Radiation Dose of Contrast-Enhanced Mammography: A Two-Center Prospective Comparison
Abstract
:Simple Summary
Abstract
1. Introduction
2. Materials and Methods
2.1. Study Population
2.2. Technical Comparison of Contrast-Enhanced Mammography Units
2.3. Clinical Dose Comparison and Statistical Analysis
3. Results
3.1. Study Population
3.2. Technical Comparison of Contrast-Enhanced Mammography Units
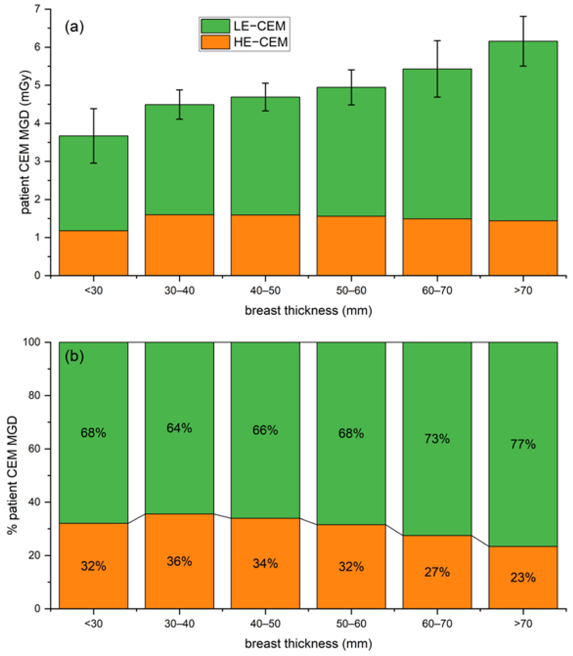
3.3. Clinical Dose Comparison
4. Discussion
5. Conclusions
Author Contributions
Funding
Institutional Review Board Statement
Informed Consent Statement
Data Availability Statement
Conflicts of Interest
References
- Ghaderi, K.F.; Phillips, J.; Perry, H.; Lotfi, P.; Mehta, T.S. Contrast-enhanced Mammography: Current Applications and Future Directions. RadioGraphics 2019, 39, 1907–1920. [Google Scholar] [CrossRef] [PubMed]
- Zanardo, M.; Cozzi, A.; Trimboli, R.M.; Labaj, O.; Monti, C.B.; Schiaffino, S.; Carbonaro, L.A.; Sardanelli, F. Technique, protocols and adverse reactions for contrast-enhanced spectral mammography (CESM): A systematic review. Insights Imaging 2019, 10, 76. [Google Scholar] [CrossRef] [PubMed]
- Sensakovic, W.F.; Carnahan, M.B.; Czaplicki, C.D.; Fahrenholtz, S.; Panda, A.; Zhou, Y.; Pavlicek, W.; Patel, B. Contrast-enhanced Mammography: How Does It Work? RadioGraphics 2021, 41, 829–839. [Google Scholar] [CrossRef] [PubMed]
- Francescone, M.A.; Jochelson, M.S.; Dershaw, D.D.; Sung, J.S.; Hughes, M.C.; Zheng, J.; Moskowitz, C.; Morris, E.A. Low energy mammogram obtained in contrast-enhanced digital mammography (CEDM) is comparable to routine full-field digital mammography (FFDM). Eur. J. Radiol. 2014, 83, 1350–1355. [Google Scholar] [CrossRef]
- Skarpathiotakis, M.; Yaffe, M.J.; Bloomquist, A.K.; Rico, D.; Muller, S.; Rick, A.; Jeunehomme, F. Development of contrast digital mammography. Med. Phys. 2002, 29, 2419–2426. [Google Scholar] [CrossRef]
- Cozzi, A.; Schiaffino, S.; Sardanelli, F. The emerging role of contrast-enhanced mammography. Quant. Imaging Med. Surg. 2019, 9, 2012–2018. [Google Scholar] [CrossRef] [PubMed]
- Jochelson, M.S.; Lobbes, M.B.I. Contrast-enhanced Mammography: State of the Art. Radiology 2021, 299, 36–48. [Google Scholar] [CrossRef]
- Cozzi, A.; Magni, V.; Zanardo, M.; Schiaffino, S.; Sardanelli, F. Contrast-enhanced Mammography: A Systematic Review and Meta-Analysis of Diagnostic Performance. Radiology 2022, 302, 568–581. [Google Scholar] [CrossRef] [PubMed]
- Jeukens, C.R.L.P.N.; Lalji, U.C.; Meijer, E.; Bakija, B.; Theunissen, R.; Wildberger, J.E.; Lobbes, M.B.I. Radiation Exposure of Contrast-Enhanced Spectral Mammography Compared with Full-Field Digital Mammography. Investig. Radiol. 2014, 49, 659–665. [Google Scholar] [CrossRef] [PubMed]
- James, J.R.; Pavlicek, W.; Hanson, J.A.; Boltz, T.F.; Patel, B.K. Breast Radiation Dose with CESM Compared With 2D FFDM and 3D Tomosynthesis Mammography. Am. J. Roentgenol. 2017, 208, 362–372. [Google Scholar] [CrossRef]
