Continuous Relationship of Operative Duration with Risk of Adverse Perioperative Outcomes and Early Discharge Undergoing Thoracoscopic Lung Cancer Surgery
Abstract
Simple Summary
Abstract
1. Introduction
2. Materials and Methods
2.1. Study Design and Patients
2.2. Anesthesia Protocol
2.3. Technique of Operation
2.4. Data Collection and APOs
2.5. Definition
2.6. Statistical Analysis
3. Results
3.1. Study Cohort
3.2. Incidence among Five Groups of APOs and Early Discharge
3.3. Adjusted Odds Radio (aOR) among Groups (vs. <60 min)
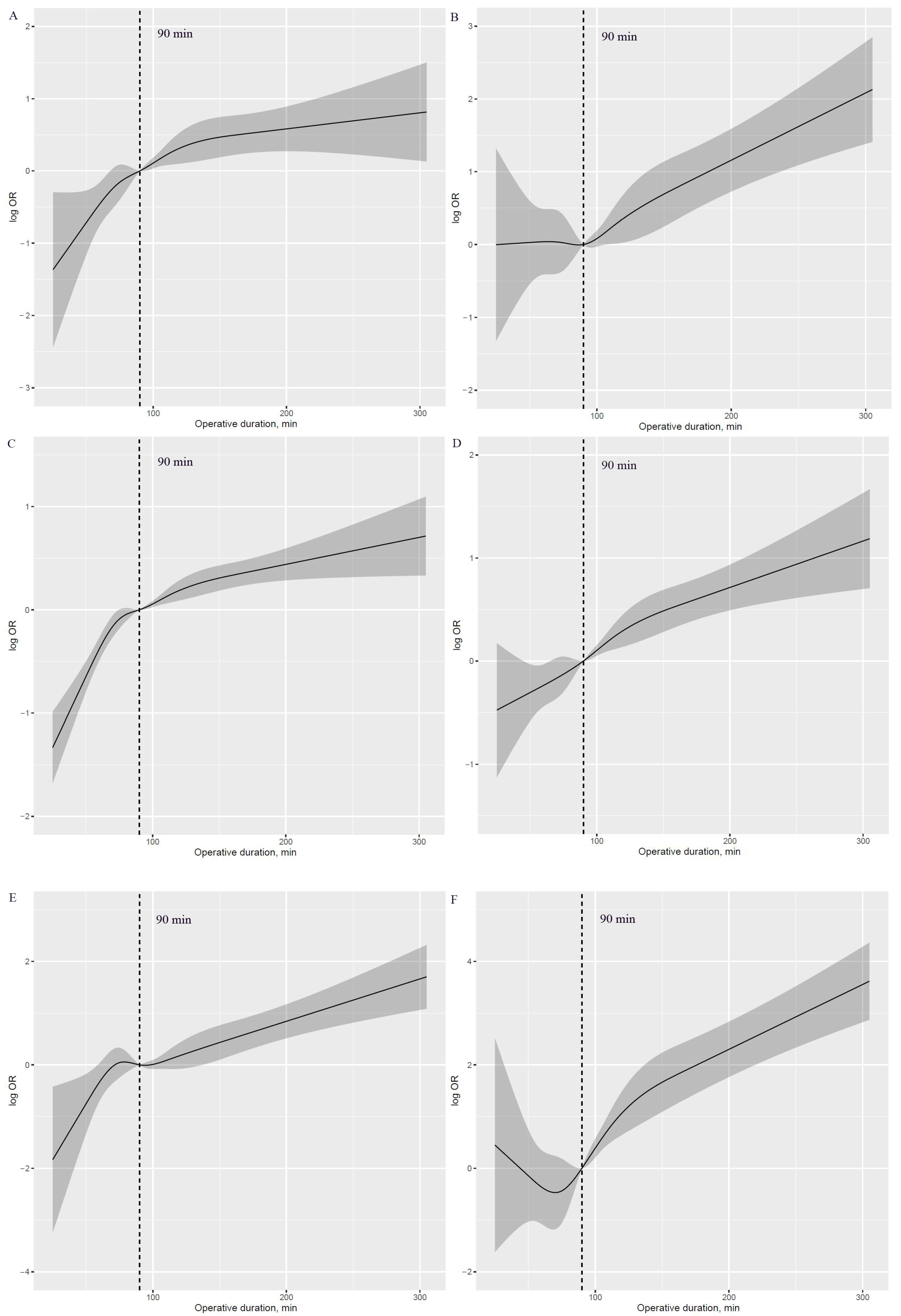
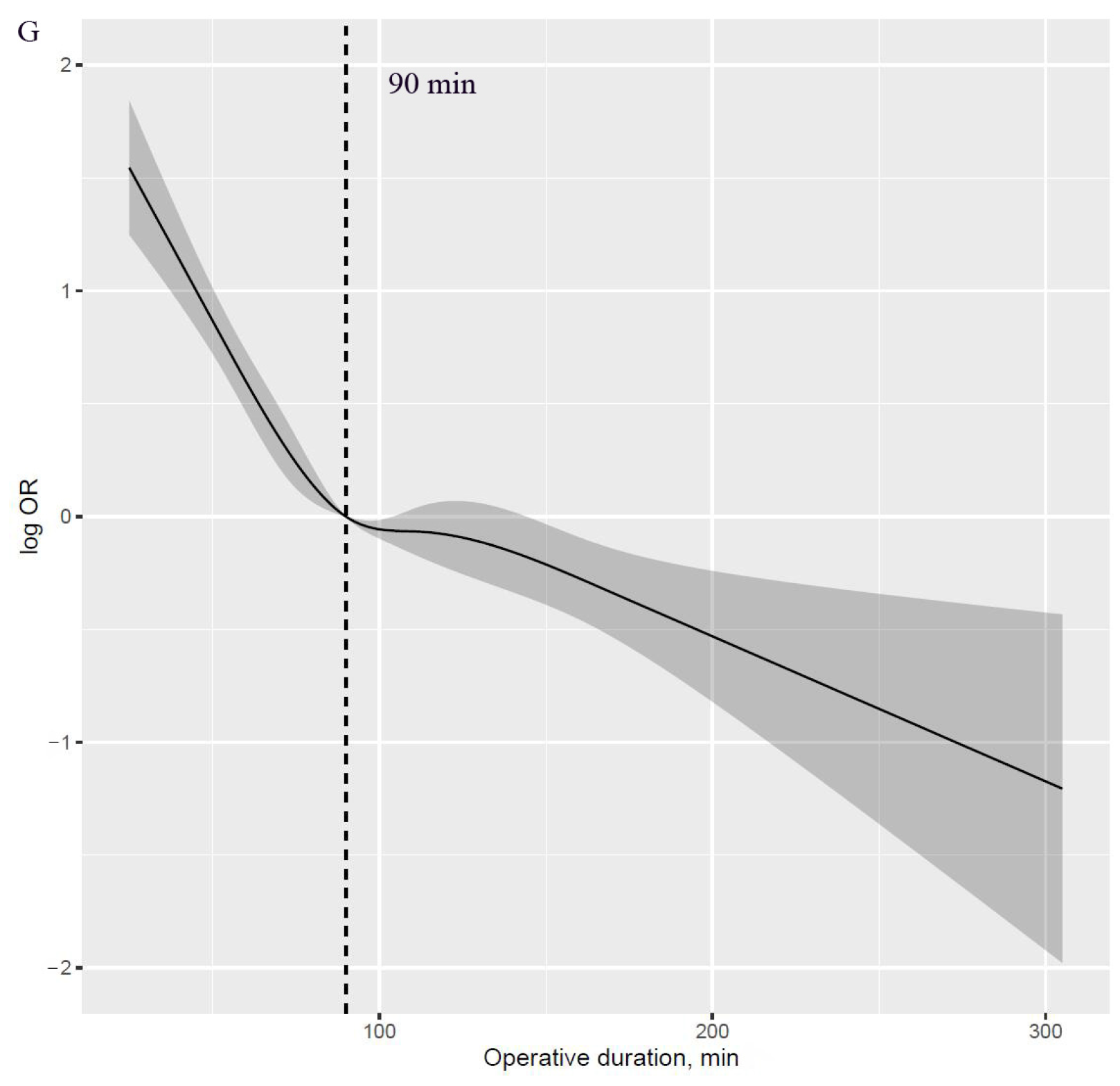
3.4. OR and Log OR Plot in APOs and Early Discharge
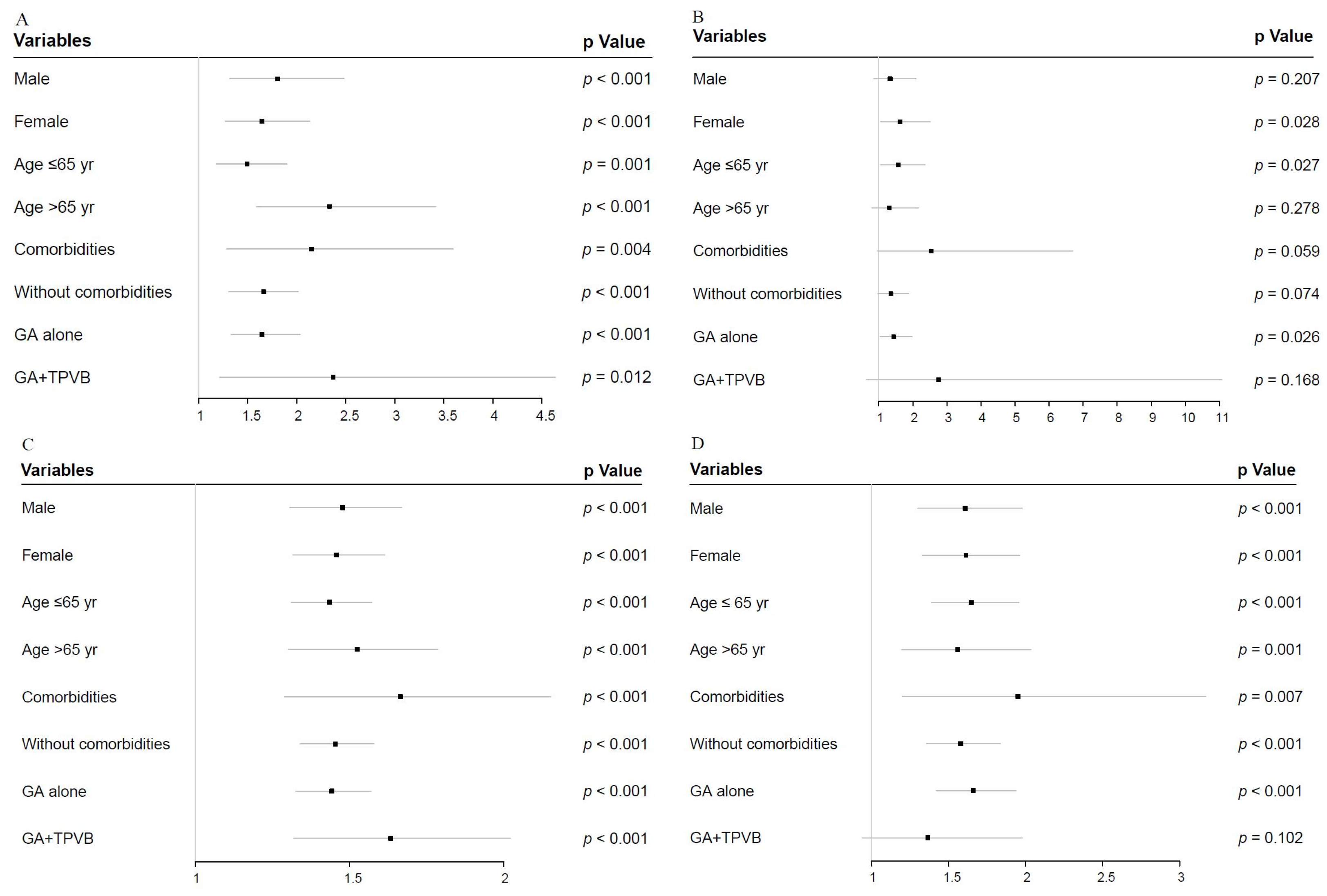
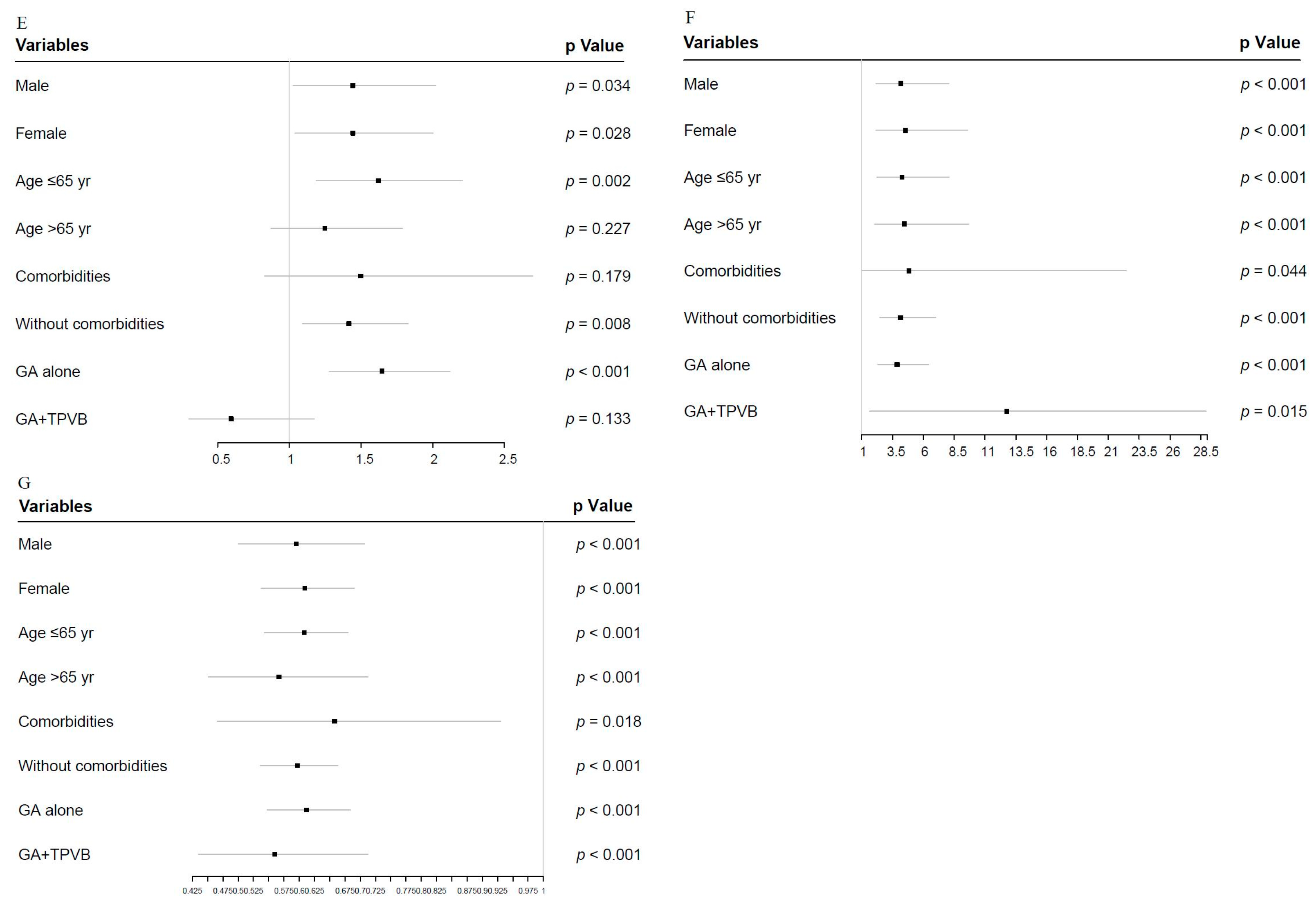
3.5. Forest Plot for APOs and Early Discharge in Sensitivity Analyses
4. Discussion
5. Strengths and Limitations
6. Conclusions
Supplementary Materials
Author Contributions
Funding
Institutional Review Board Statement
Informed Consent Statement
Data Availability Statement
Conflicts of Interest
References
- Falcoz, P.-E.; Puyraveau, M.; Thomas, P.; Decaluwe, H.; Hürtgen, M.; Petersen, R.H.; Hansen, H.; Brunelli, A.; Van Raemdonck, D.; Dahan, M.; et al. Video-assisted thoracoscopic surgery versus open lobectomy for primary non-small-cell lung cancer: A propensity-matched analysis of outcome from the European Society of Thoracic Surgeon database. Eur. J. Cardio-Thorac. Surg. 2015, 49, 602–609. [Google Scholar] [CrossRef] [PubMed]
- Xu, J.; He, T.; Wu, Y.; Cao, J.; Han, X.; Liu, L.; Fu, X.; Li, Y.; Li, X.; Xu, L.; et al. VATS Versus Open Lobectomy in Pathological T1 SCLC: A Multi-Center Retrospective Analysis. Clin. Lung Cancer 2021, 23, 170–176. [Google Scholar] [CrossRef] [PubMed]
- Yang CF, J.; Kumar, A.; Deng, J.Z.; Raman, V.; Lui, N.S.; D’Amico, T.A.; Berry, M.F. A National Analysis of Short-term Outcomes and Long-term Survival Following Thoracoscopic Versus Open Lobectomy for Clinical Stage II Non-Small-Cell Lung Cancer. Ann. Surg. 2021, 273, 595–605. [Google Scholar] [CrossRef] [PubMed]
- Sihoe, A.D.L. Video-assisted thoracoscopic surgery as the gold standard for lung cancer surgery. Respirology 2020, 25 (Suppl. 2), 49–60. [Google Scholar] [CrossRef]
