Risk of Liver Cirrhosis and Hepatocellular Carcinoma after Fontan Operation: A Need for Surveillance
Abstract
1. Introduction
2. Results
2.1. Patients
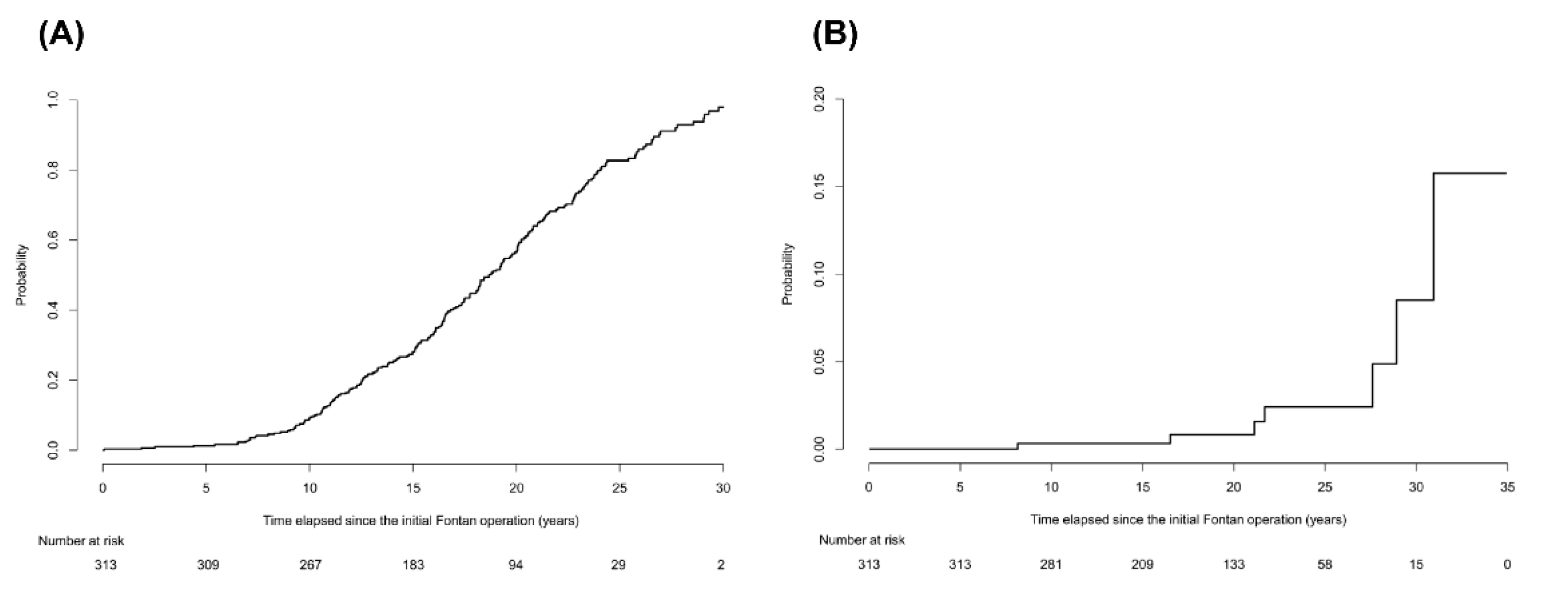
2.2. Development of Cirrhosis
2.3. Clinical Characteristics Associated with Cirrhosis
2.4. Development of HCC
2.5. Features Distinguishing HCC from Benign APHE Nodules
3. Discussion
4. Materials and Methods
4.1. Study Population
4.2. Evaluation of Cirrhosis
4.3. Predictors of Cirrhosis
4.4. Diagnosis of APHE Nodules
4.5. Diagnosis of HCC
4.6. Statistical Analysis
5. Conclusions
Supplementary Materials
Author Contributions
Funding
Conflicts of Interest
References
- Gewillig, M. The Fontan circulation. Heart 2005, 91, 839–846. [Google Scholar] [CrossRef]
- Munsterman, I.D.; Duijnhouwer, A.L.; Kendall, T.J.; Bronkhorst, C.M.; Ronot, M.; van Wettere, M.; van Dijk, A.P.J.; Drenth, J.P.H.; Tjwa, E. The clinical spectrum of Fontan-associated liver disease: Results from a prospective multimodality screening cohort. Eur. Heart J. 2018. [Google Scholar] [CrossRef] [PubMed]
- Josephus Jitta, D.; Wagenaar, L.J.; Mulder, B.J.; Guichelaar, M.; Bouman, D.; van Melle, J.P. Three cases of hepatocellular carcinoma in Fontan patients: Review of the literature and suggestions for hepatic screening. Int. J. Cardiol. 2016, 206, 21–26. [Google Scholar] [CrossRef] [PubMed]
- Asrani, S.K.; Warnes, C.A.; Kamath, P.S. Hepatocellular carcinoma after the Fontan procedure. N. Engl. J. Med. 2013, 368, 1756–1757. [Google Scholar] [CrossRef] [PubMed]
- Wells, M.L.; Hough, D.M.; Fidler, J.L.; Kamath, P.S.; Poterucha, J.T.; Venkatesh, S.K. Benign nodules in post-Fontan livers can show imaging features considered diagnostic for hepatocellular carcinoma. Abdom. Radiol. 2017, 42, 2623–2631. [Google Scholar] [CrossRef] [PubMed]
- Rychik, J.; Veldtman, G.; Rand, E.; Russo, P.; Rome, J.J.; Krok, K.; Goldberg, D.J.; Cahill, A.M.; Wells, R.G. The precarious state of the liver after a Fontan operation: Summary of a multidisciplinary symposium. Pediatr. Cardiol. 2012, 33, 1001–1012. [Google Scholar] [CrossRef]
- Kiesewetter, C.H.; Sheron, N.; Vettukattill, J.J.; Hacking, N.; Stedman, B.; Millward-Sadler, H.; Haw, M.; Cope, R.; Salmon, A.P.; Sivaprakasam, M.C.; et al. Hepatic changes in the failing Fontan circulation. Heart 2007, 93, 579–584. [Google Scholar] [CrossRef]
