MRI Radiomics for Predicting Survival in Patients with Locally Advanced Hypopharyngeal Cancer Treated with Concurrent Chemoradiotherapy
Abstract
Simple Summary
Abstract
1. Introduction
2. Materials and Methods
2.1. Study Patients
2.2. Follow-Up and Survival
2.3. MRI Acquisition Protocol and Radiomic Features Extraction
2.4. Model Construction and Data Analysis
2.4.1. Machine-Learning-Based Radiomic Model
2.4.2. Development of Clinical and Combined Radiomic–Clinical Models
2.4.3. Statistics
3. Results
3.1. Patient Characteristics
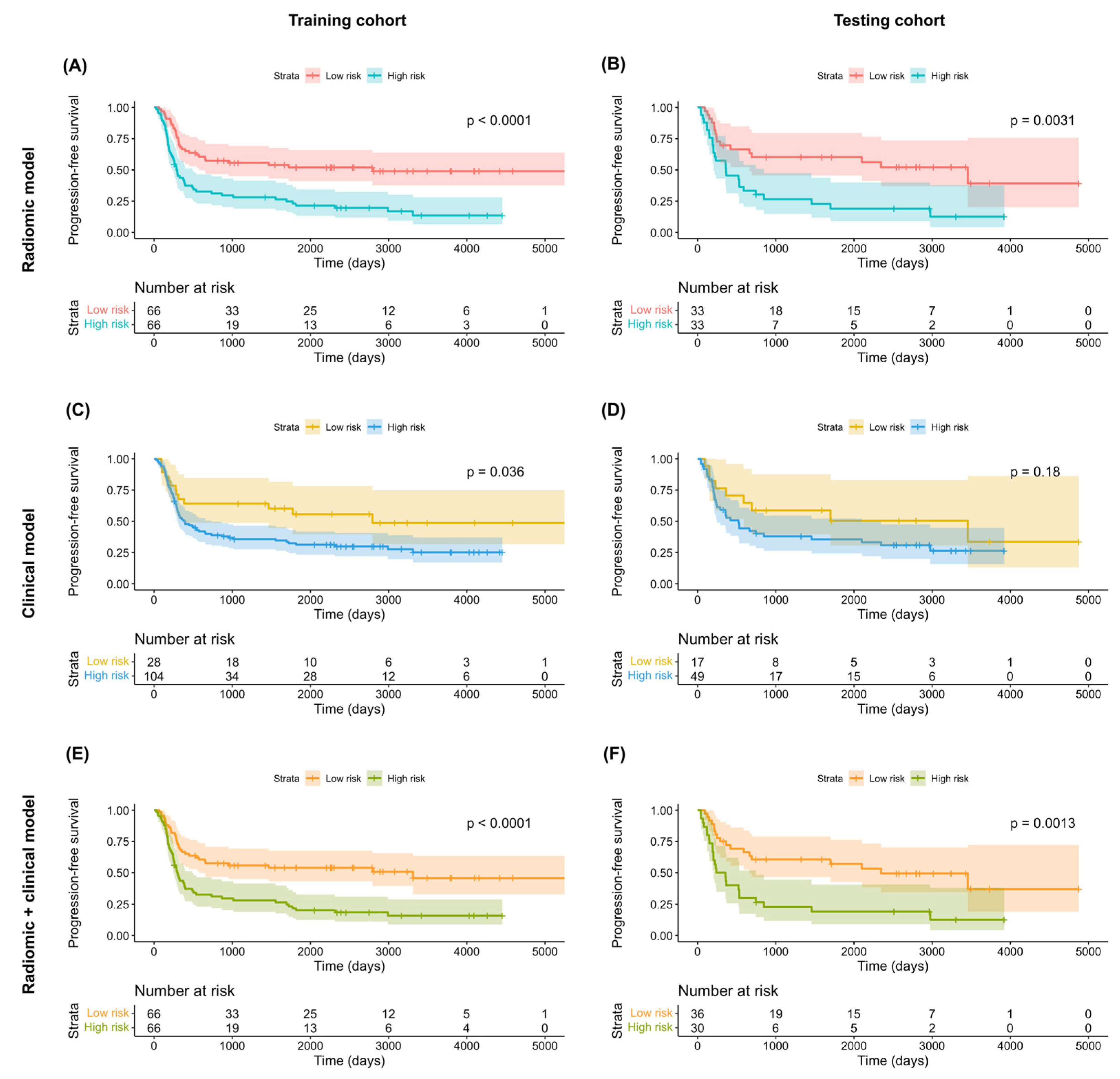
3.2. MRI Radiomic Models
3.3. Clinical Models
3.4. Combination of Radiomic and Clinical Models
3.5. Comparison of Model Performances
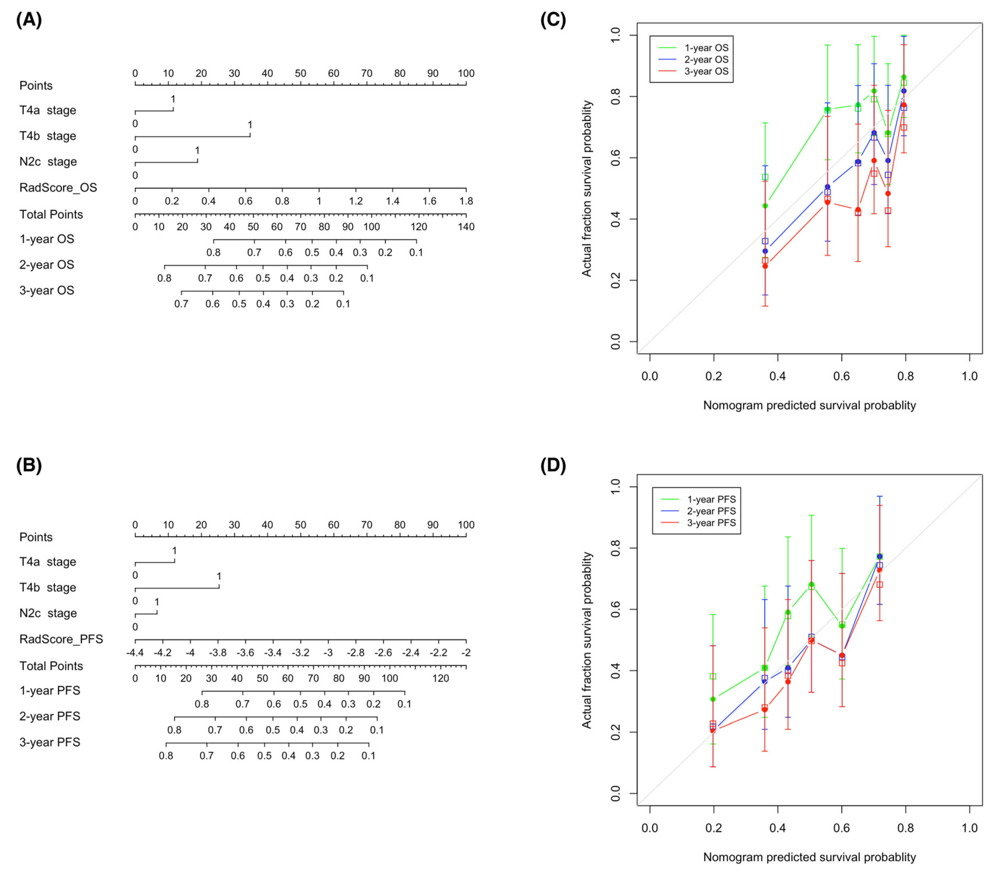
3.6. Construction of Nomograms from Radiomic–Clinical Models
4. Discussion
5. Conclusions
Author Contributions
Funding
Institutional Review Board Statement
Informed Consent Statement
Data Availability Statement
Conflicts of Interest
Glossary
| Abbreviation | Meaning |
| AIC | Akaike’s information criterion |
| AJCC | American Joint Committee on Cancer |
| CCRT | Concurrent chemoradiotherapy |
| CI | Confidence interval |
| CT | Computed tomography |
| HR | Hazard ratio |
| iAUC | Integrated area under the receiver operating characteristic curve: An integral of the product of area under the cumulative/dynamic time-dependent receiver operating characteristic curve and the probability density function of the time-to-event outcome |
| ICC | Intraclass correlation coefficient |
| LASSO | Least absolute shrinkage and selection operator: A penalized regression method commonly used in machine learning to select a subset of variables |
| MRI | Magnetic resonance imaging |
| OS | Overall survival: The interval between the date of initial pathologic diagnosis and the date of death or the end of follow-up |
| PFS | Progression-free survival: The interval between the date of initial pathologic diagnosis and the date of the first sign of progression, death, or time point of censoring |
Appendix A.1. Concurrent Chemoradiotherapy Protocol
Appendix A.2. Image Pre-Processing and Radiomic Features Extraction
Appendix A.3. Statistical Analysis in R
References