- Campos, J.H.; Sharma, A. Predictors of Hypoxemia During One-Lung Ventilation in Thoracic Surgery: Is Oxygen Reserve Index (ORi) the Answer? J. Cardiothorac. Vasc. Anesth. 2020, 34, 423–425. [Google Scholar] [CrossRef]
- Tong, C.; Zhang, Q.; Liu, Y.; Xu, M.; Wu, J.; Cao, H. Risk factors and outcomes of intraoperative atrial fibrillation in patients undergoing thoracoscopic anatomic lung surgery. Ann. Transl. Med. 2021, 9, 543. [Google Scholar] [CrossRef]
- Vannucci, A.; Riordan, I.R.; Prifti, K.; Sebastiani, A.; Helsten, D.L.; Lander, D.P.; Kallogjeri, D.; Cavallone, L. Prolonged time to extubation after general anaesthesia is associated with early escalation of care: A retrospective observational study. Eur. J. Anaesthesiol. 2021, 38, 494–504. [Google Scholar] [CrossRef]
- Kaufmann, K.B.; Loop, T.; Heinrich, S.; Working Group of the German Thorax Registry. Risk factors for postoperative pulmonary complications in lung cancer patients after video-assisted thoracoscopic lung resection: Results of the German Thorax Registry. Acta Anaesthesiol. Scand. 2019, 63, 1009–1018. [Google Scholar] [CrossRef]
- Tane, S.; Nishikubo, M.; Kitazume, M.; Fujibayashi, Y.; Kimura, K.; Kitamura, Y.; Takenaka, D.; Nishio, W. Cluster analysis of emphysema for predicting pulmonary complications after thoracoscopic lobectomy. Eur. J. Cardio-Thorac. Surg. 2021, 60, 607–613. [Google Scholar] [CrossRef]
- Zhao, K.; Mei, J.; Xia, C.; Hu, B.; Li, H.; Li, W.; Liu, L. Prolonged air leak after video-assisted thoracic surgery lung cancer resection: Risk factors and its effect on postoperative clinical recovery. J. Thorac. Dis. 2017, 9, 1219–1225. [Google Scholar] [CrossRef]
- Jin, R.; Zheng, Y.; Gao, T.; Zhang, Y.; Wang, B.; Hang, J.; Li, H. A nomogram for preoperative prediction of prolonged air leak after pulmonary malignancy resection. Transl. Lung Cancer Res. 2021, 10, 3616–3626. [Google Scholar] [CrossRef]
- Skloot, G.S. The Effects of Aging on Lung Structure and Function. Clin. Geriatr. Med. 2017, 33, 447–457. [Google Scholar] [CrossRef] [PubMed]
- Lohser, J.; Slinger, P. Lung Injury After One-Lung Ventilation: A Review of the Pathophysiologic Mechanisms Affecting the Ventilated and the Collapsed Lung. Anesth. Analg. 2015, 121, 302–318. [Google Scholar] [CrossRef] [PubMed]
