Ability of 18F-FDG Positron Emission Tomography Radiomics and Machine Learning in Predicting KRAS Mutation Status in Therapy-Naive Lung Adenocarcinoma
Abstract
Simple Summary
Abstract
1. Introduction
2. Method and Materials
2.1. Patients Selection
2.2. Detection of KRAS Mutation
2.3. Image Acquisition
2.4. Tumour Segmentation and Radiomic Features Extraction
2.5. Feature Selection
2.6. Predictive Model Building and Evaluation
2.7. Statistical Analysis
3. Results
3.1. Clinicopathological Variables in Different Groups
3.2. Feature Selection and Model Establishment
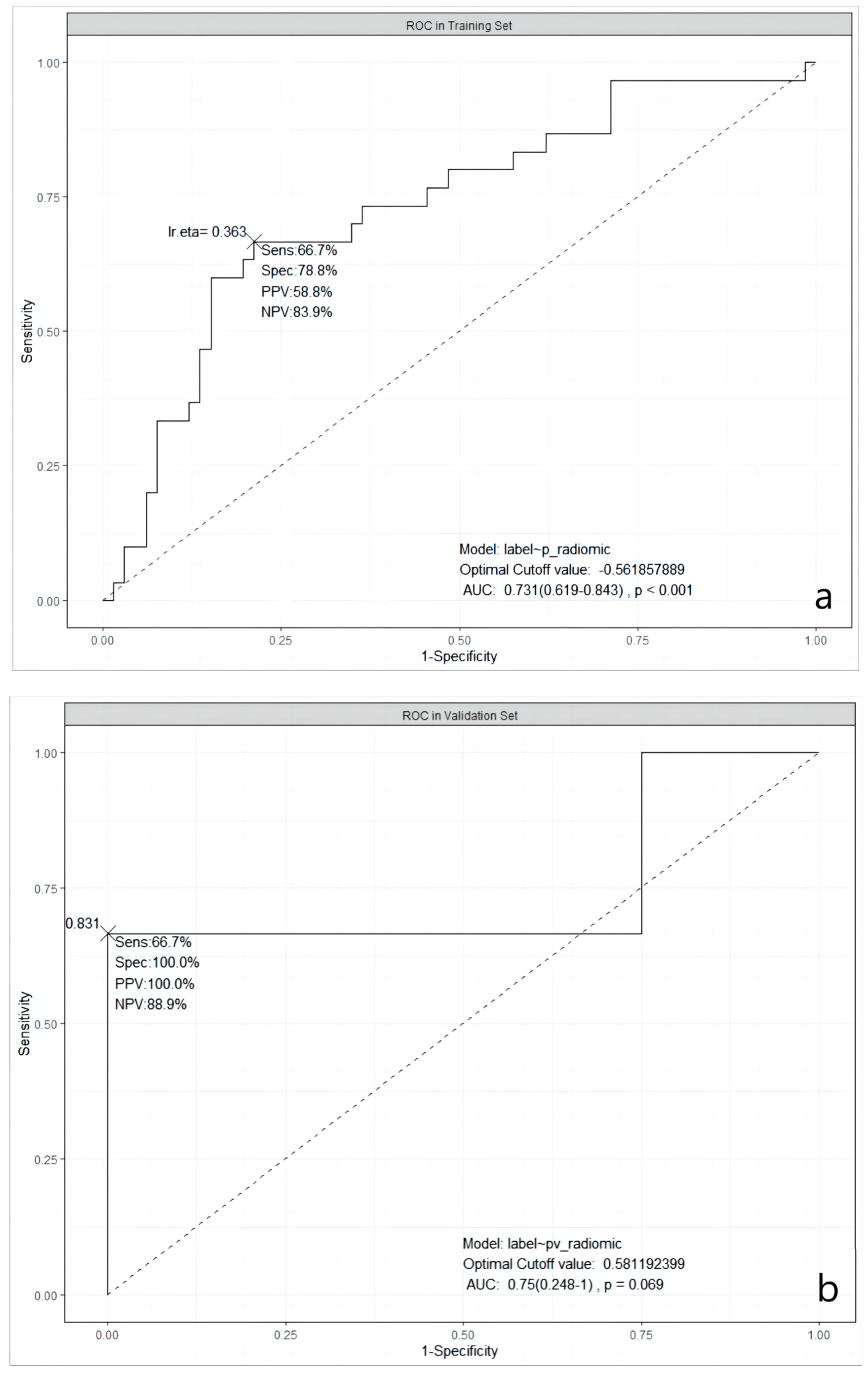
3.3. Model Comparison and Selection
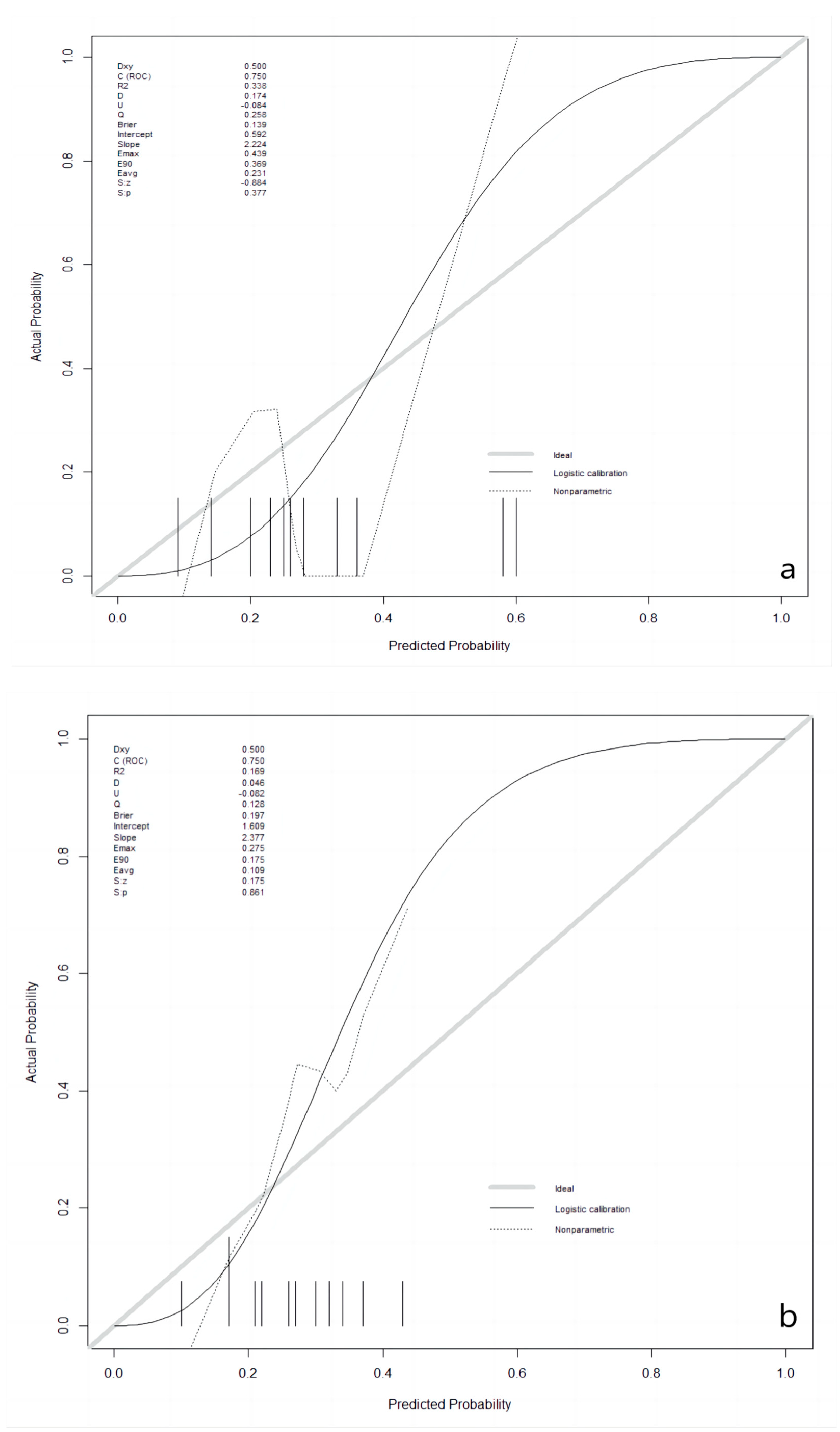
3.4. Calibration Plots in Validation and Testing Groups
3.5. Decision Curve Analysis of the Best Model
3.6. Nomogram of the Best Prediction Model
4. Discussion
5. Conclusions
Author Contributions
Funding
Institutional Review Board Statement
Informed Consent Statement
Data Availability Statement
Acknowledgments
Conflicts of Interest
References
- Sung, H.; Ferlay, J.; Siegel, R.L.; Laversanne, M.; Soerjomataram, I.; Jemal, A.; Bray, F. Global Cancer Statistics 2020: GLOBOCAN Estimates of Incidence and Mortality Worldwide for 36 Cancers in 185 Countries. CA A Cancer J. Clin. 2021, 71, 209–249. [Google Scholar] [CrossRef] [PubMed]
- Baselga, J.; Averbuch, S.D. ZD1839 (‘Iressa’) as an anticancer agent. Drugs 2000, 60 (Suppl. 1), 33–40; discussion 1–2. [Google Scholar] [CrossRef] [PubMed]
- Novello, S.; Mazières, J.; Oh, I.J.; de Castro, J.; Migliorino, M.R.; Helland, Å.; Dziadziuszko, R.; Griesinger, F.; Kotb, A.; Zeaiter, A.; et al. Alectinib versus chemotherapy in crizotinib-pretreated anaplastic lymphoma kinase (ALK)-positive non-small-cell lung cancer: Results from the phase III ALUR study. Ann. Oncol. Off. J. Eur. Soc. Med. Oncol. 2018, 29, 1409–1416. [Google Scholar] [CrossRef] [PubMed]
- Mok, T.S.; Wu, Y.L.; Ahn, M.J.; Garassino, M.C.; Kim, H.R.; Ramalingam, S.S.; Shepherd, F.A.; He, Y.; Akamatsu, H.; Theelen, W.S.; et al. Osimertinib or Platinum-Pemetrexed in EGFR T790M-Positive Lung Cancer. N. Engl. J. Med. 2017, 376, 629–640. [Google Scholar] [CrossRef]
