Oxidative Stress Biomarkers in Urine of Metal Carpentry Workers Can Be Diagnostic for Occupational Exposure to Low Level of Welding Fumes from Associated Metals
Abstract
:Simple Summary
Abstract
1. Introduction
2. Materials and Methods
2.1. Sampling Design
2.2. Hair Collection
2.3. Chemicals and Supplies
2.4. Analytical Determination of Urinary Oxidative Stress Biomarkers
2.5. Analytical Determination of Urinary Elements
2.6. Analytical Determination of Hair Hg
3. Statistics
4. Results
5. Discussion
6. Conclusions
Author Contributions
Funding
Institutional Review Board Statement
Informed Consent Statement
Data Availability Statement
Acknowledgments
Conflicts of Interest
References
- Su, T.Y.; Pan, C.H.; Hsu, Y.T.; Lai, C.H. Effects of heavy metal exposure on shipyard welders: A cautionary note for 8-hydroxy-2’deoxyguanosine. Int. J. Environ. Res. Public Health 2019, 16, 4813. [Google Scholar] [CrossRef] [PubMed] [Green Version]
- IARC Working Group on the Evaluation of Carcinogenic Risks to Humans. Welding, Molybdenum Trioxide, and Indium Tin Oxide; International Agency for Research on Cancer: Lyon, France, 2018. Available online: https://www.ncbi.nlm.nih.gov/books/NBK543202/ (accessed on 24 June 2021).
- Gerding, J.; Peters, C.; Wegscheider, W.; Stranzinger, J.; Lessmann, F.; Pitzke, K.; Harth, V.; Eickmann, U.; Nienhaus, A. Metal exposure of workers during recycling of electronic waste: A cross-sectional study in sheltered workshops in Germany. Int. Arch. Occup. Environ. Health 2021, 1–10. [Google Scholar] [CrossRef]
- Graczyk, H.; Lewinski, N.; Zhao, J.; Sauvain, J.J.; Suarez, G.; Wild, P.; Danuser, B.; Riediker, M. Increase in oxidative stress levels following welding fume inhalation: A controlled human exposure study. Part. Fibre Toxicol. 2016, 13, 1–14. [Google Scholar] [CrossRef] [PubMed] [Green Version]
- Evans, M.D.; Saparbaev, M.; Cooke, M.S. DNA repair and the origins of urinary oxidized 2′-deoxyribonucleosides. Mutagenesis 2010, 25, 433–442. [Google Scholar] [CrossRef] [PubMed] [Green Version]
- Valavanidis, A.; Vlachogianni, T.; Fiotakis, C. 8-Hydroxy-2′ -deoxyguanosine (8-OHdG): A critical biomarker of oxidative stress and carcinogenesis. J. Environ. Sci. Health Part C Environ. Carcinog. Ecotoxicol. Rev. 2009. [Google Scholar] [CrossRef] [PubMed] [Green Version]
- Tranfo, G.; Paci, E.; Carrieri, M.; Marchetti, E.; Sisto, R.; Gherardi, M.; Costabile, F.; Bauleo, L.; Ancona, C.; Pigini, D. Levels of urinary biomarkers of oxidatively generated damage to DNA and RNA in different groups of workers compared to general population. Int. J. Environ. Res. Public Health 2019, 16, 2995. [Google Scholar] [CrossRef] [PubMed] [Green Version]
- Kehm, R.; Baldensperger, T.; Raupbach, J.; Höhn, A. Protein oxidation—Formation mechanisms, detection and relevance as biomarkers in human diseases. Redox Biol. 2021. [Google Scholar] [CrossRef] [PubMed]
- Arcidiacono, O.A.; Krejčí, J.; Legartová, S.; Stixova, L.; Bártová, E. Epigenetic processes and DNA repair in embryonic stem cells. In Stem Cell Epigenetics; Academic Press: Cambridge, MA, USA, 2020; Volume 17, pp. 1–23. [Google Scholar] [CrossRef]
- Buonaurio, F.; Astolfi, M.L.; Canepari, S.; Di Basilio, M.; Gibilras, R.; Mecchia, M.; Papacchini, M.; Paci, E.; Pigini, D.; Tranfo, G. Urinary oxidative stress biomarkers in workers of a titanium dioxide based pigment production plant. Int. J. Environ. Res. Public Health 2020, 17, 9085. [Google Scholar] [CrossRef]
- Hernández, A.F.; Tsatsakis, A.M. Human exposure to chemical mixtures: Challenges for the integration of toxicology with epidemiology data in risk assessment. Food Chem. Toxicol. 2017, 103, 188–193. [Google Scholar] [CrossRef] [PubMed]
- Directive 2001/20/EC of the European Parliament and of the Council of 4 April 2001. Available online: https://ec.europa.eu/health/sites/default/files/files/eudralex/vol-1/dir_2001_20/dir_2001_20_en.pdf (accessed on 24 June 2021).
