A Compact V-Band Temperature Compensation Low-Noise Amplifier in a 130 nm SiGe BiCMOS Process
Abstract
1. Introduction
2. Circuit Analysis and Design
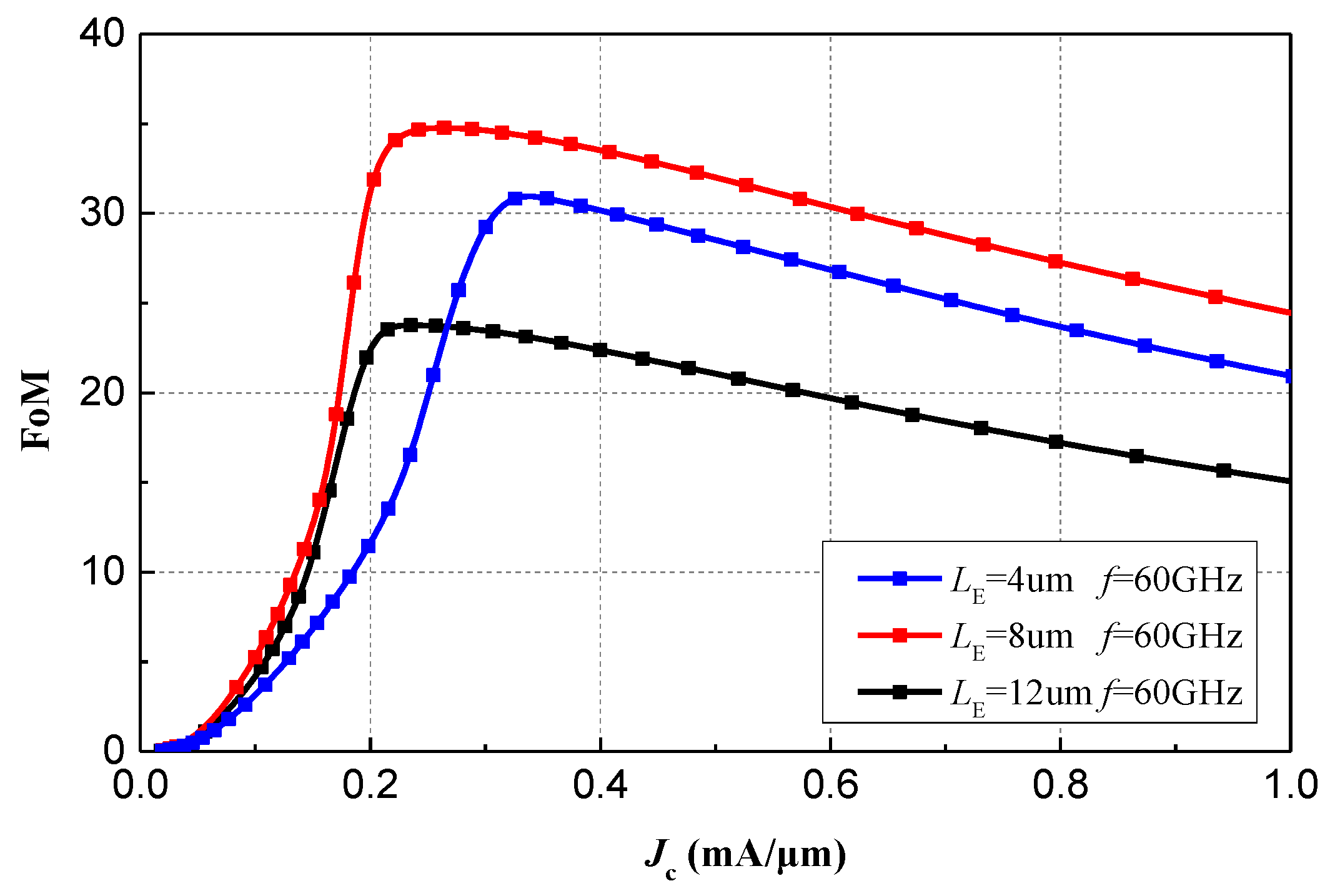
2.1. Size of Transistor and Bias Conditions
2.2. Interstage Bandwidth Extension
2.3. Negative Temperature Coefficient Compensation Circuit
3. Experimental Validation and Results
4. Conclusions
Author Contributions
Funding
Data Availability Statement
Conflicts of Interest
References
- Frounchi, M.; Coen, C.; Cheon, C.D.; Lourenco, N.; Williams, W.; Cressler, J.D. A V-Band SiGe image-reject receiver front-end for atmospheric remote sensing. In Proceedings of the 2018 IEEE BiCMOS Compound Semiconductor Integrated Circuits and Technology Symposium, San Diego, CA, USA, 15–17 October 2018; pp. 223–226. [Google Scholar]
- Hansen, J. A novel stochastic millimeter-wave indoor radio channel model. IEEE J. Sel. Areas Commun. 2002, 20, 1240–1246. [Google Scholar] [CrossRef]
- IEEE Standard 802.15.3c-2009; IEEE Standard for Information Technology—Local and Metropolitan Area Networks—Specific Requirements—Part 15.3: Amendment 2: Millimeter-Wave-Based Alternative Physical Layer Extension. IEEE Standards Association: Piscataway, NJ, USA, 2009.
- Samoska, L.A.; Varonen, M.; Kangaslahti, P.; Fung, A.; Gawande, R.; Soria, M.; Lai, R.; Sarkozy, S. V-band MMIC LNAs and mixers for observing the early universe. In Proceedings of the 2016 41st International Conference on Infrared, Millimeter, and Terahertz waves (IRMMW-THz), Copenhagen, Denmark, 25–30 September 2016; pp. 1–2. [Google Scholar]
- Polli, G.; Vittori, M.; Ciccognani, W.; Colangeli, S.; Costanzo, F.; Salvucci, A.; Limiti, E. Ka-/V-band self-biased LNAs in 70 nm GaAs/InGaAs Technology. In Proceedings of the 2018 14th Conference on Ph.D. Research in Microelectronics and Electronics (PRIME), Prague, Czech Republic, 2–5 July 2018; pp. 197–200. [Google Scholar]
- Vittori, M.; Polli, G.; Ciccognani, W.; Colangeli, S.; Salvucci, A.; Limiti, E. Q-band self-biased MMIC LNAs using a 70 nm InGaAs/AlGaAs process. In Proceedings of the 2017 IEEE Asia Pacific Microwave Conference (APMC), Kuala Lumpur, Malaysia, 13–16 November 2017; pp. 630–633. [Google Scholar]