- Apfelbaum, J.L.; Chen, C.; Mehta, S.S.; Gan, T.J. Postoperative pain experience: Results from a national survey suggest postoperative pain continues to be undermanaged. Anesth. Analg. 2003, 97, 534–540. [Google Scholar] [CrossRef]
- Kwon, S.T.; Zhao, L.; Reddy, R.M.; Chang, A.C.; Orringer, M.B.; Brummett, C.M.; Lin, J. Evaluation of acute and chronic pain outcomes after robotic, video-assisted thoracoscopic surgery, or open anatomic pulmonary resection. J. Thorac. Cardiovasc. Surg. 2017, 154, 652–659.e1. [Google Scholar] [CrossRef] [PubMed]
- Mazo, V.; Sabaté, S.; Canet, J.; Gallart, L.; de Abreu, M.G.; Belda, J.; Langeron, O.; Hoeft, A.; Pelosi, P. Prospective external validation of a predictive score for postoperative pulmonary complications. Anesthesiology 2014, 121, 219–231. [Google Scholar] [CrossRef]
- Chudgar, N.P.; Yan, S.; Hsu, M.; Tan, K.S.; Gray, K.D.; Molena, D.; Nobel, T.; Adusumilli, P.S.; Bains, M.; Downey, R.J.; et al. Performance Comparison Between SURPAS and ACS NSQIP Surgical Risk Calculator in Pulmonary Resection. Ann. Thorac. Surg. 2021, 111, 1643–1651. [Google Scholar] [CrossRef]
- Tran, J.; Nimojan, T.; Saripella, A.; Tang-Wai, D.F.; Butris, N.; Kapoor, P.; Berezin, L.; Englesakis, M.; Chung, F. Rapid cognitive assessment tools for screening of mild cognitive impairment in the preoperative setting: A systematic review and meta-analysis. J. Clin. Anesth. 2022, 78, 110682. [Google Scholar] [CrossRef]
- Reames, B.N.; Bacal, D.; Krell, R.W.; Birkmeyer, J.D.; Birkmeyer, N.J.; Finks, J.F. Influence of median surgeon operative duration on adverse outcomes in bariatric surgery. Surg. Obes. Relat. Dis. 2015, 11, 207–213. [Google Scholar] [CrossRef]
- Valentini, L.G.; Casali, C.; Chatenoud, L.; Chiaffarino, F.; Uberti-Foppa, C.; Broggi, G. Surgical site infections after elective neurosurgery: A survey of 1747 patients. Neurosurgery 2008, 62, 88–95; discussion 95–96. [Google Scholar] [CrossRef]
- Valsangkar, N.; Salfity, H.V.; Timsina, L.; Ceppa, D.P.; Ceppa, E.P.; Birdas, T.J. Operative time in esophagectomy: Does it affect outcomes? Surgery 2018, 164, 866–871. [Google Scholar] [CrossRef]
- Bernatz, J.T.; Anderson, P.A. Thirty-day readmission rates in spine surgery: Systematic review and meta-analysis. Neurosurg. Focus 2015, 39, E7. [Google Scholar] [CrossRef] [PubMed]
