Clinical Introduction of Stem Cell Sparing Radiotherapy to Reduce the Risk of Xerostomia in Patients with Head and Neck Cancer
Simple Summary
Abstract
1. Introduction
- Providing recommendations;
- Quantifying the consequences with photon therapy (i.e., the expected benefit for the prevention of xerostomia and the potential effects for other side-effects);
- Testing the generalizability for other institutions;
- Exploring the added value for proton therapy.
2. Materials and Methods
2.1. Study Design
2.1.1. Step 1: Recommendations
2.1.2. Step 2: Consequences with Photon Therapy
2.1.3. Step 3: Generalizability for Other Institutions
2.1.4. Step 4: Added Value for Proton Therapy
2.2. Treatment Planning
2.2.1. Standard RT
2.2.2. Stem Cell Sparing RT
2.3. Statistical Analysis
3. Results
3.1. Step 1: Recommendations
3.2. Step 2: Consequences with Photon Therapy
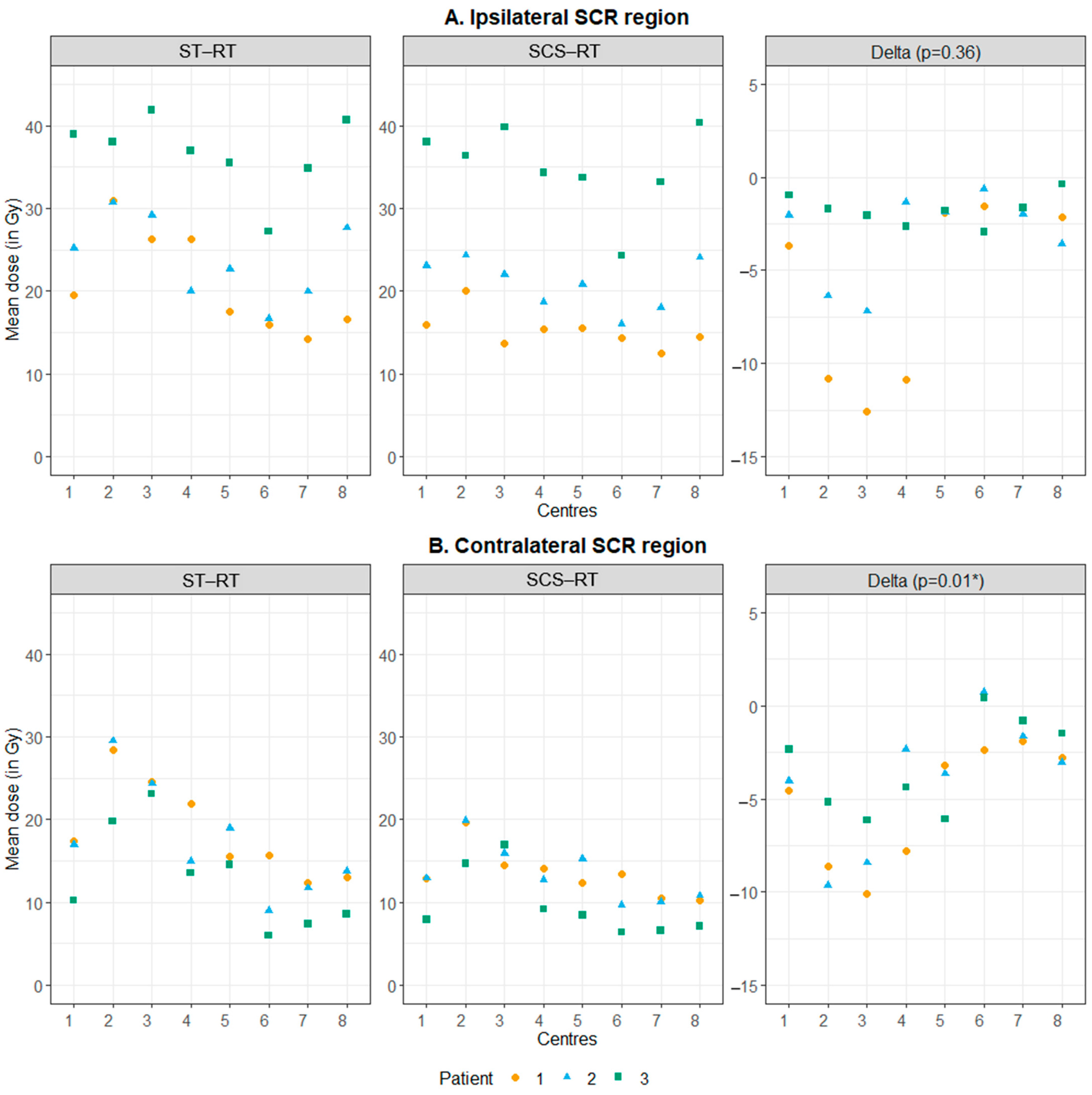
3.3. Step 3: Generalizability for Other Institutions
3.4. Step 4: Added Value for Proton Therapy
4. Discussion
4.1. Towards Personalized Radiotherapy
4.2. Safety: Oncological and Toxicity Outcomes
4.3. Implementation in Your Own Center
4.4. Limitations
5. Conclusions
Supplementary Materials
Author Contributions
Funding
Institutional Review Board Statement
Informed Consent Statement
Data Availability Statement
Acknowledgments
Conflicts of Interest
References
- Wang, X.; Eisbruch, A. IMRT for head and neck cancer: Reducing xerostomia and dysphagia. J. Radiat. Res. 2016, 57, i69–i75. [Google Scholar] [CrossRef]
- Cao, J.; Zhang, X.; Jiang, B.; Chen, J.; Wang, X.; Wang, L.; Sahoo, N.; Zhu, X.R.; Ye, R.; Blanchard, P.; et al. Intensity-modulated proton therapy for oropharyngeal cancer reduces rates of late xerostomia. Radiother. Oncol. 2021, 160, 32–39. [Google Scholar] [CrossRef]
- Van den Bosch, L.; van der Schaaf, A.; van der Laan, H.P.; Hoebers, F.J.; Wijers, O.B.; van den Hoek, J.G.; Moons, K.G.; Reitsma, J.B.; Steenbakkers, R.J.; Schuit, E.; et al. Comprehensive toxicity risk profiling in radiation therapy for head and neck cancer: A new concept for individually optimised treatment. Radiother. Oncol. 2021, 157, 147–154. [Google Scholar] [CrossRef] [PubMed]
- Onjukka, E.; Mercke, C.; Björgvinsson, E.; Embring, A.; Berglund, A.; von Döbeln, G.A.; Friesland, S.; Gagliardi, G.; Helleday, C.L.; Sjödin, H.; et al. Modeling of Xerostomia After Radiotherapy for Head and Neck Cancer: A Registry Study. Front. Oncol. 2020, 10, 1647. [Google Scholar] [CrossRef] [PubMed]
- Li, Y.; Sijtsema, N.M.; de Vette, S.P.M.; Steenbakkers, R.J.H.M.; Zhang, F.; Noordzij, W.; Van den Bosch, L.; Langendijk, J.A.; van Dijk, L.V. Validation of the 18F-FDG PET image biomarker model predicting late xerostomia after head and neck cancer radiotherapy. Radiother. Oncol. 2023, 180, 109458. [Google Scholar] [CrossRef] [PubMed]
