Ultra-Wideband and Narrowband Switchable, Bi-Functional Metamaterial Absorber Based on Vanadium Dioxide
Abstract
1. Introduction
2. Design and Simulation
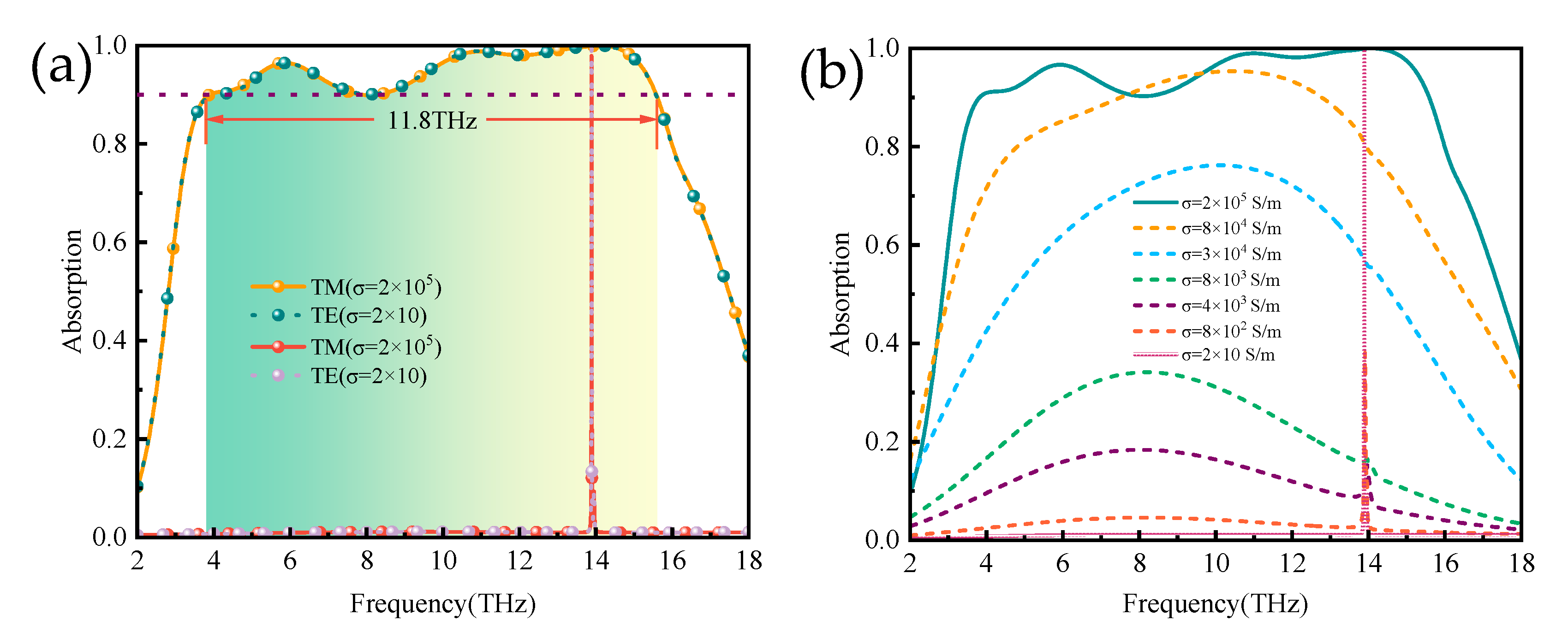
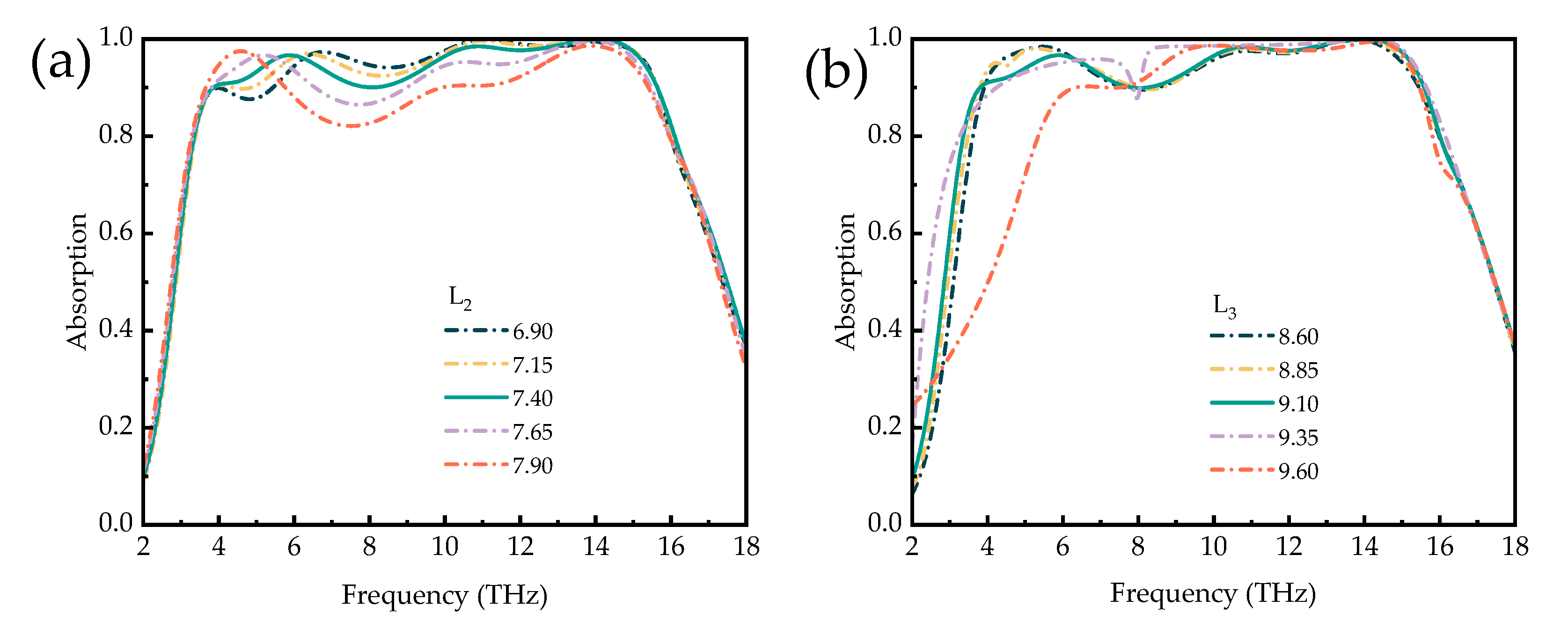
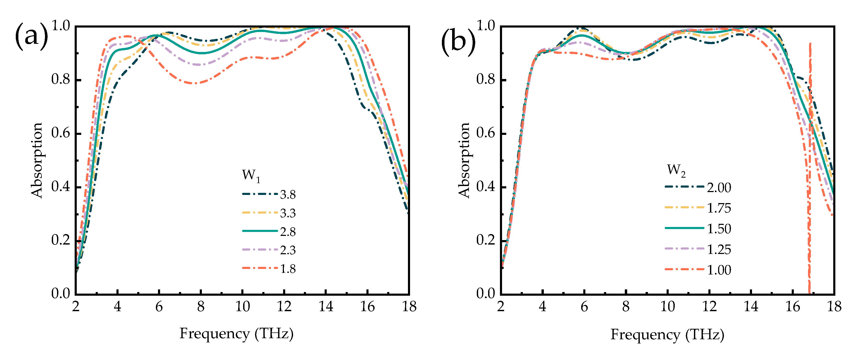
3. Results and Discussion
4. Conclusions
Author Contributions
Funding
Data Availability Statement
Acknowledgments
Conflicts of Interest
References
- Hasan, M.; Arezoomandan, S.; Condori, H.; Sensale-Rodriguez, B. Graphene terahertz devices for communications applications. Nano Commun. Netw. 2016, 10, 68–78. [Google Scholar] [CrossRef]
- Lyu, N.F.; Zuo, J.; Zhao, Y.M. Terahertz Synthetic Aperture Imaging with a Light Field Imaging System. Electronics 2020, 9, 830. [Google Scholar] [CrossRef]
- Chen, P.Y.; Soric, J.; Padooru, Y.R.; Bernety, H.M.; Yakovlev, A.B.; Alu, A. Nanostructured graphene metasurface for tunable terahertz cloaking. New J. Phys. 2013, 15, 123029. [Google Scholar] [CrossRef]
- Chen, M.; Singh, L.; Xu, N.; Singh, R.; Zhang, W.; Xie, L. Terahertz sensing of highly absorptive water-methanol mixtures with multiple resonances in metamaterials. Opt. Express 2017, 25, 14089–14097. [Google Scholar] [CrossRef]
- Xiong, R.; Li, J. Double layer frequency selective surface for terahertz bandpass filter. J. Infrared Millim. Terahertz Waves 2018, 39, 1039–1046. [Google Scholar]
- Mengual, T.; Vidal, B.; Marti, J. Continuously tunable photonic microwave filter based on a spatial light modulator. Opt. Commun. 2008, 281, 2746–2749. [Google Scholar] [CrossRef]
- Fan, J.; Cheng, Y. Broadband high-effificiency cross-polarization conversion and multi-functional wavefront manipulation based on chiral structure metasurface for terahertz wave. J. Phys. D Appl. Phys. 2020, 53, 025109. [Google Scholar] [CrossRef]
- Grady, N.K.; Heyes, J.E.; Chowdhury, D.R.; Zeng, Y.; Reiten, M.T.; Azad, A.K.; Taylor, A.J.; Dalvit, D.A.; Chen, H.T. Terahertz metamaterials for linear polarization conversion and anomalous refraction. Science 2013, 340, 1304–1307. [Google Scholar] [CrossRef]
- Fan, Z.; Geng, Z.; Fang, W.; Lv, X.; Su, Y.; Wang, S.; Liu, J.; Chen, H. Characteristics of transition metal dichalcogenides in optical pumped modulator of terahertz wave. AIP Adv. 2020, 10, 045304. [Google Scholar] [CrossRef]