- Gatta, G.; Botta, L.; Sanchez, M.J.; Anderson, L.A.; Pierannunzio, D.; Licitra, L.; Group, E.W. Prognoses and improvement for head and neck cancers diagnosed in Europe in early 2000s: The EUROCARE-5 population-based study. Eur. J. Cancer 2015, 51, 2130–2143. [Google Scholar] [CrossRef] [PubMed]
- Buckley, J.G.; MacLennan, K. Cervical node metastases in laryngeal and hypopharyngeal cancer: A prospective analysis of prevalence and distribution. Head Neck 2000, 22, 380–385. [Google Scholar] [CrossRef]
- Kuo, P.; Chen, M.M.; Decker, R.H.; Yarbrough, W.G.; Judson, B.L. Hypopharyngeal cancer incidence, treatment, and survival: Temporal trends in the United States. Laryngoscope 2014, 124, 2064–2069. [Google Scholar] [CrossRef] [PubMed]
- Lefebvre, J.L.; Chevalier, D.; Luboinski, B.; Kirkpatrick, A.; Collette, L.; Sahmoud, T. Larynx preservation in pyriform sinus cancer: Preliminary results of a European Organization for Research and Treatment of Cancer phase III trial. EORTC Head and Neck Cancer Cooperative Group. J. Natl. Cancer Inst. 1996, 88, 890–899. [Google Scholar] [CrossRef] [PubMed]
- Hamoir, M.; Schmitz, S.; Suarez, C.; Strojan, P.; Hutcheson, K.A.; Rodrigo, J.P.; Mendenhall, W.M.; Simo, R.; Saba, N.F.; D’Cruz, A.K.; et al. The Current Role of Salvage Surgery in Recurrent Head and Neck Squamous Cell Carcinoma. Cancers 2018, 10, 267. [Google Scholar] [CrossRef]
- Pagh, A.; Grau, C.; Overgaard, J. Failure pattern and salvage treatment after radical treatment of head and neck cancer. Acta Oncol. 2016, 55, 625–632. [Google Scholar] [CrossRef]
- Matoscevic, K.; Graf, N.; Pezier, T.F.; Huber, G.F. Success of salvage treatment: A critical appraisal of salvage rates for different subsites of HNSCC. Otolaryngol. Head Neck Surg. 2014, 151, 454–461. [Google Scholar] [CrossRef]
- Wang, F.; Zhang, B.; Wu, X.; Liu, L.; Fang, J.; Chen, Q.; Li, M.; Chen, Z.; Li, Y.; Dong, D.; et al. Radiomic Nomogram Improves Preoperative T Category Accuracy in Locally Advanced Laryngeal Carcinoma. Front. Oncol. 2019, 9, 1064. [Google Scholar] [CrossRef]
- Ren, J.; Tian, J.; Yuan, Y.; Dong, D.; Li, X.; Shi, Y.; Tao, X. Magnetic resonance imaging based radiomics signature for the preoperative discrimination of stage I-II and III-IV head and neck squamous cell carcinoma. Eur. J. Radiol. 2018, 106, 1–6. [Google Scholar] [CrossRef]