- Cressler, J.D.; Niu, G. Silicon-Germanium Heterojunction Bipolar Transistors; Artech House: Norwood, MA, USA, 2003. [Google Scholar]
- Xu, X.; Wagner, J.; Carta, C.; Ellinger, F. A 60 GHz Broadband LNA With Joined Variable Gain Control and Switching in 22 nm FD-SOI. IEEE Access 2024, 12, 111627–111637. [Google Scholar] [CrossRef]
- Moody, J.; Lepkowski, S.; Forbes, T.M. A Low Power V-Band LNA with Wide Supply Voltage Range Exploiting Complementary Current Reuse and Power Efficient Bias Point. In Proceedings of the IEEE MTT-S International Microwave Symposium, San Diego, CA, USA, 11–16 June 2023; pp. 135–138. [Google Scholar]
- Chang, Y.-T.; Lu, H.-C. A V-Band Low-Power Digital Variable-Gain Low-Noise Amplifier Using Current-Reused Technique with Stable Matching and Maintained OP1dB. IEEE Trans. Microw. Theory Tech. 2019, 67, 4404–4417. [Google Scholar] [CrossRef]
- Frounchi, M.; Cressler, J.D. A SiGe Millimeter-Wave Front-End for Remote Sensing and Imaging. In Proceedings of the IEEE Radio Frequency Integrated Circuits Symposium (RFIC), Los Angeles, CA, USA, 4–6 August 2020; pp. 227–230. [Google Scholar]
- Kawai, S.; Wang, T.; Mitomo, T. A Temperature Variation Tolerant 60 GHz Low Noise Amplifier with Current Compensated Bias Circuit. In Proceedings of the IEEE Asian Solid-State Circuits Conference (A-SSCC), Singapore, 11–13 November 2013; pp. 429–432. [Google Scholar]
- Urain, A.; Del Río, D.; Torres, R.; Berenguer, R. A G-Band SiGe BiCMOS LNA With an On-Chip and Compact Temperature Compensation Biasing Circuit. In Proceedings of the IEEE/MTT-S International Microwave Symposium, San Diego, CA, USA, 11–16 June 2023; pp. 1132–1135. [Google Scholar]
- Qi, Q.; Chen, Z. A K -Band CMOS Amplifier with Temperature Compensation for Gain Variation Reduction. IEEE Microw. Wirel. Compon. Lett. 2018, 28, 150–152. [Google Scholar] [CrossRef]
- Dickson, T.O.; Yau, K.H.K.; Chalvatzis, T.; Mangan, A.M.; Laskin, E.; Beerkens, R. The invariance of characteristic current densities in nanoscale MOSFETs and its impact on algorithmic design methodologies and design porting of Si(Ge) (Bi)CMOS high-speed building blocks. IEEE J. Solid-State Circuits 2006, 41, 1830–1845. [Google Scholar] [CrossRef]
