Comparative Prognostic Evaluation of the Revised International Federation of Gynecology and Obstetrics 2023 and 2009 Staging Systems in Early Endometrial Cancer
Simple Summary
Abstract
1. Introduction
2. Materials and Methods
2.1. Study Population
2.2. Histopathological Assessment
2.3. Staging Systems and Data Collection
2.4. Outcome Definitions
2.5. Statistical Analysis
3. Results
3.1. Baseline Characteristics
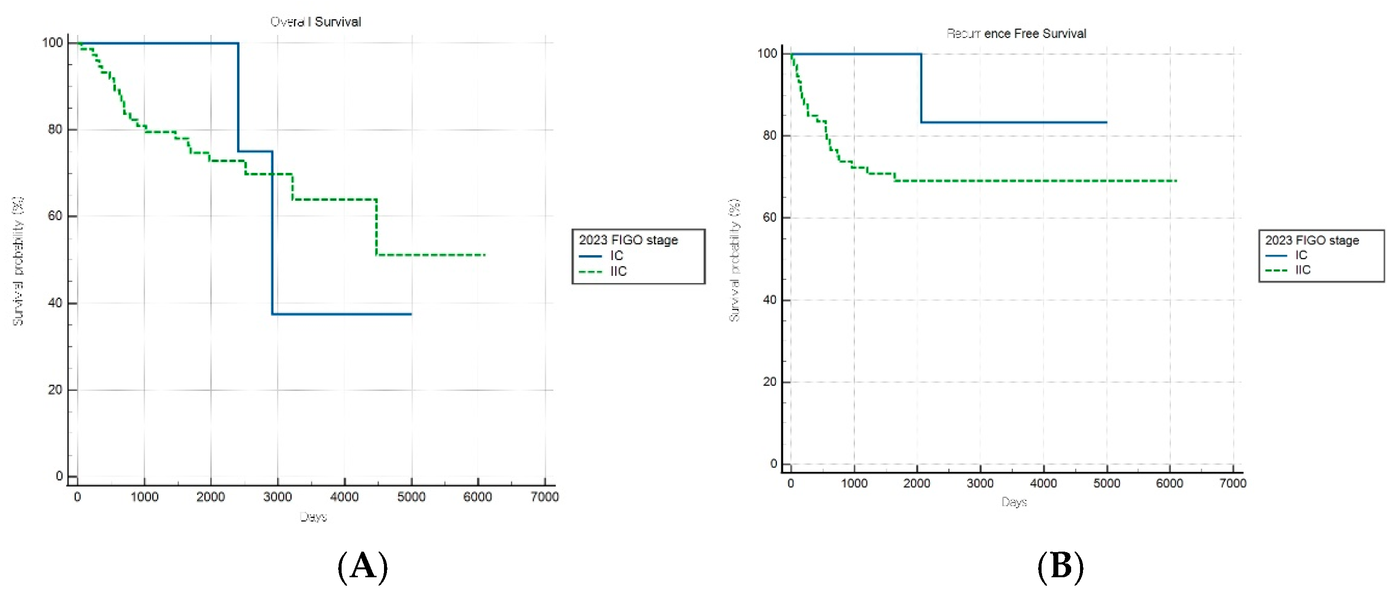
3.2. Survival Outcomes by Histological Subgroup (FIGO 2009 vs. 2023)
3.3. Prognostic Factors Stratified by Histological Subtype (Nonaggressive vs. Aggressive)
4. Discussion
5. Conclusions
Author Contributions
Funding
Institutional Review Board Statement
Informed Consent Statement
Data Availability Statement
Acknowledgments
Conflicts of Interest
Abbreviations
| FIGO | International Federation of Gynecology and Obstetrics |
| OS | Overall Survival |
| RFS | Recurrence-Free Survival |
| LVSI | Lymphovascular Space Invasion |
| CSI | Cervical Stromal Invasion |
| CT | Computed Tomography |
| MRI | Magnetic Resonance Imaging |
| HR | Hazard Ratio |
| CI | Confidence Interval |
| SD | Standard Deviation |
| IQR | Interquartile Range |
References
- Pecorelli, S. Revised FIGO staging for carcinoma of the vulva, cervix, and endometrium. Int. J. Gynaecol. Obstet. 2009, 105, 103–104. [Google Scholar] [CrossRef]
- Sehnal, B.; Hruda, M.; Matej, R.; Robova, H.; Drozenova, J.; Pichlik, T.; Halaska, M.J.; Rob, L.; Dundr, P. New FIGO 2023 staging system of endometrial cancer: An updated review on a current hot topic. Geburtshilfe Frauenheilkd. 2025, 85, 405–416. [Google Scholar] [CrossRef] [PubMed]
- Kasius, J.C.; Pijnenborg, J.M.A.; Lindemann, K.; Forsse, D.; van Zwol, J.; Kristensen, G.B.; Krakstad, C.; Werner, H.M.J.; Amant, F. Risk stratification of endometrial cancer patients: Figo stage, biomarkers and molecular classification. Cancers 2021, 13, 5848. [Google Scholar] [CrossRef] [PubMed]
- Cheng, Y.; Dong, Y.; Tian, W.; Zhang, H.; Li, X.; Wang, Z.; Shan, B.; Ren, Y.; Wei, L.; Wang, H.; et al. Nomogram for predicting recurrence-free survival in chinese women with endometrial cancer after initial therapy: External validation. J. Oncol. 2020, 2020, 2363545. [Google Scholar] [CrossRef]
- Berek, J.S.; Matias-Guiu, X.; Creutzberg, C.; Fotopoulou, C.; Gaffney, D.; Kehoe, S.; Lindemann, K.; Mutch, D.; Concin, N. FIGO staging of endometrial cancer: 2023. Int. J. Gynaecol. Obstet. 2023, 162, 383–394. [Google Scholar] [CrossRef] [PubMed]
- Bak, S.E.; Yoo, J.G.; Lee, S.J.; Yoon, J.H.; Park, D.C.; Kim, S.I. Prognostic significance of histological grade in low-risk endometrial cancer. Int. J. Med. Sci. 2022, 19, 1875–1878. [Google Scholar] [CrossRef]
- Vergote, I.; Matias-Guiu, X. New FIGO 2023 endometrial cancer staging validation. Welcome to the first molecular classifiers and new pathological variables! Eur. J. Cancer 2023, 193, 113318. [Google Scholar] [CrossRef]
