mycotoxins in food because of their matrix complexity. NIV detection techniques are broadly classified as chromatographic and immunological approaches [144].
8.1. Chromatographic Techniques
Quantitative identification of mycotoxins is accomplished using chromatographic methods. These methods combine gas or liquid chromatography with mass spectrometry (MS), ultraviolet (UV), or fluorescence (FLD) detectors. These approaches permit the most sensitive detection of mycotoxin [145]. Consequently, reliable analytical methods, such as capillary electrophoresis, and chromatography techniques, such as liquid chromatography (LC) and gas chromatography (GC), ultra-performing liquid chromatography coupled with photodiode array (UPLC-PDA), are reported for the detection of NIV mycotoxins [57,146,147]. Chromatographic methods coupled with UV and FLD detection are primarily used for confirmatory studies, i.e., to confirm or deny the non-compliance with rules previously determined by a screening test. Occasionally, they serve as the validation standard for immunochemically-based diagnostics. In contrast, devices equipped with tandem mass spectrometry (MS/MS) detectors make it possible to adapt the analytical method for NIV detection. The incontestable benefits of MS (including high sensitivity, selectivity, accuracy, and throughput) make it the technique of choice for multi-residue analysis [145]. Due to the intrinsic selectivity of MS/MS detectors, extraction procedures requiring minimal or no sample purification may be effectively established.
Most NIV detection chromatographic methods need a solvent extraction procedure to preferentially transfer the polar organic NIV into a polar solvent combination. Often, methanol and acetonitrile are used for extraction [148]. To increase the accuracy of subsequent detection, solid-phase extraction (SPE) that utilizes selected porous adsorbents and immunoaffinity column extraction that employs antigen–antibody interaction, or a combination of the two approaches, is employed. Immunoaffinity chromatography, known as immunoextraction, is a type of SPE that combines immunological and conventional techniques. These are mainly used as the clean-up before any conventional technique [149]. The QuEChERS (quick, easy, inexpensive, effective, rugged, and safe) sample preparation method utilized in this context greatly simplified analytical procedures and, most importantly, enabled the simultaneous extraction of NIV [150,151,152]. Since typical QuEChERS methods are built on conciliations between optimal extraction conditions for vastly diverse compounds, they are intrinsically wasteful and limit the analytical method’s sensitivity. High-resolution mass spectrometry (HRMS) and tandem mass spectrometry detectors give structural information and potential identification of unknown chemicals. Combining non-selective extraction procedures with mass screening by HRMS or MS/MS enabled the discovery of masked mycotoxins [146]. Instrumental techniques, such as high-performance liquid chromatography (HPLC/UV) [91], thin-layer chromatography (TLC) [153], HPLC [58], and LC-MS/MS [154], are the most often used conventional approaches for the detection of NIV.
HPLC is the most frequently used method for analyzing NIV, depending on the target analytes. It has been coupled with FLD, DAD, and UV detectors. Thus far, HPLC has achieved a low sensitivity and has been utilized in 16 studies to detect NIV. Carballo et al. [155] detected NIV in ready-to-eat food prepared from cereals, legumes, and vegetables using QuEChERS extraction and HPLC-MS/MS. The study resulted in satisfactory extraction, with a 63–119% recovery rate. Ok et al. [91] reported a technique that used an immunoaffinity column for sample cleaning before HPLC-UV detection and quantification. The immunoaffinity clean-up effectively determined NIV and DON simultaneously in rice and bran. The technique was validated before being used to identify analytes in 482 rice and 239 bran samples. Limits of detection and quantification varied from 6.4 to 15.6 and 21.2 to 52.0 mg/kg, highlighting the importance of the immunoaffinity cleaning step in obtaining low limits. Trombete et al. [156] detected the presence of NIV by HPLC-PDA using an immunoaffinity column clean-up coupled with UV in wheat grains for the first time. Gab-Allah et al. [157] investigated the occurrence of NIV, DON, and DON-3-glucoside in wheat and corn flour using ultra-performance liquid chromatography coupled with a photodiode array (UPLC-PDA). Furthermore, Pascale et al. [147] detected NIV using UPLC-PDA in wheat grains.
LCMS/MS has recently become widely employed for detecting NIV without derivatization, providing the most trustworthy findings, while meeting regulatory authorities ([157]. Barthel et al. [66] detected NIV and other trichothecenes in German barley samples (dehulled barley, barley kernels, winter barley, and pearl barley) using LC-MS/MS. Panasiuk et al. [158] investigated NIV detection using LC-MS/MS with different sample preparation techniques. TLC is a low-cost analytical approach for identifying NIV. TLC is based on the interaction between the stationary and mobile phases, allowing for successful separation based on the sample’s molecular structure. A wide range of Fusarium-based mycotoxins, including NIV, has been detected using TLC [159]. TLC has been reported to identify the presence of NIV in agricultural products and feed [160]. Bryła et al. [57] reported the occurrence of nivalenol in wheat and reported a 70% chance of NIV occurrence. In addition, De Boevre et al. [161] reported a reliable and simple technique for detecting NIV and its masked form using UHPSFC-MS/MS (ultra-high performance supercritical fluid chromatography coupled with tandem MS).
Unfortunately, these analytical processes need expensive, complex equipment, laborious, time-consuming sample preparation, and a highly qualified technician. Thus, many existing techniques are unsuitable for real-time and on-site implementation, particularly in emergencies. In response to these constraints, various efficient techniques with excellent sensitivity and specificity for detecting and quantifying mycotoxins have been devised to achieve accurate, rapid, sensitive, and cost-effective data [146,149].
8.2. Immunological Techniques
Immunoassays help monitor food safety and have been used to analyze NIV [162]. Immunoassays are used for first-level NIV contamination screening because of their simplicity, affordability, sensitivity, and selectivity. The molecular interaction between the target and the biorecognition component, or antibody, is the fundamental principle of immunoassays. As of now, antibodies are undoubtedly the ideal recognition component for immunoassays and biosensors [149]. Kits based on ELISA are commercially available for NIVs and are the most widely utilized analytical method for ensuring food safety across the food chain [163]. Yoshizawa et al. [164] developed an ELISA method for detecting NIV in wheat kernels. Regarding the NIV’s sensitivity, a detection limit of 80 ng/g was recorded. Consequently, ELISA can be utilized as an alternative to conventional detection methods for identifying mycotoxins in cereals and other food matrices.
In addition, immunochemical assays in various formats are continually being developed to provide quick, portable, and user-friendly solutions [145]. The immunochromatographic test (ICT) is the dominant technique. It has frequently been employed for the visual detection and semi-quantitative analysis of NIV [165]. However, in the new scenario of NIV detection, the extreme selectivity of the molecular recognition mechanism, which forbids the simultaneous determination of multiple compounds, the detection of unknown toxins, as well as modified structures created by plant metabolism, appears to pose a potential limitation for the immunochemical-based methods [145].
Some other rapid methods for detecting NIV include immunochromatographic tests, including lateral flow immunoassay [166] and surface plasmon resonance (SPR) immunoassays [167]. However, there are considerable analytical limits, since choosing multiple antibodies with appropriate features is difficult. Due to its distinct advantages, such as quick and accurate target analyte detection, increased sensitivity, and non-destructive method, SPR technology has numerous applications in biosensors and chemical sensors. This method has evolved into a potent analytical method for finding NIV in food and animal feed. SPR also offers details on the affinities, specificities, and kinetic characteristics of biomolecular interactions [168]. To concurrently detect NIV and DON in wheat, an SPR-based competitive inhibition immunoassay was created [168]. In their research, Kadota et al. [167] used a monoclonal antibody that also interacts with NIV and DON. Lateral flow assays are user-friendly, cost-effective, rapid, and extend the food commodity’s shelf life. In this technique, the presence of the targeted toxin is assessed by the depth and length of the color label. Then, the label is visualized using smartphones [149].
8.3. Masked Nivalenol as a Significant Concern in Detection
Conjugation of mycotoxin with sugars, which protects plants from toxicity, is known as “masked mycotoxins” and poses a potential threat to food safety [4]. Several studies have shown that masked mycotoxins constitute a possible threat to consumer safety, due to their probable hydrolysis during human digestion, frequently releasing them in their natural form. Masked mycotoxins are mycotoxin derivatives with structural alterations that cannot be detected by traditional detection methods [144]. Nevertheless, the changed form of mycotoxins is typically coupled to proteins or carbohydrates in plants or animals, making their identification challenging. Chemical treatments can remove these modified mycotoxins from plants [110,169]. In general, masked mycotoxins are less hazardous than their parent substances. The most significant problem is investigating the toxicity of modified mycotoxins during their bound phase [170]. Due to the absence of sensitive procedures, identifying masked mycotoxins is challenging. Moreover, the pharmacokinetics of these modified mycotoxins were unclear. Estimating the consumption of these modified mycotoxins, thus, requires a reliable biomarker of exposure. Biomonitoring exposure evaluation is necessary to comprehend the toxicity and mechanism of masked mycotoxins [171]. Nakagawa et al. [172] identified a modified NIV, nivalenol-glucoside (NIVGlc), using LC-Orbitrap HR-MS and tandem mass spectrometry in wheat grains. They reported that about 15% of NIV was modified as NIV-glucosides [172]. In a study, Yoshinari et al. [173] investigated NIV-glucosides derived from NIV-contaminated wheat grain. The masked NIV was identified as NIV-3-O-β-D-glucopyranoside (12–27%) using LC-MS/MS with an immunoaffinity column. Furthermore, Nathanail et al. [150] detected a modified NIV, nivalenol-3-glucoside (NIV-3G), in barley, oats, and wheat using LC-MS/MS. Later, Ksieniewicz-Woźniak et al. [174] detected NIV and NIV-3G in malt and beer using LC-MS/MS coupled with a time-of-flight analyzer. Furthermore, Lee et al. [58] determined NIV and its glucoside derivative (NIV-3-β-D-glucoside) in cereals, legumes and their processed forms using HPLC-UV. Researchers continue working on innovative approaches with enhanced sensitivity, specificity, robustness, timesaving, and cost-efficiency. Rapid procedures are chosen by analysts for rapid detection (e.g., on-site screening of large numbers of samples) or in regular analysis in laboratories where the traditional approach is unavailable. Immunoassays have already found broad applications as screening procedures for mycotoxins, owing to their advantageous characteristics, such as rapidity, simplicity, cost-efficiency, needed sensitivity, and specificity [149].