- Khanpour, M.; Tang, K.W.; Garcia, P.; Voinigescu, S.P. A wideband W-band receiver front-end in 65-nm CMOS. IEEE J. Solid-state Circuits 2008, 43, 1717–1730. [Google Scholar] [CrossRef]
- Tomkins, A.; Garcia, P.; Voinigescu, S.P. A passive W-band imaging receiver in 65-nm bulk CMOS. IEEE J. Solid-state Circuits 2010, 45, 1981–1991. [Google Scholar] [CrossRef]
- Wang, R.; Zhu, W.; Wang, Y. An Adaptive Analog Temperature Compensated W-Band Front-End with ±0.0033 dB/°C Gain Variation Across −30 °C to 120 °C. IEEE Trans. Circuits Syst. II Express Briefs 2024, 71, 542–546. [Google Scholar] [CrossRef]
- Shin, S.; Leung, M.; Hsiao, S. A Temperature Variation Compensated 60-GHz Low-Noise Amplifier in 90-nm CMOS technology. In Proceedings of the Asia-Pacific Microwave Conference, Melbourne, VIC, Australia, 5–8 December 2011; pp. 211–214. [Google Scholar]
- Yaghoobi, M.; Yavari, M.; Kashani, M.H.; Ghafoorifard, H.; Mirabbasi, S. A 55–64-GHz Low-Power Small-Area LNA in 65-nm CMOS With 3.8-dB Average NF and ∼12.8 dB Power Gain. IEEE Microw. Wirel. Compon. Lett. 2019, 29, 128–130. [Google Scholar] [CrossRef]













| Ref. | Process | Temp. (°C) | Peak Gain (dB) | ΔGain (dB) | Temp. Coefficient ΔGainmax/S21 RT/ΔT (dB/°C) [12] | BW3dB (GHz) | BW5dB (GHz) | IP1dB (dBm) | NFmin (dB) | PDC (mW) | Core Area (mm2) |
|---|---|---|---|---|---|---|---|---|---|---|---|
| [12] | 65 nm CMOS | −20 | 10.4 | <1.7 | 1.4 × 10−3 | >11 (56~67) * | >13.5 (53.5~67) * | \ | \ | \ | 0.72 & |
| 25 | 9.9 | >11.5 (55.5~67) | >13.5 (53.5~67)* | \ | 3.9 | 17.2 | |||||
| 100 | 8.8 | >11.5 (55.5~67) | >13.5 (53.5~67) * | \ | 6.0 | 23.4 | |||||
| [14] | 90 nm CMOS | −45 | 23.6 | <1.2 | 0.29 × 10−3 | N/A | N/A | \ | \ | \ | 0.5 & |
| 25 | 23.8 | 4 (24.5~28.5) | 5 (24~29) * | \ | \ | 25.2 | |||||
| 125 | 23 | N/A | N/A | \ | \ | \ | |||||
| [19] | 90 nm CMOS | −5 | 22.5 | <5 | 2.6 × 10−3 | 10 (55~65) * | >11 (54~65) * | \ | \ | \ | 1.06 & |
| 25 | 21 | 8 (55~63) * | >11 (54~65) * | −20 * | 6.5 | 49 | |||||
