Prognostic Impact of Postoperative Systemic Immune-Inflammation Index Changes in Epithelial Ovarian Cancer
Simple Summary
Abstract
1. Introduction
2. Materials and Methods
2.1. Study Population
2.2. Data Collection and Variables
2.3. Systemic Immune-Inflammation Index (SII) Calculation
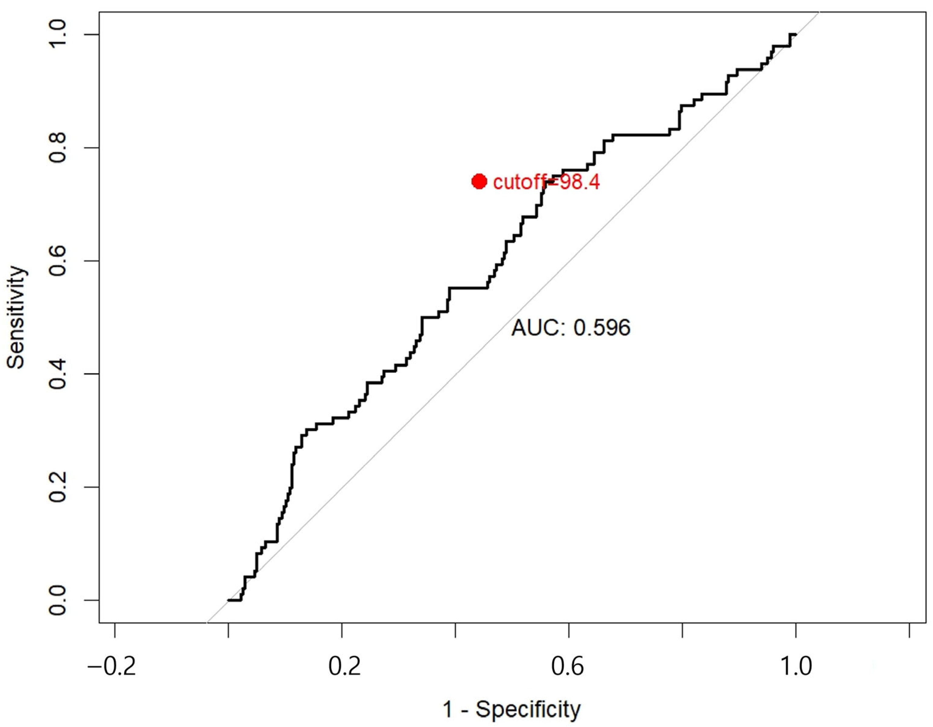
2.4. Cut-Off Determination and Group Classification
2.5. Statistical Analysis
3. Results
3.1. Baseline Characteristics
3.2. Perioperative and Postoperative Outcomes
3.3. Survival Outcomes
3.4. Prognostic Factor Analysis
3.5. Predictors of Elevated Postoperative SII
4. Discussion
5. Conclusions
Author Contributions
Funding
Institutional Review Board Statement
Informed Consent Statement
Data Availability Statement
Conflicts of Interest
Abbreviations
| BRCA | Breast cancer susceptibility gene |
| CA-125 | Cancer antigen 125 |
| CCI | Charlson comorbidity index |
| CI | Confidence interval |
| CRP | C-reactive protein |
| EOC | Epithelial ovarian cancer |
| FIGO | International Federation of Gynecology and Obstetrics |
| HR | Hazard ratio |
| ICI | Immune checkpoint inhibitor |
| IQR | Interquartile range |
| MMR | Mismatch repair |
| NLR | Neutrophil-to-lymphocyte ratio |
| OS | Overall survival |
| PD-L1 | programmed death-ligand 1 |
| PFS | Progression-free survival |
| PLR | Platelet-to-lymphocyte ratio |
| ROC | Receiver operating characteristic |
| SII | Systemic immune-inflammation index |
Appendix A. ROC Curve for SII Cutoff

References
- Torre, L.A.; Trabert, B.; DeSantis, C.E.; Miller, K.D.; Samimi, G.; Runowicz, C.D.; Gaudet, M.M.; Jemal, A.; Siegel, R.L. Ovarian cancer statistics, 2018. CA Cancer J. Clin. 2018, 68, 284–296. [Google Scholar] [CrossRef] [PubMed]
- Webb, P.M.; Jordan, S.J. Global epidemiology of epithelial ovarian cancer. Nat. Rev. Clin. Oncol. 2024, 21, 389–400. [Google Scholar] [CrossRef]
- Hanahan, D.; Weinberg, R.A. Hallmarks of cancer: The next generation. Cell 2011, 144, 646–674. [Google Scholar] [CrossRef]
- Chu, B.; Chen, Y.; Pan, J. Prognostic significance of systemic immune inflammation index for ovarian cancer: An updated systematic review and meta-analysis. J. Ovarian Res. 2025, 18, 41. [Google Scholar] [CrossRef]
- Mao, H.; Yang, F. Prognostic significance of systemic immune-inflammation index in patients with ovarian cancer: A meta-analysis. Front. Oncol. 2023, 13, 1193962. [Google Scholar] [CrossRef]
- Zhang, C.-L.; Jiang, X.-C.; Li, Y.; Pan, X.; Gao, M.-Q.; Chen, Y.; Pang, B. Independent predictive value of blood inflammatory composite markers in ovarian cancer: Recent clinical evidence and perspective focusing on NLR and PLR. J. Ovarian Res. 2023, 16, 36. [Google Scholar] [CrossRef] [PubMed]