- Shaw, A.T.; Riely, G.J.; Bang, Y.J.; Kim, D.W.; Camidge, D.R.; Solomon, B.J.; Varella-Garcia, M.; Iafrate, A.J.; Shapiro, G.I.; Usari, T.; et al. Crizotinib in ROS1-rearranged advanced non-small-cell lung cancer (NSCLC): Updated results, including overall survival, from PROFILE 1001. Ann. Oncol. Off. J. Eur. Soc. Med. Oncol. 2019, 30, 1121–1126. [Google Scholar] [CrossRef]
- Dearden, S.; Stevens, J.; Wu, Y.L.; Blowers, D. Mutation incidence and coincidence in non small-cell lung cancer: Meta-analyses by ethnicity and histology (mutMap). Ann. Oncol. Off. J. Eur. Soc. Med. Oncol. 2013, 24, 2371–2376. [Google Scholar] [CrossRef]
- Caicedo, C.; Garcia-Velloso, M.J.; Lozano, M.D.; Labiano, T.; Vigil Diaz, C.; Lopez-Picazo, J.M.; Gurpide, A.; Zulueta, J.J.; Richter Echevarria, J.A.; Perez Gracia, J.L. Role of [¹⁸F]FDG PET in prediction of KRAS and EGFR mutation status in patients with advanced non-small-cell lung cancer. Eur. J. Nucl. Med. Mol. Imaging 2014, 41, 2058–2065. [Google Scholar] [CrossRef]
- Wu, X.; Huang, Y.; Li, Y.; Wang, Q.; Wang, H.; Jiang, L. (18)F-FDG PET/CT imaging in pulmonary sarcomatoid carcinoma and correlation with clinical and genetic findings. Ann. Nucl. Med. 2019, 33, 647–656. [Google Scholar] [CrossRef]
- Skoulidis, F.; Li, B.T.; Dy, G.K.; Price, T.J.; Falchook, G.S.; Wolf, J.; Italiano, A.; Schuler, M.; Borghaei, H.; Barlesi, F.; et al. Sotorasib for Lung Cancers with KRAS p.G12C Mutation. N. Engl. J. Med. 2021, 384, 2371–2381. [Google Scholar] [CrossRef]
- Hallin, J.; Engstrom, L.D.; Hargis, L.; Calinisan, A.; Aranda, R.; Briere, D.M.; Sudhakar, N.; Bowcut, V.; Baer, B.R.; Ballard, J.A.; et al. The KRAS(G12C) Inhibitor MRTX849 Provides Insight toward Therapeutic Susceptibility of KRAS-Mutant Cancers in Mouse Models and Patients. Cancer Discov. 2020, 10, 54–71. [Google Scholar] [CrossRef]
- Wu, M.Y.; Zhang, E.W.; Strickland, M.R.; Mendoza, D.P.; Lipkin, L.; Lennerz, J.K.; Gainor, J.F.; Heist, R.S.; Digumarthy, S.R. Clinical and Imaging Features of Non-Small Cell Lung Cancer with G12C KRAS Mutation. Cancers 2021, 13, 3572. [Google Scholar] [CrossRef]