- Phillips, J.; Mihai, G.; Hassonjee, S.E.; Raj, S.D.; Palmer, M.R.; Brook, A.; Zhang, D. Comparative Dose of Contrast-Enhanced Spectral Mammography (CESM), Digital Mammography, and Digital Breast Tomosynthesis. Am. J. Roentgenol. 2018, 211, 839–846. [Google Scholar] [CrossRef] [PubMed]
- Sorin, V.; Yagil, Y.; Yosepovich, A.; Shalmon, A.; Gotlieb, M.; Neiman, O.H.; Sklair-Levy, M. Contrast-Enhanced Spectral Mammography in Women with Intermediate Breast Cancer Risk and Dense Breasts. Am. J. Roentgenol. 2018, 211, W267–W274. [Google Scholar] [CrossRef] [PubMed]
- Kim, G.; Phillips, J.; Cole, E.; Brook, A.; Mehta, T.; Slanetz, P.; Fishman, M.D.C.; Karimova, E.; Mehta, R.; Lotfi, P.; et al. Comparison of Contrast-Enhanced Mammography with Conventional Digital Mammography in Breast Cancer Screening: A Pilot Study. J. Am. Coll. Radiol. 2019, 16, 1456–1463. [Google Scholar] [CrossRef] [PubMed]
- Sung, J.S.; Lebron, L.; Keating, D.; D’Alessio, D.; Comstock, C.E.; Lee, C.H.; Pike, M.C.; Ayhan, M.; Moskowitz, C.S.; Morris, E.A.; et al. Performance of Dual-Energy Contrast-enhanced Digital Mammography for Screening Women at Increased Risk of Breast Cancer. Radiology 2019, 293, 81–88. [Google Scholar] [CrossRef]
- Gluskin, J.; Rossi Saccarelli, C.; Avendano, D.; Marino, M.A.; Bitencourt, A.G.V.; Pilewskie, M.; Sevilimedu, V.; Sung, J.S.; Pinker, K.; Jochelson, M.S. Contrast-Enhanced Mammography for Screening Women after Breast Conserving Surgery. Cancers 2020, 12, 3495. [Google Scholar] [CrossRef] [PubMed]
- Hogan, M.P.; Amir, T.; Sevilimedu, V.; Sung, J.; Morris, E.A.; Jochelson, M.S. Contrast-Enhanced Digital Mammography Screening for Intermediate-Risk Women with a History of Lobular Neoplasia. Am. J. Roentgenol. 2021, 216, 1486–1491. [Google Scholar] [CrossRef] [PubMed]
- Covington, M.F. Contrast-Enhanced Mammography Implementation, Performance, and Use for Supplemental Breast Cancer Screening. Radiol. Clin. N. Am. 2021, 59, 113–128. [Google Scholar] [CrossRef] [PubMed]
- Gennaro, G.; Avramova-Cholakova, S.; Azzalini, A.; Luisa Chapel, M.; Chevalier, M.; Ciraj, O.; de las Heras, H.; Gershan, V.; Hemdal, B.; Keavey, E.; et al. Quality Controls in Digital Mammography protocol of the EFOMP Mammo Working group. Phys. Medica 2018, 48, 55–64. [Google Scholar] [CrossRef] [PubMed]
- Rueden, C.T.; Schindelin, J.; Hiner, M.C.; DeZonia, B.E.; Walter, A.E.; Arena, E.T.; Eliceiri, K.W. ImageJ2: ImageJ for the next generation of scientific image data. BMC Bioinform. 2017, 18, 529. [Google Scholar] [CrossRef]
- Bouwman, R.; Young, K.; Lazzari, B.; Ravaglia, V.; Broeders, M.; van Engen, R. An alternative method for noise analysis using pixel variance as part of quality control procedures on digital mammography systems. Phys. Med. Biol. 2009, 54, 6809–6822. [Google Scholar] [CrossRef]
- Gennaro, G.; Hill, M.L.; Bezzon, E.; Caumo, F. Quantitative Breast Density in Contrast-Enhanced Mammography. J. Clin. Med. 2021, 10, 3309. [Google Scholar] [CrossRef]
- Dance, D.R.; Young, K.C. Estimation of mean glandular dose for contrast enhanced digital mammography: Factors for use with the UK, European and IAEA breast dosimetry protocols. Phys. Med. Biol. 2014, 59, 2127–2137. [Google Scholar] [CrossRef] [Green Version]