8.4. Degradation Kinetics
The mitigation of mycotoxin contamination in foods has become paramount, due to the serious damage to the health and economy [175,176,177]. Contamination of NIV can be prevented at different pre- and post-harvest stages; however, this can be degraded at the postharvest stage through various methods, including physical, chemical, and biological methods.
Physical methods include cleaning, sorting, thermal inactivation, microwaves, ultrasound, adsorption, irradiation and others [178]. High temperature treatment or heating is the most basic processing practice applied for softening, taste improvement, degradation of toxic compounds, and sterilization of grains. The heating of NIV in the presence of mild alkaline conditions degraded the NIV into a less toxic compound [139]. However, toxin elimination become tough due to its resistance against various heat treatments and various physicochemical factors [175]. Scudamore et al. [139] reported that the degradation of NIV increased after extrusion cooking, which concluded that the NIV content was not a temperature-dependent compound.
Chemical methods include the use of absorbers, alkalis, and other chemicals to manage different types of trichothecenes. Absorbers are very common for mycotoxin detoxification from food and feed. Activated carbon can bind to several types of mycotoxins, including deoxynivalenol. Mycotoxin contamination can also be minimized by using some bacteria, as they are able to bind to mycotoxin to their cell wall polysaccharides and peptidoglycans [179]. Some lactic acid and propionic acid bacteria have been reported to trap NIV at low pH [180]. Treatment of mycotoxin-containing grains with commonly used chemicals, such as sodium carbonate [181], ammonia and sodium hydroxide [139], sodium bisulfite, sodium metabisulfite and ascorbic acid, converted them into low toxic compounds. Fungicides, such as carbendazim, triazoles, and strobilurins, or combinations of two or more of these compounds, are widely used agrochemically for the management and control of Fusarium head blight (FHB). However, dose, timing and host line are responsible for the effectiveness of applied chemicals. As FHB can be caused by various Fusarium species, the sensitivity to fungicide can also be a key factor in determining the efficiency of the fungicide group [182,183]. In some cases, when a plant is grown under stressful conditions and in the presence of chemical plant protection products, fungi may produce higher levels of mycotoxins [175].
In addition, biological methods are also being experimented for NIV degradation. Using biological means is found to be much more effective for mycotoxin management. Podgórska-Kryszczuk et al. [175] conducted an experiment to minimize mycotoxin production in wheat grain by F. culmorum, F. graminearum and F. poae by using non-conventional yeast strains (Candida shehatae C13, Candida fluviatilis C14, Candida tropicalis C28, Meyerozyma guilliermondii K2, Cyberlindnera saturnus K10, Rhodotorula glutinis E20, Cryptococcus carnescens E22). The highest degradation of F. poae mycotoxins was recorded with the use of M. guilliermondii (K2) and C. tropicalis (C28) yeasts, which reduced about 70.4% and 56.3% of NIV in wheat grain during a 14-day incubation test. Moreover, flour obtained from fungal-contaminated grain was used to make model bread. The greatest reduction caused in the NIV content (36.2%) was reported using M. guilliermondii (K2). It was reported that the selected yeast isolates were very effective at lowering the content of NIV in bread and these strains were also a better alternative to other chemical food additives [175]. In addition, Boeira et al. [143] reported 56.5% degradation of NIV through alcoholic fermentation with magnetic field application in malted cereals, which altered the profile of the yeast-synthesized oxireductant molecules. During the fermentation process, Saccharomyces cerevisiae US-05 synthesizes the glutathione and peroxidase enzyme, which are responsible for the mitigation of NIV. Biological processes, such as oxidation, reduction, hydrolysis, hydration, glycosidation, and isomerization, are also reported for the reduction in the trichothecenes group of mycotoxins [143].
Besides these physical, chemical and biological methods, different plant extracts, such as bioactive compounds, essential oils (EOs), and other phytochemicals have been popularized as green preservatives, as well as known for their antimicrobial properties and widely used for the enhancement of the shelf life of food products [184]. Hope et al. [185] evaluated the antifungal activity of some essential oils and antioxidants. Enhanced NIV production was recorded with the treatment of low concentrations of propyl paraben and cinnamon oil. However, at higher concentrations (500 ppm), butylated hydroxy anisole, cinnamon and clove essential oils were found to be the most effective in the inhibition of NIV production by F. culmorum. Treatment of maize seeds with cinnamon, palmarosa, orange, and spearmint essential oils significantly inhibited the growth of F. graminearum and F. culmorum compared to the control [186]. EOs of rocket, tea tree and rosemary showed significant antifungal activity against ten Fusarium spp. isolated from freshly harvested maize in Egypt [187]. Similarly, antifungal activity of cinnamon, oregano, palmarosa, orange, verbena, spearmint, fennel, and rosewood EOs were found to be effective against F. culmorum and F. graminearum and their secondary metabolites in Polish wheat seeds [188].
8.5. Management and Control Strategies
The pathogenic contamination of crops begins at the field level. Timely identification and application of suitable treatment may result in a lower level of a contaminant at the harvesting and storage stage. Mycotoxin contamination can be managed by adoption of good agricultural practices (GAPs), good management practices (GMPs), and good storage practices (GSPs) [8]. These practices mainly focus on reducing the Fusarium spp. contamination and minimize the production of mycotoxins in crops in the field by the adoption of cultural practices, such as crop rotation, ploughing, fertilizer application, planting date and harvest times, genetics approaches, such as host resistance, inclusion of chemicals, e.g., fungicide and/or biocontrol application, and development of forecasting models [182].
Crop rotation has a significant effect on the determination of disease level of the crops in fields. Practicing crop rotation significantly reduces primary inoculum that is present during cropping season. Deep tillage is more beneficial compared to minimum or no tillage practices [182]. Minimum or no tillage indorses the development of Fusarium spp. because plant residue left on the ground can infect the subsequent crop. Removal of plant residue and clean cultivation are also beneficial to minimize fungal contamination. The date of planting often determines the date of flowering and environmental conditions at flowering, which are very crucial stages for of FHB disease incidence. This is adopted to set up the flowering time when weather conditions are not suitable for the onset of disease practices [182]. Selection of variety is one of the major factors in disease management. The variation in the level of susceptibility or resistance of particular cultivars against Fusarium spp. infection is due to differences in agronomic practices, environmental conditions, and genetic pools of breeding programs in different countries [189]. Multiple breeding programs are involved in the development of resistant varieties and newly developed varieties are also found to be less impacted compared to sensitive varieties. Development and study of neural models are found to be useful to analyze the concentration of mycotoxins in winter wheat grain [190]. Cropping systems and crop cycles also affect contamination by Fusarium spp. The dominance of Fusarium asiaticum was reported in wheat crop cultivated in a wheat-rice rotation, compared to the dominance of F. graminearum in wheat-maize rotations [182]. Multi location studies in China and Japan have reported that the location of the crop also affects the severity of fungal species and toxin produced [191,192]. In Poland, higher FHB incidence was reported in wheat when it was planted after wheat or corn, as compared to sugar beet in pre-crop [193].
Postharvest losses of food material due to fungal/ microbial contaminations are considered to be worse compared to insect or rodent damage. The first step of good postharvest quality management starts with harvesting. A healthy crop should be harvested at the proper time of maturity, with a proper harvesting method to reduce mechanical damage. The transport vehicle and containers should be free from any contaminants. After harvesting, proper shorting, grading and drying can improve the storability and reduces contaminants [194]. Fusarium-infected grains are generally shriveled, small, and lighter than healthy grains, so infected and non-infected grains can be distinguished by their physical characteristics. Sorting and cleaning process removes the infected small seeds, as well as dust, dirt and foreign materials [182]. A proper drying method, storage at optimum moisture content, improved storage infrastructure, proper aeration and pest management are generally able to maintain good quality of grains during storage, which maintain postharvest quality and reduces postharvest loss. There are multiple storage conditions that are recommended to reduce contamination; however, the efficacy varies according to their geography and climatic condition [194]. Adoption of proper storage conditions and maintaining optimum moisture levels play a significant role in fungal and mycotoxin development. Storage temperature and lower water activity has shown to reduce accumulation of NIV in maize produced by Fusarium meridionale and F. boothii [195]. Proper storage conditions of Korean ginger were also found to be effective in the reduction in NIV where samples were stored at 13℃ and 96% RH, which significantly reduced the NIV content in ginger [196]. Prevention from the fungal disease and mycotoxin production is more effective than management and removal of mycotoxin. So, adoption of GAPs, GSPs, GMPs and incorporation of the Hazard Analysis Critical Control Point (HACCP) in postharvest management strategy would be more effective in managing NIV contamination [112]. Furthermore, awareness initiatives, such as teaching and training at the level of farmers, may also be very beneficial to prevent the contamination and production of mycotoxin at each step involved, from the farm to the fork.
9. Conclusions
Consumption of nivalenol (NIV)-contaminated foods by humans and animals worldwide carries serious health concerns. The toxin could enter food chains by contaminating foods at any stage of the pre- and post-harvest conditions. The cytotoxicity of NIV increases the risk to human and animal health. Adequate hazard analysis critical control point techniques, good agricultural practices, and good manufacturing practice may be required to successfully regulate the toxins during various agricultural and processing stages. Other physical, chemical, and biological strategies could be employed to lessen NIV formation and contamination, in addition to the usage of essential oils and phytochemicals. Additionally, the toxin is reported to exist in masked forms. Hence, in order to identify, quantify, and mitigate them, quick and accurate detection procedures become crucial, as well as difficult. This emphasizes the need for clear and dependable detection techniques for their control. A concealed concern for food safety and security exists, since there is little information available on the masked forms of NIV in products and because these forms are likely to go unnoticed and underreported. Hence, future research should focus on a thorough examination of the masked forms of NIV.
Author Contributions
P.K., M.K. (Madhu Kamle) and D.K.M. conceived and designed the manuscript; D.K.M., A.G., S.P., V.P., V.S., A.K.P., R.S., S.B. and M.K. (Mandira Kapri) wrote the manuscript; M.K. (Madhu Kamle), P.K. and A.D.T. supported the editing of the manuscript; P.K., M.K. (Manoj Kumar), C.K., S.G., T.V. and S.A. critically reviewed the manuscript. All authors have read and agreed to the published version of the manuscript.
Funding
This research received no external funding.
Institutional Review Board Statement
Not applicable.
Informed Consent Statement
Not applicable.
Data Availability Statement
The data presented in this study are available in this.
Acknowledgments
The authors are highly grateful to their respective departments for their help and support.
Conflicts of Interest
The authors declare no conflict of interest.