- Saglam, O. Uncommon morphologic types of endometrial cancer and their mimickers: How much does molecular classification improve the practice for challenging cases? Life 2024, 14, 387. [Google Scholar] [CrossRef]
- Schwameis, R.; Fanfani, F.; Ebner, C.; Zimmermann, N.; Peters, I.; Nero, C.; Marth, C.; Ristl, R.; Leitner, K.; Grimm, C.; et al. Verification of the prognostic precision of the new 2023 FIGO staging system in endometrial cancer patients—An international pooled analysis of three ESGO accredited centres. Eur. J. Cancer 2023, 193, 113317. [Google Scholar] [CrossRef]
- McCluggage, W.G.; Bosse, T.; Gilks, C.B.; Howitt, B.E.; McAlpine, J.N.; Nucci, M.R.; Rabban, J.T.; Singh, N.; Talia, K.L.; Parra-Herran, C. FIGO 2023 endometrial cancer staging: Too much, too soon? Int. J. Gynecol. Cancer 2024, 34, 138–143. [Google Scholar] [CrossRef]
- Bassetty, K.C.; Begum, D.; Barmon, D.; Baruah, U.; Gupta, S.; Kumar, M.; Nath, J.; Khanikar, D.; Bhattacharyya, M.; Roy, P.S. FIGO 2023 endometrial staging: A leap of faith into the new "prognostic based’ rather than "anatomical based" staging-too fast too furious?? J. Cancer Res. Clin. Oncol. 2024, 150, 251. [Google Scholar] [CrossRef]
- Leitao, M.M., Jr. 2023 changes to FIGO endometrial cancer staging: Counterpoint. Gynecol. Oncol. 2024, 184, 146–149. [Google Scholar] [CrossRef]
- Zheng, W. Molecular Classification of endometrial cancer and the 2023 FIGO Staging: Exploring the challenges and opportunities for pathologists. Cancers 2023, 15, 4101. [Google Scholar] [CrossRef]
- Yu, C.; Yuan, X.; Yao, Q.; Xu, Y.; Zhou, X.; Hu, X.; Yang, H.; Wang, H.; Zhu, X.; Ren, Y. Clinical application of FIGO 2023 staging system of endometrial cancer in a Chinese cohort. BMC Cancer 2024, 24, 862. [Google Scholar] [CrossRef]
- Libert, D.; Hammer, P.M.; Hui, C.; Kidd, E.A.; Folkins, A.K.; Longacre, T.; Yang, E.J.; Charu, V.; Howitt, B.E. Prognostic performance of FIGO 2023 endometrial carcinoma staging: A comparison to FIGO 2009 staging in the setting of known and unknown molecular classification. Histopathology 2024, 85, 804–819. [Google Scholar] [CrossRef]
- Dobrzycka, B.; Terlikowska, K.M.; Kowalczuk, O.; Niklinski, J.; Kinalski, M.; Terlikowski, S.J. Prognosis of stage I endometrial cancer according to the FIGO 2023 Classification taking into account molecular changes. Cancers 2024, 16, 390. [Google Scholar] [CrossRef]
- Wu, H.H.; Chou, H.T.; Lin, S.Y.; Lai, C.R.; Chen, Y.J. FIGO 2023 staging system predicts not only survival outcome but also recurrence pattern in corpus-confined endometrial cancer patients. Taiwan. J. Obstet. Gynecol. 2025, 64, 76–81. [Google Scholar] [CrossRef] [PubMed]
- Wei, L.; Li, M.; Xi, M. Validation of the FIGO2023 staging system for early-stage endometrial cancer. Eur. J. Surg. Oncol. 2024, 50, 108480. [Google Scholar] [CrossRef] [PubMed]