- Berardi, S.-R.; Rusen, Y.; Michelle, M.K.; Tian, F.; Kristof, T.; Wan, S.H.; Debdeep, J.; Lei, L.; Huili, G.X. Broadband graphene terahertz modulatorsenabled by intraband transitions. Nat. Commun. 2012, 4, 3. [Google Scholar]
- Jin, J.L.; Cheng, Z.; Chen, J.; Zhou, T.; Wu, C.; Xu, C. Reconfigurable terahertz Vivaldi antenna based on a hybrid graphene-metal structure. Int. J. RF Microw. Comput.-Aided Eng. 2020, 30, e22175.1–e22175.8. [Google Scholar] [CrossRef]
- Wang, B.X. Quad-Band Terahertz Metamaterial Absorber Based on the Combining of the Dipole and Quadrupole Resonances of Two SRRs. IEEE J. Sel. Top. Quantum Electron. 2017, 23, 4700107. [Google Scholar] [CrossRef]
- Liu, X.; Fan, K.; Shadrivov, I.V.; Padilla, W.J. Experimental realization of a terahertz all-dielectric metasurface absorber. Opt. Express 2017, 25, 191–201. [Google Scholar] [CrossRef] [PubMed]
- Landy, N.I.; Sajuyigbe, S.; Mock, J.J.; Smith, D.R.; Padilla, W.J. Perfect metamaterial absorber. Phys. Rev. Lett. 2008, 100, 207402. [Google Scholar] [CrossRef]
- Liu, Y.; Huang, R.; Ouyang, Z.B. Terahertz absorber with dynamically switchable dual-broadband based on a hybrid metamaterial with vanadium dioxide and graphene. Opt. Express 2021, 29, 20839–20850. [Google Scholar] [CrossRef]
- Huang, J.; Li, J.N.; Yang, Y.; Li, J.; Li, J.H.; Zhang, Y.T.; Yao, J.Q. Broadband terahertz absorber with a flexible, reconfigurable performance based on hybrid-patterned vanadium dioxide metasurfaces. Opt. Express 2020, 28, 17832–17840. [Google Scholar] [CrossRef]
- Kumar, P.; Lakhtakia, A.; Jain, P.K. Graphene pixel-based polarization-insensitive metasurface for almost perfect and wideband terahertz absorption. J. Opt. Soc. Am. B-Opt. Phys. B 2019, 36, 1914. [Google Scholar] [CrossRef]
- Liu, W.W.; Song, Z.Y. Terahertz absorption modulator with largely tunable bandwidth and intensity. Carbon 2020, 174, 617–624. [Google Scholar] [CrossRef]
- Zhu, H.L.; Zhang, Y.; Ye, L.F.; Li, Y.K.; Xu, Y.H.; Xu, R.M. Switchable and tunable terahertz metamaterial absorber with broadband and multi-band absorption. Opt. Express 2020, 28, 38626–38637. [Google Scholar] [CrossRef] [PubMed]
- Zhang, B.H.; Qi, Y.P.; Zhang, T.; Zhang, Y.; Yi, Z. Tunable multiband terahertz absorber based on composite graphene structures with square ring and Jerusalem cross. Results Phys. 2021, 25, 104233. [Google Scholar] [CrossRef]
- Han, J.Z.; Chen, R.S. Tunable broadband terahertz absorber based on a single-layer graphene metasurface. Opt. Express 2020, 28, 30289–30298. [Google Scholar] [CrossRef]