- Sun, J.; Yang, R.; Wu, H.; Li, L.; Gu, Y. Prognostic value of preoperative combined with postoperative systemic immune-inflammation index for disease-free survival after radical rectal cancer surgery: A retrospective cohort study. Transl. Cancer Res. 2024, 13, 371–380. [Google Scholar] [CrossRef]
- Huang, L.; Liu, S.; Lei, Y.; Wang, K.; Xu, M.; Chen, Y.; Liu, B.; Chen, Y.; Fu, Q.; Zhang, P.; et al. Systemic immune-inflammation index, thymidine phosphorylase and survival of localized gastric cancer patients after curative resection. Oncotarget 2016, 7, 44185–44193. [Google Scholar] [CrossRef]
- Feng, L.; Xu, R.; Lin, L.; Liao, X. Effect of the systemic immune-inflammation index on postoperative complications and the long-term prognosis of patients with colorectal cancer: A retrospective cohort study. J. Gastrointest. Oncol. 2022, 13, 2333–2339. [Google Scholar] [CrossRef] [PubMed]
- Van Nguyen, J.M.; Ferguson, S.E.; Bernardini, M.Q.; May, T.; Laframboise, S.; Hogen, L.; Bouchard-Fortier, G. Preoperative neutrophil-to-lymphocyte ratio predicts 30 day postoperative morbidity and survival after primary surgery for ovarian cancer. Int. J. Gynecol. Cancer 2020, 30, 1378–1383. [Google Scholar] [CrossRef]
- Zhou, Q.; Hong, L.; Zuo, M.-Z.; He, Z. Prognostic significance of neutrophil to lymphocyte ratio in ovarian cancer: Evidence from 4,910 patients. Oncotarget 2017, 8, 68938–68949. [Google Scholar] [CrossRef] [PubMed]
- Yang, R.; Chang, Q.; Meng, X.; Gao, N.; Wang, W. Prognostic value of Systemic immune-inflammation index in cancer: A meta-analysis. J. Cancer 2018, 9, 3295–3302. [Google Scholar] [CrossRef] [PubMed]
- Tian, C.; Song, W.; Tian, X.; Sun, Y. Prognostic significance of platelet-to-lymphocyte ratio in patients with ovarian cancer: A meta-analysis. Eur. J. Clin. Investig. 2018, 48, e12917. [Google Scholar] [CrossRef]
- Zhu, Y.; Zhou, S.; Liu, Y.; Zhai, L.; Sun, X. Prognostic value of systemic inflammatory markers in ovarian Cancer: A PRISMA-compliant meta-analysis and systematic review. BMC Cancer 2018, 18, 443. [Google Scholar] [CrossRef]
- Jomrich, G.; Gruber, E.S.; Winkler, D.; Hollenstein, M.; Gnant, M.; Sahora, K.; Schindl, M. Systemic Immune-Inflammation Index (SII) Predicts Poor Survival in Pancreatic Cancer Patients Undergoing Resection. J. Gastrointest. Surg. 2019, 24, 610–618. [Google Scholar] [CrossRef]
- Cools-Lartigue, J.; Spicer, J.; McDonald, B.; Gowing, S.; Chow, S.; Giannias, B.; Bourdeau, F.; Kubes, P.; Ferri, L. Neutrophil extracellular traps sequester circulating tumor cells and promote metastasis. J. Clin. Investig. 2013, 123, 3446–3458. [Google Scholar] [CrossRef] [PubMed]
- Kourilovitch, M.; Galarza–Maldonado, C. Could a simple biomarker as neutrophil-to-lymphocyte ratio reflect complex processes orchestrated by neutrophils? J. Transl. Autoimmun. 2022, 6, 100159. [Google Scholar] [CrossRef]
