Prognostic Factors in Childhood Anaplastic Large Cell Lymphoma: Long Term Results of the International ALCL99 Trial
Simple Summary
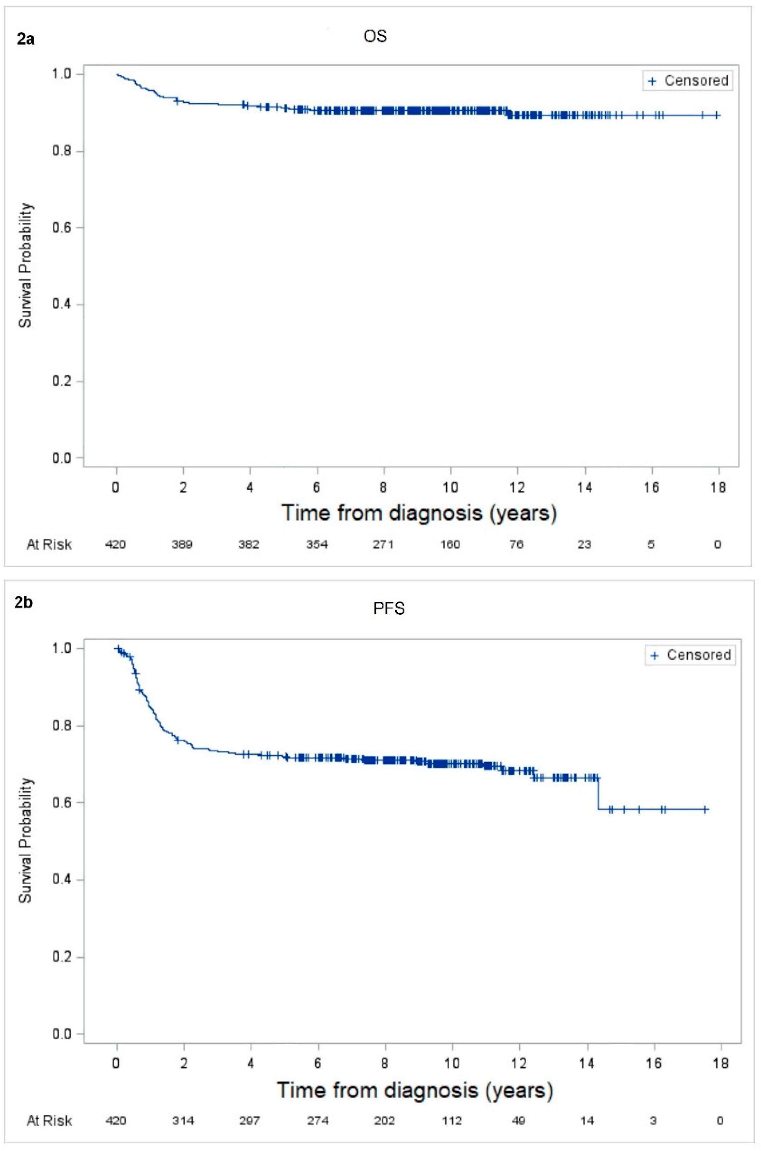
Abstract
1. Introduction
2. Methods
2.1. Patients and Clinical-Pathological Factors
2.2. Minimal Disseminated Disease (MDD)
2.3. Statistical Analysis
3. Results
3.1. Patient Characteristics
3.2. Analysis of Prognostic Factors for Risk of Disease Progression or Relapse for the 420 Eligible Patients
3.3. Analysis of Prognostic Factors for Risk of Disease Progression or Relapse Taking-into-Account MDD Analysis
4. Discussion
5. Conclusions
Supplementary Materials
Author Contributions
Funding
Acknowledgments
Conflicts of Interest
Appendix A
Appendix A.1. Analysis of the Statistical Associations Among Clinical and Pathological Prognostic Factors for the 420 Eligible Patients
Appendix A.2. Analysis of the Statistical Associations among Clinical, Pathological and Biological Prognostic Factors for the 162 Patients with MDD Evaluation
References
- Burkhardt, B.; Zimmermann, M.; Oschlies, I.; Niggli, F.; Mann, G.; Parwaresch, R.; Riehm, H.; Schrappe, M.; Reiter, A.; The BFM Group. The impact of age and gender on biology, clinical features and treatment outcome of non-Hodgkin lymphoma in childhood and adolescence. Br. J. Haematol. 2005, 131, 39–49. [Google Scholar] [CrossRef]
- Delsol, G. The 2008 WHO lymphoma classification. Ann. Pathol. 2008, 28, S20–S24. [Google Scholar] [CrossRef] [PubMed]
- Le Deley, M.C.; Reiter, A.; Williams, D.; Delsol, G.; Oschlies, I.; McCarthy, K.; Zimmermann, M.; Brugières, L. Prognostic factors in childhood anaplastic large cell lymphoma: Results of a large European intergroup study. Blood 2008, 111, 1560–1566. [Google Scholar] [CrossRef] [PubMed]
- Brugières, L.; Le Deley, M.C.; Rosolen, A.; Williams, D.; Horibe, K.; Wrobel, G.; Mann, G.; Zsiros, J.; Uyttebroeck, A.; Marky, I.; et al. Impact of the methotrexate administration dose on the need for intrathecal treatment in children and adolescents with anaplastic large-cell lymphoma: Results of a randomized trial of the EICNHL. Group J. Clin. Oncol. 2009, 27, 897–903. [Google Scholar] [CrossRef]
- Le Deley, M.C.; Rosolen, A.; Williams, D.M.; Horibe, K.; Wrobel, G.; Attarbaschi, A.; Zsiros, J.; Uyttebroeck, A.; Marky, I.M.; Lamant, L.; et al. Vinblastine in children and adolescents with high-risk anaplastic large-cell lymphoma: Results of the randomized ALCL99-vinblastine trial. J. Clin. Oncol. 2010, 28, 3987–3993. [Google Scholar] [CrossRef] [PubMed]