- Zhong, Y.J.; Huang, Y.; Zhong, S.C.; Lin, T.L.; Luo, M.T.; Shen, Y.C.; Ding, J. Tunable terahertz broadband absorber based on MoS2 ringcross array structure. Opt. Mater. 2021, 114, 110996. [Google Scholar] [CrossRef]
- Xu, Y.; Wu, L.; Kee, A.L. MoS2-based highly sensitive nearinfrared surface plasmon resonance refractive index sensor. IEEE J. Sel. Top. Quantum Electron. 2019, 25, 4600307. [Google Scholar] [CrossRef]
- Zamharir, S.G.; Karimzadeh, R.; Luo, X. Tunable polarization independent MoS2-based coherent perfect absorber within visible region. J. Phys. D Appl. Phys. 2021, 54, 165104. [Google Scholar] [CrossRef]
- Li, W.Y.; Cheng, Y.Z. Dual-band tunable terahertz perfect metamaterial absorber based on strontium titanate (STO) resonator structure. Opt. Commun. 2020, 462, 125265. [Google Scholar] [CrossRef]
- Li, D.; Huang, H.L.; Xia, H.; Zeng, J.P.; Li, H.J.; Xie, D. Temperature-dependent tunable terahertz metamaterial absorber for the application of light modulator. Results Phys. 2018, 11, 659–664. [Google Scholar] [CrossRef]
- Zou, H.J.; Cheng, Y.Z. Design of a six-band terahertz metamaterial absorber for temperature sensing application. Opt. Mater. 2019, 88, 674–679. [Google Scholar] [CrossRef]
- Luo, H.; Cheng, Y. Thermally tunable terahertz metasurface absorber based on all dielectric indium antimonide resonator structure. Opt. Mater. 2020, 102, 109801. [Google Scholar] [CrossRef]
- Chen, F.; Cheng, Y.Z.; Luo, H. Temperature Tunable Narrow-Band Terahertz Metasurface Absorber Based on InSb Micro-Cylinder Arrays for Enhanced Sensing Application. IEEE Access 2020, 8, 82981–82988. [Google Scholar] [CrossRef]
- Luo, H.; Wang, X.; Qian, H. Tunable terahertz dual-band perfect absorber based on the combined InSb resonator structures for temperature sensing. J. Opt. Soc. Am. B Opt. Phys. 2021, 38, 2638–2644. [Google Scholar] [CrossRef]
- Ren, Y.; Zhou, T.L.; Jiang, C.; Tang, B. Thermally switching between perfect absorber and asymmetric transmission in vanadium dioxide-assisted metamaterials. Opt. Express 2021, 29, 7666–7679. [Google Scholar] [CrossRef]
- Qazilbash, M.M.; Brehm, M.; Chae, B.G.; Ho, P.C.; Andreev, G.O.; Kim, B.J.; Yun, S.J.; Balatsky, A.V.; Maple, M.B.; Keilmann, F.; et al. Mott transition in VO2 revealed by infrared spectroscopy and nano-imaging. Science 2007, 318, 1750–1753. [Google Scholar] [CrossRef]