- Panigrahy, D.; Gartung, A.; Yang, J.; Yang, H.; Gilligan, M.M.; Sulciner, M.L.; Bhasin, S.S.; Bielenberg, D.R.; Chang, J.; Schmidt, B.A.; et al. Preoperative stimulation of resolution and inflammation blockade eradicates micrometastases. J. Clin. Investig. 2019, 129, 2964–2979. [Google Scholar] [CrossRef]
- Tang, F.; Tie, Y.; Tu, C.; Wei, X. Surgical trauma-induced immunosuppression in cancer: Recent advances and the potential therapies. Clin. Transl. Med. 2020, 10, 199–223. [Google Scholar] [CrossRef]
- Stone, R.L.; Nick, A.M.; McNeish, I.A.; Balkwill, F.; Han, H.D.; Bottsford-Miller, J.; Rupaimoole, R.; Armaiz-Pena, G.N.; Pecot, C.V.; Coward, J.; et al. Paraneoplastic Thrombocytosis in Ovarian Cancer. N. Engl. J. Med. 2012, 366, 610–618. [Google Scholar] [CrossRef]
- Hiller, J.G.; Perry, N.J.; Poulogiannis, G.; Riedel, B.; Sloan, E.K. Perioperative events influence cancer recurrence risk after surgery. Nat. Rev. Clin. Oncol. 2018, 15, 205–218. [Google Scholar] [CrossRef] [PubMed]
- Horowitz, M.; Neeman, E.; Sharon, E.; Ben-Eliyahu, S. Exploiting the critical perioperative period to improve long-term cancer outcomes. Nat. Rev. Clin. Oncol. 2015, 12, 213–226. [Google Scholar] [CrossRef] [PubMed]
- Haldar, R.; Ricon-Becker, I.; Radin, A.; Gutman, M.; Cole, S.W.; Zmora, O.; Ben-Eliyahu, S. Perioperative COX2 and β-adrenergic blockade improves biomarkers of tumor metastasis, immunity, and inflammation in colorectal cancer: A randomized controlled trial. Cancer 2020, 126, 3991–4001. [Google Scholar] [CrossRef]
- Shaashua, L.; Shabat-Simon, M.; Haldar, R.; Matzner, P.; Zmora, O.; Shabtai, M.; Sharon, E.; Allweis, T.; Barshack, I.; Hayman, L.; et al. Perioperative COX-2 and β-Adrenergic blockade improves metastatic biomarkers in breast cancer patients in a phase-II randomized trial. Clin. Cancer Res. 2017, 23, 4651–4661. [Google Scholar] [CrossRef]
- Shaji, S.; Smith, C.; Forget, P. Perioperative NSAIDs and Long-Term Outcomes After cancer Surgery: A Systematic Review and Meta-analysis. Curr. Oncol. Rep. 2021, 23, 146. [Google Scholar] [CrossRef] [PubMed]
- Huang, W.-W.; Zhu, W.-Z.; Mu, D.-L.; Ji, X.-Q.; Nie, X.-L.; Li, X.-Y.; Wang, D.-X.; Ma, D. Perioperative Management May Improve Long-term Survival in Patients After Lung Cancer Surgery: A Retrospective Cohort Study. Anesthesia Analg. 2018, 126, 1666–1674. [Google Scholar] [CrossRef]
- Pang, Q.-Y.; An, R.; Liu, H.-L. Perioperative transfusion and the prognosis of colorectal cancer surgery: A systematic review and meta-analysis. World J. Surg. Oncol. 2019, 17, 7. [Google Scholar] [CrossRef]
- Setiawan, V.W.; Matsuno, R.K.; Lurie, G.; Wilkens, L.R.; Carney, M.E.; Henderson, B.E.; Kolonel, L.N.; Goodman, M.T. Use of Nonsteroidal Anti-inflammatory Drugs and Risk of Ovarian and Endometrial Cancer: The Multiethnic Cohort. Cancer Epidemiol. Biomark. Prev. 2012, 21, 1441–1449. [Google Scholar] [CrossRef]