- Brugières, L.; Deley, M.C.; Pacquement, H.; Meguerian-Bedoyan, Z.; Terrier-Lacombe, M.J.; Robert, A.; Pondarré, C.; Leverger, G.; Devalck, C.; Rodary, C.; et al. CD30(+) anaplastic large-cell lymphoma in children: Analysis of 82 patients enrolled in two consecutive studies of the French Society of Pediatric Oncology. Blood 1998, 92, 3591–3598. [Google Scholar] [PubMed]
- Alexander, S.; Kraveka, J.M.; Weitzman, S.; Lowe, E.; Smith, L.; Lynch, J.C.; Chang, M.; Kinney, M.C.; Perkins, S.L.; Laver, J.; et al. Advanced stage anaplastic large cell lymphoma in children and adolescents: Results of ANHL0131, a randomized phase III trial of APO versus a modified regimen with vinblastine: A report from the children’s oncology group. Pediatr. Blood Cancer 2014, 61, 2236–2242. [Google Scholar] [CrossRef] [PubMed]
- Lowe, E.J.; Sposto, R.; Perkins, S.L.; Gross, T.G.; Finlay, J.; Zwick, D.; Abromowitch, M. Intensive chemotherapy for systemic anaplastic large cell lymphoma in children and adolescents: Final results of Children’s Cancer Group Study 5941. Pediatr. Blood Cancer 2009, 52, 335–339. [Google Scholar] [CrossRef]
- Seidemann, K.; Tiemann, M.; Schrappe, M.; Yakisan, E.; Simonitsch, I.; Janka-Schaub, G.; Dorffel, W.; Zimmermann, M.; Mann, G.; Gadner, H.; et al. Short-pulse B-non-Hodgkin lymphoma-type chemotherapy is efficacious treatment for pediatric anaplastic large cell lymphoma: A report of the Berlin-Frankfurt-Münster Group Trial NHL-BFM 90. Blood 2001, 15, 3699–3706. [Google Scholar] [CrossRef]
- Williams, D.M.; Hobson, R.; Imeson, J.; Gerrard, M.; McCarthy, K.; Pinkerton, C.R. Anaplastic large cell lymphoma in childhood: Analysis of 72 patients treated on The United Kingdom Children’s Cancer Study Group chemotherapy regimens. Br. J. Haematol. 2002, 117, 812–820. [Google Scholar] [CrossRef]
- Rosolen, A.; Pillon, M.; Garaventa, A.; Burnelli, R.; d’Amore, E.S.; Giuliano, M.; Comis, M.; Cesaro, S.; Tettoni, K.; Moleti, M.L.; et al. Anaplastic large cell lymphoma treated with a leukemia-like therapy: Report of the Italian Association of Pediatric Hematology and Oncology (AIEOP) LNH-92 protocol. Cancer 2005, 104, 2133–2140. [Google Scholar] [CrossRef] [PubMed]
- Lamant, L.; McCarthy, K.; d’Amore, E.; Klapper, W.; Nakagawa, A.; Fraga, M.; Maldyk, J.; Simonitsch-Klupp, I.; Oschlies, I.; Delsol, G.; et al. Prognostic impact of morphologic and phenotypic features of childhood ALK-positive anaplastic large-cell lymphoma: Results of the ALCL99 study. J. Clin. Oncol. 2011, 29, 4669–4676. [Google Scholar] [CrossRef] [PubMed]