- Briggs, R.M.; Pryc, I.M.; Atwate, H.A. Compact silicon photonic waveguide modulator based on the vanadium dioxide metal-insulator phase transition. Opt. Express 2010, 18, 11192–11201. [Google Scholar] [CrossRef] [PubMed]
- Chen, L.L.; Song, Z.Y. Simultaneous realizations of absorber and transparent conducting metal in a single metamaterial. Opt. Express 2020, 28, 6565–6571. [Google Scholar] [CrossRef] [PubMed]
- Zhou, Z.K.; Song, Z.Y. Switchable bifunctional metamaterial for terahertz anomalous reflection and broadband absorption. Phys. Scr. 2021, 96, 115506. [Google Scholar] [CrossRef]
- Meng, H.Y.; Shang, X.J.; Xue, X.X.; Tang, K.Z.; Xia, S.X.; Zhai, X.; Liu, Z.R.; Chen, J.H.; Li, H.J.; Wang, L.L. Bidirectional and dynamically tunable THz absorber with Dirac semimetal. Opt. Express 2019, 27, 31062–31074. [Google Scholar] [CrossRef] [PubMed]
- Shan, Y.; Chen, L.; Shi, C.; Cheng, Z.; Zang, X.; Xu, B.; Zhu, Y. Ultrathin flexible dual band terahertz absorber. Opt. Commun. 2015, 350, 63–70. [Google Scholar] [CrossRef]
- Wang, R.X.; Li, L.; Liu, J.L.; Yan, F.; Tian, F.J.; Tian, H.; Zhang, J.Z.; Sun, W.M. Triple-band tunable perfect terahertz metamaterial absorber with liquid crystal. Opt. Express 2017, 25, 32280–32289. [Google Scholar] [CrossRef]
- Liu, S.; Chen, H.B.; Cui, T.J. A broadband terahertz absorber using multi-layer stacked bars. Appl. Phys. Lett. 2015, 106, 151601. [Google Scholar] [CrossRef]
- Liu, L.; Liu, W.W.; Song, Z.Y. Ultra-broadband terahertz absorber based on a multilayer graphene metamaterial. J. Appl. Phys. 2020, 128, 093104. [Google Scholar] [CrossRef]
- Huang, J.; Li, J.; Yang, Y.; Li, J.; Zhang, Y.; Yao, J. Active controllable dual broadband terahertz absorber based on hybrid metamaterials with vanadium dioxide. Opt. Express 2020, 28, 7018–7027. [Google Scholar] [CrossRef] [PubMed]
- Song, Z.Y.; Wang, K.; Li, J.W.; Liu, Q.H. Broadband tunable terahertz absorber based on vanadium dioxide metamaterials. Opt. Express 2018, 26, 7148–7154. [Google Scholar] [CrossRef] [PubMed]
- Song, Z.Y.; Wei, M.L.; Wang, Z.S.; Cai, G.X.; Liu, Y.N.; Zhou, Y.G. Terahertz absorber with reconfigurable bandwidth based on isotropic vanadium dioxide metasurfaces. IEEE Photonics J. 2019, 11, 4600607. [Google Scholar] [CrossRef]