- Tian, Y.; Feng, J.; Jiang, L.; Ning, J.; Gu, Z.; Huang, J.; Luo, Q. Integration of clinicopathological and mutational data offers insight into lung cancer with tumor spread through air spaces. Ann. Transl. Med. 2021, 9, 985. [Google Scholar] [CrossRef] [PubMed]
- Si, X.; Pan, R.; Ma, S.; Li, L.; Liang, L.; Zhang, P.; Chu, Y.; Wang, H.; Wang, M.; Zhang, X.; et al. Genomic characteristics of driver genes in Chinese patients with non-small cell lung cancer. Thorac. Cancer 2021, 12, 357–363. [Google Scholar] [CrossRef] [PubMed]
- Liu, Y.; Li, H.; Zhu, J.; Zhang, Y.; Liu, X.; Li, R.; Zhang, Q.; Cheng, Y. The Prevalence and Concurrent Pathogenic Mutations of KRAS (G12C) in Northeast Chinese Non-small-cell Lung Cancer Patients. Cancer Manag. Res. 2021, 13, 2447–2454. [Google Scholar] [CrossRef] [PubMed]
- Wang, S.; Qu, X.; Cao, L.; Hu, X.; Hou, K.; Liu, Y.; Che, X. Assessment of Nine Driver Gene Mutations in Surgically Resected Samples from Patients with Non-Small-Cell Lung Cancer. Cancer Manag. Res. 2020, 12, 4029–4038. [Google Scholar] [CrossRef] [PubMed]
- Ogawa, K.; Koh, Y.; Kaneda, H.; Izumi, M.; Matsumoto, Y.; Sawa, K.; Fukui, M.; Taniguchi, Y.; Yoshimoto, N.; Tamiya, A.; et al. Can smoking duration alone replace pack-years to predict the risk of smoking-related oncogenic mutations in non-small cell lung cancer? A cross-sectional study in Japan. BMJ Open 2020, 10, e035615. [Google Scholar] [CrossRef]
- Ma, Z.; Zhang, Y.; Deng, C.; Fu, F.; Deng, L.; Li, Y.; Chen, H. The prognostic value of Kirsten rat sarcoma viral oncogene homolog mutations in resected lung adenocarcinoma differs according to clinical features. J. Thorac. Cardiovasc. Surg. 2020, 163, e73–e85. [Google Scholar] [CrossRef]
- Chen, S.W.; Chiang, H.C.; Chen, W.T.; Hsieh, T.C.; Yen, K.Y.; Chiang, S.F.; Kao, C.H. Correlation between PET/CT parameters and KRAS expression in colorectal cancer. Clin. Nucl. Med. 2014, 39, 685–689. [Google Scholar] [CrossRef]
- Lovinfosse, P.; Koopmansch, B.; Lambert, F.; Jodogne, S.; Kustermans, G.; Hatt, M.; Visvikis, D.; Seidel, L.; Polus, M.; Albert, A.; et al. (18)F-FDG PET/CT imaging in rectal cancer: Relationship with the RAS mutational status. Br. J. Radiol. 2016, 89, 20160212. [Google Scholar] [CrossRef]