- Romeo, V.; Cuocolo, R.; Ricciardi, C.; Ugga, L.; Cocozza, S.; Verde, F.; Stanzione, A.; Napolitano, V.; Russo, D.; Improta, G.; et al. Prediction of Tumor Grade and Nodal Status in Oropharyngeal and Oral Cavity Squamous-cell Carcinoma Using a Radiomic Approach. Anticancer Res. 2020, 40, 271–280. [Google Scholar] [CrossRef]
- Mukherjee, P.; Cintra, M.; Huang, C.; Zhou, M.; Zhu, S.; Colevas, A.D.; Fischbein, N.; Gevaert, O. CT-based Radiomic Signatures for Predicting Histopathologic Features in Head and Neck Squamous Cell Carcinoma. Radiol. Imaging Cancer 2020, 2, e190039. [Google Scholar] [CrossRef] [PubMed]
- Wu, W.; Ye, J.; Wang, Q.; Luo, J.; Xu, S. CT-Based Radiomics Signature for the Preoperative Discrimination Between Head and Neck Squamous Cell Carcinoma Grades. Front. Oncol. 2019, 9, 821. [Google Scholar] [CrossRef] [PubMed]
- Katsoulakis, E.; Yu, Y.; Apte, A.P.; Leeman, J.E.; Katabi, N.; Morris, L.; Deasy, J.O.; Chan, T.A.; Lee, N.Y.; Riaz, N.; et al. Radiomic analysis identifies tumor subtypes associated with distinct molecular and microenvironmental factors in head and neck squamous cell carcinoma. Oral Oncol. 2020, 110, 104877. [Google Scholar] [CrossRef] [PubMed]
- Pfister, D.G.; Spencer, S.; Adelstein, D.; Adkins, D.; Anzai, Y.; Brizel, D.M.; Bruce, J.Y.; Busse, P.M.; Caudell, J.J.; Cmelak, A.J.; et al. Head and Neck Cancers, Version 2.2020, NCCN Clinical Practice Guidelines in Oncology. J. Natl. Compr. Cancer Netw. 2020, 18, 873–898. [Google Scholar] [CrossRef] [PubMed]
- Zwanenburg, A.; Vallieres, M.; Abdalah, M.A.; Aerts, H.; Andrearczyk, V.; Apte, A.; Ashrafinia, S.; Bakas, S.; Beukinga, R.J.; Boellaard, R.; et al. The Image Biomarker Standardization Initiative: Standardized Quantitative Radiomics for High-Throughput Image-based Phenotyping. Radiology 2020, 295, 328–338. [Google Scholar] [CrossRef]
- Chambless, L.E.; Diao, G. Estimation of time-dependent area under the ROC curve for long-term risk prediction. Stat. Med. 2006, 25, 3474–3486. [Google Scholar] [CrossRef]
- Chen, J.; Lu, S.; Mao, Y.; Tan, L.; Li, G.; Gao, Y.; Tan, P.; Huang, D.; Zhang, X.; Qiu, Y.; et al. An MRI-based radiomics-clinical nomogram for the overall survival prediction in patients with hypopharyngeal squamous cell carcinoma: A multi-cohort study. Eur. Radiol. 2022, 32, 1548–1557. [Google Scholar] [CrossRef]