- International Commission on Occupational Health (ICOH). International Code of Ethics for Occupational Health Professionals. 2014. Available online: http://www.icohweb.org/site/multimedia/code_of_ethics/code-of-ethics-en.pdf (accessed on 24 June 2021).
- Paci, E.; Pigini, D.; Bauleo, L.; Ancona, C.; Forastiere, F.; Tranfo, G. Urinary cotinine concentration and self-reported smoking status in 1075 subjects living in central Italy. Int. J. Environ. Res. Public Health 2018, 15, 804. [Google Scholar] [CrossRef] [Green Version]
- Heitland, P.; Köster, H.D. Biomonitoring of 30 trace elements in urine of children and adults by ICP-MS. Clin. Chim. Acta 2006, 365, 310–318. [Google Scholar] [CrossRef]
- Buonaurio, F.; Paci, E.; Pigini, D.; Marini, F.; Bauleo, L.; Ancona, C.; Tranfo, G. Chemometric study of the correlation between human exposure to benzene and PAHs and urinary excretion of oxidative stress biomarkers. Atmosphere 2020, 11, 1341. [Google Scholar] [CrossRef]
- Kroll, M.H.; Chesler, R.; Hagengruber, C.; Blank, D.W.; Kestner, J.; Rawe, M. Automated determination of urinary creatinine without sample dilution: Theory and practice. Clin. Chem. 1986, 32, 446–452. [Google Scholar] [CrossRef]
- American Conference of the Governmental Industrial Hygienists (ACGIH). Documentation of the of the Threshold Limit Values and Biological Exposure Indices, 7th ed.; ACGIH: Cincinnati, OH, USA, 2016. [Google Scholar]
- Andreoli, R.; Manini, P.; De Palma, G.; Alinovi, R.; Goldoni, M.; Niessen, W.M.A.; Mutti, A. Quantitative determination of urinary 8-oxo-7,8-dihydro-2′- deoxyguanosine, 8-oxo-7,8-dihydroguanine, 8-oxo-7,8-dihydroguanosine, and their non-oxidized forms: Daily concentration profile in healthy volunteers. Biomarkers 2010, 15, 221–231. [Google Scholar] [CrossRef]
- Protano, C.; Canepari, S.; Astolfi, M.L.; D’Onorio De Meo, S.; Vitali, M. Urinary reference ranges and exposure profile for lithium among an Italian paediatric population. Sci. Total Environ. 2018, 619–620, 58–64. [Google Scholar] [CrossRef]
- Protano, C.; Astolfi, M.L.; Canepari, S.; Andreoli, R.; Mutti, A.; Valeriani, F.; Romano Spica, V.; Antonucci, A.; Mattei, V.; Martellucci, S.; et al. Exposure to individual and multiple carcinogenic metals during paediatric age: An experience from an Italian urban scenario. Ann. Ig 2017, 29, 494–503. [Google Scholar] [CrossRef]
- Astolfi, M.L.; Vitali, M.; Marconi, E.; Martellucci, S.; Mattei, V.; Canepari, S.; Protano, C. Urinary mercury levels and predictors of exposure among a group of Italian children. Int. J. Environ. Res. Public Health 2020, 17, 9225. [Google Scholar] [CrossRef]
- Astolfi, M.L.; Protano, C.; Marconi, E.; Massimi, L.; Brunori, M.; Piamonti, D.; Migliara, G.; Vitali, M.; Canepari, S. A new rapid treatment of human hair for elemental determination by inductively coupled mass spectrometry. Anal. Methods 2020, 12, 1906–1918. [Google Scholar] [CrossRef]
- Astolfi, M.L.; Protano, C.; Marconi, E.; Piamonti, D.; Massimi, L.; Brunori, M.; Vitali, M.; Canepari, S. Simple and rapid method for the determination of mercury in human hair by cold vapour generation atomic fluorescence spectrometry. Microchem. J. 2019, 150, 104186. [Google Scholar] [CrossRef]
- Newton, D.; Harrison, G.E.; Kang, C.; Warner, A.J. Metabolism of injected barium in six healthy men. Health Phys. 1991, 61, 191–201. [Google Scholar] [CrossRef]
- SIVR Terza Lista dei Valori di Riferimento per Elementi, Composti Organici e Loro Metaboliti. Available online: http://www.sivr.it/documenti/sivr2011.pdf (accessed on 30 March 2021).
