Design of Miniaturized and Wideband Four-Port MIMO Antenna Pair for WiFi
Abstract
1. Introduction
2. Design of Proposed 4 × 4 MIMO (Multiple-Input Multiple-Output) Wi-Fi Antenna
2.1. Construction of the Proposed Antenna
2.2. Evolution and Analysis of the Proposed Antenna
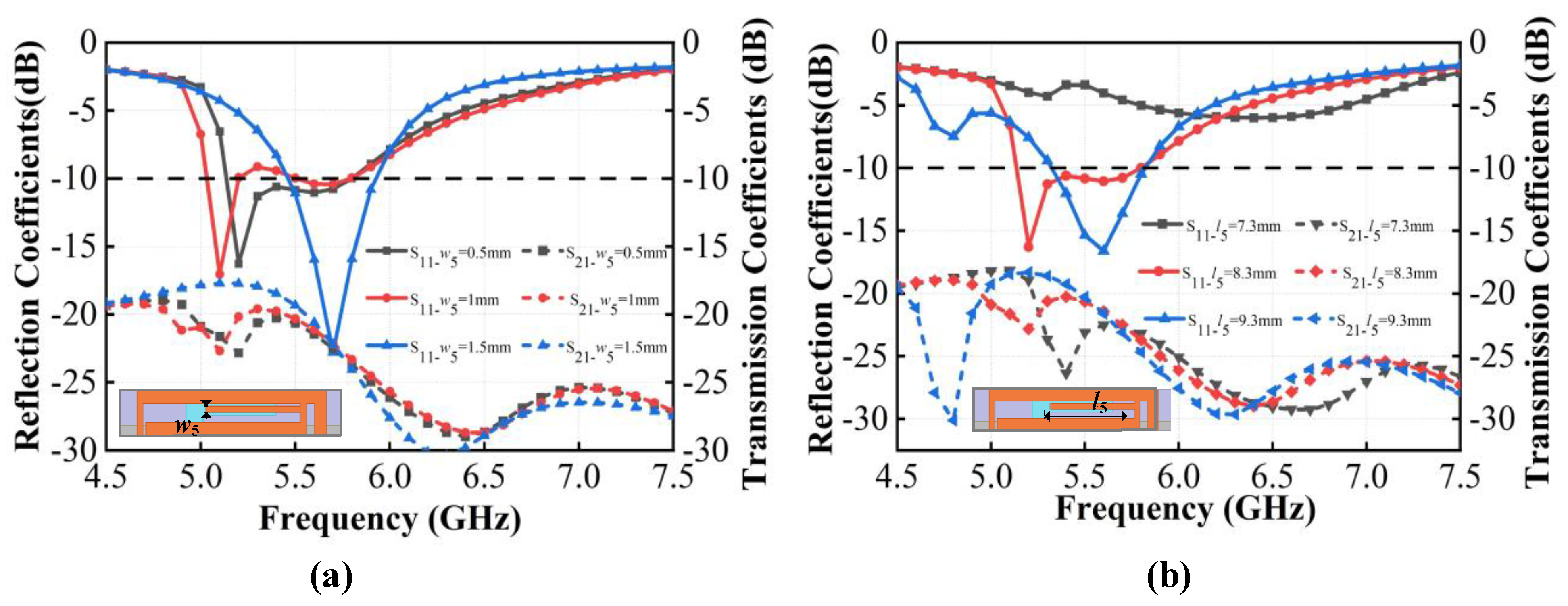
2.3. Parameter Scanning Analysis of the Proposed Antenna
3. Performance of Proposed 4 × 4 MIMO Wi-Fi Antenna
3.1. Fabrication of the Proposed Antenna
3.2. Simulated and Measured Results of the Proposed Antenna
3.2.1. S-Parameters
3.2.2. Radiation Pattern
3.2.3. Radiation Efficiency and Peak Gain
3.2.4. Diversity Performance
3.2.5. Diversity Gain
4. Conclusions
Author Contributions
Funding
Data Availability Statement
Conflicts of Interest
References
- Pedersen, G.F. Mutual Coupling Reduction for UWB MIMO Antennas with a Wideband Neutralization Line. IEEE Antennas Wirel. Propag. Lett. 2016, 15, 166–169. [Google Scholar] [CrossRef]
- Su, S.-W.; Lee, C.-T.; Chang, F.-S. Printed MIMO-Antenna System Using Neutralization-Line Technique for Wireless USB-Dongle Applications. IEEE Trans. Antennas Propag. 2012, 60, 456–463. [Google Scholar] [CrossRef]
- Wu, T.; Wang, J. Neutralization-line-based decoupling for miniaturized MIMO antenna array. Microw. Opt. Technol. Lett. 2023, 65, 685–689. [Google Scholar] [CrossRef]
- Li, M.; Jiang, L.; Yeung, K.L. A General and systematic method to design neutralization lines for isolation enhancement in MIMO antenna arrays. IEEE Trans. Veh. Technol. 2020, 69, 6242–6253. [Google Scholar] [CrossRef]