- Routh, J.C.; Bacon, D.R.; Leibovich, B.C.; Zincke, H.; Blute, M.L.; Frank, I. How long is too long? The effect of the duration of anaesthesia on the incidence of non-urological complications after surgery. BJU Int. 2008, 102, 301–304. [Google Scholar] [CrossRef] [PubMed]
- Daley, B.J.; Cecil, W.; Clarke, C.P.; Cofer, J.B.; Guillamondegui, O.D. How slow is too slow? Correlation of operative time to complications: An analysis from the Tennessee Surgical Quality Collaborative. J. Am. Coll. Surg. 2015, 220, 550–558. [Google Scholar] [CrossRef] [PubMed]
- Cheng, H.; Clymer, J.W.; Po-Han Chen, B.; Sadeghirad, B.; Ferko, N.C.; Cameron, C.G.; Hinoul, P. Prolonged operative duration is associated with complications: A systematic review and meta-analysis. J. Surg. Res. 2018, 229, 134–144. [Google Scholar] [CrossRef]
- Dexter, E.; Attwood, K.; Demmy, T.; Yendamuri, S. Does Operative Duration of Lobectomy for Early Lung Cancer Increase Perioperative Morbidity? Ann. Thorac. Surg. 2022, 114, 941–947. [Google Scholar] [CrossRef]
- Tong, C.; Li, T.; Huang, C.; Ji, C.; Liu, Y.; Wu, J.; Xu, M.; Cao, H. Risk Factors and Impact of Conversion to Thoracotomy From 20,565 Cases of Thoracoscopic Lung Surgery. Ann. Thorac. Surg. 2020, 109, 1522–1529. [Google Scholar] [CrossRef]
- Petersen, R.H.; Hansen, H.J. Learning curve associated with VATS lobectomy. Ann. Cardiothorac. Surg. 2012, 1, 47–50. [Google Scholar]
- Gal, J.; Hunter, S.; Reich, D.; Franz, E.; DeMaria, S.; Neifert, S.; Lin, H.M.; Liu, X.; Caridi, J.; Katz, D. Delayed extubation in spine surgery is associated with increased postoperative complications and hospital episode-based resource utilization. J. Clin. Anesth. 2022, 77, 110636. [Google Scholar] [CrossRef]
- Jammer, I.; Wickboldt, N.; Sander, M.; Smith, A.; Schultz, M.J.; Pelosi, P.; Leva, B.; Rhodes, A.; Hoeft, A.; Walder, B.; et al. Standards for definitions and use of outcome measures for clinical effectiveness research in perioperative medicine: European Perioperative Clinical Outcome (EPCO) definitions: A statement from the ESA-ESICM Joint Taskforce on Perioperative Outcome Measures. Eur. J. Anaesthesiol. 2015, 32, 88–105. [Google Scholar]