References
- Mahato, D.K.; Devi, S.; Pandhi, S.; Sharma, B.; Maurya, K.K.; Mishra, S.; Dhawan, K.; Selvakumar, R.; Kamle, M.; Mishra, A.K. Occurrence, impact on agriculture, human health, and management strategies of zearalenone in food and feed: A review. Toxins 2021, 13, 92. [Google Scholar] [CrossRef]
- Mahato, D.K.; Kamle, M.; Sharma, B.; Pandhi, S.; Devi, S.; Dhawan, K.; Selvakumar, R.; Mishra, D.; Kumar, A.; Arora, S. Patulin in food: A mycotoxin concern for human health and its management strategies. Toxicon 2021, 198, 12–23. [Google Scholar] [CrossRef]
- Kumar, P.; Mahato, D.K.; Sharma, B.; Borah, R.; Haque, S.; Mahmud, M.M.C.; Shah, A.K.; Rawal, D.; Bora, H.; Bui, S. Ochratoxins in food and feed: Occurrence and its impact on human health and management strategies. Toxicon 2020, 187, 151–162. [Google Scholar] [CrossRef]
- Mahato, D.K.; Lee, K.E.; Kamle, M.; Devi, S.; Dewangan, K.N.; Kumar, P.; Kang, S.G. Aflatoxins in food and feed: An overview on prevalence, detection and control strategies. Front. Microbiol. 2019, 10, 2266. [Google Scholar] [CrossRef] [PubMed]
- Kumar, P.; Mahato, D.K.; Kamle, M.; Mohanta, T.K.; Kang, S.G. Aflatoxins: A global concern for food safety, human health and their management. Front. Microbiol. 2017, 7, 2170. [Google Scholar] [CrossRef] [PubMed]
- Agriopoulou, S.; Koliadima, A.; Karaiskakis, G.; Kapolos, J. Kinetic study of aflatoxins’ degradation in the presence of ozone. Food Control 2016, 61, 221–226. [Google Scholar] [CrossRef]
- Aupanun, S.; Poapolathep, S.; Phuektes, P.; Giorgi, M.; Zhang, Z.; Oswald, I.P.; Poapolathep, A. Individual and combined mycotoxins deoxynivalenol, nivalenol, and fusarenon-X induced apoptosis in lymphoid tissues of mice after oral exposure. Toxicon 2019, 165, 83–94. [Google Scholar] [CrossRef]
- Mahato, D.K.; Pandhi, S.; Kamle, M.; Gupta, A.; Sharma, B.; Panda, B.K.; Srivastava, S.; Kumar, M.; Selvakumar, R.; Pandey, A.K.; et al. Trichothecenes in food and feed: Occurrence, impact on human health and their detection and management strategies. Toxicon 2022, 208, 62–77. [Google Scholar] [CrossRef]
- Eckard, S.; Wettstein, F.E.; Forrer, H.-R.; Vogelgsang, S. Incidence of Fusarium species and mycotoxins in silage maize. Toxins 2011, 3, 949–967. [Google Scholar] [CrossRef] [PubMed]
- Schollenberger, M.; Müller, H.-M.; Ernst, K.; Sondermann, S.; Liebscher, M.; Schlecker, C.; Wischer, G.; Drochner, W.; Hartung, K.; Piepho, H.-P. Occurrence and distribution of 13 trichothecene toxins in naturally contaminated maize plants in Germany. Toxins 2012, 4, 778–787. [Google Scholar] [CrossRef]
- De Boevre, M.; Jacxsens, L.; Lachat, C.; Eeckhout, M.; Di Mavungu, J.D.; Audenaert, K.; Maene, P.; Haesaert, G.; Kolsteren, P.; De Meulenaer, B. Human exposure to mycotoxins and their masked forms through cereal-based foods in Belgium. Toxicol. Lett. 2013, 218, 281–292. [Google Scholar] [CrossRef]
- Nagashima, H. Deoxynivalenol and nivalenol toxicities in cultured cells: A review of comparative studies. Food Saf. 2018, 6, 51–57. [Google Scholar] [CrossRef] [PubMed][Green Version]
- Zingales, V.; Fernández-Franzón, M.; Ruiz, M.-J. Occurrence, mitigation and in vitro cytotoxicity of nivalenol, a type B trichothecene mycotoxin–Updates from the last decade (2010–2020). Food Chem. Toxicol. 2021, 152, 112182. [Google Scholar] [CrossRef]
- Thuvander, A.; Wikman, C.; Gadhasson, I. In vitro exposure of human lymphocytes to trichothecenes: Individual variation in sensitivity and effects of combined exposure on lymphocyte function. Food Chem. Toxicol. 1999, 37, 639–648. [Google Scholar] [CrossRef]
- Nagashima, H.; Nakagawa, H.; Iwashita, K. Cytotoxic effects of nivalenol on HL60 cells. Mycotoxins 2006, 56, 65–70. [Google Scholar] [CrossRef]
- Sugita-Konishi, Y.; Pestka, J.J. Differential upregulation of TNF-α, IL-6, and IL-8 production by deoxynivalenol (vomitoxin) and other 8-ketotrichothecenes in a human macrophage model. J. Toxicol. Environ. Health Part A. 2001, 64, 619–636. [Google Scholar] [CrossRef] [PubMed]
- Lindblad, M.; Gidlund, A.; Sulyok, M.; Börjesson, T.; Krska, R.; Olsen, M.; Fredlund, E. Deoxynivalenol and other selected Fusarium toxins in Swedish wheat—Occurrence and correlation to specific Fusarium species. Int. J. Food Microbiol. 2013, 167, 284–291. [Google Scholar] [CrossRef]
- Umpiérrez-Failache, M.; Garmendia, G.; Pereyra, S.; Rodríguez-Haralambides, A.; Ward, T.J.; Vero, S. Regional differences in species composition and toxigenic potential among Fusarium head blight isolates from Uruguay indicate a risk of nivalenol contamination in new wheat production areas. Int. J. Food Microbiol. 2013, 166, 135–140. [Google Scholar] [CrossRef]
- Beccari, G.; Senatore, M.T.; Tini, F.; Sulyok, M.; Covarelli, L. Fungal community, Fusarium head blight complex and secondary metabolites associated with malting barley grains harvested in Umbria, central Italy. Int. J. Food Microbiol. 2018, 273, 33–42. [Google Scholar] [CrossRef]
- Garmendia, G.; Pattarino, L.; Negrín, C.; Martínez-Silveira, A.; Pereyra, S.; Ward, T.J.; Vero, S. Species composition, toxigenic potential and aggressiveness of Fusarium isolates causing Head Blight of barley in Uruguay. Food Microbiol. 2018, 76, 426–433. [Google Scholar] [CrossRef]
- Oyedele, O.A.; Ezekiel, C.N.; Sulyok, M.; Adetunji, M.C.; Warth, B.; Atanda, O.O.; Krska, R. Mycotoxin risk assessment for consumers of groundnut in domestic markets in Nigeria. Int. J. Food Microbiol. 2017, 251, 24–32. [Google Scholar] [CrossRef] [PubMed]
- Duan, C.; Qin, Z.; Yang, Z.; Li, W.; Sun, S.; Zhu, Z.; Wang, X. Identification of pathogenic Fusarium spp. causing maize ear rot and potential mycotoxin production in China. Toxins 2016, 8, 186. [Google Scholar] [CrossRef] [PubMed]
- Reisinger, N.; Schürer-Waldheim, S.; Mayer, E.; Debevere, S.; Antonissen, G.; Sulyok, M.; Nagl, V. Mycotoxin occurrence in maize silage—A neglected risk for bovine gut health? Toxins 2019, 11, 577. [Google Scholar] [CrossRef] [PubMed]
- Vandicke, J.; De Visschere, K.; Croubels, S.; De Saeger, S.; Audenaert, K.; Haesaert, G. Mycotoxins in Flanders’ fields: Occurrence and correlations with Fusarium species in whole-plant harvested maize. Microorganisms 2019, 7, 571. [Google Scholar] [CrossRef]
- Magan, N.; Aldred, D.; Mylona, K.; Lambert, R.J.W. Limiting mycotoxins in stored wheat. Food Addit. Contam. 2010, 27, 644–650. [Google Scholar] [CrossRef]
- Shen, C.-M.; Hu, Y.-C.; Sun, H.-Y.; Li, W.; Guo, J.-H.; Chen, H.-G. Geographic distribution of trichothecene chemotypes of the Fusarium graminearum species complex in major winter wheat production areas of China. Plant Dis. 2012, 96, 1172–1178. [Google Scholar] [CrossRef]
- Wu, Q.; Dohnal, V.; Kuca, K.; Yuan, Z. Trichothecenes: Structure-toxic activity relationships. Curr. Drug Metab. 2013, 14, 641–660. [Google Scholar] [CrossRef]
- Alexander, N.J.; Proctor, R.H.; McCormick, S.P. Genes, gene clusters, and biosynthesis of trichothecenes and fumonisins in Fusarium. Toxin Rev. 2009, 28, 198–215. [Google Scholar] [CrossRef]
- McCormick, S.P.; Stanley, A.M.; Stover, N.A.; Alexander, N.J. Trichothecenes: From simple to complex mycotoxins. Toxins 2011, 3, 802–814. [Google Scholar] [CrossRef]
- Burlakoti, R.R.; Ali, S.; Secor, G.A.; Neate, S.M.; McMullen, M.P.; Adhikari, T.B. Comparative mycotoxin profiles of Gibberella zeae populations from barley, wheat, potatoes, and sugar beets. Appl. Environ. Microbiol. 2008, 74, 6513–6520. [Google Scholar] [CrossRef]
- Xu, X.; Nicholson, P. Community ecology of fungal pathogens causing wheat head blight. Annu. Rev. Phytopathol. 2009, 47, 83–103. [Google Scholar] [CrossRef] [PubMed]
- Pestka, J.J.; Smolinski, A.T. Deoxynivalenol: Toxicology and potential effects on humans. J. Toxicol. Environ. Health B 2005, 8, 39–69. [Google Scholar] [CrossRef] [PubMed]
- Escrivá, L.; Font, G.; Manyes, L. In vivo toxicity studies of Fusarium mycotoxins in the last decade: A review. Food Chem. Toxicol. 2015, 78, 185–206. [Google Scholar] [CrossRef] [PubMed]
- Miller, J.D.; Greenhalgh, R.; Wang, Y.; Lu, M. Trichothecene chemotypes of three Fusarium species. Mycologia 1991, 83, 121–130. [Google Scholar] [CrossRef]