- Bryant, T.; Ahmad, Z.; Millward-Sadler, H.; Burney, K.; Stedman, B.; Kendall, T.; Vettukattil, J.; Haw, M.; Salmon, A.P.; Cope, R.; et al. Arterialised hepatic nodules in the Fontan circulation: Hepatico-cardiac interactions. Int. J. Cardiol. 2011, 151, 268–272. [Google Scholar] [CrossRef]
- Bulut, O.P.; Romero, R.; Mahle, W.T.; McConnell, M.; Braithwaite, K.; Shehata, B.M.; Gupta, N.A.; Vos, M.; Alazraki, A. Magnetic resonance imaging identifies unsuspected liver abnormalities in patients after the Fontan procedure. J. Pediatr. 2013, 163, 201–206. [Google Scholar] [CrossRef]
- Wallihan, D.B.; Podberesky, D.J. Hepatic pathology after Fontan palliation: Spectrum of imaging findings. Pediatr. Radiol. 2013, 43, 330–338. [Google Scholar] [CrossRef]
- Bae, J.M.; Jeon, T.Y.; Kim, J.S.; Kim, S.; Hwang, S.M.; Yoo, S.Y.; Kim, J.H. Fontan-associated liver disease: Spectrum of US findings. Eur. J. Radiol. 2016, 85, 850–856. [Google Scholar] [CrossRef] [PubMed]
- Wu, F.M.; Kogon, B.; Earing, M.G.; Aboulhosn, J.A.; Broberg, C.S.; John, A.S.; Harmon, A.; Sainani, N.I.; Hill, A.J.; Odze, R.D.; et al. Liver health in adults with Fontan circulation: A multicenter cross-sectional study. J. Thorac. Cardiovasc. Surg. 2017, 153, 656–664. [Google Scholar] [CrossRef]
- Shimamatsu, K.; Wanless, I.R. Role of ischemia in causing apoptosis, atrophy, and nodular hyperplasia in human liver. Hepatology 1997, 26, 343–350. [Google Scholar] [CrossRef] [PubMed]
- Gordon-Walker, T.T.; Bove, K.; Veldtman, G. Fontan-associated liver disease: A review. J. Cardiol. 2019. [Google Scholar] [CrossRef] [PubMed]
- Wells, M.L.; Fenstad, E.R.; Poterucha, J.T.; Hough, D.M.; Young, P.M.; Araoz, P.A.; Ehman, R.L.; Venkatesh, S.K. Imaging Findings of Congestive Hepatopathy. Radiographics 2016, 36, 1024–1037. [Google Scholar] [CrossRef]
- Marrero, J.A.; Kulik, L.M.; Sirlin, C.B.; Zhu, A.X.; Finn, R.S.; Abecassis, M.M.; Roberts, L.R.; Heimbach, J.K. Diagnosis, Staging, and Management of Hepatocellular Carcinoma: 2018 Practice Guidance by the American Association for the Study of Liver Diseases. Hepatology 2018, 68, 723–750. [Google Scholar] [CrossRef]
- European Association for the Study of the Liver. EASL Clinical Practice Guidelines: Management of hepatocellular carcinoma. J. Hepatol. 2018, 69, 182–236. [Google Scholar] [CrossRef]
- Cheung, E.W.; Chay, G.W.; Ma, E.S.; Cheung, Y.F. Systemic oxygen saturation and coagulation factor abnormalities before and after the fontan procedure. Am. J. Cardiol. 2005, 96, 1571–1575. [Google Scholar] [CrossRef]