- Mussolin, L.; Pillon, M.; d’Amore, E.S.; Santoro, N.; Lombardi, A.; Fagioli, F.; Zanesco, L.; Rosolen, A. Prevalence and clinical implications of bone marrow involvement in pediatric anaplastic large cell lymphoma. Leukemia 2005, 19, 1643–1647. [Google Scholar] [CrossRef] [PubMed]
- Damm-Welk, C.; Busch, K.; Burkhardt, B.; Schieferstein, J.; Viehmann, S.; Oschlies, I.; Klapper, W.; Zimmermann, M.; Harbott, J.; Reiter, A.; et al. Prognostic significance of circulating tumor cells in bone marrow or peripheral blood as detected by qualitative and quantitative PCR in pediatric NPM-ALK-positive anaplastic large-cell lymphoma. Blood 2007, 110, 670–677. [Google Scholar] [CrossRef]
- Ait-Tahar, K.; Damm-Welk, C.; Burkhardt, B.; Zimmermann, M.; Klapper, W.; Reiter, A.; Pulford, K.; Woessmann, W. Correlation of the autoantibody response to the ALK oncoantigen in pediatric anaplastic lymphoma kinase-positive anaplastic large cell lymphoma with tumor dissemination and relapse risk. Blood 2010, 115, 3314–3319. [Google Scholar] [CrossRef]
- Mussolin, L.; Damm-Welk, C.; Pillon, M.; Zimmermann, M.; Franceschetto, G.; Pulford, K.; Reiter, A.; Rosolen, A.; Woessmann, W. Use of minimal disseminated disease and immunity to NPM-ALK antigen to stratify ALK-positive ALCL patients with different prognosis. Leukemia 2013, 27, 416–422. [Google Scholar] [CrossRef]
- Carbone, P.P.; Kaplan, H.S.; Musshoff, K.; Smithers, D.W.; Tubiana, M. Report of the Committee on Hodgkin’s Disease Staging Classification. Cancer Res. 1971, 31, 1860–1861. [Google Scholar] [PubMed]
- Murphy, S.B. Classification, staging and end results of treatment of childhood non-Hodgkin’s lymphomas: Dissimilarities from lymphomas in adults. Semin. Oncol. 1980, 7, 332–339. [Google Scholar]
- Del Baldo, G.; Abbas, R.; Woessmann, W.; Horibe, K.; Pillon, M.; Burke, A.; Beishuizen, A.; Rigaud, C.; Le Deley, M.C.; Lamant, L.; et al. Neuro-meningeal relapse in anaplastic large-cell lymphoma: Incidence, risk factors and prognosis—A report from the European intergroup for childhood non-Hodgkin lymphoma. Br. J. Haematol. 2020. [Google Scholar] [CrossRef]
- Kaplan, E.L.; Meier, P. Nonparametric estimation from incomplete observation. J. Am. Stat. Assoc. 1958, 53, 457–481. [Google Scholar] [CrossRef]
- Cox, D.R. Regression models and life tables. J. R. Stat. Soc. 1972, 34, 187–220. [Google Scholar] [CrossRef]