- Alimonti, A.; Bocca, B.; Mattei, D.; Pino, A. Biomonitoring of the Italian population to metals: Reference values 1990–2009. Rapporti ISTISAN-Istituto Superiore di Sanità 2010, 10, 1–58. [Google Scholar]
- Zhang, L.; Liu, J.; Meng, F.; Guan, Y.; Wang, Y.; Zhu, S.; Liu, Y.; Xie, Q.; Yu, J.; Zhang, S. Pharmacokinetics of Bismuth following Oral Administration of Wei Bi Mei in Healthy Chinese Volunteers. Evid. Based Complement. Altern. Med. 2020. [Google Scholar] [CrossRef]
- American Conference of the Governmental Industrial Hygienists (ACGIH). TLVs and BEIs: Threshold Limit Values for Chemical Substances and Physical Agents and Biological Exposure Indices; ACGIH Worldwide: Cincinnati, OH, USA, 2020; ISBN 978-1-607261-45-2. [Google Scholar]
- Rodríguez, R.E.; Díaz, R.C. Iron, Copper and Zinc Levels in Urine: Relationship to Various Individual Factors. Top. Catal. 1995, 9, 200–209. [Google Scholar] [CrossRef]
- Leeuwenkamp, O.R.; van der Vijgh, W.J.F.; Hüsken, B.C.P.; Lips, P.; Netelenbos, J.C. Human pharmacokinetics of orally administered strontium. Calcif. Tissue Int. 1990, 43, 136–141. [Google Scholar] [CrossRef] [PubMed]
- Usuda, K.; Kono, K.; Hayashi, S.; Kawasaki, T.; Mitsui, G.; Shibutani, T.; Dote, E.; Adachi, K.; Fujihara, M.; Shimbo, Y.; et al. Determination of reference concentrations of strontium in urine by inductively coupled plasma atomic emission spectrometry. Environ. Health Prev. Med. 2006, 11, 11–16. [Google Scholar] [CrossRef] [PubMed]
- Morton, J.; Tan, E.; Leese, E.; Cocker, J. Determination of 61 elements in urine samples collected from a non-occupationally exposed UK adult population. Toxicol. Lett. 2014, 231, 179–193. [Google Scholar] [CrossRef] [PubMed] [Green Version]
- Xie, Q.; Wang, Y.; Li, S.; Zhang, C.; Tian, X.; Cheng, N.; Zhang, Y.; Wang, D. Total mercury and methylmercury in human hair and food: Implications for the exposure and health risk to residents in the Three Gorges Reservoir Region, China. Environ. Pollut. 2021, 282, 117041. [Google Scholar] [CrossRef] [PubMed]




| Subjects | n. | Age (Years) | Smokers | 
|---|---|---|---|
| Workers | 40 | Mean 53.4 range 29–65 | 9 | 
| Controls | 13 | Mean 44.9 range 20–59 | 7 | 
| Before Shift (BS) | ||||||||||||||||
| Hg | Be | Ni | Cu | Rb | Sr | Cd | Sb | Te | Cs | Ba | Pb | Bi | V | Fe | Se | |
| Mean | 0.92 ** | 0.019 *** | 4.9 | 23.7 | 913 | 157 * | 0.61 ** | 0.17 | 1.67 | 7.7 | 11 *** | 22 *** | 0.07 ** | 0.68 | 9.1 * | 37 | 
| std | 0.91 | 0.020 | 1.8 | 9.7 | 383 | 69 | 0.40 | 0.15 | 0.92 | 3.8 | 11 | 42 | 0.10 | 0.98 | 8.0 | 10 | 
