Abstract
Once a biorefinery is ready to operate, the main processed materials need to be completely evaluated in terms of many different factors, including disposal regulations, technological limitations of installation, the market, and other societal considerations. In biorefinery, glycerol is the main by-product, representing around 10% of biodiesel production. In the last few decades, the large-scale production of biodiesel and glycerol has promoted research on a wide range of strategies in an attempt to valorize this by-product, with its transformation into added value chemicals being the strategy that exhibits the most promising route. Among them, C3 compounds obtained from routes such as hydrogenation, oxidation, esterification, etc. represent an alternative to petroleum-based routes for chemicals such as acrolein, propanediols, or carboxylic acids of interest for the polymer industry. Another widely studied and developed strategy includes processes such as reforming or pyrolysis for energy, clean fuels, and materials such as activated carbon. This review covers recent advances in catalysts used in the most promising strategies considering both chemicals and energy or fuel obtention. Due to the large variety in biorefinery industries, several potential emergent valorization routes are briefly summarized.
Keywords:
glycerine; glycerol; active carbon; catalytic valorization; reforming; dehydration; hydrogenolysis; oxidation 1. Introduction
Glycerol (propane-1,2,3-triol) is an organic compound with hydrophilic and hydrophobic properties [1,2]. It is a by-product generated in diverse processes, such as fermentation with yeasts, bacteria, or algae; propylene synthesis (for instance, propylene chlorination); oil hydrolysis (soap production); and biodiesel production by transesterification (through homogeneous or heterogeneous catalysis) [3,4,5]. In the latter case, glycerol generation represents 10% of biodiesel production, which means a production of 9 kg of biodiesel and 1 kg of glycerol per 10 kg of fatty matter consumption [2]. In this way, glycerol is a large produced kg by-product, with plenty of uses, depending on its degree or purity; for instance, it is used for pharmaceutical, cosmetic, and energy purposes. After World War II, biodiesel production (and consequently glycerol generation) considerably increased and, with the environmental concerns in the last few decades, the scientific community has focused their efforts on environmental protection and the development of sustainable processes with respect to the environment [6]. In this context, biorefineries have emerged as an important pillar for achieving both sustainable energy and chemicals [7]. With a rising production since the 2000’s and glycerol as the main by-product, this industry quickly became the main glycerol producer (in this case, crude glycerol, which is glycerol mixed with alcohol, catalysts, fatty acids, etc.), oversaturating markets and plummeting prices (Figure 1). According to Figure 1, stabilization and a possible decline in biodiesel production are expected in the next decade, as stated by the Organisation for Economic Co-operation and Development (OECD). This trend would be a consequence of second and third generation biofuel development and industrial application, with products obtained from non-edible sources [8,9,10,11,12,13]. In any case, future biodiesel production depends on several factors, such as raw material availability, internal policies, markets, etc., in some cases leading to a local production rise against the international trend, becoming a stable crude glycerol source [13].
Figure 1.
Glycerol production in the biodiesel industry: Trends and future estimations. Adapted from the OECD-FAO 2020/2029 database [32].
Biorefinery produces crude glycerol, that is, glycerol mixed with alcohol, catalysts, fatty acids, etc. As a consequence, biodiesel production becomes less efficient from an economic point of view [1,14]. The properties of this mixture vary from pure glycerol, and in some cases, become a challenge for waste management in biodiesel production. The glycerol content and its high valorization potential justify its selection as a platform molecule [2,15,16]. As a highly functionalized molecule, glycerol can be incorporated as a raw material into processes to obtain molecules of industrial interest, providing sustainable route alternatives to the traditional ones, based on petroleum [16,17,18,19,20,21]. Therefore, many processes (as will be explained in the following sections) can make glycerol a valuable by-product, by obtaining a purer product (using it for energy purposes) or by chemical reactions (to obtain new compounds). Research on glycerol transformation is very intensive, as evidenced by the large number of publications in the field (Figure 2), including 2835 publications from 2018 to 2020, using the Scopus database and “glycerol or glycerine” and “catalysis” as search words, and 15 reviews since 2018 [22,23,24] for special issues (for instance, New Glycerol Upgrading Processes, in the Catalyst journal [25]), books [26,27], book chapters [28], local density theories [29], and even large European projects like “Production of cyclic carbonates from CO2 using renewable feedstocks” [30] and “Glycerol Biorefinery Approach for the Production of High Quality Products of Industrial Value” [31].