- Gennaro, G.; Bigolaro, S.; Hill, M.L.; Stramare, R.; Caumo, F. Accuracy of mammography dosimetry in the era of the European Directive 2013/59/Euratom transposition. Eur. J. Radiol. 2020, 127, 108986. [Google Scholar] [CrossRef] [PubMed]
- Lalji, U.C.; Jeukens, C.R.L.P.N.; Houben, I.; Nelemans, P.J.; van Engen, R.E.; van Wylick, E.; Beets-Tan, R.G.H.; Wildberger, J.E.; Paulis, L.E.; Lobbes, M.B.I. Evaluation of low-energy contrast-enhanced spectral mammography images by comparing them to full-field digital mammography using EUREF image quality criteria. Eur. Radiol. 2015, 25, 2813–2820. [Google Scholar] [CrossRef] [PubMed]
- Hendrick, R.E. Radiation Doses and Risks in Breast Screening. J. Breast Imaging 2020, 2, 188–200. [Google Scholar] [CrossRef]
- Dromain, C.; Thibault, F.; Diekmann, F.; Fallenberg, E.M.; Jong, R.A.; Koomen, M.; Hendrick, R.E.; Tardivon, A.; Toledano, A. Dual-energy contrast-enhanced digital mammography: Initial clinical results of a multireader, multicase study. Breast Cancer Res. 2012, 14, R94. [Google Scholar] [CrossRef] [PubMed] [Green Version]
- Gennaro, G.; Bernardi, D.; Houssami, N. Radiation dose with digital breast tomosynthesis compared to digital mammography: Per-view analysis. Eur. Radiol. 2018, 28, 573–581. [Google Scholar] [CrossRef]
- Gao, Y.; Moy, L.; Heller, S.L. Digital Breast Tomosynthesis: Update on Technology, Evidence, and Clinical Practice. RadioGraphics 2021, 41, 321–337. [Google Scholar] [CrossRef]
- Bicchierai, G.; Busoni, S.; Tortoli, P.; Bettarini, S.; Di Naro, F.; De Benedetto, D.; Savi, E.; Bellini, C.; Miele, V.; Nori, J. Single Center Evaluation of Comparative Breast Radiation dose of Contrast Enhanced Digital Mammography (CEDM), Digital Mammography (DM) and Digital Breast Tomosynthesis (DBT). Acad. Radiol. 2022. [Google Scholar] [CrossRef]
- Sogani, J.; Mango, V.L.; Keating, D.; Sung, J.S.; Jochelson, M.S. Contrast-enhanced mammography: Past, present, and future. Clin. Imaging 2021, 69, 269–279. [Google Scholar] [CrossRef]
- Pijpe, A.; Andrieu, N.; Easton, D.F.; Kesminiene, A.; Cardis, E.; Nogues, C.; Gauthier-Villars, M.; Lasset, C.; Fricker, J.-P.; Peock, S.; et al. Exposure to diagnostic radiation and risk of breast cancer among carriers of BRCA1/2 mutations: Retrospective cohort study (GENE-RAD-RISK). BMJ 2012, 345, e5660. [Google Scholar] [CrossRef] [PubMed] [Green Version]






| Variables | Center 1 | Center 2 | p Value | |
|---|---|---|---|---|
| Demographics | Number of women | 228 | 120 | - |
| Women age: mean ± SD | 51 ± 9 years | 59 ± 10 years | <0.001 | |
| Breast cancer risk | High a | 172/228 (75.4%) | Data not available | - |
| Intermediate b | 56/228 (24.6%) | Data not available | - | |
| Breast density | Non-dense c | 51/228 (22.4%) | 66/120 (55.0%) | <0.001 |
| Dense d | 177/228 (77.6%) | 54/120 (45.0%) | <0.001 | |
| X-Ray Beam | Tube Output a (µGy/mAs) | HVL b (mmAl) | ||||
|---|---|---|---|---|---|---|