| Median | 0.63 | 0.010 | 4.5 | 21.3 | 848 | 152 | 0.50 | 0.13 | 1.49 | 6.9 | 8 | 12 | 0.05 | 0.21 | 6.2 | 33 | 
| 5° perc. | 0.10 | 0.008 | 3.1 | 14.4 | 480 | 72 | 0.15 | 0.09 | 0.64 | 4.1 | 3 | 5 | 0.01 | 0.13 | 2.3 | 24 | 
| 95° perc. | 2.69 | 0.039 | 7.4 | 38.5 | 1650 | 252 | 1.30 | 0.26 | 3.25 | 13.6 | 34 | 46 | 0.17 | 2.74 | 25.1 | 52 | 
| % data >LOD | 98 | 15 | 100 | 100 | 100 | 100 | 98 | 100 | 100 | 100 | 100 | 100 | 100 | 33 | 100 | 100 | 
| * p < 0.05; ** p < 0.01; *** p < 0.001 (BS higher than controls) | ||||||||||||||||
| End of Shift (ES) | ||||||||||||||||
| Hg | Be | Ni | Cu | Rb | Sr | Cd | Sb | Te | Cs | Ba | Pb | Bi | V | Fe | Se | |
| Mean | 0.75 ** | 0.014 * | 4.3 ° | 21.5 | 999 | 112 °°° | 0.68 * | 0.21 | 1.73 | 8.5 | 7.2 ***° | 22 *** | 0.07 * | 1.0 | 9.3 * | 42 | 
| std | 0.62 | 0.010 | 2.2 | 8.5 | 392 | 48 | 0.45 | 0.17 | 0.71 | 4.5 | 3.5 | 32 | 0.09 | 1.3 | 7.2 | 17 | 
| Median | 0.55 | 0.010 | 4.0 | 19.3 | 975 | 113 | 0.59 | 0.18 | 1.59 | 8.3 | 6.5 | 16 | 0.04 | 0.3 | 7.8 | 38 | 
| 5°perc. | 0.06 | 0.006 | 1.5 | 11.8 | 451 | 41 | 0.19 | 0.06 | 0.75 | 3.8 | 2.7 | 5 | 0.01 | 0.1 | 2.6 | 22 | 
| 95° perc. | 1.95 | 0.020 | 7.4 | 34.3 | 1700 | 182 | 1.63 | 0.50 | 2.86 | 15.6 | 12.4 | 39 | 0.16 | 3.5 | 21.2 | 70 | 
| % data >LOD | 98 | 10 | 100 | 100 | 100 | 100 | 100 | 100 | 100 | 100 | 100 | 100 | 100 | 50 | 100 | 100 | 
| ° p < 0.05; °°° p < 0.001 (ES significantly different from BS) | ||||||||||||||||
| * p < 0.05; ** p < 0.01; *** p < 0.001 (ES higher than controls) | ||||||||||||||||
| Control Group | ||||||||||||||||
| Hg | Be | Ni | Cu | Rb | Sr | Cd | Sb | Te | Cs | Ba | Pb | Bi | V | Fe | Se | |
| Mean | 0.21 | 0.010 * | 4.4 | 20.0 | 819 | 114 | 0.38 | 0.14 | 1.36 | 10 | 3.8 | 7.0 | 0.03 | 0.60 | 6.1 | 35 | 
| std | 0.25 | 0.003 * | 1.4 | 7.3 | 136 | 64 | 0.21 | 0.08 | 0.36 | 16 | 2.2 | 4.1 | 0.02 | 0.61 | 8.6 | 11 | 
| Median | 0.09 | 0.010 * | 4.1 | 18.3 | 795 | 84 | 0.29 | 0.13 | 1.36 | 5 | 3.1 | 5.4 | 0.02 | 0.26 | 3.1 | 34 | 
| 5° perc. | 0.02 | 0.007 * | 3.0 | 12.9 | 642 | 46 | 0.17 | 0.06 | 0.83 | 4 | 1.7 | 2.6 | 0.01 | 0.12 | 2.4 | 17 | 
| 95° perc. | 0.74 | 0.015 * | 6.7 | 31.5 | 1030 | 224 | 0.78 | 0.26 | 1.91 | 31 | 8.1 | 14.7 | 0.08 | 1.72 | 20.1 | 50 | 
| % data >LOD | 92 | 0 | 100 | 100 | 100 | 100 | 100 | 100 | 100 | 100 | 100 | 100 | 100 | 46 | 100 | 100 | 
| * data calculated on the basis of LOD/2 to be able to be compared to the workers’ results | ||||||||||||||||
| 8-oxoGua | 8-oxoGuo | 8-oxodGuo | 3-NO2Tyr | 5-MeCyt | |||||||||||
|---|---|---|---|---|---|---|---|---|---|---|---|---|---|---|---|
| C | BS | ES | C | BS | ES | C | BS | ES | C | BS | ES | C | BS | E | |