- van Luijk, P.; Pringle, S.; Deasy, J.O.; Moiseenko, V.V.; Faber, H.; Hovan, A.; Baanstra, M.; van der Laan, H.P.; Kierkels, R.G.J.; van der Schaaf, A.; et al. Sparing the region of the salivary gland containing stem cells preserves saliva production after radiotherapy for head and neck cancer. Sci. Transl. Med. 2015, 7, 305ra147. [Google Scholar] [CrossRef] [PubMed]
- Konings, A.W.; Cotteleer, F.; Faber, H.; van Luijk, P.; Meertens, H.; Coppes, R.P. Volume effects and region-dependent radiosensitivity of the parotid gland. Int. J. Radiat. Oncol. 2005, 62, 1090–1095. [Google Scholar] [CrossRef] [PubMed]
- van Luijk, P.; Faber, H.; Schippers, J.M.; Brandenburg, S.; Langendijk, J.A.; Meertens, H.; Coppes, R.P. Bath and Shower Effects in the Rat Parotid Gland Explain Increased Relative Risk of Parotid Gland Dysfunction After Intensity-Modulated Radiotherapy. Int. J. Radiat. Oncol. 2009, 74, 1002–1005. [Google Scholar] [CrossRef] [PubMed]
- van Rijn-Dekker, M.I.; la Bastide-van Gemert, S.; Stokman, M.A.; Vissink, A.; Coppes, R.P.; Langendijk, J.A.; van Luijk, P.; Steenbakkers, R.J. Radiation-induced xerostomia is related to stem cell dose-dependent reduction of saliva production. Int. J. Radiat. Oncol. Biol. Phys. 2024, 120, 772–782. [Google Scholar] [CrossRef]
- van Rijn-Dekker, M.I.; van Luijk, P.; Schuit, E.; van der Schaaf, A.; Langendijk, J.A.; Steenbakkers, R.J. Prediction of Radiation-Induced Parotid Gland–Related Xerostomia in Patients With Head and Neck Cancer: Regeneration-Weighted Dose. Int. J. Radiat. Oncol. Biol. Phys. 2023, 117, 750–762. [Google Scholar] [CrossRef]
- Steenbakkers, R.J.; van Rijn–Dekker, M.I.; Stokman, M.A.; Kierkels, R.G.; van der Schaaf, A.; Hoek, J.G.v.D.; Bijl, H.P.; Kramer, M.C.; Coppes, R.P.; Langendijk, J.A.; et al. Parotid Gland Stem Cell Sparing Radiation Therapy for Patients With Head and Neck Cancer: A Double-Blind Randomized Controlled Trial. Int. J. Radiat. Oncol. Biol. Phys. 2022, 112, 306–316. [Google Scholar] [CrossRef] [PubMed]
- Fried, D.V.; Zhu, T.; Das, S.K.; Shen, C.; Marks, L.B.; Tan, X.; Chera, B.S. Prospective assessment of sparing the parotid ducts via MRI sialography for reducing patient reported xerostomia. Radiother. Oncol. 2022, 172, 42–49. [Google Scholar] [CrossRef]
- Lenfant, C. Clinical Research to Clinical Practice—Lost in Translation? N. Engl. J. Med. 2003, 349, 868–874. [Google Scholar] [CrossRef]
- Rangachari, P.; Rissing, P.; Rethemeyer, K. Awareness of Evidence-Based Practices Alone Does Not Translate to Implementation. Qual. Manag. Health Care 2013, 22, 117–125. [Google Scholar] [CrossRef] [PubMed]
- Kristensen, N.; Nymann, C.; Konradsen, H. Implementing research results in clinical practice- the experiences of healthcare professionals. BMC Health Serv. Res. 2015, 16, 48. [Google Scholar] [CrossRef] [PubMed]
