A Novel Density of States (DOS) for Disordered Organic Semiconductors
Abstract
1. Introduction
2. Model Theory
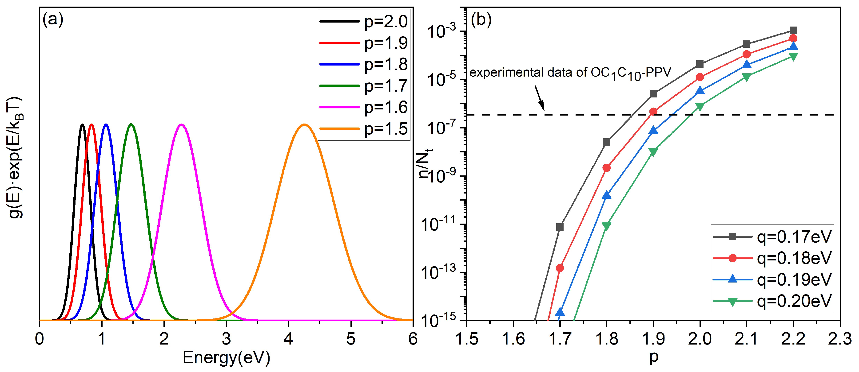
3. Results and Discussion
4. Conclusions
Author Contributions
Funding
Conflicts of Interest
Appendix A
References
- Lan, S.; Ke, Y.; Chen, H. Photonic synaptic transistor based on p-type organic semiconductor blending with n-type organic semiconductor. IEEE Electron Device Lett. 2021, 42, 1180–1183. [Google Scholar] [CrossRef]
- Sandberg, O.J.; Zeiske, S.; Zarrabi, N.; Meredith, P.; Armin, A. Charge carrier transport and generation via trap-mediated optical release in organic semiconductor devices. Phys. Rev. Lett. 2020, 124, 128001. [Google Scholar] [CrossRef] [PubMed]
- Kaiser, C.; Sandberg, O.J.; Zarrabi, N.; Li, W.; Meredith, P.; Armin, A. A universal Urbach rule for disordered organic semiconductors. Nat. Commun. 2021, 12, 3988. [Google Scholar] [CrossRef] [PubMed]
- Koopmans, M.; Koster, L.J.A. Carrier–carrier Coulomb interactions reduce power factor in organic thermoelectrics. Appl. Phys. Lett. 2021, 119, 143301. [Google Scholar] [CrossRef]
- Bronstein, H.; Nielsen, C.B.; Schroeder, B.C.; McCulloch, I. The role of chemical design in the performance of organic semiconductors. Nat. Rev. Chem. 2020, 4, 66–77. [Google Scholar] [CrossRef] [PubMed]
- Oelerich, J.; Huemmer, D.; Baranovskii, S. How to find out the density of states in disordered organic semiconductors. Phys. Rev. Lett. 2012, 108, 226403. [Google Scholar] [CrossRef]
- Bässler, H. Charge transport in disordered organic photoconductors. A Monte Carlo simulation study. Phys. Status Solidi B Basic Res. 1993, 175, 15–56. [Google Scholar] [CrossRef]
- Vissenberg, M.; Matters, M. Theory of the field-effect mobility in amorphous organic transistors. Phys. Rev. B 1998, 57, 12964. [Google Scholar] [CrossRef]
- Fishchuk, I.; Kadashchuk, A.; Ullah, M.; Sitter, H.; Pivrikas, A.; Genoe, J.; Bässler, H. Electric field dependence of charge carrier hopping transport within the random energy landscape in an organic field effect transistor. Phys. Rev. B 2012, 86, 045207. [Google Scholar] [CrossRef]
- Limketkai, B.; Jadhav, P.; Baldo, M. Electric-field-dependent percolation model of charge-carrier mobility in amorphous organic semiconductors. Phys. Rev. B 2007, 75, 113203. [Google Scholar] [CrossRef]
- Abtahi, A.; Johnson, S.; Park, S.M.; Luo, X.; Liang, Z.; Mei, J.; Graham, K.R. Designing π-conjugated polymer blends with improved thermoelectric power factors. J. Mater. Chem. A 2019, 7, 19774–19785. [Google Scholar] [CrossRef]
- Saxena, R.; Nikitenko, V.; Fishchuk, I.; Burdakov, Y.V.; Metel, Y.V.; Genoe, J.; Bässler, H.; Köhler, A.; Kadashchuk, A. Role of the reorganization energy for charge transport in disordered organic semiconductors. Phys. Rev. B 2021, 103, 165202. [Google Scholar] [CrossRef]
- Lu, N.; Jiang, W.; Wu, Q.; Geng, D.; Li, L.; Liu, M. A review for compact model of thin-film transistors (TFTs). Micromachines 2018, 9, 599. [Google Scholar] [CrossRef]
- Torricelli, F.; Kovács-Vajna, Z.M.; Colalongo, L. The role of the density of states on the hole mobility of disordered organic semiconductors. Org. Electron. 2009, 10, 1037–1040. [Google Scholar] [CrossRef]
- Ihnatsenka, S.; Crispin, X.; Zozoulenko, I. Understanding hopping transport and thermoelectric properties of conducting polymers. Phys. Rev. B 2015, 92, 035201. [Google Scholar] [CrossRef]