- Trabert, B.; Ness, R.B.; Lo-Ciganic, W.-H.; Murphy, M.A.; Goode, E.L.; Poole, E.M.; Brinton, L.A.; Webb, P.M.; Nagle, C.M.; Jordan, S.J.; et al. Aspirin, Nonaspirin Nonsteroidal Anti-inflammatory Drug, and Acetaminophen Use and Risk of Invasive Epithelial Ovarian Cancer: A Pooled Analysis in the Ovarian Cancer Association Consortium. JNCI J. Natl. Cancer Inst. 2014, 106, djt431. [Google Scholar] [CrossRef]
- Zerbini, L.F.; Tamura, R.E.; Correa, R.G.; Czibere, A.; Cordeiro, J.; Bhasin, M.; Simabuco, F.M.; Wang, Y.; Gu, X.; Li, L.; et al. Combinatorial Effect of Non-Steroidal Anti-inflammatory Drugs and NF-κB Inhibitors in Ovarian Cancer Therapy. PLoS ONE 2011, 6, e24285. [Google Scholar] [CrossRef]
- Cata, J.; Guerra, C.; Chang, G.; Gottumukkala, V.; Joshi, G. Non-steroidal anti-inflammatory drugs in the oncological surgical population: Beneficial or harmful? A systematic review of the literature. Br. J. Anaesth. 2017, 119, 750–764. [Google Scholar] [CrossRef] [PubMed]
- Miyatani, K.; Sawata, S.; Makinoya, M.; Miyauchi, W.; Shimizu, S.; Shishido, Y.; Matsunaga, T.; Yamamoto, M.; Tokuyasu, N.; Takano, S.; et al. Combined analysis of preoperative and postoperative lymphocyte-C-reactive protein ratio precisely predicts outcomes of patients with gastric cancer. BMC Cancer 2022, 22, 641. [Google Scholar] [CrossRef] [PubMed]
- Huang, Y.; Chen, Y.; Zhu, Y.; Wu, Q.; Yao, C.; Xia, H.; Li, C. Postoperative Systemic Immune-Inflammation Index (SII): A Superior Prognostic Factor of Endometrial Cancer. Front. Surg. 2021, 8, 704235. [Google Scholar] [CrossRef] [PubMed]
- McSorley, S.T.; Tham, A.; Dolan, R.D.; Steele, C.W.; Ramsingh, J.; Roxburgh, C.; Horgan, P.G.; McMillan, D.C. Perioperative Blood Transfusion is Associated with Postoperative Systemic Inflammatory Response and Poorer Outcomes Following Surgery for Colorectal Cancer. Ann. Surg. Oncol. 2019, 27, 833–843. [Google Scholar] [CrossRef]
- Aguilar-Nascimento, J.E.; Zampieri-Filho, J.P.; Bordin, J.O. Implications of perioperative allogeneic red blood cell transfusion on the immune-inflammatory response. Hematol. Transfus. Cell Ther. 2021, 43, 58–64. [Google Scholar] [CrossRef]
- Jiao, Y.; Zhang, X.; Liu, M.; Sun, Y.; Ma, Z.; Gu, X.; Gu, W.; Zhu, W. Systemic immune-inflammation index within the first postoperative hour as a predictor of severe postoperative complications in upper abdominal surgery: A retrospective single-center study. BMC Gastroenterol. 2022, 22, 403. [Google Scholar] [CrossRef]


| Total (n = 374) | Group 1 (n = 147) | Group 2 (n = 227) | p-Value | |
|---|---|---|---|---|
| Age (years) | 54.1 ± 11.6 | 53.2 ± 12.7 | 54.6 ± 10.9 | 0.267 |
| Initial CA-125 (U/mL) | 251.5 [42.0, 816.8] | 316.1 [42.4, 1184.0] | 218.8 [41.7, 706.8] | 0.341 |
| Charlson comorbidity index | ||||
| Score ≤ 2 | 304 (81.3%) | 120 (81.6%) | 184 (81.1%) | 0.889 |