Figure 2.
Evolution of the annual number of publications on the catalytic valorization of glycerol per process. Source: Scopus® (23rd September 2020).
In this scientific literature (Figure 2), many routes or technologies have been described and developed to valorize glycerol, with the most common being thermochemical conversion, oxidation, hydrogenolysis, esterification, biological conversion, aqueous phase reforming, bioconversion, electro-conversion, etc. Some of these technologies overlap, e.g., thermochemical conversion is a very widely defined term and technically, it can englobe some other approaches, such as hydrogenolysis and oxidation. In several published scientific works, the role of catalysts is vital, in order to make these processes as efficient as possible. Whereas biodiesel production, in general, has clear chemical routes, with well-defined catalysts to be used in the process, in the case of glycerol, whose chemical routes and uses are so versatile (which implies, for instance, the use of multiple reactors or facilities), there is a vast field of knowledge which is usually difficult to cover [33]. A basic analysis of a glycerol molecule indicates that valorization routes imply the activation and reactivity of C-C, C-O, C-H, and/or O-H bonds, depending on the nature of the desired product. The reactivity of the bonds involved determines the catalyst properties and the processing conditions to be used. This means that, for C-C and C-O cleavage, bifunctional catalysts with metal and acid/basic sites are suitable for the reaction [34,35] and, among them, catalysts based in a metallic complex or Rh, Pd, and Pt nanoparticles over acid supports as zeolites or activated carbon are the most common ones. For C-H or O-H, it seems that the metallic active center is the most important function [36,37], with noble metals such as Pt, Ru, and Pd being the most effective ones. During the last decade, alternatives to noble metals have been the target of many scientific publications, mainly using transition metals such as Cu, Ni, and Co.
Most of the published reviews focus on one specific strategy, process, or specific reaction, whilst the others summarize the most common strategies for valorizing glycerol. In this review, we summarize the latest advances and trends for heterogeneous inorganic catalysts for some of the most common strategies, such as reforming, hydrogenolysis, oxidation, glycerol carbonate production, acetalization, and the photoconversion of glycerol. In order to cover a gap in the literature, this review briefly summarizes several emergent strategies recently reported or with not many publications, such as activated carbon production, crude glycerol direct usages, fuel additives, sacrificed molecules, templates for catalyst synthesis, polymers, CO2 capture, and the direct use of glycerol.
2. Treatment or Management of Crude Glycerol
As mentioned in the introduction section, glycerol valorization is vital to making biodiesel production a more competitive and sustainable alternative for petroleum-based fuels. Considering this, there are four main options for making this process cost effective or environmentally friendly (Figure 3). As can be seen in Figure 3, there are four main choices once crude glycerol is produced in transesterification:
Figure 3.
Main options for crude glycerol management.
- Direct use: The main advantage of the direct use of crude glycerol is the avoidance of further and more expensive steps for glycerol management. Depending on the global composition (methanol, water, soap, or organic matter content) and the purity of crude glycerol, different direct processes can be suitable, such as anaerobic digestion, animal feed, thermo-chemical conversion, etc. Nowadays, the direct combustion of crude glycerol is not advisable, due to its low heating value (and therefore its low energy efficiency) and the unsustainable nature of this process, implying the production of toxic products, such as acrolein [1]. However, in practice, there are a few alternatives that can be used instead of low-purity glycerol [38]. That is the reason why the rest of the options are more popular in research. Nevertheless, new trends are currently being considered for the direct use of crude or residual glycerol, such as its use as an additive to produce biohydrogen by the anaerobic biodigestion of cassava wastewater [39];
- Preventing its production: In this case, other derivatives of glycerol are produced during transesterification by different means, resulting in interesting compounds, such as glycerol triacetate (Glyperol), glycerol carbonate (DMC-Biod), and monoglyceride (Ecodiesel), which contribute to a better atom yield during the transesterification of fatty acids [40,41];
- Purification: As abovementioned, crude glycerol has low prices, with its purification being expensive for small companies. This fact can explain the existence of the two previous options mentioned, and the research related to glycerol purification to develop a cheaper and more competitive process. Therefore, the alternative is the use of cheap or simple purification steps, in order to obtain high-quality glycerol as a starting point for the production of plenty of products (up to 1500) for multiple purposes [1]. Depending on the kind of catalyst used during the transesterification to obtain fatty acid methyl esters, the purification process can vary. The use of homogeneous catalysts (which are commonly used in industry) requires the separation of glycerol through a settler unit, the removal of surplus/excess catalysts with mineral acids, etc. On the other hand, the use of heterogeneous catalysts (which has some advantages, but usually few cycles offer acceptable yields) requires a double separation process, without catalyst neutralization [3,33]. Figure 4 presents a brief schematic representation of the main separation stages and the glycerol purity corresponding to the use of homogeneous catalysts, following previous separation through decanting or centrifugation from biodiesel.