- Lemmer, A.; VanWagner, L.B.; Ganger, D. Assessment of Advanced Liver Fibrosis and the Risk for Hepatic Decompensation in Patients With Congestive Hepatopathy. Hepatology 2018, 68, 1633–1641. [Google Scholar] [CrossRef]
- Surrey, L.F.; Russo, P.; Rychik, J.; Goldberg, D.J.; Dodds, K.; O’Byrne, M.L.; Glatz, A.C.; Rand, E.B.; Lin, H.C. Prevalence and characterization of fibrosis in surveillance liver biopsies of patients with Fontan circulation. Hum. Pathol. 2016, 57, 106–115. [Google Scholar] [CrossRef]
- Shimizu, M.; Miyamoto, K.; Nishihara, Y.; Izumi, G.; Sakai, S.; Inai, K.; Nishikawa, T.; Nakanishi, T. Risk factors and serological markers of liver cirrhosis after Fontan procedure. Heart Vessels 2016, 31, 1514–1521. [Google Scholar] [CrossRef] [PubMed]
- Baek, J.S.; Bae, E.J.; Ko, J.S.; Kim, G.B.; Kwon, B.S.; Lee, S.Y.; Noh, C.I.; Park, E.A.; Lee, W. Late hepatic complications after Fontan operation; non-invasive markers of hepatic fibrosis and risk factors. Heart 2010, 96, 1750–1755. [Google Scholar] [CrossRef]
- Zissen, M.H.; Wang, Z.J.; Yee, J.; Aslam, R.; Monto, A.; Yeh, B.M. Contrast-enhanced CT quantification of the hepatic fractional extracellular space: Correlation with diffuse liver disease severity. AJR Am. J. Roentgenol. 2013, 201, 1204–1210. [Google Scholar] [CrossRef] [PubMed]
- Bandula, S.; Punwani, S.; Rosenberg, W.M.; Jalan, R.; Hall, A.R.; Dhillon, A.; Moon, J.C.; Taylor, S.A. Equilibrium contrast-enhanced CT imaging to evaluate hepatic fibrosis: Initial validation by comparison with histopathologic sampling. Radiology 2015, 275, 136–143. [Google Scholar] [CrossRef] [PubMed]
- Varenika, V.; Fu, Y.; Maher, J.J.; Gao, D.; Kakar, S.; Cabarrus, M.C.; Yeh, B.M. Hepatic fibrosis: Evaluation with semiquantitative contrast-enhanced CT. Radiology 2013, 266, 151–158. [Google Scholar] [CrossRef]
- Elsayes, K.M.; Hooker, J.C.; Agrons, M.M.; Kielar, A.Z.; Tang, A.; Fowler, K.J.; Chernyak, V.; Bashir, M.R.; Kono, Y.; Do, R.K.; et al. 2017 Version of LI-RADS for CT and MR Imaging: An Update. Radiographics 2017, 37, 1994–2017. [Google Scholar] [CrossRef]
- Rychik, J.; Atz, A.M.; Celermajer, D.S.; Deal, B.J.; Gatzoulis, M.A.; Gewillig, M.H.; Hsia, T.Y.; Hsu, D.T.; Kovacs, A.H.; McCrindle, B.W.; et al. Evaluation and Management of the Child and Adult With Fontan Circulation: A Scientific Statement From the American Heart Association. Circulation 2019. [Google Scholar] [CrossRef]