- Rosenthal, D.I.; Chambers, M.S.; Fuller, C.; Rebueno, N.C.; Garcia, J.; Kies, M.S.; Morrison, W.H.; Ang, K.K.; Garden, A.S. Beam Path Toxicities to Non-Target Structures During Intensity-Modulated Radiation Therapy for Head and Neck Cancer. Int. J. Radiat. Oncol. Biol. Phys. 2008, 72, 747–755. [Google Scholar] [CrossRef]
- Tol, J.P.; Dahele, M.; Doornaert, P.; Slotman, B.J.; Verbakel, W.F. Different treatment planning protocols can lead to large differences in organ at risk sparing. Radiother. Oncol. 2014, 113, 267–271. [Google Scholar] [CrossRef]
- Verbakel, W.F.; Doornaert, P.A.; Raaijmakers, C.P.; Bos, L.J.; Essers, M.; van de Kamer, J.B.; Dahele, M.; Terhaard, C.H.; Kaanders, J.H. Targeted Intervention to Improve the Quality of Head and Neck Radiation Therapy Treatment Planning in the Netherlands: Short and Long-Term Impact. Int. J. Radiat. Oncol. Biol. Phys. 2019, 105, 514–524. [Google Scholar] [CrossRef] [PubMed]
- Langendijk, J.A.; Hoebers, F.J.P.; de Jong, M.A.; Doornaert, P.; Terhaard, C.H.J.; Steenbakkers, R.J.H.M.; Hamming-Vrieze, O.; van de Kamer, J.B.; Verbakel, W.F.A.R.; Keskin-Cambay, F.; et al. National Protocol for Model-Based Selection for Proton Therapy in Head and Neck Cancer. Int. J. Part. Ther. 2021, 8, 354–365. [Google Scholar] [CrossRef] [PubMed]
- Tambas, M.; van der Laan, H.P.; Rutgers, W.; Hoek, J.G.v.D.; Oldehinkel, E.; Meijer, T.W.; van der Schaaf, A.; Scandurra, D.; Free, J.; Both, S.; et al. Development of advanced preselection tools to reduce redundant plan comparisons in model-based selection of head and neck cancer patients for proton therapy. Radiother. Oncol. 2021, 160, 61–68. [Google Scholar] [CrossRef]
- Meijer, T.W.; Scandurra, D.; Langendijk, J.A. Reduced radiation-induced toxicity by using proton therapy for the treatment of oropharyngeal cancer. Br. J. Radiol. 2020, 93, 20190955. [Google Scholar] [CrossRef] [PubMed]
- Leeman, J.E.; Romesser, P.B.; Zhou, Y.; McBride, S.; Riaz, N.; Sherman, E.; Cohen, M.A.; Cahlon, O.; Lee, N. Proton therapy for head and neck cancer: Expanding the therapeutic window. Lancet Oncol. 2017, 18, e254–e265. [Google Scholar] [CrossRef] [PubMed]
- Tambas, M.; Steenbakkers, R.J.; van der Laan, H.P.; Wolters, A.M.; Kierkels, R.G.; Scandurra, D.; Korevaar, E.W.; Oldehinkel, E.; van Zon-Meijer, T.W.; Both, S.; et al. First experience with model-based selection of head and neck cancer patients for proton therapy. Radiother. Oncol. 2020, 151, 206–213. [Google Scholar] [CrossRef] [PubMed]
- Brouwer, C.L.; Steenbakkers, R.J.; Bourhis, J.; Budach, W.; Grau, C.; Grégoire, V.; van Herk, M.; Lee, A.; Maingon, P.; Nutting, C.; et al. CT-based delineation of organs at risk in the head and neck region: DAHANCA, EORTC, GORTEC, HKNPCSG, NCIC CTG, NCRI, NRG Oncology and TROG consensus guidelines. Radiother. Oncol. 2015, 117, 83–90. [Google Scholar] [CrossRef]