- Lee, T.; Han, Y.-K.; Kim, K.-H.; Yun, S.-H.; Lee, Y.-W. Tri13 and Tri7 determine deoxynivalenol-and nivalenol-producing chemotypes of Gibberella zeae. Appl. Environ. Microbiol. 2002, 68, 2148–2154. [Google Scholar] [CrossRef] [PubMed]
- Brown, D.W.; McCormick, S.P.; Alexander, N.J.; Proctor, R.H.; Desjardins, A.E. A genetic and biochemical approach to study trichothecene diversity in Fusarium sporotrichioides and Fusarium graminearum. Fungal Genet. Biol. 2001, 32, 121–133. [Google Scholar] [CrossRef] [PubMed]
- Kimura, M.; Tokai, T.; O’Donnell, K.; Ward, T.J.; Fujimura, M.; Hamamoto, H.; Shibata, T.; Yamaguchi, I. The trichothecene biosynthesis gene cluster of Fusarium graminearum F15 contains a limited number of essential pathway genes and expressed non-essential genes. FEBS Lett. 2003, 539, 105–110. [Google Scholar] [CrossRef]
- Brown, D.W.; Dyer, R.B.; McCormick, S.P.; Kendra, D.F.; Plattner, R.D. Functional demarcation of the Fusarium core trichothecene gene cluster. Fungal Genet. Biol. 2004, 41, 454–462. [Google Scholar] [CrossRef]
- Torres, A.M.; Palacios, S.A.; Yerkovich, N.; Palazzini, J.M.; Battilani, P.; Leslie, J.F.; Logrieco, A.; Chulze, S.N. Fusarium head blight and mycotoxins in wheat: Prevention and control strategies across the food chain. World Mycotoxin J. 2019, 12, 333–355. [Google Scholar] [CrossRef]
- Jennings, P.; Coates, M.E.; Turner, J.A.; Chandler, E.A.; Nicholson, P. Determination of deoxynivalenol and nivalenol chemotypes of Fusarium culmorum isolates from England and Wales by PCR assay. Plant Pathol. 2004, 53, 182–190. [Google Scholar] [CrossRef]
- Wisecaver, J.H.; Rokas, A. Fungal metabolic gene clusters—Caravans traveling across genomes and environments. Front. Microbiol. 2015, 6, 161. [Google Scholar] [CrossRef]
- Brown, D.W.; McCormick, S.P.; Alexander, N.J.; Proctor, R.H.; Desjardins, A.E. Inactivation of a cytochrome P-450 is a determinant of trichothecene diversity in Fusarium species. Fungal Genet. Biol. 2002, 36, 224–233. [Google Scholar] [CrossRef]
- Lee, T.; Oh, D.-W.; Kim, H.-S.; Lee, J.; Kim, Y.-H.; Yun, S.-H.; Lee, Y.-W. Identification of deoxynivalenol-and nivalenol-producing chemotypes of Gibberella zeae by using PCR. Appl. Environ. Microbiol. 2001, 67, 2966–2972. [Google Scholar] [CrossRef] [PubMed]
- McCormick, S.P.; Harris, L.J.; Alexander, N.J.; Ouellet, T.; Saparno, A.; Allard, S.; Desjardins, A.E. Tri1 in Fusarium graminearum encodes a P450 oxygenase. Appl. Environ. Microbiol. 2004, 70, 2044–2051. [Google Scholar] [CrossRef] [PubMed]
- McCormick, S.P.; Alexander, N.J.; Proctor, R.H. Heterologous expression of two trichothecene P450 genes in Fusarium verticillioides. Can. J. Microbiol. 2006, 52, 220–226. [Google Scholar] [CrossRef] [PubMed]
- Alexander, N.J.; McCormick, S.P.; Waalwijk, C.; van der Lee, T.; Proctor, R.H. The genetic basis for 3-ADON and 15-ADON trichothecene chemotypes in Fusarium. Fungal Genet. Biol. 2011, 48, 485–495. [Google Scholar] [CrossRef] [PubMed]
- Maeda, K.; Tanaka, Y.; Matsuyama, M.; Sato, M.; Sadamatsu, K.; Suzuki, T.; Matsui, K.; Nakajima, Y.; Tokai, T.; Kanamaru, K. Substrate specificities of Fusarium biosynthetic enzymes explain the genetic basis of a mixed chemotype producing both deoxynivalenol and nivalenol-type trichothecenes. Int. J. Food Microbiol. 2020, 320, 108532. [Google Scholar] [CrossRef]
- Nazari, L.; Pattori, E.; Manstretta, V.; Terzi, V.; Morcia, C.; Somma, S.; Moretti, A.; Ritieni, A.; Rossi, V. Effect of temperature on growth, wheat head infection, and nivalenol production by Fusarium poae. Food Microbiol. 2018, 76, 83–90. [Google Scholar] [CrossRef]
- Schöneberg, T.; Kibler, K.; Wettstein, F.E.; Bucheli, T.D.; Forrer, H.R.; Musa, T.; Mascher, F.; Bertossa, M.; Keller, B.; Vogelgsang, S. Influence of temperature, humidity duration and growth stage on the infection and mycotoxin production by Fusarium langsethiae and Fusarium poae in oats. Plant Pathol. 2019, 68, 173–184. [Google Scholar] [CrossRef]
- Hope, R.; Magan, N. Two-dimensional environmental profiles of growth, deoxynivalenol and nivalenol production by Fusarium culmorum on a wheat-based substrate. Lett. Appl. Microbiol. 2003, 37, 70–74. [Google Scholar] [CrossRef]
- Llorens, A.; Mateo, R.; Hinojo, M.J.; Valle-Algarra, F.M.; Jiménez, M. Influence of environmental factors on the biosynthesis of type B trichothecenes by isolates of Fusarium spp. from Spanish crops. Int. J. Food Microbiol. 2004, 94, 43–54. [Google Scholar] [CrossRef] [PubMed]
- Neme, K.; Mohammed, A. Mycotoxin occurrence in grains and the role of postharvest management as a mitigation strategies. A review. Food Control 2017, 78, 412–425. [Google Scholar] [CrossRef]
- Vogelgsang, S.; Sulyok, M.; Bänziger, I.; Krska, R.; Schuhmacher, R.; Forrer, H.-R. Effect of fungal strain and cereal substrate on in vitro mycotoxin production by Fusarium poae and Fusarium avenaceum. Food Addit. Contam. 2008, 25, 745–757. [Google Scholar] [CrossRef] [PubMed]
- Pettersson, H. Nivalenol production by Fusarium poae. Mycotoxin Res. 1991, 7, 26–30. [Google Scholar] [CrossRef] [PubMed]
- Pasquali, M.; Giraud, F.; Brochot, C.; Cocco, E.; Hoffmann, L.; Bohn, T. Genetic Fusarium chemotyping as a useful tool for predicting nivalenol contamination in winter wheat. Int. J. Food Microbiol. 2010, 137, 246–253. [Google Scholar] [CrossRef] [PubMed]
- Gomes, L.B.; Ward, T.J.; Badiale-Furlong, E.; Del Ponte, E.M. Species composition, toxigenic potential and pathogenicity of Fusarium graminearum species complex isolates from southern B razilian rice. Plant Pathol. 2015, 64, 980–987. [Google Scholar] [CrossRef]
- Bryła, M.; Ksieniewicz-Woźniak, E.; Waśkiewicz, A.; Szymczyk, K.; Jędrzejczak, R. Natural occurrence of nivalenol, deoxynivalenol, and deoxynivalenol-3-glucoside in Polish winter wheat. Toxins 2018, 10, 81. [Google Scholar] [CrossRef]
- Lee, S.Y.; Woo, S.Y.; Tian, F.; Song, J.; Michlmayr, H.; Kim, J.-B.; Chun, H.S. Occurrence of deoxynivalenol, nivalenol, and their glucosides in Korean market foods and estimation of their population exposure through food consumption. Toxins 2020, 12, 89. [Google Scholar] [CrossRef]
- Rubert, J.; Soler, C.; Mañes, J. Application of an HPLC–MS/MS method for mycotoxin analysis in commercial baby foods. Food Chem. 2012, 133, 176–183. [Google Scholar] [CrossRef]
- Lee, S.Y.; Woo, S.Y.; Malachová, A.; Michlmayr, H.; Kim, S.-H.; Kang, G.J.; Chun, H.S. Simple validated method for simultaneous determination of deoxynivalenol, nivalenol, and their 3-β-D-glucosides in baby formula and Korean rice wine via HPLC-UV with immunoaffinity cleanup. Food Addit. Contam. Part A 2019, 36, 964–975. [Google Scholar] [CrossRef]
- Edwards, S.G. Fusarium mycotoxin content of UK organic and conventional barley. Food Addit. Contam. 2009, 26, 1185–1190. [Google Scholar] [CrossRef]
- Juan, C.; Ritieni, A.; Mañes, J. Occurrence of Fusarium mycotoxins in Italian cereal and cereal products from organic farming. Food Chem. 2013, 141, 1747–1755. [Google Scholar] [CrossRef]
- Ibáñez-Vea, M.; Lizarraga, E.; González-Peñas, E. Simultaneous determination of type-A and type-B trichothecenes in barley samples by GC–MS. Food Control 2011, 22, 1428–1434. [Google Scholar] [CrossRef]
- Castillo, M.-Á.; Montes, R.; Navarro, A.; Segarra, R.; Cuesta, G.; Hernández, E. Occurrence of deoxynivalenol and nivalenol in Spanish corn-based food products. J. Food Compos. Anal. 2008, 21, 423–427. [Google Scholar] [CrossRef]
- Krysinska-Traczyk, E.; Perkowski, J.; Dutkiewicz, J. Levels of fungi and mycotoxins in the samples of grain and grain dust collected from five various cereal crops in eastern Poland. Ann. Agric. Environ. Med. 2007, 14, 159–167. [Google Scholar]
- Barthel, J.; Gottschalk, C.; Rapp, M.; Berger, M.; Bauer, J.; Meyer, K. Occurrence of type A, B and D trichothecenes in barley and barley products from the Bavarian market. Mycotoxin Res. 2012, 28, 97–106. [Google Scholar] [CrossRef]
- Zachariasova, M.; Cajka, T.; Godula, M.; Malachova, A.; Veprikova, Z.; Hajslova, J. Analysis of multiple mycotoxins in beer employing (ultra)-high-resolution mass spectrometry. Rapid Commun. Mass Spectrom. 2010, 24, 3357–3367. [Google Scholar] [CrossRef] [PubMed]
- Rubert, J.; Soler, C.; Marín, R.; James, K.J.; Mañes, J. Mass spectrometry strategies for mycotoxins analysis in European beers. Food Control 2013, 30, 122–128. [Google Scholar] [CrossRef]