- Gaiani, S.; Gramantieri, L.; Venturoli, N.; Piscaglia, F.; Siringo, S.; D’Errico, A.; Zironi, G.; Grigioni, W.; Bolondi, L. What is the criterion for differentiating chronic hepatitis from compensated cirrhosis? A prospective study comparing ultrasonography and percutaneous liver biopsy. J. Hepatol. 1997, 27, 979–985. [Google Scholar] [CrossRef]
- Dodd, G.D., 3rd; Baron, R.L.; Oliver, J.H., 3rd; Federle, M.P. Spectrum of imaging findings of the liver in end-stage cirrhosis: Part I, gross morphology and diffuse abnormalities. AJR Am. J. Roentgenol. 1999, 173, 1031–1036. [Google Scholar] [CrossRef]
- Colli, A.; Fraquelli, M.; Andreoletti, M.; Marino, B.; Zuccoli, E.; Conte, D. Severe liver fibrosis or cirrhosis: Accuracy of US for detection--analysis of 300 cases. Radiology 2003, 227, 89–94. [Google Scholar] [CrossRef]
- Tsochatzis, E.A.; Bosch, J.; Burroughs, A.K. Liver cirrhosis. Lancet 2014, 383, 1749–1761. [Google Scholar] [CrossRef]
- Castera, L. Noninvasive methods to assess liver disease in patients with hepatitis B or C. Gastroenterology 2012, 142, 1293–1302.e1294. [Google Scholar] [CrossRef] [PubMed]
- Korean Association for the Study of the Liver. KASL clinical practice guidelines for liver cirrhosis: Ascites and related complications. Clin. Mol. Hepatol. 2018, 24, 230–277. [Google Scholar] [CrossRef] [PubMed]
- Jang, J.Y.; Lee, J.S.; Kim, H.J.; Shim, J.J.; Kim, J.H.; Kim, B.H.; Kwon, C.H.; Lee, S.D.; Lee, H.W.; Kim, J.H. The general rules for the study of primary liver cancer. J. Liver Cancer 2017, 17, 19–44. [Google Scholar] [CrossRef]
- Nandwana, S.B.; Olaiya, B.; Cox, K.; Sahu, A.; Mittal, P. Abdominal Imaging Surveillance in Adult Patients After Fontan Procedure: Risk of Chronic Liver Disease and Hepatocellular Carcinoma. Curr. Probl. Diagn. Radiol. 2018, 47, 19–22. [Google Scholar] [CrossRef] [PubMed]



| Total Population (n = 313) | |
|---|---|
| Male sex | 204 (65.2%) |
| Age at the initial Fontan operation (years) | 2.7 (2.1–3.9) |
| Type of Fontan operation | |
| Atriopulmonary connection | 54 (17.3%) |
| Lateral tunnel | 126 (40.3%) |
| Extracardiac | 133 (42.5%) |
| Time elapsed since the initial Fontan operation (years) | 18.6 (13.5–23.4) |
| Age at the last follow-up date (years) | 21.3 (16.8–27.6) |
| Hepatitis B virus infection | 5 (1.6%) |