- Viallard, C.; Larrivee, B. Tumor angiogenesis and vascular normalization: Alternative therapeutic targets. Angiogenesis 2017, 20, 409–426. [Google Scholar] [CrossRef]
- Kyzas, P.A.; Cunha, I.W.; Ioannidis, J.P. Prognostic significance of vascular endothelial growth factor immunohistochemical expression in head and neck squamous cell carcinoma: A meta-analysis. Clin. Cancer Res. 2005, 11, 1434–1440. [Google Scholar] [CrossRef]
- Smith, B.D.; Smith, G.L.; Carter, D.; Sasaki, C.T.; Haffty, B.G. Prognostic significance of vascular endothelial growth factor protein levels in oral and oropharyngeal squamous cell carcinoma. J. Clin. Oncol. 2000, 18, 2046–2052. [Google Scholar] [CrossRef]
- Mineta, H.; Miura, K.; Ogino, T.; Takebayashi, S.; Misawa, K.; Ueda, Y.; Suzuki, I.; Dictor, M.; Borg, A.; Wennerberg, J. Prognostic value of vascular endothelial growth factor (VEGF) in head and neck squamous cell carcinomas. Br. J. Cancer 2000, 83, 775–781. [Google Scholar] [CrossRef] [PubMed]
- Mo, X.; Wu, X.; Dong, D.; Guo, B.; Liang, C.; Luo, X.; Zhang, B.; Zhang, L.; Dong, Y.; Lian, Z.; et al. Prognostic value of the radiomics-based model in progression-free survival of hypopharyngeal cancer treated with chemoradiation. Eur. Radiol. 2020, 30, 833–843. [Google Scholar] [CrossRef] [PubMed]
- Liu, X.; Long, M.; Sun, C.; Yang, Y.; Lin, P.; Shen, Z.; Xia, S.; Shen, W. CT-based radiomics signature analysis for evaluation of response to induction chemotherapy and progression-free survival in locally advanced hypopharyngeal carcinoma. Eur. Radiol. 2022, 32, 7755–7766. [Google Scholar] [CrossRef] [PubMed]
- Li, W.; Wei, D.; Wushouer, A.; Cao, S.; Zhao, T.; Yu, D.; Lei, D. Discovery and Validation of a CT-Based Radiomic Signature for Preoperative Prediction of Early Recurrence in Hypopharyngeal Carcinoma. Biomed Res. Int. 2020, 2020, 4340521. [Google Scholar] [CrossRef]
- Aerts, H.J.; Velazquez, E.R.; Leijenaar, R.T.; Parmar, C.; Grossmann, P.; Carvalho, S.; Bussink, J.; Monshouwer, R.; Haibe-Kains, B.; Rietveld, D.; et al. Decoding tumour phenotype by noninvasive imaging using a quantitative radiomics approach. Nat. Commun. 2014, 5, 4006. [Google Scholar] [CrossRef]