- Matsuo, K.; Chen, L.; Klar, M.; Lee, M.W.; Machida, H.; Mikami, M.; Muderspach, L.I.; Carlson, J.W.; Roman, L.D.; Wright, J.D. Prognostic performance of the 2023 FIGO staging schema for endometrial cancer. Gynecol. Oncol. 2024, 187, 37–45. [Google Scholar] [CrossRef] [PubMed]
- Peters, E.E.M.; Leon-Castillo, A.; Smit, V.; Boennelycke, M.; Hogdall, E.; Hogdall, C.; Creutzberg, C.; Jurgenliemk-Schulz, I.M.; Jobsen, J.J.; Mens, J.W.M.; et al. Defining substantial lymphovascular space invasion in endometrial cancer. Int. J. Gynecol. Pathol. 2022, 41, 220–226. [Google Scholar] [CrossRef]
- Concin, N.; Matias-Guiu, X.; Vergote, I.; Cibula, D.; Mirza, M.R.; Marnitz, S.; Ledermann, J.; Bosse, T.; Chargari, C.; Fagotti, A.; et al. ESGO/ESTRO/ESP guidelines for the management of patients with endometrial carcinoma. Int. J. Gynecol. Cancer 2021, 31, 12–39. [Google Scholar] [CrossRef]
- Yarandi, F.; Shirali, E.; Akhavan, S.; Nili, F.; Ramhormozian, S. The impact of lymphovascular space invasion on survival in early stage low-grade endometrioid endometrial cancer. Eur. J. Med. Res. 2023, 28, 118. [Google Scholar] [CrossRef] [PubMed]
- Gaffney, D.; Matias-Guiu, X.; Mutch, D.; Scambia, G.; Creutzberg, C.; Fotopoulou, C.; Berek, J.S.; Concin, N. 2023 FIGO staging system for endometrial cancer: The evolution of the revolution. Gynecol. Oncol. 2024, 184, 245–253. [Google Scholar] [CrossRef] [PubMed]
- Al Khatib, S.; Bhatnagar, A.; Elshaikh, N.; Ghanem, A.I.; Burmeister, C.; Allo, G.; Alkamachi, B.; Paridon, A.; Elshaikh, M.A. The prognostic significance of the depth of cervical stromal invasion in women with FIGO Stage II uterine endometrioid carcinoma. Am. J. Clin. Oncol. 2023, 46, 445–449. [Google Scholar] [CrossRef]
- Mutlu, L.; Manavella, D.D.; Gullo, G.; McNamara, B.; Santin, A.D.; Patrizio, P. Endometrial cancer in reproductive age: Fertility-sparing approach and reproductive outcomes. Cancers 2022, 14, 5187. [Google Scholar] [CrossRef]
- Sun, B.; Zhang, X.; Dong, Y.; Li, X.; Yang, X.; Zhao, L.; Wang, J.; Cheng, Y. Prognostic significance of lymphovascular space invasion in early-stage low-grade endometrioid endometrial cancer: A fifteen-year retrospective Chinese cohort study. World J. Surg. Oncol. 2024, 22, 203. [Google Scholar] [CrossRef] [PubMed]
- Qin, Z.J.; Wang, Y.S.; Chen, Y.L.; Zheng, A.; Han, L. Evaluation of prognostic significance of lymphovascular space invasion in early stage endometrial cancer: A systematic review and meta-analysis. Front. Oncol. 2023, 13, 1286221. [Google Scholar] [CrossRef]
- Rodolakis, A.; Scambia, G.; Planchamp, F.; Acien, M.; Di Spiezio Sardo, A.; Farrugia, M.; Grynberg, M.; Pakiz, M.; Pavlakis, K.; Vermeulen, N.; et al. ESGO/ESHRE/ESGE Guidelines for the fertility-sparing treatment of patients with endometrial carcinoma. Int. J. Gynecol. Cancer 2023, 33, 208–222. [Google Scholar] [CrossRef]