- Li, Z.; Du, Z.; Takahashi, M.; Saito, K.; Ito, K. Reducing Mutual Coupling of MIMO Antennas with Parasitic Elements for Mobile Terminals. IEEE Trans. Antennas Propag. 2012, 60, 473–481. [Google Scholar] [CrossRef]
- Lee, J.-M.; Kim, K.-B.; Ryu, H.-K.; Woo, J.-M. A Compact Ultrawideband MIMO Antenna with WLAN Band-Rejected Operation for Mobile Devices. IEEE Antennas Wirel. Propag. Lett. 2012, 11, 990–993. [Google Scholar] [CrossRef]
- Tran, H.H.; Nguyen-Trong, N. Performance enhancement of MIMO patch antenna using parasitic elements. IEEE Access 2021, 9, 30011–30016. [Google Scholar] [CrossRef]
- Yang, M.; Zhou, J. A compact pattern diversity MIMO antenna with enhanced bandwidth and high-isolation characteristics for WLAN/5G/WiFi applications. Microw. Opt. Technol. Lett. 2020, 62, 2353–2364. [Google Scholar] [CrossRef]
- Chiu, C.-Y.; Cheng, C.-H.; Murch, R.D.; Rowell, C.R. Reduction of Mutual Coupling Between Closely-Packed Antenna Elements. IEEE Trans. Antennas Propag. 2007, 55, 1732–1738. [Google Scholar] [CrossRef]
- Mak, A.C.K.; Rowell, C.R.; Murch, R.D. Isolation Enhancement Between Two Closely Packed Antennas. IEEE Trans. Antennas Propag. 2008, 56, 3411–3419. [Google Scholar] [CrossRef]
- Viet, D.-N.T.; Tran-Huy, H.; Quoc, D.N.; Park, H.C. A novel defected ground structure for high-isolation circularly polarized MIMO patch antenna. J. Electromagn. Waves Appl. 2024, 38, 34–48. [Google Scholar] [CrossRef]
- Firdausa, A.; Nawi, N.; Septima, U. Microstrip Antenna with a Defective Ground Structure (DGS) Motor for Wireless Fidelity Applications (Wi-Fi) at 2.4 GHz. Int. J. Wirel. Multimed. Commun. 2024, 1, 13–17. Available online: https://jowim.org/index.php/jowim/article/view/4 (accessed on 9 June 2024).