| Center 1 (Mean ± SD) | Center 2 (Mean ± SD) | Relative Difference(%) | Center 1 (Mean ± SD) | Center 2 (Mean ± SD) | Relative Difference(%) | |
| Mo/Mo@26kVp (LE) | 72.3 ± 0.0 | 69.7 ± 0.0 | 3.7 | 0.34 ± 0.0 | 0.35 ± 0.0 | 2.9 |
| Mo/Cu@49kVp (HE) | 6.9 ± 0.0 | 6.6 ± 0.0 | 4.4 | 3.38 ± 0.0 | 3.38 ± 0.0 | 0.0 |
| Rh/Ag@34kVp (LE) | 123.4 ± 0.0 | 117.8 ± 0.0 | 4.6 | 0.54 ± 0.0 | 0.56 ± 0.0 | 3.6 |
| Rh/Cu@49kVp (HE) | 7.7 ± 0.0 | 7.4 ± 0.0 | 4.0 | 3.31 ± 0.0 | 3.31 ± 0.0 | 0.0 |
| PMMA Thickness (mm) | LE-ED Relative Difference (%) | HE-ED Relative Difference (%) | LE-CNR Relative Difference (%) | HE-CNR Relative Difference (%) |
|---|---|---|---|---|
| 20 | 4.2 | 5.9 | 0.7 | 0.0 |
| 25 | 5.6 | 6.7 | 1.1 | 1.1 |
| 30 | 5.9 | 6.4 | 0.9 | 0.3 |
| 35 | 5.1 | 5.5 | 1.2 | 0.2 |
| 40 | 4.2 | 5.5 | 1.5 | 0.8 |
| 45 | 5.8 | 4.8 | 0.4 | 0.3 |
| 50 | 4.7 | 5.1 | 0.7 | 0.9 |
| 55 | 5.0 | 4.9 | 1.3 | 1.2 |
| 60 | 4.1 | 5.1 | 1.9 | 0.7 |
| 65 | 3.7 | 5.0 | 0.7 | 0.4 |
| 70 | 4.1 | 5.1 | 0.4 | 0.4 |
| Average | 4.8 | 5.5 | 0.7 | 0.3 |
| Parameter | Center 1 | Center 2 | Median Difference | p Value |
|---|---|---|---|---|
| Median (IQR) | Median (IQR) | (95% CI) | ||
| Total MGD (mGy) | 2.33 (2.19–2.51) | 2.46 (2.32–2.70) | 0.15 (0.13–0.19) | <0.001 |
| LE-MGD (mGy) | 1.52 (1.39–1.73) | 1.69 (1.54–1.99) | 0.18 (0.15–0.21) | <0.001 |
| HE-MGD (mGy) | 0.79 (0.75–0.82) | 0.75 (0.70–0.79) | −0.03 (−0.04–−0.02) | <0.001 |
| LE-ED (mGy) | 4.37 (3.60–5.68) | 5.18 (4.24–7.01) | 0.78 (0.60–0.97) | <0.001 |
| HE ED (mGy) | 0.86 (0.83–0.90) | 0.93 (0.90–0.98) | 0.07 (0.066–0.080) | <0.001 |
| Breast thickness (mm) | 47.2 (37.5–57.6) | 54.2 (45.8–64.2) | 7.2 (5.6–8.8) | <0.001 |
| Compression force (N) | 106 (90–122) | 54 (40–75) | −49 (−51–−46) | <0.001 |
| VBD (%) | 13.2 (7.8–20.3) | 7.1 (4.4–11.6) | −5.2 (−3.0–−4.4) | <0.001 |
Publisher’s Note: MDPI stays neutral with regard to jurisdictional claims in published maps and institutional affiliations. |
© 2022 by the authors. Licensee MDPI, Basel, Switzerland. This article is an open access article distributed under the terms and conditions of the Creative Commons Attribution (CC BY) license (https://creativecommons.org/licenses/by/4.0/).
Share and Cite
Gennaro, G.; Cozzi, A.; Schiaffino, S.; Sardanelli, F.; Caumo, F. Radiation Dose of Contrast-Enhanced Mammography: A Two-Center Prospective Comparison. Cancers 2022, 14, 1774. https://doi.org/10.3390/cancers14071774
Gennaro G, Cozzi A, Schiaffino S, Sardanelli F, Caumo F. Radiation Dose of Contrast-Enhanced Mammography: A Two-Center Prospective Comparison. Cancers. 2022; 14(7):1774. https://doi.org/10.3390/cancers14071774
Chicago/Turabian StyleGennaro, Gisella, Andrea Cozzi, Simone Schiaffino, Francesco Sardanelli, and Francesca Caumo. 2022. "Radiation Dose of Contrast-Enhanced Mammography: A Two-Center Prospective Comparison" Cancers 14, no. 7: 1774. https://doi.org/10.3390/cancers14071774
APA StyleGennaro, G., Cozzi, A., Schiaffino, S., Sardanelli, F., & Caumo, F. (2022). Radiation Dose of Contrast-Enhanced Mammography: A Two-Center Prospective Comparison. Cancers, 14(7), 1774. https://doi.org/10.3390/cancers14071774

