Investigation of Wafer-Level Fabricated Permanent Micromagnets for MEMS
Abstract
:1. Introduction
2. Experimental
2.1. Micromagnet Fabrication
2.2. Characterization Technqiues
3. Results and Discussion
3.1. Structural Characterization
3.2. Magnetic Properties
3.3. Magnetization Mechanism
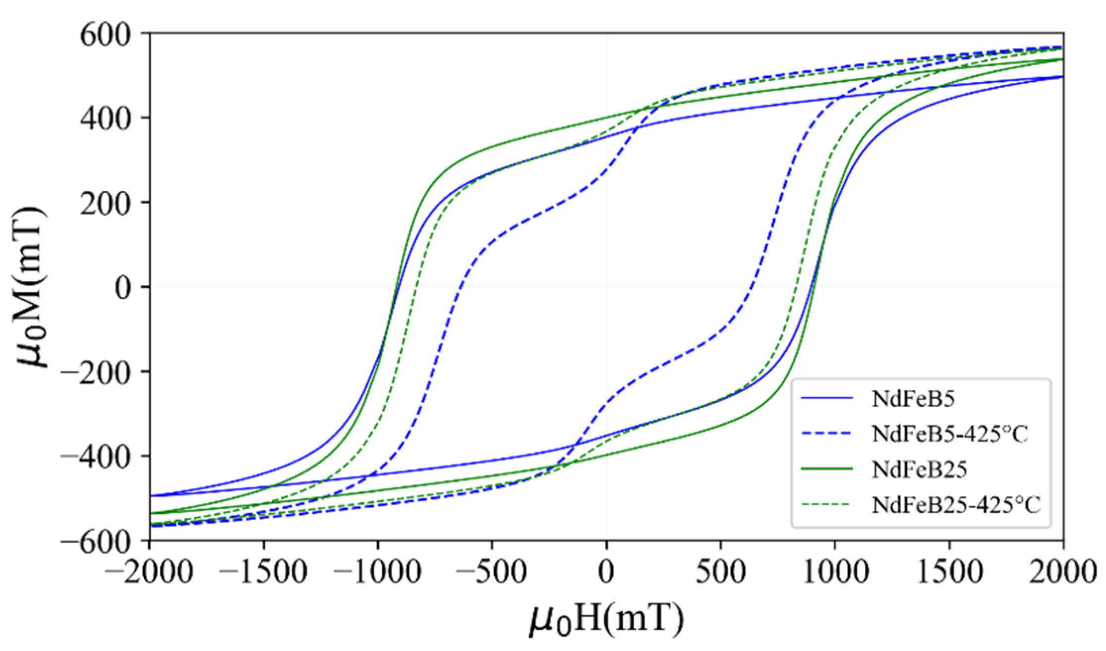
3.4. Thermal Stability
3.5. Corrosion Stability
4. Conclusions
Author Contributions
Funding
Institutional Review Board Statement
Informed Consent Statement
Data Availability Statement
Acknowledgments
Conflicts of Interest
References
- Cugat, O.; Delamare, J.; Reyne, G. Magnetic micro-actuators and systems (MAGMAS). IEEE Trans. Magn. 2003, 39, 3607–3612. [Google Scholar] [CrossRef] [Green Version]
- Gibbs, M.R.J.; Hill, E.W.; Wright, P.J. Magnetic materials for MEMS applications. J. Phys. D Appl. Phys. 2004, 37, R237–R244. [Google Scholar] [CrossRef]
- Niarchos, D. Magnetic MEMS: Key issues and some applications. Sens. Actuators A Phys. 2003, 109, 166–173. [Google Scholar] [CrossRef]
- Zanini, L.F.; Osman, O.; Frenea-Robin, M.; Haddour, N.; Dempsey, N.M.; Reyne, G.; Dumas-Bouchiat, F. Micromagnet structures for magnetic positioning and alignment. J. Appl. Phys. 2012, 111, 07B312. [Google Scholar] [CrossRef]
- Wang, D.F.; Maeda, R. Analytical study on cantilever resonance type magnet-integrated sensor device for micro-magnetic field detection. Microsyst. Technol. 2015, 21, 1167–1172. [Google Scholar] [CrossRef]
- Lemarquand, G.; Ravaud, R.; Shahosseini, I.; Lemarquand, V.; Moulin, J.; Lefeuvre, E. MEMS electrodynamic loudspeakers for mobile phones. Appl. Acoust. 2012, 73, 379–385. [Google Scholar] [CrossRef]
- Arnold, D.P.; Wang, N. Permanent Magnets for MEMS. J. Microelectromech. Syst. 2009, 18, 1255–1266. [Google Scholar] [CrossRef]
- Bodduluri, M.T.; Dankwort, T.; Lisec, T.; Grünzig, S.; Böhnhardt, S.; Fiedler, R.; Landwehr, M.; Khare, A.; Ahmed, M.; Gojdka, B. Fully Integrated High-Performance MEMS Energy Harvester for Mechanical and Contactless Magnetic excitation in Resonance and at low Frequencies. Micromachines 2022, 13, 407. [Google Scholar]