- Frendl, G.; Sodickson, A.C.; Chung, M.K.; Waldo, A.L.; Gersh, B.J.; Tisdale, J.E.; Calkins, H.; Aranki, S.; Kaneko, T.; Cassivi, S.; et al. 2014 AATS guidelines for the prevention and management of perioperative atrial fibrillation and flutter for thoracic surgical procedures. Executive summary. J. Thorac. Cardiovasc. Surg. 2014, 148, 772–791. [Google Scholar] [CrossRef]
- Forster, C.; Perentes, J.Y.; Ojanguren, A.; Abdelnour-Berchtold, E.; Zellweger, M.; Bouchaab, H.; Peters, S.; Krueger, T.; Gonzalez, M. Early discharge after thoracoscopic anatomical pulmonary resection for non-small-cell lung cancer. Interact. Cardiovasc. Thorac. Surg. 2021, 33, 892–898. [Google Scholar] [CrossRef]
- Gauthier, J.; Wu, Q.V.; Gooley, T.A. Cubic splines to model relationships between continuous variables and outcomes: A guide for clinicians. Bone Marrow Transplant. 2020, 55, 675–680. [Google Scholar] [CrossRef] [PubMed]
- Dawson, N.V.; Weiss, R. Dichotomizing continuous variables in statistical analysis: A practice to avoid. Med. Decis. Mak. 2012, 32, 225–226. [Google Scholar] [CrossRef] [PubMed]
- Bickler, P.E.; Feiner, J.R.; Lipnick, M.S.; Batchelder, P.; MacLeod, D.B.; Severinghaus, J.W. Effects of Acute, Profound Hypoxia on Healthy Humans: Implications for Safety of Tests Evaluating Pulse Oximetry or Tissue Oximetry Performance. Anesth. Analg. 2017, 124, 146–153. [Google Scholar] [CrossRef]
- Varghese, J.; Kutty, S.; Abdullah, I.; Hall, S.; Shostrom, V.; Hammel, J.M. Preoperative and Intraoperative Predictive Factors of Immediate Extubation After Neonatal Cardiac Surgery. Ann. Thorac. Surg. 2016, 102, 1588–1595. [Google Scholar] [CrossRef]
- Cywinski, J.B.; Xu, M.; Sessler, D.I.; Mason, D.; Koch, C.G. Predictors of prolonged postoperative endotracheal intubation in patients undergoing thoracotomy for lung resection. J. Cardiothorac. Vasc. Anesth. 2009, 23, 766–769. [Google Scholar] [CrossRef] [PubMed]
- Tong, C.; Zheng, J.; Wu, J. The effects of paravertebral blockade usage on pulmonary complications, atrial fibrillation and length of hospital stay following thoracoscopic lung cancer surgery. J. Clin. Anesth. 2022, 79, 110770. [Google Scholar] [CrossRef]
- Albi-Feldzer, A.; Dureau, S.; Ghimouz, A.; Raft, J.; Soubirou, J.L.; Gayraud, G.; Jayr, C. Preoperative Paravertebral Block and Chronic Pain after Breast Cancer Surgery: A Double-blind Randomized Trial. Anesthesiology 2021, 135, 1091–1103. [Google Scholar] [CrossRef]