- Zhang, S.; Khan, S.N.; He, S. Reducing Mutual Coupling for an Extremely Closely-Packed Tunable Dual-Element PIFA Array Through a Resonant Slot Antenna Formed In-Between. IEEE Trans. Antennas Propag. 2010, 58, 2771–2776. [Google Scholar] [CrossRef]
- Alibakhshikenari, M.; Virdee, B.S.; See, C.H.; Ali, A.H.; Falcone, F.; Limiti, E.; Abd-Alhameed, R. Study on isolation improvement between closely-packed patch antenna arrays based on fractal metamaterial electromagnetic bandgap structures. IET Microw. Antennas Propag. 2018, 12, 2241–2247. [Google Scholar] [CrossRef]
- Hussain, N.; Jeong, M.-J.; Abbas, A.; Kim, N. Metasurface-Based Single-Layer Wideband Circularly Polarized MIMO Antenna for 5G Millimeter-Wave Systems. IEEE Access 2020, 8, 130293–130304. [Google Scholar] [CrossRef]
- Liu, F.; Guo, J.; Zhao, L.; Huang, G.-L.; Li, Y.; Yin, Y. Dual-Band Metasurface-Based Decoupling Method for Two Closely Packed Dual-Band Antennas. IEEE Trans. Antennas Propag. 2020, 68, 552–557. [Google Scholar] [CrossRef]
- Sarkar, D.; Srivastava, K.V. Compact Four-Element SRR-Loaded Dual-Band MIMO Antenna for WLAN/WiMAX/WiFi/4G-LTE and 5G Applications. Electron. Lett. 2017, 53, 1623–1624. [Google Scholar] [CrossRef]
- Yang, F.; Rahmat-Samii, Y. Microstrip antennas integrated with electromagnetic band-gap (EBG) structures: A low mutual coupling design for array applications. IEEE Trans. Antennas Propag. 2003, 51, 2936–2946. [Google Scholar] [CrossRef]
- Wani, Z.; Kumar, D. A compact 4 × 4 MIMO antenna for UWB applications. Microw. Opt. Technol. Lett. 2016, 58, 1433–1436. [Google Scholar] [CrossRef]
- Deng, C.; Lv, X.; Feng, Z. Wideband Dual-Mode Patch Antenna with Compact CPW Feeding Network for Pattern Diversity Application. IEEE Trans. Antennas Propag. 2018, 66, 2628–2633. [Google Scholar] [CrossRef]
- Ramachandran, A.; Mathew, S.; Rajan, V.; Kesavath, V. A Compact Triband Quad-Element MIMO Antenna Using SRR Ring for High Isolation. IEEE Antennas Wirel. Propag. Lett. 2017, 16, 1409–1412. [Google Scholar] [CrossRef]
- Hussain, S.A.; Taher, F.; Alzaidi, M.S.; Hussain, I.; Ghoniem, R.M.; Sree, M.F.A.; Lalbakhsh, A. Wideband, High-Gain, and Compact Four-Port MIMO Antenna for Future 5G Devices Operating over Ka-Band Spectrum. Appl. Sci. 2023, 13, 4380. [Google Scholar] [CrossRef]
- Sun, L.; Feng, H.; Li, Y.; Zhang, Z. Compact 5G MIMO Mobile Phone Antennas with Tightly Arranged Orthogonal-Mode Pairs. IEEE Trans. Antennas Propag. 2018, 66, 6364–6369. [Google Scholar] [CrossRef]
- Chang, L.; Yu, Y.; Wei, K.; Wang, H. Polarization-Orthogonal Co-frequency Dual Antenna Pair Suitable for 5G MIMO Smartphone with Metallic Bezels. IEEE Trans. Antennas Propag. 2019, 67, 5212–5220. [Google Scholar] [CrossRef]
- Xu, X. HFSS Radio Frequency Simulation Design Examples, 1st ed.; Publishing House of Electronics Industry: Beijing, China, 2015; pp. 1–69. [Google Scholar]
- Yiqiang, W.; Tao, F. The Study on a Patch Antenna with PBG Structure. In Proceedings of the 2009 Third International Symposium on Intelligent Information Technology Application, Nanchang, China, 21–22 November 2009; pp. 565–567. [Google Scholar] [CrossRef]