| 85 | 17.5 | 11 (54~65) * | >12.5 (52.5~65) * | \ | \ | \ | |||||
| [9] | 45 nm RF-SOI | 25 | 20.4 | \ | \ | 13.6 (54.4~68) | 18 (53~71) | −23.6 | 5 | 8.6 | 0.138 |
| [10] | 40 nm CMOS | 25 | 19.8 | \ | \ | 10 (55~65) | 13 (54~67) | −29.5 | 6 | 18 | 0.22 & |
| [20] | 65 nm CMOS | 25 | 12.8 | \ | \ | 10 (55~65) | >12 (54~66) | \ | 3.6 | 8.8 | 0.33 |
| This work | 130nm BiCMOS | −55 | 25.5 | <1.5 | 0.4 × 10−3 | >13 (52~65) | >18.5 (46.5~65) | −20 | 3.0 | 22.3 | 0.09 |
| 25 | 25 | >11 (54~65) | >19.5 (45.5~65) | −17.5 | 3.5 | 27.6 | |||||
| 85 | 24.4 | >10 (55~65) | >18 (47~65) | −22.5 | 4.2 | 34.4 |
Disclaimer/Publisher’s Note: The statements, opinions and data contained in all publications are solely those of the individual author(s) and contributor(s) and not of MDPI and/or the editor(s). MDPI and/or the editor(s) disclaim responsibility for any injury to people or property resulting from any ideas, methods, instructions or products referred to in the content. |
© 2024 by the authors. Licensee MDPI, Basel, Switzerland. This article is an open access article distributed under the terms and conditions of the Creative Commons Attribution (CC BY) license (https://creativecommons.org/licenses/by/4.0/).
Share and Cite
Shen, Y.; Luo, J.; Zhao, W.; Dai, J.-Y.; Cheng, Q. A Compact V-Band Temperature Compensation Low-Noise Amplifier in a 130 nm SiGe BiCMOS Process. Micromachines 2024, 15, 1248. https://doi.org/10.3390/mi15101248
Shen Y, Luo J, Zhao W, Dai J-Y, Cheng Q. A Compact V-Band Temperature Compensation Low-Noise Amplifier in a 130 nm SiGe BiCMOS Process. Micromachines. 2024; 15(10):1248. https://doi.org/10.3390/mi15101248
Chicago/Turabian StyleShen, Yi, Jiang Luo, Wei Zhao, Jun-Yan Dai, and Qiang Cheng. 2024. "A Compact V-Band Temperature Compensation Low-Noise Amplifier in a 130 nm SiGe BiCMOS Process" Micromachines 15, no. 10: 1248. https://doi.org/10.3390/mi15101248
APA StyleShen, Y., Luo, J., Zhao, W., Dai, J.-Y., & Cheng, Q. (2024). A Compact V-Band Temperature Compensation Low-Noise Amplifier in a 130 nm SiGe BiCMOS Process. Micromachines, 15(10), 1248. https://doi.org/10.3390/mi15101248