- Leijenaar, R.T.; Carvalho, S.; Hoebers, F.J.; Aerts, H.J.; van Elmpt, W.J.; Huang, S.H.; Chan, B.; Waldron, J.N.; O’Sullivan, B.; Lambin, P. External validation of a prognostic CT-based radiomic signature in oropharyngeal squamous cell carcinoma. Acta Oncol. 2015, 54, 1423–1429. [Google Scholar] [CrossRef]
- Dang, M.; Lysack, J.T.; Wu, T.; Matthews, T.W.; Chandarana, S.P.; Brockton, N.T.; Bose, P.; Bansal, G.; Cheng, H.; Mitchell, J.R.; et al. MRI texture analysis predicts p53 status in head and neck squamous cell carcinoma. AJNR Am. J. Neuroradiol. 2015, 36, 166–170. [Google Scholar] [CrossRef]
- Zanoni, D.K.; Patel, S.G.; Shah, J.P. Changes in the 8th Edition of the American Joint Committee on Cancer (AJCC) Staging of Head and Neck Cancer: Rationale and Implications. Curr. Oncol. Rep. 2019, 21, 52. [Google Scholar] [CrossRef]
- Dixon, L.; Garcez, K.; Lee, L.W.; Sykes, A.; Slevin, N.; Thomson, D. Ninety Day Mortality After Radical Radiotherapy for Head and Neck Cancer. Clin. Oncol. 2017, 29, 835–840. [Google Scholar] [CrossRef]
- Schlumpf, M.; Fischer, C.; Naehrig, D.; Rochlitz, C.; Buess, M. Results of concurrent radio-chemotherapy for the treatment of head and neck squamous cell carcinoma in everyday clinical practice with special reference to early mortality. BMC Cancer 2013, 13, 610. [Google Scholar] [CrossRef]
- Chang, P.H.; Yeh, K.Y.; Huang, J.S.; Lai, C.H.; Wu, T.H.; Lan, Y.J.; Tsai, J.C.; Chen, E.Y.; Yang, S.W.; Wang, C.H. Pretreatment performance status and nutrition are associated with early mortality of locally advanced head and neck cancer patients undergoing concurrent chemoradiation. Eur. Arch. Otorhinolaryngol. 2013, 270, 1909–1915. [Google Scholar] [CrossRef] [PubMed]
- Capuano, G.; Grosso, A.; Gentile, P.C.; Battista, M.; Bianciardi, F.; Di Palma, A.; Pavese, I.; Satta, F.; Tosti, M.; Palladino, A.; et al. Influence of weight loss on outcomes in patients with head and neck cancer undergoing concomitant chemoradiotherapy. Head Neck 2008, 30, 503–508. [Google Scholar] [CrossRef] [PubMed]
- Xue, C.; Yuan, J.; Lo, G.G.; Chang, A.T.Y.; Poon, D.M.C.; Wong, O.L.; Zhou, Y.; Chu, W.C.W. Radiomics feature reliability assessed by intraclass correlation coefficient: A systematic review. Quant. Imaging Med. Surg. 2021, 11, 4431–4460. [Google Scholar] [CrossRef] [PubMed]