| Hepatitis C virus infection | 2 (0.7%) |
| Development of cirrhosis | 221 (70.6%) |
| Development of hepatocellular carcinoma | 7 (2.2%) |
| Postoperative arrhythmia | 87 (27.8%) |
| Protein-losing enteropathy | 22 (7.0%) |
| Univariable Analysis | Multivariable Analysis | |||
|---|---|---|---|---|
| Odd Ratio (95% CI) | p Value | Odd Ratio (95% CI) | p Value | |
| Age at the initial Fontan operation (≥2.6 vs. <2.6 years) | 1.56 (0.77–3.15) | 0.21 | - | - |
| Sex (male vs. female) | 1.53 (0.71–3.29) | 0.28 | - | - |
| Type of Fontan operation | 0.24 | - | - | |
| Atriopulmonary connection | 1.00 (reference) | |||
| Lateral tunnel | 0.46 (0.18–1.13) | |||
| Extracardiac | 0.57 (0.22–1.48) | |||
| Time elapsed since the initial Fontan operation (≥13.7 vs. <13.7 years) | 5.37 (2.49–11.56) | <0.001 | 4.15 (1.86–9.27) | 0.001 |
| Fontan pressure (≥13 vs. <13 mmHg) | 1.21 (0.60–2.46) | 0.59 | - | - |
| VEDP (≥9 vs. <9 mmHg) | 1.37 (0.68–2.76) | 0.38 | - | - |
| SaO2 (≥92.4 vs. <92.4%) | 0.62 (0.31–1.26) | 0.19 | - | - |
| Warfarin (yes vs. no) | 1.96 (0.96–4.01) | 0.06 | - | - |
| Diuretics (yes vs. no) | 1.76 (0.85–3.63) | 0.13 | - | - |
| Postoperative arrhythmia (yes vs. no) | 2.42 (1.14–5.12) | 0.02 | - | 0.20 |
| Protein-losing enteropathy (yes vs. no) | 0.56 (0.17–1.90) | 0.35 | - | - |
| Viral hepatitis (yes vs. no) | 0.36 (0.04–3.32) | 0.37 | - | - |
| ACEI/ARB (yes vs. no) | 0.88 (0.40–1.96) | 0.76 | - | - |
| Platelet count (≥191,000 vs. <191,000/μL) | 0.38 (0.19–0.78) | 0.01 | - | 0.49 |
| Total bilirubin (≥1.1 vs. <1.1 mg/dL) | 3.72 (1.76–7.86) | <0.001 | 2.62 (1.16–5.88) | 0.02 |
| AST (≥27.0 vs. <27.0 U/L) | 0.61 (0.30–1.23) | 0.16 | - | - |
| ALT (≥20.0 vs. <20.0 U/L) | 1.56 (0.77–3.16) | 0.21 | - | - |
| GGT (≥60.0 vs. <60.0 U/L) | 2.57 (1.25–5.30) | 0.01 | - | 0.06 |
| Albumin (≥4.4 vs. <4.4 g/dL) | 1.61 (0.79–3.30) | 0.19 | - | - |
| MELD-XI (≥6.82 vs. <6.82) | 2.86 (1.38–5.89) | <0.001 | - | 0.36 |
| Forns index (≥3.05 vs. <3.05) | 5.07 (2.36–10.91) | <0.001 | - | 0.38 |
| APRI (≥0.38 vs. <0.38) | 1.87 (0.92–3.79) | 0.08 | - | - |
| FIB-4 (≥0.12 vs. <0.12) | 3.50 (1.61–7.64) | <0.001 | - | 0.77 |
| Patients Diagnosed with HCC (n = 7) | Patients Diagnosed with Benign APHE Nodules (n = 11) | p Value | |
|---|---|---|---|
| Male sex | 4 (57.1%) | 4 (36.4%) | 0.71 |
| Type of Fontan operation | 0.06 | ||