- Jakuscheit, A.; Weth, J.; Lichtner, G.; Jurth, C.; Rehberg, B.; von Dincklage, F. Intraoperative monitoring of analgesia using nociceptive reflexes correlates with delayed extubation and immediate postoperative pain: A prospective observational study. Eur. J. Anaesthesiol. 2017, 34, 297–305. [Google Scholar] [CrossRef]
- Zhang, W.; Cong, X.; Zhang, L.; Sun, M.; Li, B.; Geng, H.; Gu, J.; Zhang, J. Effects of thoracic nerve block on perioperative lung injury, immune function, and recovery after thoracic surgery. Clin. Transl. Med. 2020, 10, e38. [Google Scholar] [CrossRef] [PubMed]
- Varela, G.; Jiménez, M.F.; Novoa, N.; Aranda, J.L. Estimating hospital costs attributable to prolonged air leak in pulmonary lobectomy. Eur. J. Cardio-Thorac. Surg. 2005, 27, 329–333. [Google Scholar] [CrossRef] [PubMed]






| <60 min | 60–120 min | 120–180 min | 180–240 min | ≥240 min | |
|---|---|---|---|---|---|
| Variables a | (n = 1336) | (n = 8365) | (n = 2322) | (n = 307) | (n = 62) | 
| Age, years | 56.4 ± 11.2 | 57.5 ± 10.6 | 59.6 ± 10.2 | 61.6 ± 9.6 | 62.6 ± 10.1 | 
| Sex | |||||
| Male sex | 404 (30.2) | 3133 (37.5) | 1145 (49.3) | 199 (64.8) | 36 (58.1) | 
| Female sex | 932 (69.8) | 5232 (62.5) | 1177 (50.7) | 108 (35.2) | 26 (41.9) | 
| BMI, kg/m2 | 22.7 ± 2.8 | 23.2 ± 3.0 | 23.7 ± 3.1 | 23.6 ± 2.9 | 23.5 ± 3.8 | 
| ASA grade | |||||
| I | 151 (11.3) | 777 (9.3) | 161 (6.9) | 17 (5.5) | 3 (4.8) | 
| II | 1058 (79.2) | 6767 (80.9) | 1933 (83.2) | 254 (82.7) | 49 (79.0) | 
| III/IV | 127 (9.5) | 821 (9.8) | 228 (9.9) | 36 (11.7) | 10 (16.1) | 
| Comorbidity | |||||
| Hypertension | 76 (5.7) | 609 (7.3) | 154 (6.6) | 30 (9.8) | 3 (4.8) | 
| Diabetes mellitus | 26 (1.9) | 275 (3.3) | 96 (4.1) | 17 (5.5) | 2 (3.2) | 
| Coronary artery disease Stroke/TIA | 6 (0.4) 2 (0.1) | 46 (0.5) 27 (0.3) | 11 (0.5) 4 (0.2) | 3 (1.0) 1 (0.3) | 0 (0) 0 (0) | 
| FEV1/FVC, % | 101.6 ± 7.1 | 101.3 ± 7.7 | 100.8 ± 8.5 | 100.2 ± 9.2 | 97.3 ± 11.5 | 
| DLCO% | 94.8 ± 14.4 | 94.9 ± 15.4 | 93.3 ± 15.6 | 90.7 ± 18.3 | 87.0 ± 19.7 | 
| Chemoradiotherapy | 2 (0.1) | 22 (0.3) | 7 (0.3) | 5 (1.6) | 1 (1.6) | 
| Tumor size, cm | 1.4 ± 0.8 | 1.7 ± 1.0 | 2.0 ± 1.2 | 2.2 ± 1.6 | 2.6 ± 1.7 | 
| Advanced clinical T stage (T ≥ 2) | 63 (4.7) | 772 (9.2) | 344 (14.8) | 58 (18.9) | 17 (27.4) | 
| Pleural adhesions | 6 (0.4) | 120 (1.4) | 104 (4.5) | 32 (10.4) | 9 (14.5) | 