| Score ≥ 3 | 70 (18.7%) | 27 (18.4%) | 43 (18.9%) | |
| FIGO stage | ||||
| Stage I | 105 (28.1%) | 42 (28.6%) | 63 (27.8%) | 0.863 |
| Stage II or above | 269 (71.9%) | 105 (71.4%) | 164 (72.2%) | |
| Cell type | ||||
| Serous | 230 (61.5%) | 79 (53.7%) | 151 (66.5%) | 0.013 |
| Non-serous | 144 (38.5%) | 68 (46.3%) | 76 (33.5%) | |
| Endometrioid | 22 (15.3%) | 12 (17.7%) | 10 (13.2%) | |
| Clear cell | 57 (39.6%) | 23 (33.8%) | 34 (44.7%) | |
| Mucinous | 43 (29.9%) | 22 (32.4%) | 21 (27.6%) | |
| Mixed | 10 (6.9%) | 6 (8.8%) | 4 (5.3%) | |
| Adenocarcinoma | 3 (2.1%) | 2 (2.9%) | 1 (1.3%) | |
| Undifferentiated | 2 (1.4%) | 0 (0.0%) | 2 (2.6%) | |
| Poorly differentiated | 3 (2.1%) | 0 (0.0%) | 3 (4.0%) | |
| Seromucinous carcinoma | 4 (2.7%) | 3 (4.4%) | 1 (1.3%) | |
| Grade | ||||
| Grade 1 | 43 (11.5%) | 27 (18.4%) | 16 (7.0%) | <0.001 |
| Grade 2 or 3 | 331 (88.5%) | 120 (81.6%) | 211 (93.0%) | |
| Germline or somatic BRCA | ||||
| Mutated | 81 (21.7%) | 28 (19.1%) | 53 (23.4%) | 0.885 |
| Non-mutated | 186 (49.7%) | 66 (44.9%) | 120 (52.9%) | |
| Not tested | 107 (28.6%) | 53 (36.0%) | 54 (23.7%) | |
| MMR | ||||
| Intact | 82 (21.9%) | 36 (24.5%) | 46 (20.3%) | 1.000 |
| Deficient | 4 (1.1%) | 1 (0.7%) | 3 (1.3%) | |
| Not tested | 288 (77.0%) | 110 (74.8%) | 178 (78.4%) | |
| PDL1 | ||||
| Negative | 35 (9.4%) | 14 (9.5%) | 21 (9.3%) | 0.596 |
| Positive | 48 (12.8%) | 22 (15.0%) | 26 (11.5%) | |
| Not tested | 291 (77.8%) | 111 (75.5%) | 180 (79.2%) | |
| Group 1 (n = 147) | Group 2 (n = 227) | p-Value | |
|---|---|---|---|
| Approach | |||
| Laparoscopic (n = 46) | 22 (15%) | 24 (10.6%) | 0.206 |
| Open (n = 328) | 125 (85%) | 203 (89.4%) | |
| Surgical optimality (Among stage II or above) (n = 257) | |||
| No gross residual (n = 200) | 82 (78.1%) | 118 (72%) | 0.472 |
| Residual < 1 cm (n = 4) | 2 (1.9%) | 2 (1.2%) | |
| 1 cm ≤ Residual (n = 65) | 21 (20%) | 44 (26.8%) | |
| Surgical complexity score | |||
| Score ≤ 3 (n = 141) | 57 (38.8%) | 84 (37%) | 0.730 |
| Score ≥ 4 (n = 233) | 90 (61.2%) | 143 (63%) | |
| Operation time (minutes) | 230 [175, 281] | 228 [169, 302] | 0.703 |
| Post-operative ICU care (n = 48) | 26 (17.7%) | 22 (9.7%) | 0.024 |
| Ascites (mL) | 0 [0, 250] | 0 [0, 300] | 0.062 |
| Estimated blood loss (mL) | 450 [200, 1000] | 400 [250, 710] | 0.469 |
| Preoperative SII | 1084.3 [732.9, 2081.7] | 684.7 [459.8, 1069.8] | <0.001 |
| POD#1 SII | 1364.5 [947.4, 2223.0] | 2462.3 [1524.1, 4453.4] | <0.001 |
| Variables | Overall Survival | Progression Free Survival | ||||||
|---|---|---|---|---|---|---|---|---|
| Univariable HR | p-Value | Multivariable HR | p-Value | Univariable HR | p-Value | Multivariable HR | p-Value | |
| FIGO stage (II or above vs. I) | 6.19 (2.87–13.37) | <0.001 | 7.29 (3.18–16.70) | <0.001 | 4.75 (2.87–7.85) | <0.001 | 4.24 (2.39–7.51) | <0.001 |