- Ok, H.E.; Choi, S.-W.; Chung, S.H.; Kang, Y.-W.; Kim, D.-S.; Chun, H.S. Natural occurrence of type-B trichothecene mycotoxins in Korean cereal-based products. Food Addit. Contam. Part B 2011, 4, 132–140. [Google Scholar] [CrossRef]
- Kokkonen, M.K.; Jestoi, M.N. A multi-compound LC-MS/MS method for the screening of mycotoxins in grains. Food Anal. Methods. 2009, 2, 128–140. [Google Scholar] [CrossRef]
- Zachariasova, M.; Lacina, O.; Malachova, A.; Kostelanska, M.; Poustka, J.; Godula, M.; Hajslova, J. Novel approaches in analysis of Fusarium mycotoxins in cereals employing ultra performance liquid chromatography coupled with high resolution mass spectrometry. Anal. Chim. Acta. 2010, 662, 51–61. [Google Scholar] [CrossRef] [PubMed]
- Malachova, A.; Dzuman, Z.; Veprikova, Z.; Vaclavikova, M.; Zachariasova, M.; Hajslova, J. Deoxynivalenol, deoxynivalenol-3-glucoside, and enniatins: The major mycotoxins found in cereal-based products on the Czech market. J. Agric. Food Chem. 2011, 59, 12990–12997. [Google Scholar] [CrossRef] [PubMed]
- Desmarchelier, A.; Oberson, J.-M.; Tella, P.; Gremaud, E.; Seefelder, W.; Mottier, P. Development and comparison of two multiresidue methods for the analysis of 17 mycotoxins in cereals by liquid chromatography electrospray ionization tandem mass spectrometry. J. Agric. Food Chem. 2010, 58, 7510–7519. [Google Scholar] [CrossRef] [PubMed]
- Serrano, A.B.; Font, G.; Ruiz, M.J.; Ferrer, E. Co-occurrence and risk assessment of mycotoxins in food and diet from Mediterranean area. Food Chem. 2012, 135, 423–429. [Google Scholar] [CrossRef] [PubMed]
- Kim, D.-H.; Hong, S.-Y.; Jeon, M.-H.; An, J.-M.; Kim, S.-Y.; Kim, H.-Y.; Yoon, B.R.; Chung, S.H. Simultaneous determination of the levels of deoxynivalenol, 3-acetyldeoxynivalenol, and nivalenol in grain and feed samples from South Korea using a high-performance liquid chromatography–photodiode array detector. Appl. Biol. Chem. 2016, 59, 881–887. [Google Scholar] [CrossRef]
- Schothorst, R.C.; van Egmond, H.P. Report from SCOOP task 3.2. 10 “collection of occurrence data of Fusarium toxins in food and assessment of dietary intake by the population of EU member states”: Subtask: Trichothecenes. Toxicol. lett. 2004, 153, 133–143. [Google Scholar] [CrossRef]
- Rasmussen, P.H.; Ghorbani, F.; Berg, T. Deoxynivalenol and other Fusarium toxins in wheat and rye flours on the Danish market. Food Addit. Contam. 2003, 20, 396–404. [Google Scholar] [CrossRef]
- Lattanzio, V.M.T.; Solfrizzo, M.; Visconti, A. Determination of trichothecenes in cereals and cereal-based products by liquid chromatography–tandem mass spectrometry. Food Addit. Contam. 2008, 25, 320–330. [Google Scholar] [CrossRef]
- Kayode, O.F.; Sulyok, M.; Fapohunda, S.O.; Ezekiel, C.N.; Krska, R.; Oguntona, C.R.B. Mycotoxins and fungal metabolites in groundnut-and maize-based snacks from Nigeria. Food Addit. Contam. Part B. 2013, 6, 294–300. [Google Scholar] [CrossRef]
- Jestoi, M.; Somma, M.C.; Kouva, M.; Veijalainen, P.; Rizzo, A.; Ritieni, A.; Peltonen, K. Levels of mycotoxins and sample cytotoxicity of selected organic and conventional grain-based products purchased from Finnish and Italian markets. Mol. Nutr. Food Res. 2004, 48, 299–307. [Google Scholar] [CrossRef]
- Jin, P.G.; Han, Z.; Cai, Z.X.; Wu, Y.J.; Ren, Y.P. Simultaneous determination of 10 mycotoxins in grain by ultra-high-performance liquid chromatography–tandem mass spectrometry using 13C15-deoxynivalenol as internal standard. Food Addit. Contam. Part A 2010, 27, 1701–1713. [Google Scholar] [CrossRef]
- Warth, B.; Parich, A.; Atehnkeng, J.; Bandyopadhyay, R.; Schuhmacher, R.; Sulyok, M.; Krska, R. Quantitation of mycotoxins in food and feed from Burkina Faso and Mozambique using a modern LC-MS/MS multitoxin method. J. Agric. Food Chem. 2012, 60, 9352–9363. [Google Scholar] [CrossRef]
- Rodríguez-Carrasco, Y.; Ruiz, M.J.; Font, G.; Berrada, H. Exposure estimates to Fusarium mycotoxins through cereals intake. Chemosphere 2013, 93, 2297–2303. [Google Scholar] [CrossRef]
- Goertz, A.; Zuehlke, S.; Spiteller, M.; Steiner, U.; Dehne, H.W.; Waalwijk, C.; de Vries, I.; Oerke, E.C. Fusarium species and mycotoxin profiles on commercial maize hybrids in Germany. Eur. J. Plant Pathol. 2010, 128, 101–111. [Google Scholar] [CrossRef]
- Scudamore, K.A.; Patel, S. Occurrence of Fusarium mycotoxins in maize imported into the UK, 2004–2007. Food Addit. Contam. Part A. 2009, 26, 363–371. [Google Scholar] [CrossRef] [PubMed]
- Schollenberger, M.; Müller, H.M.; Drochner, W. Fusarium toxin contents of maize and maize products purchased in the years 2000 and 2001 in Germany. Mycotoxin Res. 2005, 21, 26–28. [Google Scholar] [CrossRef] [PubMed]
- Rubert, J.; Soler, C.; Mañes, J. Evaluation of matrix solid-phase dispersion (MSPD) extraction for multi-mycotoxin determination in different flours using LC–MS/MS. Talanta 2011, 85, 206–215. [Google Scholar] [CrossRef]
- Gottschalk, C.; Barthel, J.; Engelhardt, G.; Bauer, J.; Meyer, K. Simultaneous determination of type A, B and D trichothecenes and their occurrence in cereals and cereal products Food Addit. Contam. Part A 2009, 26, 1273–1289. [Google Scholar] [CrossRef]
- Juan, C.; Ritieni, A.; Mañes, J. Determination of trichothecenes and zearalenones in grain cereal, flour and bread by liquid chromatography tandem mass spectrometry. Food Chem. 2012, 134, 2389–2397. [Google Scholar] [CrossRef]
- Edwards, S.G. Fusarium mycotoxin content of UK organic and conventional oats. Food Addit. Contam. 2009, 26, 1063–1069. [Google Scholar] [CrossRef]
- Ok, H.E.; Lee, S.Y.; Chun, H.S. Occurrence and simultaneous determination of nivalenol and deoxynivalenol in rice and bran by HPLC-UV detection and immunoaffinity cleanup. Food Control 2018, 87, 53–59. [Google Scholar] [CrossRef]
- Koesukwiwat, U.; Sanguankaew, K.; Leepipatpiboon, N. Evaluation of a modified QuEChERS method for analysis of mycotoxins in rice. Food Chem. 2014, 153, 44–51. [Google Scholar] [CrossRef] [PubMed]
- Liu, Y.; Han, S.; Lu, M.; Wang, P.; Han, J.; Wang, J. Modified QuEChERS method combined with ultra-high performance liquid chromatography tandem mass spectrometry for the simultaneous determination of 26 mycotoxins in sesame butter. J. Chromatogr. B 2014, 970, 68–76. [Google Scholar] [CrossRef] [PubMed]
- Tanaka, H.; Takino, M.; Sugita-Konishi, Y.; Tanaka, T.; Toriba, A.; Hayakawa, K. Determination of nivalenol and deoxynivalenol by liquid chromatography/atmospheric pressure photoionization mass spectrometry. Rapid Commun. Mass Spectrom. 2009, 23, 3119–3124. [Google Scholar] [CrossRef]
- Schollenberger, M.; Müller, H.-M.; Rüfle, M.; Suchy, S.; Plank, S.; Drochner, W. Natural occurrence of 16 Fusarium toxins in grains and feedstuffs of plant origin from Germany. Mycopathologia 2006, 161, 43–52. [Google Scholar] [CrossRef]
- Jeleń, H.H.; Wąsowicz, E. Determination of trichothecenes in wheat grain without sample cleanup using comprehensive two-dimensional gas chromatography–time-of-flight mass spectrometry. J. Chromatogr. A. 2008, 1215, 203–207. [Google Scholar] [CrossRef]
- Basílico, M.L.Z.; Pose, G.; Ludemann, V.; Fernández Pinto, V.E.; Aríngoli, E.E.; Ritieni, A.; Basílico, J.C. Fungal diversity and natural occurrence of fusaproliferin, beauvericin, deoxynivalenol and nivalenol in wheat cultivated in Santa Fe Province, Argentina. Mycotoxin Res. 2010, 26, 85–91. [Google Scholar] [CrossRef]
- Edwards, S.G. Fusarium mycotoxin content of UK organic and conventional wheat. Food Addit. Contam. 2009, 26, 496–506. [Google Scholar] [CrossRef]
- Sospedra, I.; Blesa, J.; Soriano, J.M.; Mañes, J. Use of the modified quick easy cheap effective rugged and safe sample preparation approach for the simultaneous analysis of type A-and B-trichothecenes in wheat flour. J. Chromatogr. A. 2010, 1217, 1437–1440. [Google Scholar] [CrossRef]
- Rodríguez-Carrasco, Y.; Berrada, H.; Font, G.; Mañes, J. Multi-mycotoxin analysis in wheat semolina using an acetonitrile-based extraction procedure and gas chromatography–tandem mass spectrometry. J. Chromatogr. A. 2012, 1270, 28–40. [Google Scholar] [CrossRef] [PubMed]