- Haarburger, C.; Muller-Franzes, G.; Weninger, L.; Kuhl, C.; Truhn, D.; Merhof, D. Radiomics feature reproducibility under inter-rater variability in segmentations of CT images. Sci. Rep. 2020, 10, 12688. [Google Scholar] [CrossRef]
- Bologna, M.; Corino, V.; Mainardi, L. Technical Note: Virtual phantom analyses for preprocessing evaluation and detection of a robust feature set for MRI-radiomics of the brain. Med. Phys. 2019, 46, 5116–5123. [Google Scholar] [CrossRef]
- Cattell, R.; Chen, S.; Huang, C. Robustness of radiomic features in magnetic resonance imaging: Review and a phantom study. Vis. Comput. Ind. Biomed. Art 2019, 2, 19. [Google Scholar] [CrossRef]
- Baessler, B.; Weiss, K.; Pinto Dos Santos, D. Robustness and Reproducibility of Radiomics in Magnetic Resonance Imaging: A Phantom Study. Investig. Radiol. 2019, 54, 221–228. [Google Scholar] [CrossRef]
- Yang, F.; Dogan, N.; Stoyanova, R.; Ford, J.C. Evaluation of radiomic texture feature error due to MRI acquisition and reconstruction: A simulation study utilizing ground truth. Phys. Med. 2018, 50, 26–36. [Google Scholar] [CrossRef]






| Variable | Training Cohort | Testing Cohort | p † |
|---|---|---|---|
| Number of patients | 132 | 66 | |
| Median (IQR) overall survival, days | 891 (317.3–2351.8) | 851 (380.3–2599.5) | 0.91 ‡ |
| Number of deaths | 74 (56.06) | 37 (56.06) | |
| Median (IQR) progression-free survival, days | 467.5 (216.3–2294.3) | 560.5 (208.3–2553.5) | 0.96 ‡ |
| Number of patients with progressive disease | 86 (65.15) | 43 (65.15) | |
| Median (IQR) age, years | 51.6 (46.3–60.4) | 53.1 (48.5–58.4) | 0.59 |
| Sex | 0.80 | ||
| Male | 127 (96.21) | 63 (95.45) | |
| Female | 5 (3.79) | 3 (4.55) | |
| Clinical stage T | 0.17 | ||
| T3 | 28 (21.21) | 17 (25.76) | |
| T4a | 98 (74.24) | 42 (63.64) | |
| T4b | 6 (4.55) | 7 (10.61) | |
| Clinical stage N | 0.29 | ||
| N0 | 24 (18.18) | 10 (15.15) | |
| N1 | 18 (13.64) | 4 (6.06) | |
| N2a | 0 (0.00) | 0 (0.00) | |
| N2b | 49 (37.12) | 31 (46.97) | |
| N2c | 17 (12.88) | 12 (18.18) | |
| N3 | 24 (18.18) | 9 (13.64) | |
| Overall stage | 0.98 | ||
| Stage III | 9 (6.82) | 4 (6.06) | |
| Stage IVA | 96 (72.73) | 48 (72.73) | |
| Stage IVB | 27 (20.45) | 14 (21.21) | |
| Tumor differentiation | 0.33 | ||
| Well differentiated | 2 (1.52) | 1 (1.52) | |
| Moderately differentiated | 66 (50.00) | 42 (63.64) | |