- Shi, X.; Hu, M.; Yao, D.; Hu, M.; Dan, S.; Huang, J.; Zhou, J. The effect of electric field on carrier mobility in organic semiconductors based on exponential type density of states and genuine transport energy. IEEE Electron Device Lett. 2020, 41, 1552–1555. [Google Scholar] [CrossRef]
- Wang, L.; Li, Y.; Gong, X.; Thean, A.V.Y.; Liang, G. A physics-based compact model for transition-metal dichalcogenides transistors with the band-tail effect. IEEE Electron Device Lett. 2018, 39, 761–764. [Google Scholar] [CrossRef]
- Stankevych, A.; Vakhnin, A.; Andrienko, D.; Paterson, L.; Genoe, J.; Fishchuk, I.; Bässler, H.; Köhler, A.; Kadashchuk, A. Density of states of OLED host materials from thermally stimulated luminescence. Phys. Rev. Appl. 2021, 15, 044050. [Google Scholar] [CrossRef]
- Zuo, G.; Abdalla, H.; Kemerink, M. Conjugated polymer blends for organic thermoelectrics. Adv. Electron. Mater. 2019, 5, 1800821. [Google Scholar] [CrossRef]
- Scheunemann, D.; Kemerink, M. Non-Wiedemann-Franz behavior of the thermal conductivity of organic semiconductors. Phys. Rev. B 2020, 101, 075206. [Google Scholar] [CrossRef]
- Boyle, C.J.; Upadhyaya, M.; Wang, P.; Renna, L.A.; Lu-Díaz, M.; Pyo Jeong, S.; Hight-Huf, N.; Korugic-Karasz, L.; Barnes, M.D.; Aksamija, Z.; et al. Tuning charge transport dynamics via clustering of doping in organic semiconductor thin films. Nat. Commun. 2019, 10, 2827. [Google Scholar] [CrossRef] [PubMed]
- Zhao, X.; Chen, C.; Sun, Q.; Li, Y.; Yu, H. Molecular structure optimization design of inhibitors based on frontier orbitals theory. Appl. Surf. Sci. 2019, 494, 895–907. [Google Scholar] [CrossRef]
- Radha Krishnan, R.K.; Liu, S.; Dahal, D.; Paudel, P.R.; Lüssem, B. Organic Doping at Ultralow Concentrations. Adv. Opt. Mater. 2021, 9, 2100089. [Google Scholar] [CrossRef]
- Pingel, P.; Neher, D. Comprehensive picture of p-type doping of P3HT with the molecular acceptor F 4 TCNQ. Phys. Rev. B 2013, 87, 115209. [Google Scholar] [CrossRef]
- Roati, G.; D’Errico, C.; Fallani, L.; Fattori, M.; Fort, C.; Zaccanti, M.; Modugno, G.; Modugno, M.; Inguscio, M. Anderson localization of a non-interacting Bose–Einstein condensate. Nature 2008, 453, 895–898. [Google Scholar] [CrossRef]
- Lyon, A. Why are normal distributions normal? Br. J. Philos. Sci. 2014, 65, 621–649. [Google Scholar] [CrossRef]
- Hunter, D. An upper bound for the probability of a union. J. Appl. Probab. 1976, 13, 597–603. [Google Scholar] [CrossRef]
- Fisher, R.A.; Tippett, L.H.C. Limiting forms of the frequency distribution of the largest or smallest member of a sample. In Mathematical Proceedings of the Cambridge Philosophical Society; Cambridge University Press: Cambridge, UK, 1928; Volume 24, pp. 180–190. [Google Scholar]
- Jenkinson, A.F. The frequency distribution of the annual maximum (or minimum) values of meteorological elements. Q. J. R. Meteorol. Soc. 1955, 81, 158–171. [Google Scholar] [CrossRef]
- Upadhyaya, M.; Lu-Díaz, M.; Samanta, S.; Abdullah, M.; Dusoe, K.; Kittilstved, K.R.; Venkataraman, D.; Akšamija, Z. Raising Dielectric Permittivity Mitigates Dopant-Induced Disorder in Conjugated Polymers. Adv. Sci. 2021, 8, 2101087. [Google Scholar] [CrossRef]
- Arkhipov, V.; Emelianova, E.; Adriaenssens, G. Effective transport energy versus the energy of most probable jumps in disordered hopping systems. Phys. Rev. B 2001, 64, 125125. [Google Scholar] [CrossRef]