- Wang, S.X.; Cai, C.F.; You, M.H.; Liu, F.Y.; Wu, M.H.; Li, S.Z.; Bao, H.G.; Kang, L.; Werner, D.H. Vanadium dioxide based broadband THz metamaterial absorbers with high tunability: Simulation study. Opt. Express 2019, 27, 19436–19447. [Google Scholar] [CrossRef]
- Dao, R.N.; Kong, X.R.; Zhang, H.F.; Su, X.R. A tunable broadband terahertz metamaterial absorber based on the vanadium dioxide. Optik 2019, 180, 619–625. [Google Scholar] [CrossRef]
- Bai, J.J.; Zhang, S.S.; Fan, F.; Wang, S.S.; Sun, X.P.; Miao, Y.P.; Chang, S.J. Tunable broadband THz absorber using vanadium dioxide metamaterials. Opt. Commun. 2019, 452, 292–295. [Google Scholar] [CrossRef]
- Song, Z.Y.; Jiang, M.W.; Deng, Y.D.; Chen, A.P. Wide-angle absorber with tunable intensity and bandwidth realized by a terahertz phase change material. Opt. Commun. 2020, 464, 125494. [Google Scholar] [CrossRef]
- Wu, G.Z.; Jiao, X.F.; Wang, Y.D.; Zhao, Z.P.; Wang, Y.B.; Liu, J.G. Ultra-wideband tunable metamaterial perfect absorber based on vanadium dioxide. Opt. Express 2021, 29, 2703–2711. [Google Scholar] [CrossRef]
- Zhang, C.Y.; Zhang, H.; Ling, F.; Zhang, B. Dual-regulated broadband terahertz absorber based on vanadium dioxide and graphene. Appl. Opt. 2021, 60, 4835–4840. [Google Scholar] [CrossRef]
- Zheng, Z.P.; Zheng, Y.; Luo, Y.; Yi, Z.; Zhang, J.G.; Liu, L.; Song, Q.; Wu, P.H.; Yu, Y.; Zhang, J.F. Terahertz perfect absorber based on flexible active switching of ultra-broadband and ultra-narrowband. Opt. Express 2021, 29, 42787–42799. [Google Scholar] [CrossRef]
- Peng, H.; Yang, K.; Huang, Z.X.; Chen, Z. Broadband terahertz tunable multi-film absorber based on phase-change material. Appl. Opt. 2022, 61, 3101–3106. [Google Scholar] [CrossRef]
- Zhang, P.Y.; Chen, G.Q.; Hou, Z.Y.; Zhang, Y.Z.; Shen, J.; Li, C.Y.; Zhao, M.L.; Gao, Z.Z.; Li, Z.Q.; Tang, T.T. Ultra-Broadband Tunable Terahertz Metamaterial Absorber Based on Double-Layer Vanadium Dioxide Square Ring Arrays. Micromachines 2022, 13, 669. [Google Scholar] [CrossRef] [PubMed]
- Niu, J.H.; Yao, Q.Y.; Mo, W.; Li, C.H.; Zhu, A.J. Switchable bi-functional metamaterial based on vanadium dioxide for broadband absorption and broadband polarization in terahertz band. Opt. Commun. 2022, 527, 128953. [Google Scholar] [CrossRef]
- Gao, P.; Chen, C.; Dai, Y.W.; Luo, H.; Feng, Y.; Qiao, Y.J.; Ren, Z.Y.; Liu, H. Broadband terahertz polarization converter/absorber based on the phase transition properties of vanadium dioxide in a reconfigurable metamaterial. Opt. Quantum Electron. 2023, 55, 380. [Google Scholar] [CrossRef]