- Damm-Welk, C.; Mussolin, L.; Zimmermann, M.; Pillon, M.; Klapper, W.; Oschlies, I.; D’Amore, E.S.G.; Reiter, A.; Woessmann, W.; Rosolen, A. Early Assessment of Minimal Residual Disease Identifies Patients at Very High Relapse Risk in NPM-ALK-positive Anaplastic Large-Cell Lymphoma. Blood 2014, 123, 334–337. [Google Scholar] [CrossRef] [PubMed]
- Larose, H.; Burke, G.A.A.; Lowe, E.J.; Turner, S.D. From bench to bedside: The past, present and future of therapy for systemic paediatric ALCL, ALK. Br. J. Haematol. 2019, 185, 1043–1054. [Google Scholar] [CrossRef]
- Turner, S.D.; Lamant, L.; Kenner, L.; Brugières, L. Anaplastic large cell lymphoma in paediatric and young adult patients. Br. J. Haematol. 2016, 173, 560–572. [Google Scholar] [CrossRef] [PubMed]





| Patient Characteristics | # Patients | # Events | 10-y PFS % (SE %) | Univariate p-Value | Multivariate p-Value | Hazard Ratio (95% CI) | |
|---|---|---|---|---|---|---|---|
| Sex | M | 256 | 73 | 71 (3) | 0.38 | ||
| F | 164 | 52 | 69 (3) | ||||
| Age (years) | <11 | 206 | 62 | 70 (3) | 0.87 | ||
| ≥11 | 214 | 63 | 71 (3) | ||||
| LDH (IU/L) | <361 | 199 | 58 | 72 (3) | 0.67 | ||
| ≥361 | 221 | 67 | 69 (3) | ||||
| St. Jude Stage System * | I + II | 109 | 28 | 74 (4) | 0.17 | 0.87 | |
| III + IV | 311 | 97 | 69 (3) | ||||
| Ann Arbor Stage System ° | 1 + 2 | 166 | 43 | 74 (4) | 0.1 | 0.73 | |
| 3 + 4 | 25 | 82 | 68 (3) | ||||
| Risk group ^ | LR + SR | 162 | 42 | 75 (4) | 0.11 | 0.15 | |
| HR | 258 | 83 | 63 (3) | ||||
| Age-adjusted IPI (91 mv) | 0–2 | 263 | 68 | 74 (3) | 0.02 + | ||
| 3 | 66 | 26 | 59 (6) | ||||
| B symptoms (5 mv) | No | 185 | 47 | 74 (3) | 0.08 | 0.14 | |
| Yes | 230 | 74 | 68 (3) | ||||
| Mediastinum involvement | No | 227 | 58 | 75 (3) | 0.03 | 0.14 | |
| Yes | 193 | 67 | 65 (4) | ||||
| Lung lesions | No | 335 | 98 | 71 (3) | 0.3 | ||
| Yes | 85 | 27 | 68 (5) | ||||
| Liver involvement | No | 360 | 104 | 71 (2) | 0.22 | ||
| Yes | 60 | 21 | 63 (7) | ||||
| Spleen involvement | No | 347 | 101 | 71 (3) | 0.28 | ||
| Yes | 73 | 24 | 68 (6) | ||||
| Skin lesions | No | 313 | 88 | 72 (3) | 0.3 | ||
| Yes | 107 | 37 | 65 (5) | ||||
| Soft tissue mass (27 mv) | No | 356 | 112 | 68 (3) | 0.22 | ||
| Yes | 37 | 8 | 81 (6) | ||||
| ENT involvement (10 mv) | No | 405 | 120 | 70 (2) | 0.61 | ||
| Yes | 5 | 1 | 80 (18) | ||||
| Peripheral LN involvement | No | 48 | 7 | 88 (5) | 0.02 | 0.08 | |
| Yes | 372 | 118 | 68 (2) | ||||
| Abdominal LN involvement | No | 230 | 67 | 71 (3) | 0.83 | ||
| Yes | 190 | 58 | 69 (4) | ||||
| Visceral (lung, liver, spleen) involvement | No | 284 | 82 | 72 (3) | 0.29 | ||