- Van De Water, T.A.; Lomax, A.J.; Bijl, H.P.; De Jong, M.E.; Schilstra, C.; Hug, E.B.; Langendijk, J.A. Potential Benefits of Scanned Intensity-Modulated Proton Therapy Versus Advanced Photon Therapy With Regard to Sparing of the Salivary Glands in Oropharyngeal Cancer. Int. J. Radiat. Oncol. Biol. Phys. 2011, 79, 1216–1224. [Google Scholar] [CrossRef] [PubMed]
- Huang, H.; Miao, J.; Xiao, X.; Hu, J.; Zhang, G.; Peng, Y.; Lu, S.; Liang, Y.; Huang, S.; Han, F.; et al. Impact on xerostomia for nasopharyngeal carcinoma patients treated with superficial parotid lobe-sparing intensity-modulated radiation therapy (SPLS-IMRT): A prospective phase II randomized controlled study. Radiother. Oncol. 2022, 175, 1–9. [Google Scholar] [CrossRef]
- de Jong, B.A.; Korevaar, E.W.; Maring, A.; Werkman, C.I.; Scandurra, D.; Janssens, G.; Both, S.; Langendijk, J.A. Proton arc therapy increases the benefit of proton therapy for oropharyngeal cancer patients in the model based clinic. Radiother. Oncol. 2023, 184, 109670. [Google Scholar] [CrossRef] [PubMed]
- van de Water, T.A.; Lomax, A.J.; Bijl, H.P.; Schilstra, C.; Hug, E.B.; Langendijk, J.A. Using a Reduced Spot Size for Intensity-Modulated Proton Therapy Potentially Improves Salivary Gland-Sparing in Oropharyngeal Cancer. Int. J. Radiat. Oncol. Biol. Phys. 2012, 82, e313–e319. [Google Scholar] [CrossRef] [PubMed]
- Beetz, I.; Steenbakkers, R.J.H.M.; Chouvalova, O.; Leemans, C.R.; Doornaert, P.; van der Laan, B.F.A.M.; Christianen, M.E.M.C.; Vissink, A.; Bijl, H.P.; van Luijk, P.; et al. The QUANTEC criteria for parotid gland dose and their efficacy to prevent moderate to severe patient-rated xerostomia. Acta Oncol. 2013, 53, 597–604. [Google Scholar] [CrossRef]
- Steenbakkers, R.J.; van Rijn-Dekker, M.I.; Stokman, M.A.; van der Schaaf, A.; van den Hoek, J.G.; Bijl, H.P.; Kramer, M.C.; Langendijk, J.A.; van Luijk, P.; Kierkels, R.G.; et al. In Reply to Kashid et al. Int. J. Radiat. Oncol. Biol. Phys. 2022, 113, 904–905. [Google Scholar] [CrossRef] [PubMed]
- Kierkels, R.G.; Korevaar, E.W.; Steenbakkers, R.J.; Janssen, T.; Veld, A.A.V.; Langendijk, J.A.; Schilstra, C.; van der Schaaf, A. Direct use of multivariable normal tissue complication probability models in treatment plan optimisation for individualised head and neck cancer radiotherapy produces clinically acceptable treatment plans. Radiother. Oncol. 2014, 112, 430–436. [Google Scholar] [CrossRef]
- Brodin, N.; Tomé, W.A. Revisiting the dose constraints for head and neck OARs in the current era of IMRT. Oral Oncol. 2018, 86, 8–18. [Google Scholar] [CrossRef]
- Langendijk, J.A.; Lambin, P.; De Ruysscher, D.; Widder, J.; Bos, M.; Verheij, M. Selection of patients for radiotherapy with protons aiming at reduction of side effects: The model-based approach. Radiother. Oncol. 2013, 107, 267–273. [Google Scholar] [CrossRef] [PubMed]