- Wakkerman, F.C.; Wu, J.; Putter, H.; Jurgenliemk-Schulz, I.M.; Jobsen, J.J.; Lutgens, L.; Haverkort, M.A.D.; de Jong, M.A.; Mens, J.W.M.; Wortman, B.G.; et al. Prognostic impact and causality of age on oncological outcomes in women with endometrial cancer: A multimethod analysis of the randomised PORTEC-1, PORTEC-2, and PORTEC-3 trials. Lancet Oncol. 2024, 25, 779–789. [Google Scholar] [CrossRef]
- Jaishankar, S.; Pifer, P.M.; Bhargava, R.; Keller, A.; Musunuru, H.B.; Patel, A.K.; Sukumvanich, P.; Boisen, M.; Berger, J.L.; Taylor, S.; et al. Is substantial lymphovascular space invasion prognostic for clinical outcomes in Type II endometrial cancer? Clin. Oncol. 2022, 34, 452–458. [Google Scholar] [CrossRef]
- Bosse, T.; Peters, E.E.; Creutzberg, C.L.; Jurgenliemk-Schulz, I.M.; Jobsen, J.J.; Mens, J.W.; Lutgens, L.C.; van der Steen-Banasik, E.M.; Smit, V.T.; Nout, R.A. Substantial lymph-vascular space invasion (LVSI) is a significant risk factor for recurrence in endometrial cancer--A pooled analysis of PORTEC 1 and 2 trials. Eur. J. Cancer 2015, 51, 1742–1750. [Google Scholar] [CrossRef]
- Peters, E.E.M.; Leon-Castillo, A.; Hogdall, E.; Boennelycke, M.; Smit, V.; Hogdall, C.; Creutzberg, C.L.; Bosse, T.; Nout, R.A.; Ortoft, G. Substantial lymphovascular space invasion is an adverse prognostic factor in high-risk endometrial cancer. Int. J. Gynecol. Pathol. 2022, 41, 227–234. [Google Scholar] [CrossRef]
- Lee, Y.Y.; Lai, Y.L.; Kim, M.S.; Chang, K.; Kim, H.S.; Cheng, W.F.; Chen, Y.L. Impact of adjuvant treatment on survival in patients with 2023 FIGO stage IIC endometrial cancer: A retrospective analysis from two tertiary centers in Korea and Taiwan. J. Gynecol. Oncol. 2024, 35, e33. [Google Scholar] [CrossRef] [PubMed]
- Shao, W.; Xue, Y.; Xu, Z.; Guan, J.; Wang, H.; Chen, X.; Ren, Y. Deep cervical stromal invasion predicts poor prognosis in patients with stage II endometrioid endometrial cancer: A two-centered retrospective study. Front. Oncol. 2025, 15, 1450054. [Google Scholar] [CrossRef] [PubMed]
- Zannoni, G.F.; Santoro, A.; Arciuolo, D.; Travaglino, A.; Angelico, G.; Bragantini, E.; Rocco, E.G.; Inzani, F.; Pesci, A.; Troncone, G.; et al. Endometrial cancer and 2023 FIGO staging system: Not too soon, but maybe too much? Gynecol. Oncol. 2024, 189, 98–100. [Google Scholar] [CrossRef]
- Madár, I.; Szabó, A.; Vleskó, G.; Hegyi, P.; Ács, N.; Fehérvári, P.; Kói, T.; Kálovics, E.; Szabó, G. Diagnostic accuracy of transvaginal ultrasound and magnetic resonance imaging for the detection of myometrial infiltration in endometrial cancer: A systematic review and meta-analysis. Cancers 2024, 16, 907. [Google Scholar] [CrossRef]