- Chen, S.W.; Shen, W.C.; Chen, W.T.; Hsieh, T.C.; Yen, K.Y.; Chang, J.G.; Kao, C.H. Metabolic Imaging Phenotype Using Radiomics of [(18)F]FDG PET/CT Associated with Genetic Alterations of Colorectal Cancer. Mol. Imaging Biol. 2019, 21, 183–190. [Google Scholar] [CrossRef]
- He, P.; Zou, Y.; Qiu, J.; Yang, T.; Peng, L.; Zhang, X. Pretreatment (18)F-FDG PET/CT Imaging Predicts the KRAS/NRAS/BRAF Gene Mutational Status in Colorectal Cancer. J. Oncol. 2021, 2021, 6687291. [Google Scholar] [CrossRef] [PubMed]
- Lim, C.H.; Cho, Y.S.; Choi, J.Y.; Lee, K.H.; Lee, J.K.; Min, J.H.; Hyun, S.H. Imaging phenotype using (18)F-fluorodeoxyglucose positron emission tomography-based radiomics and genetic alterations of pancreatic ductal adenocarcinoma. Eur. J. Nucl. Med. Mol. Imaging 2020, 47, 2113–2122. [Google Scholar] [CrossRef] [PubMed]
- Minamimoto, R.; Jamali, M.; Gevaert, O.; Echegaray, S.; Khuong, A.; Hoang, C.D.; Shrager, J.B.; Plevritis, S.K.; Rubin, D.L.; Leung, A.N.; et al. Prediction of EGFR and KRAS mutation in non-small cell lung cancer using quantitative (18)F FDG-PET/CT metrics. Oncotarget 2017, 8, 52792–52801. [Google Scholar] [CrossRef] [PubMed]
- Yip, S.S.; Kim, J.; Coroller, T.P.; Parmar, C.; Velazquez, E.R.; Huynh, E.; Mak, R.H.; Aerts, H.J. Associations Between Somatic Mutations and Metabolic Imaging Phenotypes in Non-Small Cell Lung Cancer. J. Nucl. Med. Off. Publ. Soc. Nucl. Med. 2017, 58, 569–576. [Google Scholar] [CrossRef]
- Shiri, I.; Maleki, H.; Hajianfar, G.; Abdollahi, H.; Ashrafinia, S.; Hatt, M.; Zaidi, H.; Oveisi, M.; Rahmim, A. Next-Generation Radiogenomics Sequencing for Prediction of EGFR and KRAS Mutation Status in NSCLC Patients Using Multimodal Imaging and Machine Learning Algorithms. Mol. Imaging Biol. 2020, 22, 1132–1148. [Google Scholar] [CrossRef]
- Lambin, P.; Rios-Velazquez, E.; Leijenaar, R.; Carvalho, S.; van Stiphout, R.G.; Granton, P.; Zegers, C.M.; Gillies, R.; Boellard, R.; Dekker, A.; et al. Radiomics: Extracting more information from medical images using advanced feature analysis. Eur. J. Cancer 2012, 48, 441–446. [Google Scholar] [CrossRef]