Figure 4. Purification stages from crude to pure glycerol.It should be noted that further refining steps can imply high energy costs, especially in the case of vacuum distillation. Other alternatives are the use of cyclic distillation columns or dividing wall distillation. If ion exchange is used, the removal of fatty acids, inorganic salts, and free ions at room temperature is possible and therefore low energy consumption is possible. Carbon absorption is required to remove small molecules (like lauric and myristic acids) and decolorization. Finally, for a high level of purification or pure glycerol, the mentioned techniques are simultaneously used—commonly known as combined steps—alternatively with membrane distillation [1].Pure glycerol has a wider range of potential use than crude glycerol, due to its low toxicity, biodegradability, low vapor pressure, and high boiling point. For instance, it can be used in pharmaceutical, cosmetic, explosive, solvent, and food industries, among others [33,38]. Moreover, pure glycerol is normally used as starting material for further catalytic valorization, as it minimizes secondary reactions given or catalyzed by other compounds contained in crude glycerol. It should be underlined that the crude glycerol composition can vary due to the employment of different kinds of catalysts, their concentration, the alcohol/oil ratio, raw materials (especially vegetable oils, whose fatty acid profile considerably varies), and the yield of the transesterification reaction (and the subsequent crude glycerol purity). The wide range in composition may require some adjustments in the separation process (Figure 4), in order to be adequate for each crude glycerol obtained [38].Alternatively, it should be noted that the separation process included in Figure 4 might require extra steps or variation, according to the crude glycerol obtained in each process. For instance, vegetable oils, whose fatty acid profile considerably varies, depending on the raw material, lead to a wide range of transesterification yields and thus subsequent crude glycerol purities [38]; - Chemical transformation: Both in the case of crude or pure glycerol (especially for the latter), multiple chemical routes have been investigated to produce more valuable products. Among them, the most common or described chemical routes should be pointed out, such as glycerol carboxylation, hydrogenolysis, oxidation, acetylation, and reforming, among others, which will be thoroughly explained in the following sections [1,29].
It is important to note that there are studies focused on the sustainability of biodiesel production. For instance, in terms of the purification stage, new trends are being considered to make this process more sustainable, such as the use of activated carbon from biomass. Habaki et al. applied activated carbon from jatropha shells in the purification of glycerol. Their results showed the effective removal of methanol and monoolein from pre-treated glycerol [42].
3. Energy Use of Glycerol
The generation of energy from glycerol can be carried out directly or indirectly, by producing compounds that can act as an alternative energy source, such as hydrogen. There are specific ways to obtain energy from glycerol, such as direct combustion or pyrolysis (especially for crude glycerol), or reforming to produce H2, among others. In the following subsections, these processes are briefly explained.
3.1. Combustion
The use of crude glycerol to obtain thermal and electrical energy by direct combustion has been an economic and feasible choice for improving the economics of biodiesel production, limiting the use of petroleum resources for chemical production and not energy [43]. Normally, this is a process that does not require the addition of catalysts. However, it is not a suitable way of valorizing this by-product, as it has a low heating value (of around 18 MJ/kg) and therefore, the yield of the process is low. Its viscosity and auto-ignition temperature are high and the presence of impurities can influence combustion, making it ineffective [43,44,45]. Moreover, this process is not environmentally friendly, as some contaminant emissions such as acrolein can be released into the environment and the production of CO2 increases the process’s carbon footprint [20,45,46]. Nonetheless, this kind of pollutant can be removed through the oxy-combustion of glycerol [45]. This is the reason why other more sustainable chemical routes with better yields are preferred, where catalysts can play an important role. Nevertheless, some research has been carried out, including that on the combustion of glycerol. For instance, it was used to impregnate coal, in order to increase the heating value (up to 1.5 times), improving the combustion efficiency of the process, which can be used in coal-fired power plants, without any modification [47]. In addition, glycerol was used in fluidized bed feed with alumina sand for combustion [44,48,49] and combined with acetals [19].