| Mean | 20.12 | 34.62 | 26.87 | 3.76 | 9.52 *** | 7.56 *** | 6.66 | 5.04 | 6.68 | 11.33 | 15.90 ** | 16.10 * | 9.05 | 12.97 ** | 11.60 | 
| std | 19.74 | 32.34 | 28.33 | 0.88 | 7.52 | 1.76 | 2.49 | 2.75 | 5.53 | 4.16 | 5.25 | 6.21 | 3.14 | 6.09 | 4.99 | 
| Median | 13.13 | 22.51 | 18.29 | 3.60 | 7.67 | 7.33 | 5.71 | 4.96 | 5.85 | 10.32 | 14.52 | 15.51 | 8.51 | 11.84 | 10.39 | 
| 5° perc. | 2.32 | 4.01 | 6.67 | 2.66 | 4.87 | 4.98 | 4.37 | 1.22 | 2.46 | 6.16 | 9.22 | 8.45 | 5.59 | 6.33 | 5.65 | 
| 95° perc. | 52.13 | 101.37 | 65.50 | 5.10 | 13.15 | 10.49 | 11.34 | 10.12 | 11.98 | 18.36 | 25.52 | 27.05 | 14.08 | 23.50 | 21.43 | 
| Variable (µg/g Creatinine) Log Units | Area | Standard Error | Significance | CL 95% | |
|---|---|---|---|---|---|
| Lower Limit | Upper Limit | ||||
| 8-oxoGua | 0.624 | 0.085 | 0.153 | 0.456 | 0.792 | 
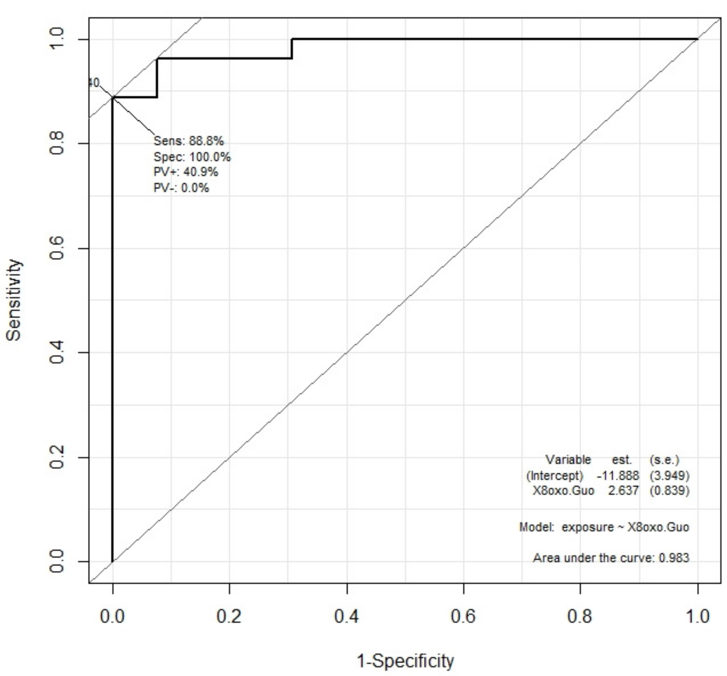
| 8-oxoGuo | 0.983 | 0.012 | 0.000 | 0.960 | 1.000 | 
| 8-oxodGuo | 0.387 | 0.072 | 0.191 | 0.246 | 0.527 | 
| 3-NO2Tyr | 0.753 | 0.071 | 0.004 | 0.614 | 0.892 | 
| 5-MeCyt | 0.712 | 0.074 | 0.015 | 0.566 | 0.857 | 
| (Dependent Variable 8-oxoGuo Conc. (µg/g Creatinine) Log Units | Dependent Variable 3-NO2Tyr Conc. (µg/g Creatinine) Log Units | Dependent Variable 5-MeCyt Conc. (µg/g Creatinine) Log Units | ||||||
|---|---|---|---|---|---|---|---|---|
| Predictor (mcg/g Cr) Log Units | β Coeff. Adim | St. Error | Predictor (mcg/g Cr) Log Units | β Coeff. Adim | St. Error | Predictor (mcg/g Cr) Log Units | β Coeff. Adim | St. Error | 
| Ba | 0.231 *** | 0.050 | Ba | 0.126 ** | 0.044 | Ba | 0.165 *** | 0.041 | 
| Hg | 0.057 ** | 0.028 | Rb | 0.268 ** | 0.075 | Be | 0.153 ** | 0.05 | 
| Pb | 0.167 *** | 0.046 | Sr | 0.217 *** | 0.049 | Cu | 0.394 *** | 0.082 | 
| Sr | 0.134 * | 0.064 | Te | 0.133 * | 0.065 | Rb | 0.280 *** | 0.070 | 
| V | 0.065 ** | 0.02 | ||||||
| Observations                   93 Log Likelihood 48.800 Akaike Inf. Crit. −83.600 Bayesian Inf. Crit. −66.258 | Observations                  93 Log Likelihood 58.369 Akaike Inf. Crit. −100.738 Bayesian Inf. Crit. −81.011 | Observations                93 Log Likelihood 81.650 Akaike Inf. Crit. −149.300 Bayesian Inf. Crit. −131.959 | ||||||
| Element | Half-Life in Urine | Reference Values in Urine µg/L | Biological Exposure Limit | Highest Mean Value in Welders in this Study | References | 
|---|---|---|---|---|---|
| Ba | 6 days a | 0.2–5 b | - | 11.39 µg/g creat. BS | a [25] b [26] | 
| Be | 1–60 days c | 0.01–0.04 b | - | 0.019 µg/g creat. BS | b [26] c [27] | 