- Rios Velazquez, E.; Parmar, C.; Liu, Y.; Coroller, T.P.; Cruz, G.; Stringfield, O.; Ye, Z.; Makrigiorgos, M.; Fennessy, F.; Mak, R.H.; et al. Somatic Mutations Drive Distinct Imaging Phenotypes in Lung Cancer. Cancer Res. 2017, 77, 3922–3930. [Google Scholar] [CrossRef]
- Moreno, S.; Bonfante, M.; Zurek, E.; Cherezov, D.; Goldgof, D.; Hall, L.; Schabath, M. A Radiogenomics Ensemble to Predict EGFR and KRAS Mutations in NSCLC. Tomogr 2021, 7, 14. [Google Scholar] [CrossRef]
- Zhang, T.; Xu, Z.; Liu, G.; Jiang, B.; de Bock, G.H.; Groen, H.J.M.; Vliegenthart, R.; Xie, X. Simultaneous Identification of EGFR, KRAS, ERBB2, and TP53 Mutations in Patients with Non-Small Cell Lung Cancer by Machine Learning-Derived Three-Dimensional Radiomics. Cancers 2021, 13, 1814. [Google Scholar] [CrossRef]
- Bakr, S.; Gevaert, O.; Echegaray, S.; Ayers, K.; Zhou, M.; Shafiq, M.; Zheng, H.; Benson, J.A.; Zhang, W.; Leung, A.N.C.; et al. A radiogenomic dataset of non-small cell lung cancer. Sci. Data 2018, 5, 180202. [Google Scholar] [CrossRef]
- Brooun, A.; Zhang, J.; Li, C.; Lam, R.; Cheng, H.; Shoemaker, R.; Daly, J.; Olaharski, A. The pharmacologic and toxicologic characterization of the potent and selective KRAS G12D inhibitors ERAS-4693 and ERAS-5024. Toxicol. Appl. Pharmacol. 2023, 474, 116601. [Google Scholar] [CrossRef] [PubMed]
- Keats, M.; Han, J.J.W.; Lee, Y.H.; Lee, C.S.; Luo, J. A non-conserved histidine residue on KRAS drives paralog selectivity of the KRASG12D inhibitor MRTX1133. Cancer Res. 2023, CAN-23. [Google Scholar] [CrossRef] [PubMed]
- Yip, S.S.F.; Parmar, C.; Kim, J.; Huynh, E.; Mak, R.H.; Aerts, H. Impact of experimental design on PET radiomics in predicting somatic mutation status. Eur. J. Radiol. 2017, 97, 8–15. [Google Scholar] [CrossRef] [PubMed]
- Chawla, N.V.; Bowyer, K.W.; Hall, L.O.; Kegelmeyer, W.P. SMOTE: Synthetic minority over-sampling technique. J. Artif. Intell. Res. 2002, 16, 321–357. [Google Scholar] [CrossRef]






| Characteristics | Training Set | p | Validation Set | p | Testing Set | p | |||
|---|---|---|---|---|---|---|---|---|---|