3.2. Pyrolysis
Concerning the pyrolysis of glycerol, Figure 5 shows the main uses of this technique when applied to glycerol.
Figure 5.
Main catalytic processes (and products obtained) for glycerol pyrolysis.
Firstly, this by-product can be an important hydrogen source in fixed beds, pyro-reforming plants, or furnaces, among others. Due to the low high heating value of glycerol (as was explained in the previous section), the pyrolytic production of syngas can be used as a fuel for combined heat and power generation, or in hydrogen fuel cells as a transportation method, in order to generate a better and cleaner fuel [50,51]. However, the yield in hydrogen is usually lower than in the case of glycerol reforming [50], which makes the use of heterogeneous catalysts necessary (such as those obtained from bituminous carbon or coconut shell), in order to compete with these processes. Another interesting approach is glycerol conversion through pyrolysis to obtain bio-based low molecular weight aromatics, such as bio-based benzene, toluene, and xylene (bio-BTX), which are intermediates for the synthesis of multiple polymers [52]. The application of metal-based catalysts is required for these processes (such as Ni, La, and Nb), which are widely studied in the literature [3]. Nevertheless, other more recent ways to carry out pyrolysis can admit other kinds of catalysts, such as in the case of the microwave-assisted pyrolysis of glycerol over carbonaceous catalysts, where there is a strong influence of the operating conditions on the catalytic effect of the activated carbon [3]. Finally, the pyrolysis of glycerol can be used to convert it into higher added value products, such as aldehydes, ketones, and alcohols. Therefore, the main products of glycerol pyrolysis are organic liquids, gases, and char. In order to promote the organic liquid yield (rich in products such as acetals, ketals, glycerol esters, and acrylic acids, among others), fast pyrolysis can represent an alternative (see Table 1, references [53,54]). Table 1 shows some specific catalysts that have recently been used in glycerol pyrolysis for different purposes, including the main details of each work.
Table 1.
Catalysts recently used in glycerol pyrolysis.
3.3. Glycerol Reforming
The aim of glycerol reforming is to produce valuable products that are mainly used as alternative energy sources, such as hydrogen and syngas (CO+H2). Although biodiesel plants can use crude glycerol for energy generation by a direct burning process, it is not suitable due to the high viscosity and ignition point of glycerol, as well as the generation of several toxic compounds (such as acrolein). Consequently, reforming can be a good choice, especially since this kind of process can be easily adapted to existing industrial facilities [20]. The reforming process can be done on crude glycerol directly, which is an interesting alternative for the management of glycerol, as the purification of crude glycerol can be expensive and it cannot be directly used for other purposes due to its impurities (fatty acid methyl esters, water, rest of the catalysts, etc.). There are several ways to use glycerol for this purpose that have been widely studied in the literature, such as the following: Supercritical water reforming; partial oxidation; steam reforming; aqueous phase reforming; and a dry reforming reaction. In the following subsections, the three latter approaches will be covered. Therefore, many valuable products are usually obtained, depending on the process selected, such as 1,3-propanediol, propylene glycol, glyceric acids, polyols, and branch polyesters, among others. The wide range of possibilities observed has been derived from several current studies on glycerol reforming, dealing with the conversion of feedstocks, selectivity of the product, and the catalytic activity and its stability. All of these factors are influenced by the catalyst-support design. In general, noble metal catalysts are used, such as Pd, Ru, Ir, Rh, and Pt, which show a good performance due to their high catalytic activity. On the other hand, there are other catalysts, such as Ni, Co, and Cu, which are cheaper and easily available, displaying a desirable catalytic activity for promoting hydrogen production. However, their stability is not suitable, as they are usually deactivated by the coking effect. Consequently, the combined use of metals as catalysts to produce bimetallic catalysts, as well as the suitable selection of a support (depending on its porosity, redox properties, and thermal stability, among others), are important for obtaining a highly active and stable catalyst. Alumina is the preferred and most common support employed for this purpose, due to its high specific surface and thermal stability, although it tends to deactivate due to carbon deposition [20]. In the following subsections, different kinds of glycerol reforming are briefly explained, pointing out the particularities of catalyst implementation.