- Tu, D.; Fabiano, S. Mixed ion-electron transport in organic electrochemical transistors. Appl. Phys. Lett. 2020, 117, 080501. [Google Scholar] [CrossRef]
- Liu, D.; Wang, J.; Bi, C.; Li, M.; Lu, N.; Chen, Z.; Li, L. Lattice Relaxation Forward Negative Coulomb Drag in Hopping Regime. Electronics 2022, 11, 1273. [Google Scholar] [CrossRef]
- Tanase, C.; Blom, P.; De Leeuw, D. Origin of the enhanced space-charge-limited current in poly (p-phenylene vinylene). Phys. Rev. B 2004, 70, 193202. [Google Scholar] [CrossRef]
- Schmechel, R. Gaussian disorder model for high carrier densities: Theoretical aspects and application to experiments. Phys. Rev. B 2002, 66, 235206. [Google Scholar] [CrossRef]
- Baranovskii, S.; Cordes, H.; Hensel, F.; Leising, G. Charge-carrier transport in disordered organic solids. Phys. Rev. B 2000, 62, 7934. [Google Scholar] [CrossRef]
- Khamzin, A.; Nigmatullin, R. Multiple-trapping model of dielectric relaxation of the ice Ih. J. Chem. Phys. 2017, 147, 204502. [Google Scholar] [CrossRef] [PubMed]
- Lu, N.; Li, L.; Liu, M. A review of carrier thermoelectric-transport theory in organic semiconductors. Phys. Chem. Chem. Phys. 2016, 18, 19503–19525. [Google Scholar] [CrossRef]
- Anand, S.; Goetz, K.P.; Lamport, Z.A.; Zeidell, A.M.; Jurchescu, O.D. Field-dependent charge transport in organic thin-film transistors: Impact of device structure and organic semiconductor microstructure. Appl. Phys. Lett. 2019, 115, 073301. [Google Scholar] [CrossRef]
- Vallone, G.; Dequal, D. Strong measurements give a better direct measurement of the quantum wave function. Phys. Rev. Lett. 2016, 116, 040502. [Google Scholar] [CrossRef]
- Ohmi, K.; Zimmermann, F. Head-tail instability caused by electron clouds in positron storage rings. Phys. Rev. Lett. 2000, 85, 3821. [Google Scholar] [CrossRef]
- Busch, P.; Heinonen, T.; Lahti, P. Heisenberg’s uncertainty principle. Phys. Rep. 2007, 452, 155–176. [Google Scholar] [CrossRef]





| Disclaimer/Publisher’s Note: The statements, opinions and data contained in all publications are solely those of the individual author(s) and contributor(s) and not of MDPI and/or the editor(s). MDPI and/or the editor(s) disclaim responsibility for any injury to people or property resulting from any ideas, methods, instructions or products referred to in the content. | 
© 2023 by the authors. Licensee MDPI, Basel, Switzerland. This article is an open access article distributed under the terms and conditions of the Creative Commons Attribution (CC BY) license (https://creativecommons.org/licenses/by/4.0/).
Share and Cite
Qin, D.; Chen, J.; Lu, N. A Novel Density of States (DOS) for Disordered Organic Semiconductors. Micromachines 2023, 14, 1361. https://doi.org/10.3390/mi14071361
Qin D, Chen J, Lu N. A Novel Density of States (DOS) for Disordered Organic Semiconductors. Micromachines. 2023; 14(7):1361. https://doi.org/10.3390/mi14071361
Chicago/Turabian StyleQin, Dong, Jiezhi Chen, and Nianduan Lu. 2023. "A Novel Density of States (DOS) for Disordered Organic Semiconductors" Micromachines 14, no. 7: 1361. https://doi.org/10.3390/mi14071361
APA StyleQin, D., Chen, J., & Lu, N. (2023). A Novel Density of States (DOS) for Disordered Organic Semiconductors. Micromachines, 14(7), 1361. https://doi.org/10.3390/mi14071361
 
        