- Li, Z.B.; Sun, X.A.; Ma, C.R.; Li, J.; Li, X.P.; Guan, B.O.; Chen, K. Ultra-narrow-band metamaterial perfect absorber based on surface lattice resonance in a WS2 nanodisk array. Opt. Express 2021, 29, 27084–27091. [Google Scholar] [CrossRef] [PubMed]
- Wu, X.L.; Zhao, W.C.; Yi, Z.; Yu, J.X.; Zhou, Z.G.; Yang, H.; Wang, S.F.; Zhang, J.G.; Pan, M.; Wu, P.H. High-performance dual-control tunable absorber with switching function and high sensitivity based on Dirac semi-metallic film and vanadium oxide. Opt. Laser Technol. 2022, 153, 108145. [Google Scholar] [CrossRef]
- Xing, L.Y.; Cui, H.L.; Zhou, Z.X.; Bai, J.; Du, C.L. Terahertz scattering and spectroscopic characteristics of polymethacryl imide microstructures. IEEE Access 2019, 7, 41737–41745. [Google Scholar] [CrossRef]
- Sun, P.; You, C.L.; Mahigir, A.; Liu, T.T.; Xia, F.; Kong, W.J.; Veronis, G.; Dowling, J.P.; Dong, L.F.; Yun, M.J. Graphene-based dual-band independently tunable infrared absorber. Nanoscale 2018, 10, 15564–15570. [Google Scholar] [CrossRef]
- Li, J.K.; Chen, X.F.; Yi, Z.; Yang, H.; Tang, Y.J.; Yi, Y.; Yao, W.T.; Wang, J.Q.; Yi, Y.G. Broadband solar energy absorber based on monolayer molybdenum disulfide using tungsten elliptical arrays. Mater. Today Energy 2020, 16, 100390. [Google Scholar] [CrossRef]
- Fan, F.; Hou, Y.; Jiang, Z.W.; Wang, X.H.; Chang, S.J. Terahertz modulator based on insulator-metal transition in photonic crystal waveguide. Appl. Opt. 2012, 51, 4589–4596. [Google Scholar] [CrossRef]
- Tang, N.M.; Li, Y.J.; Chen, F.T.; Han, Z.Y. In situ fabrication of a direct Z-scheme photocatalyst by immobilizing CdS quantum dots in the channels of graphene-hybridized and supported mesoporous titanium nanocrystals for high photocatalytic performance under visible light. Rsc Adv. 2018, 8, 42233–42245. [Google Scholar] [CrossRef] [PubMed]
- Zhao, Y.; Huang, Q.P.; Cai, H.L.; Lin, X.X.; Lu, Y.L. A broadband and switchable VO2-based perfect absorber at the THz frequency. Opt. Commun. 2018, 426, 443–449. [Google Scholar] [CrossRef]
- Tittl, A.; Harats, M.G.; Walter, R.; Yin, X.H.; Schäferling, M.; Liu, N.; Rapaport, R.; Giessen, H. Quantitative angle-resolved small-spot reflectance measurements on plasmonic perfect absorbers: Impedance matching and disorder effects. ACS Nano 2014, 8, 10885–10892. [Google Scholar] [CrossRef] [PubMed]