3.3.1. Steam Reforming (SR)
H2 and syngas are potential alternative molecules obtained from biomass within the energy strategy of valorization, and are effective and clean energy carriers with an excellent storage capacity [46,57]. Therefore, they represent an interesting starting point for producing methanol, short-chain alcohol, detergents, ammonia, and synthetic hydrocarbon fuels for turbines or engines, among others. Additionally, H2 can be used in the food industry (hydrogenation) or refineries (hydrocracking). On the other hand, syngas can be used in Fischer–Tropsch synthesis [20]. The main advantages of SR are its low cost and great development (starting in 1930), which explains the possibility of implementing it without significant modifications in industries. However, the main disadvantage of SR is the generation of CO2 (up to 25%, depending on the conditions), which is a greenhouse effect gas [56].
The overall steam reforming reaction is presented in the following (Equation (1)):
C3H8O3 + xH2O + yO2 → aH2 + bCO2 + cCO + dH2O + eCH4.
The general reaction of steam reforming (Equation (1)) is endothermic, being favored at temperatures of around 800 °C, a low pressure, and a vapor phase where y = 0 and x > 0. The yield and selectivity of H2 are influenced by the glycerol/water ratio; the higher it is, the greater the H2 production. However, costs related to water vaporization should be considered. The optimum value is influenced by the pressure and temperature [58]. Moreover, the higher the temperature is, the higher the production and selectivity of H2 is, although it can also involve a decrease in the heating value of the resulting gas [20,59]. In contrast, as was previously pointed out, the main disadvantage of this process is the generation of CO2 (which can be removed by in-situ adsorption), catalyst deactivation, and the high energy consumption [20,57]. Some authors have pointed out the possibility of re-using the CO2 produced in this process for other purposes, such as coupling CO2 desorption with methanation [18]. Another drawback is that many side reactions can take place, such as decomposition, methanation, and coke deposition, and depending on the operating conditions, these reactions can be noticeable [60].
For glycerol steam reforming, the main catalysts described are heterogeneous, and are similar to the ones used in other equivalent processes, such as methane steam reforming, especially in the case of supported noble and transition metal catalysts (with Ni as the most widely studied) [60,61]. As supports, different kinds of materials, such as alumina (such as Ni/Al2O3), carbon (Pt/C), Ce and Zr oxides, and Mg oxides to a lesser extent, can be found in the literature [3,57]. Furthermore, perovskites based on Co and doped with Au, Ag, or Pt offered H2 generation ranging from 70 to 90% [3]. The effectiveness of these catalysts is variable, with those based on Ni, Ru, and Rh being the most effective ones.
Moreover, the role of the support is important, and its porosity, redox properties, and thermal stability, among others, need to be considered. Alumina is one of the most preferred among the common supports used for this kind of catalyst, due to its high thermal stability and specific surface [20]. However, the main problem related to heterogeneous catalysts is the possible catalyst deactivation due to coke or carbon deposition, apart from sintering and oxidation [61]. In order to solve this problem, some catalytic modifications (through glow discharge plasma, among others [62,63]) and pyrolytic pre-treatments before steam reforming have been considered, paying attention to CeO2, ZrO2 and Mg(II) as additives or promoters in order to avoid coke deposition by neutralizing the acidity of alumina, and promoting water adsorption and O-H surface mobility [3,20,60]. Some mechanisms proposed in the literature for glycerol steam reforming are presented in Table 2.
Table 2.
Main reaction mechanisms in heterogeneous catalysts during steam reforming (proposed by Bagnato et al. [3]).
Recent approaches to integrating steam reforming of the glycerol generated during the transesterification of vegetable oils have been considered. The use of this process (and the subsequent use of the corresponding catalysts) can contribute to the direct use of the hydrogen generated during SR of the glycerol obtained in transesterification. Therefore, hybrid-power generation can be an excellent electricity generation approach for the same biodiesel plant. For this purpose, some researchers applied it in the use of solid oxide fuel cells for this specific purpose, producing electricity and heat from clean chemical reactions without combustion (and subsequent low environmental contamination). As a conclusion, the efficiency of biodiesel plants was improved, also generating extra electrical energy for the power grid [46].