- Di Donato, V.; Kontopantelis, E.; Cuccu, I.; Sgamba, L.; Golia D’Augè, T.; Pernazza, A.; Della Rocca, C.; Manganaro, L.; Catalano, C.; Perniola, G.; et al. Magnetic resonance imaging-radiomics in endometrial cancer: A systematic review and meta-analysis. Int. J. Gynecol. Cancer 2023, 33, 1070–1076. [Google Scholar] [CrossRef] [PubMed]
- Siegenthaler, F.; Lindemann, K.; Epstein, E.; Rau, T.T.; Nastic, D.; Ghaderi, M.; Rydberg, F.; Mueller, M.D.; Carlson, J.; Imboden, S. Time to first recurrence, pattern of recurrence, and survival after recurrence in endometrial cancer according to the molecular classification. Gynecol. Oncol. 2022, 165, 230–238. [Google Scholar] [CrossRef]








| Characteristics | n = 472 |
|---|---|
| Age (years) | |
| Mean ± SD | 55 ± 9.8 |
| Median (IQR) | 55 (49, 61) |
| Maximum tumor diameter (cm) | |
| Mean ± SD | 3.1 ± 2.3 |
| Median (IQR) | 2.9 (1.7, 4.5) |
| Postmenopausal | 302 (64) |
| FIGO stage 2009 | |
| IA | 336 (71.2) |
| IB | 96 (20.3) |
| II | 40 (8.5) |
| FIGO stage 2023 | |
| IA1 | 115 (24.4) |
| IA2 | 153 (32.4) |
| IB | 50 (10.6) |
| IC | 10 (2.1) |
| IIA | 12 (2.5) |
| IIB | 58 (12.3) |
| IIC | 74 (15.7) |
| Endometrial cancer subtype | |
| Endometrioid adenocarcinoma (grade 1–2) | 388 (82.2) |
| Endometrioid adenocarcinoma (grade 3) | 45 (9.6) |
| Mucinous carcinoma | 3 (0.6) |
| Serous carcinoma | 15 (3.2) |
| Clear cell carcinoma | 4 (0.8) |
| Mixed carcinoma | 2 (0.4) |
| Carcinosarcoma | 15 (3.2) |
| Recurrence | |
| No | 425 (90) |
| Yes | 47 (10) |
| Pattern of recurrence | |
| Locoregional | 11 (23.4) |
| Distant | 36 (76.6) |
| Death | |
| No | 424 (89.8) |
| Yes | 48 (10.2) |
| Nonaggressive Group | Aggressive Group | |||||||
|---|---|---|---|---|---|---|---|---|
| Variables | Univariate | Multivariate | Univariate | Multivariate | ||||
| HR (95% CI) | p-Value | HR (95% CI) | p-Value | HR (95% CI) | p-Value | HR (95% CI) | p-Value | |
| Age | 1.044 (1.003–1.086) | 0.035 | 1.036 (0.984–1.092) | 0.18 | 1.019 (0.985–1.054) | 0.282 | 1.018 (0.982–1.056) | 0.332 |
| Menopausal status | 1.701 (0.783–3.695) | 0.179 | 0.972 (0.370–2.555) | 0.955 | 0.809 (0.379–1.729) | 0.585 | 0.804 (0.343–1.886) | 0.616 |
| LVSI | 2.800 (1.341–5.845) | 0.006 | 2.181 (0.934–5.094) | 0.072 | 0.880 (0.452–1.712) | 0.707 | 0.587 (0.286–1.207) | 0.148 |
| Myometrial invasion depth | ||||||||
| No invasion | (reference) | (reference) | (reference) | (reference) | ||||
| <50% invasion | 1.055 (0.415–2.682) | 0.91 | 0.884 (0.344–2.268) | 0.798 | 1.242 (0.264–5.849) | 0.784 | 1.377 (0.285–6.662) | 0.691 |
| ≥50% invasion | 2.223 (0.874–5.652) | 0.093 | 1.129 (0.389–3.277) | 0.823 | 3.118 (0.738–13.180) | 0.122 | 3.523 (0.761–16.315) | 0.107 |
| CSI | 2.401 (0.922–6.254) | 0.073 | 1.508 (0.526–4.322) | 0.445 | 2.646 (1.311–5.339) | 0.007 | 2.126 (0.999–4.524) | 0.0503 |
| Nonaggressive Group | Aggressive Group | |||||||
|---|---|---|---|---|---|---|---|---|