- Wu, B.; Kusters, M.; Kunze-Busch, M.; Dijkema, T.; McNutt, T.; Sanguineti, G.; Bzdusek, K.; Dritschilo, A.; Pang, D. Cross-institutional knowledge-based planning (KBP) implementation and its performance comparison to Auto-Planning Engine (APE). Radiother. Oncol. 2017, 123, 57–62. [Google Scholar] [CrossRef]
- Krayenbuehl, J.; Zamburlini, M.; Ghandour, S.; Pachoud, M.; Tanadini-Lang, S.; Tol, J.; Guckenberger, M.; Verbakel, W.F.A.R. Planning comparison of five automated treatment planning solutions for locally advanced head and neck cancer. Radiat. Oncol. 2018, 13, 170. [Google Scholar] [CrossRef]
- McIntosh, C.; Welch, M.; McNiven, A.; Jaffray, D.; Purdie, T.G. Fully automated treatment planning for head and neck radiotherapy using a voxel-based dose prediction and dose mimicking method. Phys. Med. Biol. 2017, 62, 5926–5944. [Google Scholar] [CrossRef] [PubMed]
- van Bruggen, I.G.; Huiskes, M.; de Vette, S.P.; Holmström, M.; Langendijk, J.A.; Both, S.; Kierkels, R.G.; Korevaar, E.W. Automated Robust Planning for IMPT in Oropharyngeal Cancer Patients Using Machine Learning. Int. J. Radiat. Oncol. Biol. Phys. 2023, 115, 1283–1290. [Google Scholar] [CrossRef] [PubMed]
- Tol, J.P.; Delaney, A.R.; Dahele, M.; Slotman, B.J.; Verbakel, W.F. Evaluation of a Knowledge-Based Planning Solution for Head and Neck Cancer. Int. J. Radiat. Oncol. Biol. Phys. 2015, 91, 612–620. [Google Scholar] [CrossRef]
- Tol, J.P.; Dahele, M.; Delaney, A.R.; Slotman, B.J.; Verbakel, W.F. Can knowledge-based DVH predictions be used for automated, individualized quality assurance of radiotherapy treatment plans? Radiat. Oncol. 2015, 10, 234. [Google Scholar] [CrossRef] [PubMed]
- Krayenbuehl, J.; Norton, I.; Studer, G.; Guckenberger, M. Evaluation of an automated knowledge based treatment planning system for head and neck. Radiat. Oncol. 2015, 10, 226. [Google Scholar] [CrossRef] [PubMed]




| Recommendations for SCS-RT (Step 1, n = 5) | Consequences with Photon Therapy (Step 2, n = 30) | Generalizability for Other Institutes (Step 3, n = 3) | Added Value for Proton Therapy (Step 4, n = 15) | |
|---|---|---|---|---|
| Sex, No. (%) | ||||
| Female | 2 (40) | 11 (37) | 1 (33) | 5 (33) |
| Male | 3 (60) | 19 (63) | 2 (67) | 10 (67) |
| Age, median (range), y | 68 (42–76) | 69 (36–85) | 68 (66–73) | 65 (42–77) |
| Tumor location, No. (%) | ||||
| Larynx | 0 (0) | 5 (17) | 0 (0) | 0 (0) |
| Hypopharynx | 0 (0) | 5 (17) | 0 (0) | 0 (0) |
| Oropharynx | 3 (60) | 9 (30) | 3 (100) | 9 (30) |
| Nasopharynx | 2 (40) | 6 (20) | 0 (0) | 6 (20) |
| Oral cavity | 0 (0) | 5 (16) | 0 (0) | 0 (0) |
| Tumor stage, No. (%) | ||||
| T1–2 | 2 (40) | 11 (37) | 0 (0) | 6 (40) |
| T3–4 | 3 (60) | 19 (63) | 3 (100) | 9 (60) |