- Coey, J. Perspective and Prospects for Rare Earth Permanent Magnets. Engineering 2020, 6, 119–131. [Google Scholar] [CrossRef]
- Nakano, M.; Chikuba, Y.; Oryoshi, M.; Yamashita, A.; Yanai, T.; Fujiwara, R.; Shinshi, T.; Fukunaga, H. Nd–Fe–B Film Magnets With Thickness Above 100 ${\mu }\text{m}$ Deposited on Si Substrates. IEEE Trans. Magn. 2015, 51, 1–4. [Google Scholar] [CrossRef]
- Keller, F.O.; Haettel, R.; Devillers, T.; Dempsey, N.M. Batch fabrication of 50 lm thick anisotropic Nd-Fe-B micromagnets. IEEE Trans. Magn. 2021, 1, 2101005. [Google Scholar] [CrossRef]
- Oniku, O.D.; Bowers, B.J.; Shetye, S.B.; Wang, N.; Arnold, D.P. Permanent magnet microstructures using dry-pressed magnetic powders. J. Micromech. Microeng. 2013, 23, 75027. [Google Scholar] [CrossRef]
- Li, H.; Flynn, T.J.; Nation, J.C.; Kershaw, J.; Scott Stephens, L.; Trinkle, C.A. Photopatternable NdFeB polymer micromagnets for microfluidics and microrobotics applications. J. Micromech. Microeng. 2013, 23, 65002. [Google Scholar] [CrossRef]
- Lucarini, G.; Iacovacci, V.; Ricotti, L.; Comisso, N.; Dario, P.; Menciassi, A. Magnetically driven microrobotic system for cancer cell manipulation. Annu. Int. Conf. IEEE Eng. Med. Biol. Soc. 2015, 2015, 3631–3634. [Google Scholar] [CrossRef] [PubMed]
- Lisec, T.; Behrmann, O.; Gojdka, B. PowderMEMS—A Generic Microfabrication Technology for Integrated Three-Dimensional Functional Microstructures. Micromachines 2022, 13, 398. [Google Scholar] [CrossRef]
- Bodduluri, M.T.; Lisec, T.; Blohm, L.; Lofink, F.; Wagner, B. High-performance integrated hard magnets for MEMS applications. In Proceedings of the MikroSystemTechnik Kongress 2019, Berlin, Germany, 28–30 October 2019; VDE: Frankfurt, Germany, 2019. ISBN 978-3-8007-5090-0. [Google Scholar]
- MAGNEQUENCH FINE POWDER. Available online: https://mqitechnology.com/wp-content/uploads/2017/09/mqfp-brochure.pdf (accessed on 15 March 2022).