- Zhu, L.; Guo, X.; Wu, W.; Fang, D.-G. Design of 1-D Transmitarray Antenna Using HFSS FEM-IE. In Proceedings of the 2020 International Conference on Microwave and Millimeter Wave Technology (ICMMT), Shanghai, China, 20–23 September 2020; pp. 1–3. [Google Scholar] [CrossRef]
- Yao, T.; Yang, H.X.; Huang, T. High-Isolation Dual-Band Eight-Element MIMO Antenna Array for 5G Smartphone Applica-tions. Electron. Compon. Mater. 2023, 42, 880–887. [Google Scholar] [CrossRef]
- Saxena, G.; Jain, P.; Awasthi, Y.K. High Diversity Gain Super-Wideband Single Band-Notch MIMO Antenna for Multiple Wireless Applications. IET Microw. Antennas Propag. 2020, 14, 109–119. [Google Scholar] [CrossRef]
- Ren, Z.; Zhao, A. Dual-Band MIMO Antenna with Compact Self-Decoupled Antenna Pairs for 5G Mobile Applications. IEEE Access 2019, 7, 82288–82296. [Google Scholar] [CrossRef]
- Pandit, S.; Mohan, A.; Ray, P.; Rana, B. Compact Four-Element MIMO Antenna Using DGS for WLAN Applications. In Proceedings of the 2018 International Symposium on Antennas and Propagation (ISAP) 2018, Busan, Republic of Korea, 23–26 October 2018; pp. 1–2, ISBN 978-1-5386-5389-0. [Google Scholar]
- Ren, Z.; Zhao, A.; Wu, S. MIMO Antenna with Compact Decoupled Antenna Pairs for 5G Mobile Terminals. IEEE Antennas Wirel. Propag. Lett. 2019, 18, 1367–1371. [Google Scholar] [CrossRef]
- Shaik, K.; Kumar, V. Compact triple band notched UWB MIMO antenna with integrated GSM. Int. J. Commun. Syst. 2024, 37, e5708. [Google Scholar] [CrossRef]
















| parameter | l1 | w1 | l2 | w2 | w3 | d3 | w4 | d4 | l5 |
| value/mm | 2.5 | 0.5 | 14 | 1 | 0.5 | 0.2 | 1 | 2.3 | 8.3 |
| parameter | w5 | l6 | w6 | w7 | fl1 | fw | fl2 | fl3 | fw2 |
| value/mm | 0.5 | 1.2 | 1 | 1 | 3 | 1.5 | 2.3 | 7.5 | 1.5 |
Disclaimer/Publisher’s Note: The statements, opinions and data contained in all publications are solely those of the individual author(s) and contributor(s) and not of MDPI and/or the editor(s). MDPI and/or the editor(s) disclaim responsibility for any injury to people or property resulting from any ideas, methods, instructions or products referred to in the content. |
© 2024 by the authors. Licensee MDPI, Basel, Switzerland. This article is an open access article distributed under the terms and conditions of the Creative Commons Attribution (CC BY) license (https://creativecommons.org/licenses/by/4.0/).
Share and Cite
Hu, Y.; Wang, Y.; Zhang, L.; Li, M. Design of Miniaturized and Wideband Four-Port MIMO Antenna Pair for WiFi. Micromachines 2024, 15, 850. https://doi.org/10.3390/mi15070850
Hu Y, Wang Y, Zhang L, Li M. Design of Miniaturized and Wideband Four-Port MIMO Antenna Pair for WiFi. Micromachines. 2024; 15(7):850. https://doi.org/10.3390/mi15070850
Chicago/Turabian StyleHu, Yao, Yongshun Wang, Lijun Zhang, and Mengmeng Li. 2024. "Design of Miniaturized and Wideband Four-Port MIMO Antenna Pair for WiFi" Micromachines 15, no. 7: 850. https://doi.org/10.3390/mi15070850
APA StyleHu, Y., Wang, Y., Zhang, L., & Li, M. (2024). Design of Miniaturized and Wideband Four-Port MIMO Antenna Pair for WiFi. Micromachines, 15(7), 850. https://doi.org/10.3390/mi15070850