| Poorly differentiated | 18 (13.64) | 7 (10.61) | |
| Unknown | 46 (34.85) | 16 (24.24) |
| Survival Outcome and Radiomic Features | Coefficient |
|---|---|
| Overall survival | |
| f1: log.sigma.1.5.mm.3D_firstorder_90Percentile | 8.3852 × 10−1 |
| f2: log.sigma.1.mm.3D_firstorder_Energy | 1.0157 × 104 |
| f3: log.sigma.1.mm.3D_firstorder_TotalEnergy | 5.1365 × 10−19 |
| f4: wavelet-LHL_glszm_SizeZoneNonUniformity | 1.8947 × 10−4 |
| Progression-free survival | |
| f’1: log.sigma.1.5.mm.3D_firstorder_90Percentile | 4.8540 × 100 |
| f’2: log.sigma.1.5.mm.3D_glcm_SumEntropy | −2.2024 × 10−1 |
| f’3: log.sigma.1.mm.3D_firstorder_Energy | 5.3927 × 10−5 |
| f’4: log.sigma.2.mm.3D_glcm_SumEntropy | −3.9874 × 10−1 |
| f’5: log.sigma.2.mm.3D_ngtdm_Busyness | 2.7371 × 10−1 |
| f’6: original_glszm_SmallAreaEmphasis | −1.8426 × 100 |
| f’7: wavelet-LHH_glszm_SizeZoneNonUniformityNormalized | −7.4020 × 10−2 |
| f’8: wavelet-LHL_glszm_SizeZoneNonUniformity | 1.7324 ×10−5 |
| f’9: wavelet-LLL_glcm_Imc1 | −2.8368 × 100 |
| Overall Survival | Progression-Free Survival | |||||
|---|---|---|---|---|---|---|
| HR | 95% CI | p Value | HR | 95% CI | p Value | |
| Radiomic Model | ||||||
| RadScore | 3.97 | 1.54–10.21 | 0.004 | 2.39 | 1.18–4.87 | 0.02 |
| Clinical Model | ||||||
| T4a stage | 1.23 | 0.55–2.78 | 0.62 | 1.52 | 0.70–3.26 | 0.29 |
| T4b stage | 1.33 | 0.40–4.45 | 0.64 | 1.44 | 0.48–4.32 | 0.52 |
| N2c stage | 2.54 | 1.21–5.33 | 0.01 | 1.93 | 0.96–3.90 | 0.07 |
| Combined Radiomic–Clinical Model | ||||||
| RadScore | 2.99 | 0.95–9.44 | 0.06 | 2.09 | 0.99–4.42 | 0.05 |
| T4a stage | 1.06 | 0.46–2.44 | 0.88 | 1.36 | 0.62–2.96 | 0.44 |
| T4b stage | 0.84 | 0.22–3.24 | 0.80 | 1.03 | 0.32–3.33 | 0.97 |
| N2c stage | 1.92 | 0.84–4.37 | 0.12 | 1.69 | 0.59–0.82 | 0.15 |
| Survival Outcome | Model Type | iAUC (95% CI) |
|---|---|---|
| Overall survival | ||
| Model 1a | Radiomic model | 0.580 (0.558–0.591) |
| Model 1b | Clinical model | 0.392 (0.322–0.447) |
| Model 1c | Combined radiomic–clinical model | 0.671 (0.637–0.693) |
| Progression-free survival | ||
| Model 2a | Radiomic model | 0.625 (0.600–0.633) |
| Model 2b | Clinical model | 0.381 (0.308–0.433) |
| Model 2c | Combined radiomic–clinical model | 0.675 (0.641–0.687) |
| Survival Outcome | Model 1 | Model 2 | iAUC Difference (95% CI) | p Value |