- Lisec, T.; Bodduluri, M.T.; Schulz-Walsemann, A.-V.; Blohm, L.; Pieper, I.; Gu-Stoppel, S.; Niekiel, F.; Lofink, F.; Wagner, B. Integrated high power micro magnets for MEMS sensors and actuators. In Proceedings of the 2019 20th International Conference on Solid-State Sensors, Actuators and Microsystems & Eurosensors XXXIII (Transducers & Eurosensors XXXIII), Berlin, Germany, 23–27 June 2019; IEEE: Piscataway, NJ, USA, 2019. ISBN 9781538681046. [Google Scholar]
- Kou, X.C.; Sun, X.K.; Chuang, Y.C.; Zhao, T.S.; Grössinger, R.; Kirchmayr, H. Exchange interaction and magnetocrystalline anisotropy in R2Fe12Co2B compounds (R ≡ Y, Gd, Nd). J. Less Common Met. 1990, 160, 109–115. [Google Scholar] [CrossRef]
- Mazilkin, A.; Straumal, B.B.; Protasova, S.G.; Gorji, S.; Straumal, A.B.; Katter, M.; Schütz, G.; Barezky, B. Grain boundary oxide layers in NdFeB-based permanent magnets. Mater. Des. 2021, 199, 109417. [Google Scholar] [CrossRef]
- Kostmann, C.; Lisec, T.; Bodduluri, M.T.; Andersen, O. Automated Filling of Dry Micron-Sized Particles into Micro Mold Pattern within Planar Substrates for the Fabrication of Powder-Based 3D Microstructures. Micromachines 2021, 12, 1176. [Google Scholar] [CrossRef]
- Li, Y.; Evans, H.E.; Harris, I.R.; Jones, I.P. The Oxidation of NdFeB Magnets. Oxid. Met. 2003, 59, 167–182. [Google Scholar] [CrossRef]
- Herbst, J.F. R2Fe14 B materials: Intrinsic properties and technological aspects. Rev. Mod. Phys. 1991, 63, 819–898. [Google Scholar] [CrossRef]
- Wohlfarth, E.P. Relations between Different Modes of Acquisition of the Remanent Magnetization of Ferromagnetic Particles. J. Appl. Phys. 1958, 29, 595–596. [Google Scholar] [CrossRef]
- Plusa, D.; Dospial, M.; Slusarek, B.; Kotlarczyk, U. Magnetization reversal mechanisms in hybrid resin-bonded Nd–Fe–B magnets. J. Magn. Magn. Mater. 2006, 306, 302–308. [Google Scholar] [CrossRef]
- Kelly, P.E.; O’Grady, K.; Mayo, P.I.; Chantrell, R.W. Switching mechanisms in cobalt-phosphorus thin films. IEEE Trans. Magn. 1989, 25, 3881–3883. [Google Scholar] [CrossRef]
- Panagiotopoulos, I.; Withanawasam, L.; Hadjipanayis, G.C. ‘Exchange spring’ behavior in nanocomposite hard magnetic materials. J. Magn. Magn. Mater. 1996, 152, 353–358. [Google Scholar] [CrossRef]
- Rong, C.; Shen, B. Nanocrystalline and nanocomposite permanent magnets by melt spinning technique. Chin. Phys. B 2018, 27, 117502. [Google Scholar] [CrossRef]
- Dospial, M.; Plusa, D.; Ślusarek, B. Study of the magnetic interaction in nanocrystalline Pr–Fe–Co–Nb–B permanent magnets. J. Magn. Magn. Mater. 2012, 324, 843–848. [Google Scholar] [CrossRef]
- Zhao, L.Z.; Zhou, Q.; Zhang, J.S.; Jiao, D.L.; Liu, Z.W.; Greneche, J.M. A nanocomposite structure in directly cast NdFeB based alloy with low Nd content for potential anisotropic permanent magnets. Mater. Des. 2017, 117, 326–331. [Google Scholar] [CrossRef]
- Rehman, S.U.; Wei, C.; Huang, Q.; Jiang, Q.; Haq, A.u.; Wang, J.; Zhong, Z. Tailoring the microstructure, magnetic properties and interaction mechanisms of Alnico-Ta alloys by magnetic field treatment. J. Alloy Compd. 2021, 857, 157586. [Google Scholar] [CrossRef]