| Type of anesthesia GA alone | 1105 (82.7) | 7163 (85.6) | 1989 (85.7) | 268 (87.3) | 54 (87.1) | 
| GA plus TPVB | 231 (17.3) | 1202 (14.4) | 333 (14.3) | 39 (12.7) | 8 (12.9) | 
| Type of resection | |||||
| Segmentectomy resection | 482 (36.1) | 1752 (20.9) | 360 (15.5) | 44 (14.3) | 7 (11.3) | 
| Lobectomy resection | 854 (63.9) | 6613 (79.1) | 1962 (84.5) | 263 (85.7) | 55 (88.7) | 
| Surgical procedure | |||||
| VATS | 1296 (97.0) | 7939 (94.9) | 2271 (97.8) | 304 (99.0) | 62 (100.0) | 
| RATS | 40 (3.0) | 426 (5.1) | 51 (2.2) | 3 (1.0) | 0 (0) | 
| Location of resection | |||||
| Left resection | 546 (40.9) | 3191 (38.1) | 873 (37.6) | 125 (40.7) | 28 (45.2) | 
| Right resection | 790 (59.1) | 5174 (61.9) | 1449 (62.4) | 182 (59.3) | 34 (54.8) | 
| Clinical nodal involvement | 29 (2.2) | 334 (4.0) | 201 (8.7) | 40 (13.0) | 8 (12.9) | 
| Lymph nodes calcification | 31 (2.3) | 319 (3.8) | 175 (7.5) | 54 (17.6) | 11 (17.7) | 
| Hypoxemia | 26 (1.9) | 284 (3.4) | 134 (5.8) | 22 (7.2) | 4 (6.5) | 
| Delayed extubation | 12 (0.9) | 101 (1.2) | 57 (2.5) | 12 (3.9) | 7 (11.3) | 
| PPCs | 269 (20.1) | 2727 (32.6) | 948 (40.8) | 138 (45.0) | 33 (53.2) | 
| PAL | 60 (4.5) | 578 (6.9) | 269 (11.6) | 60 (19.5) | 17 (27.4) | 
| POAF | 12 (0.9) | 207 (2.5) | 87 (3.7) | 24 (7.8) | 10 (16.1) | 
| Transfusion | 5 (0.4) | 43 (0.5) | 47 (2.0) | 20 (6.5) | 11 (17.7) | 
| Early discharge | 435 (32.6) | 1346 (16.1) | 266 (11.5) | 21 (6.8) | 4 (6.5) | 
| 60–120 min | 120–180 min | 180–240 min | ≥240 min | |||||
|---|---|---|---|---|---|---|---|---|
| Outcomes a | OR (95% CI) | p-Value | OR (95% CI) | p-Value | OR (95% CI) | p-Value | OR (95% CI) | p-Value | 
| Hypoxemia | 1.628 (1.080–2.454) | 0.020 b | 2.574 (1.670–3.968) | <0.001 b | 3.111 (1.723–5.620) | <0.001 b | 2.618 (0.856–8.006) | 0.091 | 
| Delayed extubation | 1.209 (0.661–2.210) | 0.538 | 2.182 (1.160–4.103) | 0.016 b | 2.932 (1.282–6.704) | 0.011 b | 8.727 (3.225–23.616) | <0.001 b | 
| PPCs | 1.822 (1.579–2.102) | <0.001 b | 2.391 (2.037–2.806) | <0.001 b | 2.666 (2.045–3.475) | <0.001 b | 3.631 (2.157–6.113) | <0.001 b | 
| PAL | 1.366 (1.038–1.797) | 0.026 b | 1.987 (1.480–2.669) | <0.001 b | 2.925 (1.953–4.380) | <0.001 b | 4.082 (2.137–7.801) | <0.001 b | 