| Nodal stage, No. (%) | ||||
| N0 | 1 (20) | 4 (13) | 0 (0) | 2 (13) |
| N+ | 4 (80) | 26 (87) | 3 (100) | 13 (87) |
| CTV volume, median (range), cm3 | ||||
| High dose (70 Gy) | 66 (36–123) | 69 (9–343) | 66 (44–77) | 66 (21–263) |
| Low dose (54.25 Gy) | 321 (199–404) | 338 (137–601) | 295 (290–320) | 327 (196–599) |
| PTV volume, median (range), cm3 | ||||
| High dose (70 Gy) | 103 (64–199) | 117 (20–517) | 103 (85–124) | 103 (37–411) |
| Low dose (54.25 Gy) | 534 (350–632) | 551 (259–882) | 467 (463–534) | 537 (350–882) |
| Observations |
|
| Recommendations |
|
Disclaimer/Publisher’s Note: The statements, opinions and data contained in all publications are solely those of the individual author(s) and contributor(s) and not of MDPI and/or the editor(s). MDPI and/or the editor(s) disclaim responsibility for any injury to people or property resulting from any ideas, methods, instructions or products referred to in the content. |
© 2024 by the authors. Licensee MDPI, Basel, Switzerland. This article is an open access article distributed under the terms and conditions of the Creative Commons Attribution (CC BY) license (https://creativecommons.org/licenses/by/4.0/).
Share and Cite
van Rijn-Dekker, M.I.; van der Schaaf, A.; Nienhuis, S.W.; Arents-Huls, A.S.; Ger, R.B.; Hamming-Vrieze, O.; Hoebers, F.J.P.; de Ridder, M.; Vigorito, S.; Zwijnenburg, E.M.; et al. Clinical Introduction of Stem Cell Sparing Radiotherapy to Reduce the Risk of Xerostomia in Patients with Head and Neck Cancer. Cancers 2024, 16, 4283. https://doi.org/10.3390/cancers16244283
van Rijn-Dekker MI, van der Schaaf A, Nienhuis SW, Arents-Huls AS, Ger RB, Hamming-Vrieze O, Hoebers FJP, de Ridder M, Vigorito S, Zwijnenburg EM, et al. Clinical Introduction of Stem Cell Sparing Radiotherapy to Reduce the Risk of Xerostomia in Patients with Head and Neck Cancer. Cancers. 2024; 16(24):4283. https://doi.org/10.3390/cancers16244283
Chicago/Turabian Stylevan Rijn-Dekker, Maria I., Arjen van der Schaaf, Sanne W. Nienhuis, Antoinette S. Arents-Huls, Rachel B. Ger, Olga Hamming-Vrieze, Frank J. P. Hoebers, Mischa de Ridder, Sabrina Vigorito, Ellen M. Zwijnenburg, and et al. 2024. "Clinical Introduction of Stem Cell Sparing Radiotherapy to Reduce the Risk of Xerostomia in Patients with Head and Neck Cancer" Cancers 16, no. 24: 4283. https://doi.org/10.3390/cancers16244283
APA Stylevan Rijn-Dekker, M. I., van der Schaaf, A., Nienhuis, S. W., Arents-Huls, A. S., Ger, R. B., Hamming-Vrieze, O., Hoebers, F. J. P., de Ridder, M., Vigorito, S., Zwijnenburg, E. M., Langendijk, J. A., van Luijk, P., & Steenbakkers, R. J. H. M. (2024). Clinical Introduction of Stem Cell Sparing Radiotherapy to Reduce the Risk of Xerostomia in Patients with Head and Neck Cancer. Cancers, 16(24), 4283. https://doi.org/10.3390/cancers16244283