|---|---|---|---|---|
| Overall survival | Radiomic model | Clinical model | 0.188 (0.127–0.251) | <0.001 |
| Combined radiomic–clinical model | Clinical model | 0.279 (0.225–0.334) | <0.001 | |
| Combined radiomic–clinical model | Radiomic model | 0.091 (0.074–0.108) | <0.001 | |
| Progression-free survival | Radiomic model | Clinical model | 0.244 (0.181–0.307) | <0.001 |
| Combined radiomic–clinical model | Clinical model | 0.293 (0.232–0.351) | <0.001 | |
| Combined radiomic–clinical model | Radiomic model | 0.049 (0.038–0.059) | <0.001 |
Publisher’s Note: MDPI stays neutral with regard to jurisdictional claims in published maps and institutional affiliations. |
© 2022 by the authors. Licensee MDPI, Basel, Switzerland. This article is an open access article distributed under the terms and conditions of the Creative Commons Attribution (CC BY) license (https://creativecommons.org/licenses/by/4.0/).
Share and Cite
Siow, T.Y.; Yeh, C.-H.; Lin, G.; Lin, C.-Y.; Wang, H.-M.; Liao, C.-T.; Toh, C.-H.; Chan, S.-C.; Lin, C.-P.; Ng, S.-H. MRI Radiomics for Predicting Survival in Patients with Locally Advanced Hypopharyngeal Cancer Treated with Concurrent Chemoradiotherapy. Cancers 2022, 14, 6119. https://doi.org/10.3390/cancers14246119
Siow TY, Yeh C-H, Lin G, Lin C-Y, Wang H-M, Liao C-T, Toh C-H, Chan S-C, Lin C-P, Ng S-H. MRI Radiomics for Predicting Survival in Patients with Locally Advanced Hypopharyngeal Cancer Treated with Concurrent Chemoradiotherapy. Cancers. 2022; 14(24):6119. https://doi.org/10.3390/cancers14246119
Chicago/Turabian StyleSiow, Tiing Yee, Chih-Hua Yeh, Gigin Lin, Chien-Yu Lin, Hung-Ming Wang, Chun-Ta Liao, Cheng-Hong Toh, Sheng-Chieh Chan, Ching-Po Lin, and Shu-Hang Ng. 2022. "MRI Radiomics for Predicting Survival in Patients with Locally Advanced Hypopharyngeal Cancer Treated with Concurrent Chemoradiotherapy" Cancers 14, no. 24: 6119. https://doi.org/10.3390/cancers14246119
APA StyleSiow, T. Y., Yeh, C.-H., Lin, G., Lin, C.-Y., Wang, H.-M., Liao, C.-T., Toh, C.-H., Chan, S.-C., Lin, C.-P., & Ng, S.-H. (2022). MRI Radiomics for Predicting Survival in Patients with Locally Advanced Hypopharyngeal Cancer Treated with Concurrent Chemoradiotherapy. Cancers, 14(24), 6119. https://doi.org/10.3390/cancers14246119