- Giraud, F.; Pasquali, M.; Jarroudi, M.E.; Vrancken, C.; Brochot, C.; Cocco, E.; Hoffmann, L.; Delfosse, P.; Bohn, T. Fusarium head blight and associated mycotoxin occurrence on winter wheat in Luxembourg in 2007/2008. Food Addit. Contam. 2010, 27, 825–835. [Google Scholar] [CrossRef] [PubMed]
- Rasmussen, R.R.; Storm, I.M.L.D.; Rasmussen, P.H.; Smedsgaard, J.; Nielsen, K.F. Multi-mycotoxin analysis of maize silage by LC-MS/MS. Anal. Bioanal. Chem. 2010, 397, 765–776. [Google Scholar] [CrossRef] [PubMed]
- Ji, F.; He, D.; Olaniran, A.O.; Mokoena, M.P.; Xu, J.; Shi, J. Occurrence, toxicity, production and detection of Fusarium mycotoxin: A review. Food Prod. Process. Nutr. 2019, 1, 6. [Google Scholar] [CrossRef]
- EFSA. Panel on Contaminants in the Food Chain. Scientific Opinion on risks for animal and public health related to the presence of nivalenol in food and feed. EFSA J. 2013, 11, 3262. [Google Scholar] [CrossRef]
- Wan, L.Y.M.; Turner, P.C.; El-Nezami, H. Individual and combined cytotoxic effects of Fusarium toxins (deoxynivalenol, nivalenol, zearalenone and fumonisins B1) on swine jejunal epithelial cells. Food Chem. Toxicol. 2013, 57, 276–283. [Google Scholar]
- Alassane-Kpembi, I.; Kolf-Clauw, M.; Gauthier, T.; Abrami, R.; Abiola, F.A.; Oswald, I.P.; Puel, O. New insights into mycotoxin mixtures: The toxicity of low doses of Type B trichothecenes on intestinal epithelial cells is synergistic. Toxicol. Appl. Pharmacol. 2013, 272, 191–198. [Google Scholar] [CrossRef]
- Bianco, G.; Fontanella, B.; Severino, L.; Quaroni, A.; Autore, G.; Marzocco, S. Nivalenol and deoxynivalenol affect rat intestinal epithelial cells: A concentration related study. PLoS ONE 2012, 7, e52051. [Google Scholar] [CrossRef] [PubMed]
- Zingales, V.; Fedeli, C.; Fernández-Franzón, M.; Ruiz, M.-J. Cytotoxic effects of individual and combined sterigmatocystin and nivalenol on liver hepatocellular carcinoma cells. Food Chem. Toxicol. 2020, 143, 111473. [Google Scholar] [CrossRef]
- Taranu, I.; Marin, D.E.; Burlacu, R.; Pinton, P.; Damian, V.; Oswald, I.P. Comparative aspects of in vitro proliferation of human and porcine lymphocytes exposed to mycotoxins. Arch. Anim. Nutr. 2010, 64, 383–393. [Google Scholar] [CrossRef]
- Kamle, M.; Mahato, D.K.; Devi, S.; Lee, K.E.; Kang, S.G.; Kumar, P. Fumonisins: Impact on agriculture, food, and human health and their management strategies. Toxins 2019, 11, 328. [Google Scholar] [CrossRef]
- Kamle, M.; Mahato, D.K.; Gupta, A.; Pandhi, S.; Sharma, B.; Dhawan, K.; Mishra, S.; Kumar, M.; Tripathi, A.D.; Rasane, P. Deoxynivalenol: An Overview on Occurrence, Chemistry, Biosynthesis, Health Effects and Its Detection, Management, and Control Strategies in Food and Feed. Microbiol. Res. 2022, 13, 292–314. [Google Scholar] [CrossRef]
- Kamle, M.; Mahato, D.K.; Gupta, A.; Pandhi, S.; Sharma, N.; Sharma, B.; Mishra, S.; Arora, S.; Selvakumar, R.; Saurabh, V. Citrinin Mycotoxin Contamination in Food and Feed: Impact on Agriculture, Human Health, and Detection and Management Strategies. Toxins 2022, 14, 85. [Google Scholar] [CrossRef] [PubMed]
- Wan, L.-Y.M.; Allen, K.J.; Turner, P.C.; El-Nezami, H. Modulation of mucin mRNA (MUC5AC and MUC5B) expression and protein production and secretion in Caco-2/HT29-MTX co-cultures following exposure to individual and combined Fusarium mycotoxins. Toxicol. Sci. 2014, 139, 83–98. [Google Scholar] [CrossRef]
- Luongo, D.; Severino, L.; Bergamo, P.; D’arienzo, R.; Rossi, M. Trichothecenes NIV and DON modulate the maturation of murine dendritic cells. Toxicon 2010, 55, 73–80. [Google Scholar] [CrossRef] [PubMed]
- Pestka, J.J. Deoxynivalenol: Mechanisms of action, human exposure, and toxicological relevance. Arch. Toxicol. 2010, 84, 663–679. [Google Scholar] [CrossRef] [PubMed]
- Cheat, S.; Gerez, J.R.; Cognié, J.; Alassane-Kpembi, I.; Bracarense, A.P.F.L.; Raymond-Letron, I.; Oswald, I.P.; Kolf-Clauw, M. Nivalenol has a greater impact than deoxynivalenol on pig Jejunum mucosa in vitro on explants and in vivo on intestinal loops. Toxins 2015, 7, 1945–1961. [Google Scholar] [CrossRef] [PubMed]
- Alassane-Kpembi, I.; Puel, O.; Oswald, I.P. Toxicological interactions between the mycotoxins deoxynivalenol, nivalenol and their acetylated derivatives in intestinal epithelial cells. Arch. Toxicol. 2015, 89, 1337–1346. [Google Scholar] [CrossRef]
- Adesso, S.; Autore, G.; Quaroni, A.; Popolo, A.; Severino, L.; Marzocco, S. The food contaminants nivalenol and deoxynivalenol induce inflammation in intestinal epithelial cells by regulating reactive oxygen species release. Nutrients 2017, 9, 1343. [Google Scholar] [CrossRef]
- Smith, M.-C.; Madec, S.; Troadec, S.; Coton, E.; Hymery, N. Effects of fusariotoxin co-exposure on THP-1 human immune cells. Cell Biol. Toxicol. 2018, 34, 191–205. [Google Scholar]
- Iordanov, M.S.; Pribnow, D.; Magun, J.L.; Dinh, T.-H.; Pearson, J.A.; Chen, S.L.-y.; Magun, B.E. Ribotoxic stress response: Activation of the stress-activated protein kinase JNK1 by inhibitors of the peptidyl transferase reaction and by sequence-specific RNA damage to the alpha-sarcin/ricin loop in the 28S rRNA. Mol. Cell. Biol. 1997, 17, 3373–3381. [Google Scholar] [CrossRef]
- Zhou, H.-R.; Lau, A.S.; Pestka, J.J. Role of double-stranded RNA-activated protein kinase R (PKR) in deoxynivalenol-induced ribotoxic stress response. Toxicol. Sci. 2003, 74, 335–344. [Google Scholar] [CrossRef] [PubMed]
- Williams, B.R.G. Signal integration via PKR. Sci. STKE 2001, 2001, re2. [Google Scholar] [CrossRef] [PubMed]
- Lowell, C.A. Src-family kinases: Rheostats of immune cell signaling. Mol. Immunol. 2004, 41, 631–643. [Google Scholar] [CrossRef] [PubMed]
- Karlovsky, P.; Suman, M.; Berthiller, F.; De Meester, J.; Eisenbrand, G.; Perrin, I.; Oswald, I.P.; Speijers, G.; Chiodini, A.; Recker, T. Impact of food processing and detoxification treatments on mycotoxin contamination. Mycotoxin Res. 2016, 32, 179–205. [Google Scholar] [CrossRef]
- Schaarschmidt, S.; Fauhl-Hassek, C. The fate of mycotoxins during the processing of wheat for human consumption. Compr. Rev. Food Sci. Food Saf. 2018, 17, 556–593. [Google Scholar] [CrossRef]
- Stadler, D.; Lambertini, F.; Bueschl, C.; Wiesenberger, G.; Hametner, C.; Schwartz-Zimmermann, H.; Hellinger, R.; Sulyok, M.; Lemmens, M.; Schuhmacher, R. Untargeted LC–MS based 13C labelling provides a full mass balance of deoxynivalenol and its degradation products formed during baking of crackers, biscuits and bread. Food Chem. 2019, 279, 303–311. [Google Scholar] [CrossRef]
- Cazzaniga, D.; Basilico, J.C.; Gonzalez, R.J.; Torres, R.L.; De Greef, D.M. Mycotoxins inactivation by extrusion cooking of corn flour. Lett. Appl. Microbiol. 2001, 33, 144–147. [Google Scholar] [CrossRef]
- Stadler, D.; Berthiller, F.; Suman, M.; Schuhmacher, R.; Krska, R. Novel analytical methods to study the fate of mycotoxins during thermal food processing. Anal. Bioanal. Chem. 2020, 412, 9–16. [Google Scholar] [CrossRef]
- Lešnik, M.; Cencič, A.; Vajs, S.; Simončič, A. Milling and bread baking techniques significantly affect the mycotoxin (deoxynivalenol and nivalenol) level in bread. Acta Aliment. 2008, 37, 471–483. [Google Scholar] [CrossRef]
- Schaarschmidt, S.; Fauhl-Hassek, C. The fate of mycotoxins during the primary food processing of maize. Food Control 2021, 121, 107651. [Google Scholar] [CrossRef]
- Tibola, C.S.; Fernandes, J.M.C.; Guarienti, E.M. Effect of cleaning, sorting and milling processes in wheat mycotoxin content. Food Control 2016, 60, 174–179. [Google Scholar] [CrossRef]
- Zheng, Y.; Hossen, S.M.; Sago, Y.; Yoshida, M.; Nakagawa, H.; Nagashima, H.; Okadome, H.; Nakajima, T.; Kushiro, M. Effect of milling on the content of deoxynivalenol, nivalenol, and zearalenone in Japanese wheat. Food Control 2014, 40, 193–197. [Google Scholar] [CrossRef]
- Thammawong, M.; Okabe, M.; Kawasaki, T.; Nakagawa, H.; Nagashima, H.; Okadome, H.; Nakajima, T.; Kushiro, M. Distribution of deoxynivalenol and nivalenol in milling fractions from Fusarium-infected Japanese wheat cultivars. J. Food Prot. 2010, 73, 1817–1823. [Google Scholar] [CrossRef] [PubMed]
- Trigo-Stockli, D.M. Effect of processing on deoxynivalenol and other trichothecenes. Adv. Exp. Med. Biol. 2002, 504, 181–188. [Google Scholar] [PubMed]