| Variables | Univariate | Multivariate | Univariate | Multivariate | ||||
| HR (95% CI) | p-Value | HR (95% CI) | p-Value | HR (95%CI) | p-Value | HR (95% CI) | p-Value | |
| Age | 1.075 (1.031–1.120) | 0.001 | 1.069 (1.014–1.127) | 0.014 | 1.047 (1.012–1.083) | 0.008 | 1.045 (1.009–1.084) | 0.015 |
| Menopausal status | 1.823 (0.808–4.116) | 0.148 | 0.699 (0.260–1.881) | 0.478 | 1.352 (0.580–3.152) | 0.486 | 1.166 (0.474–2.865) | 0.739 |
| LVSI | 3.566 (1.702–7.471) | 0.001 | 2.391 (1.004–5.691) | 0.049 | 0.934 (0.476–1.833) | 0.843 | 0.690 (0.327–1.457) | 0.33 |
| Myometrial invasion depth | ||||||||
| No invasion | (reference) | (reference) | (reference) | (reference) | ||||
| <50% invasion | 0.520 (0.175–1.548) | 0.24 | 0.421 (0.140–1.262) | 0.123 | 1.246 (0.264–5.871) | 0.781 | 1.440 (0.295–7.034) | 0.653 |
| ≥50% invasion | 2.845 (1.169–6.920) | 0.021 | 1.198 (0.432–3.323) | 0.729 | 2.693 (0.636–11.411) | 0.179 | 2.644 (0.563–12.422) | 0.218 |
| CSI | 3.203 (1.301–7.883) | 0.011 | 1.631 (0.595–4.474) | 0.342 | 2.182 (1.062–4.487) | 0.034 | 2.108 (0.982–4.523) | 0.056 |
Disclaimer/Publisher’s Note: The statements, opinions and data contained in all publications are solely those of the individual author(s) and contributor(s) and not of MDPI and/or the editor(s). MDPI and/or the editor(s) disclaim responsibility for any injury to people or property resulting from any ideas, methods, instructions or products referred to in the content. |
© 2025 by the authors. Licensee MDPI, Basel, Switzerland. This article is an open access article distributed under the terms and conditions of the Creative Commons Attribution (CC BY) license (https://creativecommons.org/licenses/by/4.0/).
Share and Cite
Lee, S.L.; Shin, Y.R.; Kim, H.; Rha, S.E. Comparative Prognostic Evaluation of the Revised International Federation of Gynecology and Obstetrics 2023 and 2009 Staging Systems in Early Endometrial Cancer. Cancers 2025, 17, 3017. https://doi.org/10.3390/cancers17183017
Lee SL, Shin YR, Kim H, Rha SE. Comparative Prognostic Evaluation of the Revised International Federation of Gynecology and Obstetrics 2023 and 2009 Staging Systems in Early Endometrial Cancer. Cancers. 2025; 17(18):3017. https://doi.org/10.3390/cancers17183017
Chicago/Turabian StyleLee, Su Lim, Yu Ri Shin, Hokun Kim, and Sung Eun Rha. 2025. "Comparative Prognostic Evaluation of the Revised International Federation of Gynecology and Obstetrics 2023 and 2009 Staging Systems in Early Endometrial Cancer" Cancers 17, no. 18: 3017. https://doi.org/10.3390/cancers17183017
APA StyleLee, S. L., Shin, Y. R., Kim, H., & Rha, S. E. (2025). Comparative Prognostic Evaluation of the Revised International Federation of Gynecology and Obstetrics 2023 and 2009 Staging Systems in Early Endometrial Cancer. Cancers, 17(18), 3017. https://doi.org/10.3390/cancers17183017