| Parameter | P | h1 | h2 | h3 | h4 | W1 | W2 | L2 | L3 |
|---|---|---|---|---|---|---|---|---|---|
| Value/μm | 22 | 0.2 | 6.55 | 0.15 | 0.2 | 2.8 | 1.5 | 7.4 | 9.1 |
| Reported Year and Reference | FB > 90 (THz) | BW > 90 (THz) | Materials | Functions (Absorption Band) | Layers |
|---|---|---|---|---|---|
| 2021 [49] | 1.04–5.51 | 4.47 | Graphene and VO2 | narrowband | 5 |
| 2021 [50] | 8.5–11 | 3.5 | VO2 | narrowband and broadband | 3 |
| 2022 [51] | 4.5–10 | 5.5 | VO2 | narrowband | 4 |
| 2022 [52] | 1.63–13.39 | 10.06 | VO2 | narrowband | 6 |
| 2023 [53] | 3.3–5.62 | 3.32 | VO2 | narrowband | 6 |
| 2023 [54] | 2.63–5.27 | 2.64 | VO2 | narrowband | 3 |
| This work | 3.8–15.6 | 11.8 | VO2 | narrowband and broadband | 4 |
Disclaimer/Publisher’s Note: The statements, opinions and data contained in all publications are solely those of the individual author(s) and contributor(s) and not of MDPI and/or the editor(s). MDPI and/or the editor(s) disclaim responsibility for any injury to people or property resulting from any ideas, methods, instructions or products referred to in the content. |
© 2023 by the authors. Licensee MDPI, Basel, Switzerland. This article is an open access article distributed under the terms and conditions of the Creative Commons Attribution (CC BY) license (https://creativecommons.org/licenses/by/4.0/).
Share and Cite
Wang, X.; Liu, Y.; Jia, Y.; Su, N.; Wu, Q. Ultra-Wideband and Narrowband Switchable, Bi-Functional Metamaterial Absorber Based on Vanadium Dioxide. Micromachines 2023, 14, 1381. https://doi.org/10.3390/mi14071381
Wang X, Liu Y, Jia Y, Su N, Wu Q. Ultra-Wideband and Narrowband Switchable, Bi-Functional Metamaterial Absorber Based on Vanadium Dioxide. Micromachines. 2023; 14(7):1381. https://doi.org/10.3390/mi14071381
Chicago/Turabian StyleWang, Xiaoyan, Yanfei Liu, Yilin Jia, Ningning Su, and Qiannan Wu. 2023. "Ultra-Wideband and Narrowband Switchable, Bi-Functional Metamaterial Absorber Based on Vanadium Dioxide" Micromachines 14, no. 7: 1381. https://doi.org/10.3390/mi14071381
APA StyleWang, X., Liu, Y., Jia, Y., Su, N., & Wu, Q. (2023). Ultra-Wideband and Narrowband Switchable, Bi-Functional Metamaterial Absorber Based on Vanadium Dioxide. Micromachines, 14(7), 1381. https://doi.org/10.3390/mi14071381