- Hossen, M.S.; Nakagawa, H.; Nagashima, H.; Okadome, H.; Kushiro, M. Loss of Nivalenol during Cooking of Noodles Made from Fusarium-Infected Japanese Soft Wheat. J. Food Process. Preserv. 2014, 38, 1113–1118. [Google Scholar] [CrossRef]
- Sugita-Konishi, Y.; Park, B.J.; Kobayashi-Hattori, K.; Tanaka, T.; Chonan, T.; Yoshikawa, K.; Kumagai, S. Effect of cooking process on the deoxynivalenol content and its subsequent cytotoxicity in wheat products. Biosci. Biotechnol. Biochem. 2006, 70, 1764–1768. [Google Scholar] [CrossRef]
- Yumbe-Guevara, B.E.; Imoto, T.; Yoshizawa, T. Effects of heating procedures on deoxynivalenol, nivalenol and zearalenone levels in naturally contaminated barley and wheat. Food Addit. Contam. 2003, 20, 1132–1140. [Google Scholar] [CrossRef] [PubMed]
- Bretz, M.; Knecht, A.; Göckler, S.; Humpf, H.U. Structural elucidation and analysis of thermal degradation products of the Fusarium mycotoxin nivalenol. Mol. Nutr. Food Res. 2005, 49, 309–316. [Google Scholar] [CrossRef] [PubMed]
- Scudamore, K.A.; Guy, R.C.E.; Kelleher, B.; MacDonald, S.J. Fate of the Fusarium mycotoxins, deoxynivalenol, nivalenol and zearalenone, during extrusion of wholemeal wheat grain. Food Addit. Contam. 2008, 25, 331–337. [Google Scholar] [CrossRef]
- Park, B.J.; Takatori, K.; Sugita-Konishi, Y.; Kim, I.-H.; Lee, M.-H.; Han, D.-W.; Chung, K.-H.; Hyun, S.O.; Park, J.-C. Degradation of mycotoxins using microwave-induced argon plasma at atmospheric pressure. Surf. Coat. Technol. 2007, 201, 5733–5737. [Google Scholar] [CrossRef]
- Hojnik, N.; Cvelbar, U.; Tavčar-Kalcher, G.; Walsh, J.L.; Križaj, I. Mycotoxin decontamination of food: Cold atmospheric pressure plasma versus “classic” decontamination. Toxins 2017, 9, 151. [Google Scholar] [CrossRef] [PubMed]
- Niedźwiedź, I.; Waśko, A.; Pawłat, J.; Polak-Berecka, M. The state of research on antimicrobial activity of cold plasma. Pol. J. Microbiol. 2019, 68, 153–164. [Google Scholar] [CrossRef] [PubMed]
- Boeira, C.Z.; de Carvalho Silvello, M.A.; Remedi, R.D.; Feltrin, A.C.P.; Santos, L.O.; Garda-Buffon, J. Mitigation of nivalenol using alcoholic fermentation and magnetic field application. Food Chem. 2021, 340, 127935. [Google Scholar] [CrossRef] [PubMed]
- Iqbal, S.Z. Mycotoxins in food, recent development in food analysis and future challenges: A review. Curr. Opin. Food Sci. 2021, 42, 237–247. [Google Scholar] [CrossRef]
- Anfossi, L.; Giovannoli, C.; Baggiani, C. Mycotoxin detection. Curr. Opin. Biotechnol. 2016, 37, 120–126. [Google Scholar] [CrossRef] [PubMed]
- Mahmoudpour, M.; Dolatabadi, J.E.N.; Torbati, M.; Tazehkand, A.P.; Homayouni-Rad, A.; de la Guardia, M. Nanomaterials and new biorecognition molecules based surface plasmon resonance biosensors for mycotoxin detection. Biosens. Bioelectron. 2019, 143, 111603. [Google Scholar] [CrossRef] [PubMed]
- Pascale, M.; Panzarini, G.; Powers, S.; Visconti, A. Determination of deoxynivalenol and nivalenol in wheat by ultra-performance liquid chromatography/photodiode-array detector and immunoaffinity column cleanup. Food Anal. Methods. 2014, 7, 555–562. [Google Scholar] [CrossRef]
- Singh, J.; Mehta, A. Rapid and sensitive detection of mycotoxins by advanced and emerging analytical methods: A review. Food Sci. Nutr. 2020, 8, 2183–2204. [Google Scholar] [CrossRef] [PubMed]
- Wang, Y.; Zhang, C.; Wang, J.; Knopp, D. Recent progress in rapid determination of mycotoxins based on emerging biorecognition molecules: A review. Toxins 2022, 14, 73. [Google Scholar] [CrossRef] [PubMed]
- Nathanail, A.V.; Syvähuoko, J.; Malachová, A.; Jestoi, M.; Varga, E.; Michlmayr, H.; Adam, G.; Sieviläinen, E.; Berthiller, F.; Peltonen, K. Simultaneous determination of major type A and B trichothecenes, zearalenone and certain modified metabolites in Finnish cereal grains with a novel liquid chromatography-tandem mass spectrometric method. Anal. Bioanal. Chem. 2015, 407, 4745–4755. [Google Scholar] [CrossRef] [PubMed]
- Pereira, V.L.; Fernandes, J.O.; Cunha, S.C. Comparative assessment of three cleanup procedures after QuEChERS extraction for determination of trichothecenes (type A and type B) in processed cereal-based baby foods by GC–MS. Food Chem. 2015, 182, 143–149. [Google Scholar] [CrossRef] [PubMed]
- Malachová, A.; Sulyok, M.; Beltrán, E.; Berthiller, F.; Krska, R. Optimization and validation of a quantitative liquid chromatography–tandem mass spectrometric method covering 295 bacterial and fungal metabolites including all regulated mycotoxins in four model food matrices. J. Chromatogr. A. 2014, 1362, 145–156. [Google Scholar] [CrossRef] [PubMed]
- Saini, A.; Parkash, V.; Kumar, V.; Gaur, A.; Chirag, H. Detection of mycotoxins from some micro and macro endophytic ascomycetes fungi. Int. J. Environ. Agric. Biotech. 2021, 6, 216–225. [Google Scholar] [CrossRef]
- Tahoun, I.F.; Gab-Allah, M.A.; Yamani, R.N.; Shehata, A.B. Development and validation of a reliable LC-MS/MS method for simultaneous determination of deoxynivalenol and T-2 toxin in maize and oats. Microchem. J. 2021, 169, 106599. [Google Scholar] [CrossRef]
- Carballo, D.; Font, G.; Ferrer, E.; Berrada, H. Evaluation of mycotoxin residues on ready-to-eat food by chromatographic methods coupled to mass spectrometry in tandem. Toxins 2018, 10, 243. [Google Scholar] [CrossRef]
- Trombete, F.; Barros, A.; Vieira, M.; Saldanha, T.; Venâncio, A.; Fraga, M. Simultaneous determination of deoxynivalenol, deoxynivalenol-3-glucoside and nivalenol in wheat grains by HPLC-PDA with immunoaffinity column cleanup. Food Anal. Methods. 2016, 9, 2579–2586. [Google Scholar] [CrossRef]
- Gab-Allah, M.A.; Tahoun, I.F.; Yamani, R.N.; Rend, E.A.; Shehata, A.B. Natural occurrence of deoxynivalenol, nivalenol and deoxynivalenol-3-glucoside in cereal-derived products from Egypt. Food Control 2022, 137, 108974. [Google Scholar] [CrossRef]
- Panasiuk, Ł.; Jedziniak, P.; Pietruszka, K.; Posyniak, A. Simultaneous determination of deoxynivalenol, its modified forms, nivalenol and fusarenone-X in feedstuffs by the liquid chromatography–tandem mass spectrometry method. Toxins 2020, 12, 362. [Google Scholar] [CrossRef]
- Al-Jaal, B.; Salama, S.; Al-Qasmi, N.; Jaganjac, M. Mycotoxin contamination of food and feed in the Gulf Cooperation Council countries and its detection. Toxicon 2019, 171, 43–50. [Google Scholar] [CrossRef]
- Al-Julaifi, M.Z.; Al-Falih, A.M. Detection of trichothecenes in animal feeds and foodstuffs during the years 1997 to 2000 in Saudi Arabia. J. Food Prot. 2001, 64, 1603–1606. [Google Scholar] [CrossRef]
- De Boevre, M.; Van Poucke, C.; Ediage, E.N.; Vanderputten, D.; Van Landschoot, A.; De Saeger, S. Ultra-high-performance supercritical fluid chromatography as a separation tool for Fusarium mycotoxins and their modified forms. J. AOAC Int. 2018, 101, 627–632. [Google Scholar] [CrossRef] [PubMed]
- Pereira, L.T.P.; Putnik, P.; Iwase, C.H.T.; de Oliveira Rocha, L. Deoxynivalenol: Insights on genetics, analytical methods and occurrence. Curr. Opin. Food Sci. 2019, 30, 85–92. [Google Scholar] [CrossRef]
- Pereira, V.L.; Fernandes, J.O.; Cunha, S.C. Mycotoxins in cereals and related foodstuffs: A review on occurrence and recent methods of analysis. Trends Food Sci. Technol. 2014, 36, 96–136. [Google Scholar] [CrossRef]
- Yoshizawa, T.; Kohno, H.; Ikeda, K.; Shinoda, T.; Yokohama, H.; Morita, K.; Kusada, O.; Kobayashi, Y. A practical method for measuring deoxynivalenol, nivalenol, and T-2+ HT-2 toxin in foods by an enzyme-linked immunosorbent assay using monoclonal antibodies. Biosci. Biotechnol. Biochem. 2004, 68, 2076–2085. [Google Scholar] [CrossRef]
- Dzantiev, B.B.; Byzova, N.A.; Urusov, A.E.; Zherdev, A.V. Immunochromatographic methods in food analysis. Trends Anal. Chem. 2014, 55, 81–93. [Google Scholar] [CrossRef]
- Zhang, X.; Yu, X.; Wen, K.; Li, C.; Mujtaba Mari, G.; Jiang, H.; Shi, W.; Shen, J.; Wang, Z. Multiplex lateral flow immunoassays based on amorphous carbon nanoparticles for detecting three Fusarium mycotoxins in maize. J. Agric. Food Chem. 2017, 65, 8063–8071. [Google Scholar] [CrossRef]
- Kadota, T.; Takezawa, Y.; Hirano, S.; Tajima, O.; Maragos, C.M.; Nakajima, T.; Tanaka, T.; Kamata, Y.; Sugita-Konishi, Y. Rapid detection of nivalenol and deoxynivalenol in wheat using surface plasmon resonance immunoassay. Anal. Chim. Acta. 2010, 673, 173–178. [Google Scholar] [CrossRef]