- Liu, Z.; Zhao, L. Compositional Optimization and new processes for nanocrystalline NdFeB-based permanent magnets. In Advances in Magnetic Materials: Processing, Properties, and Performance; Zhang, S., Zhao, D., Eds.; CRC Press: Boca Raton, FL, USA, 2017; pp. 293–372. ISBN 9781315371573. [Google Scholar]
- Cui, B.; O’Shea, M. Hard magnetic properties of rapidly annealed NdFeB/Co films and intergrain interactions. J. Magn. Magn. Mater. 2004, 279, 27–35. [Google Scholar] [CrossRef]
- Johnson, R.W.; Evans, J.L.; Jacobsen, P.; Thompson, J.; Christopher, M. The Changing Automotive Environment: High-Temperature Electronics. IEEE Trans. Electron. Packag. Manufact. 2004, 27, 164–176. [Google Scholar] [CrossRef]
- Guo, X.; Xun, Q.; Li, Z.; Du, S. Silicon Carbide Converters and MEMS Devices for High-temperature Power Electronics: A Critical Review. Micromachines 2019, 10, 406. [Google Scholar] [CrossRef] [PubMed] [Green Version]
- Firdaus, M.; Rhamdhani, M.A.; Rankin, W.J.; Pownceby, M.; Webster, N.A.; D’Angelo, A.M.; McGregor, K. High temperature oxidation of rare earth permanent magnets. Part 1–Microstructure evolution and general mechanism. Corros. Sci. 2018, 133, 374–385. [Google Scholar] [CrossRef]
- Saiden, N.M.; Schrefl, T.; Davies, H.A.; Hrkac, G. Micromagnetic finite element simulation of nanocrystalline α-Fe/Nd2Fe14B/Fe3B magnets. J. Magn. Magn. Mater. 2014, 365, 45–50. [Google Scholar] [CrossRef]
- Dickens, E.D.; Mazany, A.M. The corrosion and oxidation of Nd-Fe-B magnets. J. Appl. Phys. 1990, 67, 4613–4615. [Google Scholar] [CrossRef]
- Isotahdon, E.; Huttunen-Saarivirta, E.; Heinonen, S.; Kuokkala, V.-T.; Paju, M. Corrosion mechanisms of sintered Nd–Fe–B magnets in the presence of water as vapour, pressurised vapour and liquid. J. Alloy Compd. 2015, 626, 349–359. [Google Scholar] [CrossRef]














| x-axis | z-axis | x-axis | z-axis | x-axis | z-axis | |
| NdFeB5 | 355 | 309 | 915 | 910 | 497 | 464 |
| NdFeB25 | 423 | 372 | 924 | 915 | 568 | 528 |
Publisher’s Note: MDPI stays neutral with regard to jurisdictional claims in published maps and institutional affiliations. |
© 2022 by the authors. Licensee MDPI, Basel, Switzerland. This article is an open access article distributed under the terms and conditions of the Creative Commons Attribution (CC BY) license (https://creativecommons.org/licenses/by/4.0/).
Share and Cite
Bodduluri, M.T.; Gojdka, B.; Wolff, N.; Kienle, L.; Lisec, T.; Lofink, F. Investigation of Wafer-Level Fabricated Permanent Micromagnets for MEMS. Micromachines 2022, 13, 742. https://doi.org/10.3390/mi13050742
Bodduluri MT, Gojdka B, Wolff N, Kienle L, Lisec T, Lofink F. Investigation of Wafer-Level Fabricated Permanent Micromagnets for MEMS. Micromachines. 2022; 13(5):742. https://doi.org/10.3390/mi13050742
Chicago/Turabian StyleBodduluri, Mani Teja, Björn Gojdka, Niklas Wolff, Lorenz Kienle, Thomas Lisec, and Fabian Lofink. 2022. "Investigation of Wafer-Level Fabricated Permanent Micromagnets for MEMS" Micromachines 13, no. 5: 742. https://doi.org/10.3390/mi13050742
APA StyleBodduluri, M. T., Gojdka, B., Wolff, N., Kienle, L., Lisec, T., & Lofink, F. (2022). Investigation of Wafer-Level Fabricated Permanent Micromagnets for MEMS. Micromachines, 13(5), 742. https://doi.org/10.3390/mi13050742