| KRAS (−) | KRAS (+) | KRAS (−) | KRAS (+) | KRAS (−) | KRAS (+) | ||||
| n = 66 | n = 30 | n = 8 | n = 3 | n = 8 | n = 4 | ||||
| Age, n (%) | 0.826 | 1.000 | 0.491 | ||||||
| ≤69 | 34 (52%) | 14 (47%) | 4 (50%) | 2 (67%) | 5 (63%) | 4 (100%) | |||
| >69 | 32 (48%) | 16 (53%) | 4 (50%) | 1 (33%) | 3 (38%) | 0 (0%) | |||
| Gender, n (%) | 1.000 | 1.000 | 0.546 | ||||||
| male | 36 (55%) | 17 (57%) | 6 (75%) | 3 (100%) | 3 (38%) | 3 (75%) | |||
| female | 30 (45%) | 13 (43%) | 2 (25%) | 0 (0%) | 5 (63%) | 1 (25%) | |||
| Smoking History, n (%) | 0.042 | 0.491 | 0.491 | ||||||
| no | 21 (32%) | 3 (10%) | 3 (38%) | 0 (0%) | 3 (38%) | 0 (0%) | |||
| yes | 45 (68%) | 27 (90%) | 5 (63%) | 3 (100%) | 5 (63%) | 4 (100%) | |||
| Pleural Invasion, n (%) | 0.397 | 1.000 | 1.000 | ||||||
| no | 49 (74%) | 19 (63%) | 6 (75%) | 2 (67%) | 5 (63%) | 2 (50%) | |||
| yes | 17 (26%) | 11 (37%) | 2 (25%) | 1 (33%) | 3 (38%) | 2 (50%) | |||
| Diameter, n (%) | 0.048 | 1.000 | 1.000 | ||||||
| ≤18.05 | 38 (58%) | 10 (33%) | 4 (50%) | 1 (33%) | 4 (50%) | 2 (50%) | |||
| >18.05 | 28 (42%) | 20 (67%) | 4 (50%) | 2 (67%) | 4 (50%) | 2 (50%) | |||
| Groups | Models | AUC (95% CI) | Accuracy | Sensitivity | Specificity | PPV | NPV |
|---|---|---|---|---|---|---|---|
| Training Set | Model 1 | 0.682 (0.578, 0.785) | 0.667 | 0.600 | 0.697 | 0.474 | 0.793 |
| Model 2 | 0.731 (0.619, 0.843) | 0.750 | 0.667 | 0.788 | 0.588 | 0.839 | |
| Model 3 | 0.694 (0.576, 0.811) | 0.708 | 0.533 | 0.788 | 0.533 | 0.788 | |
| 5-fold CV | |||||||
| Model 1 | 0.672 | 0.915 | 0.091 | ||||
| Model 2 | 0.686 | 0.892 | 0.239 | ||||
| Model 3 | 0.655 | 0.929 | 0.206 | ||||
| Validation Set | Model 1 | 0.708 (0.408, 1.000) | 0.545 | 1.000 | 0.375 | 0.375 | 1.000 |
| Model 2 | 0.750 (0.248, 1.000) | 0.909 | 0.667 | 1.000 | 1.000 | 0.889 | |
| Model 3 | 0.667 (0.201, 1.000) | 0.727 | 0.667 | 0.750 | 0.500 | 0.857 | |
| Testing Set | Model 1 | 0.656 (0.355, 0.957) | 0.583 | 1.000 | 0.375 | 0.444 | 1.000 |
| Model 2 | 0.750 (0.448, 1.000) | 0.667 | 1.000 | 0.500 | 0.500 | 1.000 | |
| Model 3 | 0.688 (0.349, 1.000) | 0.583 | 1.000 | 0.375 | 0.444 | 1.000 |