| Yes | 136 | 43 | 68 (4) | ||||
| Kidney and/or pancreas lesions | No | 394 | 117 | 70 (2) | 0.73 | ||
| Yes | 26 | 8 | 69 (9) | ||||
| Bone lesions | No | 353 | 108 | 70 (3) | 0.43 | ||
| Yes | 67 | 17 | 74 (5) | ||||
| Bone marrow involvement | No | 379 | 111 | 70 (2) | 0.62 | ||
| Yes | 41 | 14 | 69 (9) | ||||
| ALK immunostaining | Neg | 16 | 4 | 75 (11) | 0.62 | ||
| Pos | 404 | 121 | 70 (2) | ||||
| CD3 immunostaining (98 mv) | Neg | 268 | 73 | 74 (3) | 0.04+ | ||
| Pos | 54 | 23 | 56 (7) | ||||
| Histological subtype SC/LH (24 mv) | No | 275 | 61 | 79 (2) | <0.0001 | <0.0001 | 2.49 (1.71–3.63) |
| Yes | 121 | 58 | 50 (5) | ||||
| Patient Characteristics | # Patients | # Events | 10-y PFS % (SE %) | Univariate p-Value | Multivariate p-Value | Hazard Ratio (95% CI) | |
|---|---|---|---|---|---|---|---|
| Sex | M | 103 | 27 | 73 (4) | 0.44 | ||
| F | 59 | 19 | 68 (6) | ||||
| Median age (years) | <10 | 75 | 23 | 69 (5) | 0.73 | ||
| ≥10 | 87 | 23 | 74 (5) | ||||
| Median LDH (IU/L) | <375 | 81 | 25 | 70 (5) | 0.63 | ||
| ≥375 | 81 | 21 | 73 (5) | ||||
| St. Jude Staging System * | I + II | 35 | 6 | 83 (6) | 0.1 | 0.39 | |
| III + IV | 127 | 40 | 69 (4) | ||||
| Ann Arbor Staging System ° | 1 + 2 | 55 | 12 | 78 (6 | 0.14 | 0.93 | |
| 3 + 4 | 107 | 34 | 68 (5) | ||||
| Risk group ^ | LR + SR | 62 | 15 | 77 (5) | 0.31 | ||
| HR | 100 | 31 | 68 (5) | ||||
| Age-adjusted IPI (53 mv) | 0–2 | 84 | 21 | 76 (5) | 0.48 | ||
| 3 | 25 | 8 | 67 (10) | ||||
| B symptoms (2 mv) | No | 64 | 17 | 73 (6) | 0.61 | ||
| Yes | 96 | 28 | 71 (5) | ||||
| Mediastinum involvement | No | 84 | 20 | 77 (5) | 0.13 | 0.26 | |
| Yes | 78 | 26 | 65 (5) | ||||
| Lung involvement | No | 129 | 36 | 73 (4) | 0.45 | ||
| Yes | 33 | 10 | 67 (9) | ||||
| Liver involvement | No | 143 | 41 | 72 (4) | 0.93 | ||
| Yes | 19 | 5 | 72 (11) | ||||
| Spleen involvement | No | 133 | 39 | 71 (4) | 0.8 | ||
| Yes | 29 | 7 | 74 (8) | ||||
| Skin lesions | No | 119 | 30 | 75 (4) | 0.21 | ||
| Yes | 43 | 16 | 63 (7) | ||||
| Soft tissue mass | No | 132 | 42 | 68 (4) | 0.11 | 0.28 | |
| Yes | 16 | 2 | 88 (8) | ||||
| ENT involvement (4 mv) | No | 158 | 44 | 72 (4) | - | ||
| Yes | 0 | 0 | - | ||||
| Peripheral LN involvement | No | 20 | 2 | 90 (7) | 0.06 | 0.11 | |
| Yes | 142 | 44 | 69 (4) | ||||
| Abdominal LN involvement | No | 90 | 25 | 72 (5) | 0.86 | ||
| Yes | 72 | 21 | 71 (5) | ||||
| Visceral (lung, liver, spleen) involvement | No | 111 | 31 | 73 (4) | 0.55 | ||
| Yes | 51 | 15 | 69 (7) | ||||