- Mohammadzadeh-Asl, S.; Jafari, A.; Aghanejad, A.; Monirinasab, H.; Dolatabadi, J.E.N. Kinetic and thermodynamic studies of sunitinib malate interaction with albumin using surface plasmon resonance and molecular docking methods. Microchem. J. 2019, 150, 104089. [Google Scholar] [CrossRef]
- Berthiller, F.; Schuhmacher, R.; Adam, G.; Krska, R. Formation, determination and significance of masked and other conjugated mycotoxins. Anal. Bioanal. Chem. 2009, 395, 1243–1252. [Google Scholar] [CrossRef] [PubMed]
- Lu, Q.; Qin, J.-A.; Fu, Y.-W.; Luo, J.-Y.; Lu, J.-H.; Logrieco, A.F.; Yang, M.-H. Modified mycotoxins in foodstuffs, animal feed, and herbal medicine: A systematic review on global occurrence, transformation mechanism and analysis methods. Trends Anal. Chem. 2020, 133, 116088. [Google Scholar] [CrossRef]
- Mousavi Khaneghah, A.; Eş, I.; Raeisi, S.; Fakhri, Y. Aflatoxins in cereals: State of the art. J. Food Saf. 2018, 38, e12532. [Google Scholar] [CrossRef]
- Nakagawa, H.; Ohmichi, K.; Sakamoto, S.; Sago, Y.; Kushiro, M.; Nagashima, H.; Yoshida, M.; Nakajima, T. Detection of a new Fusarium masked mycotoxin in wheat grain by high-resolution LC–Orbitrap™ MS. Food Addit. Contam. Part A. 2011, 28, 1447–1456. [Google Scholar] [CrossRef] [PubMed]
- Yoshinari, T.; Sakuda, S.; Furihata, K.; Furusawa, H.; Ohnishi, T.; Sugita-Konishi, Y.; Ishizaki, N.; Terajima, J. Structural determination of a nivalenol glucoside and development of an analytical method for the simultaneous determination of nivalenol and deoxynivalenol, and their glucosides, in wheat. J. Agric. Food Chem. 2014, 62, 1174–1180. [Google Scholar] [CrossRef] [PubMed]
- Ksieniewicz-Woźniak, E.; Bryła, M.; Waśkiewicz, A.; Yoshinari, T.; Szymczyk, K. Selected trichothecenes in barley malt and beer from Poland and an assessment of dietary risks associated with their consumption. Toxins 2019, 11, 715. [Google Scholar] [CrossRef] [PubMed]
- Podgórska-Kryszczuk, I.; Solarska, E.; Kordowska-Wiater, M. Reduction of the Fusarium Mycotoxins: Deoxynivalenol, Nivalenol and Zearalenone by Selected Non-Conventional Yeast Strains in Wheat Grains and Bread. Molecules 2022, 27, 1578. [Google Scholar] [CrossRef]
- Agriopoulou, S. Ergot alkaloids mycotoxins in cereals and cereal-derived food products: Characteristics, toxicity, prevalence, and control strategies. Agronomy 2021, 11, 931. [Google Scholar] [CrossRef]
- Agriopoulou, S.; Stamatelopoulou, E.; Varzakas, T. Advances in occurrence, importance, and mycotoxin control strategies: Prevention and detoxification in foods. Foods 2020, 9, 137. [Google Scholar] [CrossRef]
- He, J.; Zhou, T.; Young, J.C.; Boland, G.J.; Scott, P.M. Chemical and biological transformations for detoxification of trichothecene mycotoxins in human and animal food chains: A review. Trends Food Sci. Technol. 2010, 21, 67–76. [Google Scholar] [CrossRef]
- Wambacq, E.; Vanhoutte, I.; Audenaert, K.; De Gelder, L.; Haesaert, G. Occurrence, prevention and remediation of toxigenic fungi and mycotoxins in silage: A review. J. Sci. Food Agric. 2016, 96, 2284–2302. [Google Scholar] [CrossRef]
- Niderkorn, V.; Boudra, H.; Morgavi, D.P. Binding of Fusarium mycotoxins by fermentative bacteria in vitro. J. Appl. Microbiol. 2006, 101, 849–856. [Google Scholar] [CrossRef]
- Abramson, D.; House, J.D.; Nyachoti, C.M. Reduction of deoxynivalenol in barley by treatment with aqueous sodium carbonate and heat. Mycopathologia. 2005, 160, 297–301. [Google Scholar] [CrossRef] [PubMed]
- Leslie, J.F.; Moretti, A.; Mesterházy, Á.; Ameye, M.; Audenaert, K.; Singh, P.K.; Richard-Forget, F.; Chulze, S.N.; Ponte, E.M.D.; Chala, A. Key global actions for mycotoxin management in wheat and other small grains. Toxins 2021, 13, 725. [Google Scholar] [CrossRef] [PubMed]
- McMullen, M.; Bergstrom, G.; De Wolf, E.; Dill-Macky, R.; Hershman, D.; Shaner, G.; Van Sanford, D. A unified effort to fight an enemy of wheat and barley: Fusarium head blight. Plant Dis. 2012, 96, 1712–1728. [Google Scholar] [CrossRef]
- Kumar, P.; Mahato, D.K.; Gupta, A.; Pandhi, S.; Mishra, S.; Barua, S.; Tyagi, V.; Kumar, A.; Kumar, M.; Kamle, M. Use of essential oils and phytochemicals against the mycotoxins producing fungi for shelf-life enhancement and food preservation. Int. J. Food Sci. Technol. 2022, 57, 2171–2184. [Google Scholar] [CrossRef]
- Hope, R.; Jestoi, M.; Magan, N. Multitarget environmental approach for control of growth and toxin production by Fusarium culmorum using essential oils and antioxidants. In Advances in stored product protection. In Proceedings of the 8th International Working Conference on Stored Product Protection, York, UK, 22–26 July 2002; pp. 486–492. [Google Scholar]
- Perczak, A.; Gwiazdowska, D.; Gwiazdowski, R.; Juś, K.; Marchwińska, K.; Waśkiewicz, A. The inhibitory potential of selected essential oils on Fusarium spp. growth and mycotoxins biosynthesis in maize seeds. Pathogens 2019, 9, 23. [Google Scholar] [CrossRef] [PubMed]
- Sahab, A.F.; Aly, S.; Hathout, A.S.; Ziedan, E.-S.H.; Sabry, B.A. Application of some plant essential oils to control Fusarium isolates associated with freshly harvested maize in Egypt. J. Essent. Oil-Bear. Plants. 2014, 17, 1146–1155. [Google Scholar] [CrossRef]
- Perczak, A.; Gwiazdowska, D.; Marchwińska, K.; Juś, K.; Gwiazdowski, R.; Waśkiewicz, A. Antifungal activity of selected essential oils against Fusarium culmorum and F. graminearum and their secondary metabolites in wheat seeds. Arch. Microbiol. 2019, 201, 1085–1097. [Google Scholar] [CrossRef] [PubMed]
- Mielniczuk, E.; Skwaryło-Bednarz, B. Fusarium head blight, mycotoxins and strategies for their reduction. Agronomy 2020, 10, 509. [Google Scholar] [CrossRef]
- Niedbała, G.; Kurasiak-Popowska, D.; Stuper-Szablewska, K.; Nawracała, J. Application of artificial neural networks to analyze the concentration of ferulic acid, deoxynivalenol, and nivalenol in winter wheat grain. Agriculture 2020, 10, 127. [Google Scholar] [CrossRef]
- Suga, H.; Karugia, G.W.; Ward, T.; Gale, L.R.; Tomimura, K.; Nakajima, T.; Miyasaka, A.; Koizumi, S.; Kageyama, K.; Hyakumachi, M. Molecular characterization of the Fusarium graminearum species complex in Japan. Phytopathology 2008, 98, 159–166. [Google Scholar] [CrossRef]
- Zhang, H.; Van der Lee, T.; Waalwijk, C.; Chen, W.; Xu, J.; Xu, J.; Zhang, Y.; Feng, J. Population analysis of the Fusarium graminearum species complex from wheat in China show a shift to more aggressive isolates. PLoS ONE 2012, 7, e31722. [Google Scholar] [CrossRef]
- Wenda-Piesik, A.; Lemańczyk, G.; Twarużek, M.; Błajet-Kosicka, A.; Kazek, M.; Grajewski, J. Fusarium head blight incidence and detection of Fusarium toxins in wheat in relation to agronomic factors. Eur. J. Plant Pathol. 2017, 149, 515–531. [Google Scholar] [CrossRef]
- Tran, T.M.; Ameye, M.; Phan, L.T.-K.; Devlieghere, F.; De Saeger, S.; Eeckhout, M.; Audenaert, K. Post-harvest contamination of maize by Fusarium verticillioides and fumonisins linked to traditional harvest and post-harvest practices: A case study of small-holder farms in Vietnam. Int. J. Food Microbiol. 2021, 339, 109022. [Google Scholar] [CrossRef] [PubMed]
- Belizán, M.M.E.; Gomez, A.d.l.A.; Baptista, Z.P.T.; Jimenez, C.M.; Matías, M.d.H.S.; Catalán, C.A.N.; Sampietro, D.A. Influence of water activity and temperature on growth and production of trichothecenes by Fusarium graminearum sensu stricto and related species in maize grains. Int. J. Food Microbiol. 2019, 305, 108242. [Google Scholar] [CrossRef] [PubMed]
- Lee, M.J.; Lim, S.B.; Choi, J.-H.; Kim, J.; Lee, T.; Jang, J.Y. Occurrence of deoxynivalenol and nivalenol in Korean ginger and the optimal storage conditions for reducing mycotoxins. Korean J. Food Preserv. 2021, 28, 878–889. [Google Scholar] [CrossRef]
Publisher’s Note: MDPI stays neutral with regard to jurisdictional claims in published maps and institutional affiliations. |
© 2022 by the authors. Licensee MDPI, Basel, Switzerland. This article is an open access article distributed under the terms and conditions of the Creative Commons Attribution (CC BY) license (https://creativecommons.org/licenses/by/4.0/).