Disclaimer/Publisher’s Note: The statements, opinions and data contained in all publications are solely those of the individual author(s) and contributor(s) and not of MDPI and/or the editor(s). MDPI and/or the editor(s) disclaim responsibility for any injury to people or property resulting from any ideas, methods, instructions or products referred to in the content. |
© 2023 by the authors. Licensee MDPI, Basel, Switzerland. This article is an open access article distributed under the terms and conditions of the Creative Commons Attribution (CC BY) license (https://creativecommons.org/licenses/by/4.0/).
Share and Cite
Zhang, R.; Shi, K.; Hohenforst-Schmidt, W.; Steppert, C.; Sziklavari, Z.; Schmidkonz, C.; Atzinger, A.; Hartmann, A.; Vieth, M.; Förster, S. Ability of 18F-FDG Positron Emission Tomography Radiomics and Machine Learning in Predicting KRAS Mutation Status in Therapy-Naive Lung Adenocarcinoma. Cancers 2023, 15, 3684. https://doi.org/10.3390/cancers15143684
Zhang R, Shi K, Hohenforst-Schmidt W, Steppert C, Sziklavari Z, Schmidkonz C, Atzinger A, Hartmann A, Vieth M, Förster S. Ability of 18F-FDG Positron Emission Tomography Radiomics and Machine Learning in Predicting KRAS Mutation Status in Therapy-Naive Lung Adenocarcinoma. Cancers. 2023; 15(14):3684. https://doi.org/10.3390/cancers15143684
Chicago/Turabian StyleZhang, Ruiyun, Kuangyu Shi, Wolfgang Hohenforst-Schmidt, Claus Steppert, Zsolt Sziklavari, Christian Schmidkonz, Armin Atzinger, Arndt Hartmann, Michael Vieth, and Stefan Förster. 2023. "Ability of 18F-FDG Positron Emission Tomography Radiomics and Machine Learning in Predicting KRAS Mutation Status in Therapy-Naive Lung Adenocarcinoma" Cancers 15, no. 14: 3684. https://doi.org/10.3390/cancers15143684
APA StyleZhang, R., Shi, K., Hohenforst-Schmidt, W., Steppert, C., Sziklavari, Z., Schmidkonz, C., Atzinger, A., Hartmann, A., Vieth, M., & Förster, S. (2023). Ability of 18F-FDG Positron Emission Tomography Radiomics and Machine Learning in Predicting KRAS Mutation Status in Therapy-Naive Lung Adenocarcinoma. Cancers, 15(14), 3684. https://doi.org/10.3390/cancers15143684