| Histological type (Non-serous vs. Serous) | 0.74 (0.48–1.14) | 0.171 | 2.34 (1.46–3.75) | <0.001 | 0.47 (0.33–0.67) | <0.001 | 1.26 (0.84–1.90) | 0.260 |
| Tumor grade (Grade 2 or 3 vs. Grade 1) | 3.34 (1.23–9.12) | 0.018 | 2.33 (0.83–6.56) | 0.110 | 6.10 (2.26–16.46) | <0.001 | 4.41 (1.60–12.14) | 0.004 |
| Residual disease (Yes vs. No) | 3.71 (2.44–5.64) | <0.001 | 2.68 (1.73–4.17) | <0.001 | 3.13 (2.23–4.39) | <0.001 | 2.08 (1.47–2.95) | <0.001 |
| Group 2 vs. Group 1 | 1.94 (1.23–3.07) | 0.004 | 1.86 (1.17–2.97) | 0.009 | 1.43 (1.04–1.97) | 0.030 | 1.30 (0.94–1.80) | 0.112 |
| Odds Ratio (95% CI) | p-Value | |
|---|---|---|
| Histological type (Non-serous vs. Serous) | 0.40 (0.19–0.81) | 0.013 |
| Tumor grade (Grade 2 or 3 vs. Grade 1) | 2.04 (0.63–6.99) | 0.238 |
| Residual disease (Yes vs. No) | 1.45 (0.59–3.71) | 0.420 |
| Surgical approach (Laparoscopic vs. Open) | 1.94 (0.61–6.11) | 0.254 |
| Estimated blood loss (< 500 mL vs. ≥ 500 mL) | 0.28 (0.13–0.59) | 0.001 |
Disclaimer/Publisher’s Note: The statements, opinions and data contained in all publications are solely those of the individual author(s) and contributor(s) and not of MDPI and/or the editor(s). MDPI and/or the editor(s) disclaim responsibility for any injury to people or property resulting from any ideas, methods, instructions or products referred to in the content. |
© 2025 by the authors. Licensee MDPI, Basel, Switzerland. This article is an open access article distributed under the terms and conditions of the Creative Commons Attribution (CC BY) license (https://creativecommons.org/licenses/by/4.0/).
Share and Cite
Chung, Y.E.; Paik, E.S.; Kim, M.; Kim, N.-H.; Lim, S.; Seo, J.-H.; Choi, C.H.; Kim, T.-J.; Lee, J.-W.; Lee, Y.-Y. Prognostic Impact of Postoperative Systemic Immune-Inflammation Index Changes in Epithelial Ovarian Cancer. Cancers 2025, 17, 3422. https://doi.org/10.3390/cancers17213422
Chung YE, Paik ES, Kim M, Kim N-H, Lim S, Seo J-H, Choi CH, Kim T-J, Lee J-W, Lee Y-Y. Prognostic Impact of Postoperative Systemic Immune-Inflammation Index Changes in Epithelial Ovarian Cancer. Cancers. 2025; 17(21):3422. https://doi.org/10.3390/cancers17213422
Chicago/Turabian StyleChung, Young Eun, E Sun Paik, Minji Kim, Na-Hyun Kim, Seongyun Lim, Jun-Hyeong Seo, Chel Hun Choi, Tae-Joong Kim, Jeong-Won Lee, and Yoo-Young Lee. 2025. "Prognostic Impact of Postoperative Systemic Immune-Inflammation Index Changes in Epithelial Ovarian Cancer" Cancers 17, no. 21: 3422. https://doi.org/10.3390/cancers17213422
APA StyleChung, Y. E., Paik, E. S., Kim, M., Kim, N.-H., Lim, S., Seo, J.-H., Choi, C. H., Kim, T.-J., Lee, J.-W., & Lee, Y.-Y. (2025). Prognostic Impact of Postoperative Systemic Immune-Inflammation Index Changes in Epithelial Ovarian Cancer. Cancers, 17(21), 3422. https://doi.org/10.3390/cancers17213422