| Bi | 15 days d | 0.8–1–6 c | - | 0.07 µg/g creat. BS and ES | d [28] c [27] | 
| Cd | 7 h c | 0.1–1.5 b | 2 µg/g creatinine (EU) 5 µg/g creatinine (ACGIH [29]) | 0.068 µg/g creat. ES | b [26] c [27] | 
| Fe | no physiological excretion mechanism | up to 62.4 ± 4.1 µg/g creatinine in healthy subjects e | - | 9.25 µg/g creat. BS | e [30] | 
| Hg | 1–3 months c | 1 c | 20 µg elemental Hg/g of creatinine (ACGIH [29]) | 0.092 µg/g creat. BS | c [27] | 
| Pb | 1–2 months (in blood) c; urine concentration reflects blood levels | 12–27 c | 600–400 µg/L in blood 200 µg/L of blood (ACGIH [29] | 22 µg/g creat. BS | c [27] | 
| Sr | 0–6 days f | 40.9–505.8 g 80–350 h | - | 157.43 µg/g creat. BS | f [31] g [32] h [33] | 
| Publisher’s Note: MDPI stays neutral with regard to jurisdictional claims in published maps and institutional affiliations. | 
© 2021 by the authors. Licensee MDPI, Basel, Switzerland. This article is an open access article distributed under the terms and conditions of the Creative Commons Attribution (CC BY) license (https://creativecommons.org/licenses/by/4.0/).
Share and Cite
Buonaurio, F.; Astolfi, M.L.; Pigini, D.; Tranfo, G.; Canepari, S.; Pietroiusti, A.; D’Alessandro, I.; Sisto, R. Oxidative Stress Biomarkers in Urine of Metal Carpentry Workers Can Be Diagnostic for Occupational Exposure to Low Level of Welding Fumes from Associated Metals. Cancers 2021, 13, 3167. https://doi.org/10.3390/cancers13133167
Buonaurio F, Astolfi ML, Pigini D, Tranfo G, Canepari S, Pietroiusti A, D’Alessandro I, Sisto R. Oxidative Stress Biomarkers in Urine of Metal Carpentry Workers Can Be Diagnostic for Occupational Exposure to Low Level of Welding Fumes from Associated Metals. Cancers. 2021; 13(13):3167. https://doi.org/10.3390/cancers13133167
Chicago/Turabian StyleBuonaurio, Flavia, Maria Luisa Astolfi, Daniela Pigini, Giovanna Tranfo, Silvia Canepari, Antonio Pietroiusti, Iacopo D’Alessandro, and Renata Sisto. 2021. "Oxidative Stress Biomarkers in Urine of Metal Carpentry Workers Can Be Diagnostic for Occupational Exposure to Low Level of Welding Fumes from Associated Metals" Cancers 13, no. 13: 3167. https://doi.org/10.3390/cancers13133167
APA StyleBuonaurio, F., Astolfi, M. L., Pigini, D., Tranfo, G., Canepari, S., Pietroiusti, A., D’Alessandro, I., & Sisto, R. (2021). Oxidative Stress Biomarkers in Urine of Metal Carpentry Workers Can Be Diagnostic for Occupational Exposure to Low Level of Welding Fumes from Associated Metals. Cancers, 13(13), 3167. https://doi.org/10.3390/cancers13133167
 
         
                                                





 
                         
       