| Kidney + pancreas lesions | No | 153 | 44 | 71 (4) | 0.69 | ||
| Yes | 9 | 2 | 78 (14) | ||||
| Bone lesions | No | 128 | 39 | 70 (4) | 0.23 | ||
| Yes | 34 | 7 | 79 (7) | ||||
| Bone marrow involvement | No | 152 | 41 | 73 (4) | 0.14 | 0.74 | |
| Yes | 10 | 5 | 50 (16) | ||||
| ALK immuno-staining | Neg | 0 | 0 | - | - | ||
| Pos | 162 | 46 | 72 (4) | ||||
| CD3 immunostaining (22 mv) | Neg | 83 | 31 | 72 (4) | 0.08 | 0.25 | |
| Pos | 17 | 13 | 55 (9) | ||||
| Histological subtype SC/LH (8 mv) | No | 95 | 19 | 81 (4) | 0.0006 | 0.009 | 2.4 (1.23–4.66) |
| Yes | 59 | 27 | 53 (7) | ||||
| MDD | Neg | 75 | 12 | 83 (4) | 0.001 | 0.038 | 2.15 (1.04–4.64) |
| Pos | 87 | 34 | 62 (5) | ||||
© 2020 by the authors. Licensee MDPI, Basel, Switzerland. This article is an open access article distributed under the terms and conditions of the Creative Commons Attribution (CC BY) license (http://creativecommons.org/licenses/by/4.0/).
Share and Cite
Mussolin, L.; Le Deley, M.-C.; Carraro, E.; Damm-Welk, C.; Attarbaschi, A.; Williams, D.; Burke, A.; Horibe, K.; Nakazawa, A.; Wrobel, G.; et al. Prognostic Factors in Childhood Anaplastic Large Cell Lymphoma: Long Term Results of the International ALCL99 Trial. Cancers 2020, 12, 2747. https://doi.org/10.3390/cancers12102747
Mussolin L, Le Deley M-C, Carraro E, Damm-Welk C, Attarbaschi A, Williams D, Burke A, Horibe K, Nakazawa A, Wrobel G, et al. Prognostic Factors in Childhood Anaplastic Large Cell Lymphoma: Long Term Results of the International ALCL99 Trial. Cancers. 2020; 12(10):2747. https://doi.org/10.3390/cancers12102747
Chicago/Turabian StyleMussolin, Lara, Marié-Cecilé Le Deley, Elisa Carraro, Christine Damm-Welk, Andishe Attarbaschi, Denise Williams, Amos Burke, Keizo Horibe, Atsuko Nakazawa, Grazyna Wrobel, and et al. 2020. "Prognostic Factors in Childhood Anaplastic Large Cell Lymphoma: Long Term Results of the International ALCL99 Trial" Cancers 12, no. 10: 2747. https://doi.org/10.3390/cancers12102747
APA StyleMussolin, L., Le Deley, M.-C., Carraro, E., Damm-Welk, C., Attarbaschi, A., Williams, D., Burke, A., Horibe, K., Nakazawa, A., Wrobel, G., Mann, G., Csóka, M., Uyttebroeck, A., Fernández-Delgado Cerdá, R., Beishuizen, A., Mellgren, K., Burkhardt, B., Klapper, W., Turner, S. D., ... on behalf of the European Inter-Group for Childhood Non-Hodgkin lymphoma (EICNHL). (2020). Prognostic Factors in Childhood Anaplastic Large Cell Lymphoma: Long Term Results of the International ALCL99 Trial. Cancers, 12(10), 2747. https://doi.org/10.3390/cancers12102747