| POAF | 2.566 (1.426–4.616) | 0.002 b | 3.272 (1.773–6.036) | <0.001 b | 5.647 (2.751–11.590) | <0.001 b | 12.839 (5.195–31.730) | <0.001 b | 
| Transfusion | 1.350 (0.533–3.420) | 0.527 | 4.838 (1.909–12.265) | 0.001 b | 13.844 (5.092–37.637) | <0.001 b | 41.063 (13.459–125.285) | <0.001 b | 
| Early discharge | 0.465 (0.407–0.531) | <0.001 b | 0.350 (0.293–0.418) | <0.001 b | 0.217 (0.137–0.346) | <0.001 b | 0.227 (0.081–0.638) | 0.005 b | 
| Disclaimer/Publisher’s Note: The statements, opinions and data contained in all publications are solely those of the individual author(s) and contributor(s) and not of MDPI and/or the editor(s). MDPI and/or the editor(s) disclaim responsibility for any injury to people or property resulting from any ideas, methods, instructions or products referred to in the content. | 
© 2023 by the authors. Licensee MDPI, Basel, Switzerland. This article is an open access article distributed under the terms and conditions of the Creative Commons Attribution (CC BY) license (https://creativecommons.org/licenses/by/4.0/).
Share and Cite
Tong, C.; Shen, Y.; Zhu, H.; Zheng, J.; Xu, Y.; Wu, J. Continuous Relationship of Operative Duration with Risk of Adverse Perioperative Outcomes and Early Discharge Undergoing Thoracoscopic Lung Cancer Surgery. Cancers 2023, 15, 371. https://doi.org/10.3390/cancers15020371
Tong C, Shen Y, Zhu H, Zheng J, Xu Y, Wu J. Continuous Relationship of Operative Duration with Risk of Adverse Perioperative Outcomes and Early Discharge Undergoing Thoracoscopic Lung Cancer Surgery. Cancers. 2023; 15(2):371. https://doi.org/10.3390/cancers15020371
Chicago/Turabian StyleTong, Chaoyang, Yaofeng Shen, Hongwei Zhu, Jijian Zheng, Yuanyuan Xu, and Jingxiang Wu. 2023. "Continuous Relationship of Operative Duration with Risk of Adverse Perioperative Outcomes and Early Discharge Undergoing Thoracoscopic Lung Cancer Surgery" Cancers 15, no. 2: 371. https://doi.org/10.3390/cancers15020371
APA StyleTong, C., Shen, Y., Zhu, H., Zheng, J., Xu, Y., & Wu, J. (2023). Continuous Relationship of Operative Duration with Risk of Adverse Perioperative Outcomes and Early Discharge Undergoing Thoracoscopic Lung Cancer Surgery. Cancers, 15(2), 371. https://doi.org/10.3390/cancers15020371
 
        
 
                                                
 
       