| Atriopulmonary connection | 5 (71.4%) | 2 (18.2%) | |
| Lateral tunnel | 2 (28.6%) | 6 (54.5%) | |
| Extracardiac | 0 (0.0%) | 3 (27.3%) | |
| Time elapsed since the initial Fontan operation (years) | 29.7 (24.8–30.4) | 21.9 (16.7–23.3) | 0.04 |
| Number of APHE nodules | 1.0 (1.0–6.0) | 5.0 (1.5–9.0) | 0.32 |
| Largest APHE nodule diameter (cm) | 4.0 (2.3–4.4) | 1.7 (1.2–2.1) | 0.03 |
| Washout on PVP | 0.006 | ||
| No or unknown | 2 (28.6%) | 11 (100.0%) | |
| Yes | 5 (71.4%) | 0 (0.0%) | |
| Platelet count (×103/μL) | 122.0 (94.0–165.5) | 191.0 (168.0–237.5) | 0.08 |
| Total bilirubin (mg/dL) | 1.5 (0.9–2.8) | 1.8 (1.3–2.7) | 0.53 |
| AST (U/L) | 30.0 (23.0–34.0) | 22.0 (21.0–24.5) | 0.15 |
| ALT (U/L) | 25.0 (19.0–32.0) | 16.0 (15.0–17.0) | 0.08 |
| GGT (U/L) | 119.0 (60.0–123.0) | 74.0 (60.5–85.5) | 0.36 |
| Albumin (g/dL) | 4.2 (4.1–4.6) | 4.5 (4.2–4.7) | 0.52 |
| AFP (ng/mL) | 160.6 (90.6–483.7) | 2.9 (2.3–3.5) | <0.001 |
© 2020 by the authors. Licensee MDPI, Basel, Switzerland. This article is an open access article distributed under the terms and conditions of the Creative Commons Attribution (CC BY) license (http://creativecommons.org/licenses/by/4.0/).
Share and Cite
Yoon, J.S.; Lee, D.H.; Cho, E.J.; Song, M.K.; Choi, Y.H.; Kim, G.B.; Lee, Y.B.; Lee, J.-H.; Yu, S.J.; Kim, H.; et al. Risk of Liver Cirrhosis and Hepatocellular Carcinoma after Fontan Operation: A Need for Surveillance. Cancers 2020, 12, 1805. https://doi.org/10.3390/cancers12071805
Yoon JS, Lee DH, Cho EJ, Song MK, Choi YH, Kim GB, Lee YB, Lee J-H, Yu SJ, Kim H, et al. Risk of Liver Cirrhosis and Hepatocellular Carcinoma after Fontan Operation: A Need for Surveillance. Cancers. 2020; 12(7):1805. https://doi.org/10.3390/cancers12071805
Chicago/Turabian StyleYoon, Jun Sik, Dong Ho Lee, Eun Ju Cho, Mi Kyoung Song, Young Hun Choi, Gi Beom Kim, Yun Bin Lee, Jeong-Hoon Lee, Su Jong Yu, Haeryoung Kim, and et al. 2020. "Risk of Liver Cirrhosis and Hepatocellular Carcinoma after Fontan Operation: A Need for Surveillance" Cancers 12, no. 7: 1805. https://doi.org/10.3390/cancers12071805
APA StyleYoon, J. S., Lee, D. H., Cho, E. J., Song, M. K., Choi, Y. H., Kim, G. B., Lee, Y. B., Lee, J.-H., Yu, S. J., Kim, H., Kim, Y. J., Yoon, J.-H., & Bae, E. J. (2020). Risk of Liver Cirrhosis and Hepatocellular Carcinoma after Fontan Operation: A Need for Surveillance. Cancers, 12(7), 1805. https://doi.org/10.3390/cancers12071805