Therefore, steam reforming is still a useful way to make the most of glycerol. On the other hand, other techniques are used to produce H2 through steam reforming, such as membrane technology (see Figure 6). Hydrogen separation can take place through membrane technology, promoting glycerol conversion and hydrogen yields by altering the chemical equilibrium of the steam reforming reaction [64,65,66]. The use of membrane reactors implies the use of an operating unit to carry out the chemical reaction and the separation or purification process. Consequently, the chemical plants can become more compact and cheaper. In these facilities, the yield and conversion are higher than in conventional reactors, due to the selective removal of some products. Moreover, the addition of reagents is controlled through the membrane [3]. In this case, H2 permeates, depending on the temperature, pressure, and kind of material used in the membrane. There are many kinds of membranes available for this technique, such as macroporous, mesoporous, microporous, and dense membranes, including metallic membranes (made of Pd and alloys) to separate the generated H2. Therefore, recent studies used a Pd-Ag membrane reactor—some of them over an Ni/Al2O3 catalyst—for this purpose [66,67]. Consequently, the membrane reactor improved glycerol conversion compared to traditional methods, being a method applicable to the large-scale production of H2 from waste glycerol. Other researchers used this technique, combined with CO2 sorbents (hydrotalcite), to increase the H2 yield and at the same time reduce the greenhouse effect gas evolution [68]. Consequently, the separated or combined use of membrane reactors and CO2 sorbents can be a suitable way of promoting glycerol steam reforming, improving the H2 yield of the process [69].
Figure 6.
Basic representation of glycerol steam reforming in a membrane reactor, with the inner cylinder representing the membrane (inspired by Macedo et al. [65]).
Finally, in Table 3, the most recent and significant works on glycerol steam reforming are included, pointing out the kind of catalyst used and the main findings.
Table 3.
Recent uses of catalysts in glycerol steam reforming.
3.3.2. Aqueous Phase Reforming (APR)
Compared to steam reforming, one of the main advantages of APR is that this process does not require vaporization of the feedstock, reducing the energy cost. Moreover, there is low CO production and few side reactions take place [88] if the aqueous phase reforming of glycerol is carried out (see Equation (2)):
C3H8O3 + 3H2O → 7H2 + 3CO2.
In this case, the operating conditions are smoother (temperature between 220 and 250 °C and pressure at around 2 MPa), implying lower energy consumption. The main problem is related to the lower H2 selectivity and higher pressure requirements [57]. This chemical route can represent an alternative for gas phase glycerol reforming, especially when glycerol is dissolved in water. Developed a few years ago [89,90], APR can be used in several oxygenated substrates, and the thermal degradation is minimized because of the low temperatures used in this process. Moreover, it is safer because it uses aqueous solutions, and crude glycerol can be directly employed, reducing costs, as explained in previous sections. In this way, H2 is generated, reducing the formation of CO2, CO, CH4, or alkanes in the gas phase. On the other hand, other oxygenated compounds, such as alcohols, aldehydes, and carboxylic acids can be obtained in the liquid phase.
The main requirements for obtaining a suitable catalyst in APR are the following [57]:
- Glycerol should be adsorbed over the active metal sites of the catalyst;
- It should have C-C, O-H, and C-H cleavage and facilitate a water-gas shift reaction (desorbing CO from the catalyst surface, with low activity in C-O cleavage [91]). Additionally, Fischer–Tropsch and methanation reactions should be avoided [92];
- It usually contains VIII group metals, or they can be bimetallic catalysts. Moreover, the use of Ni-based catalysts and other X group metals is frequent due to their activity and selectivity [20,93];
- It should have good support properties (dispersion of the active phase, co-catalytic sites, etc.);
- If possible, its cost should be low.
The catalytic supports that are normally used in research are alumina and silica, although some catalysts can be supported on active carbon, nanotubes, mesoporous carbon, nanoparticles, etc. On the other hand, the use of Ce or Ce-Zr oxides provides good results, due to the good thermal and mechanical resistance and redox properties of Ce. Moreover, Mg and Mg-Al oxides are used to provide basic sites for the catalyst, improving H2 formation and limiting hydrocarbon production and subsequent coke deposition on the catalyst surface, as many studies have pointed out [57,91,93]. On the contrary, the higher the acidity of the catalyst, the higher their affinity for coke deposition [20]. This fact can also enhance the stability of metal supported catalysts against sintering. Table 4 shows the main trends regarding catalysts used in aqueous phase reforming. It should be noted that one interesting trend is the direct use of the H2 produced in aqueous steam reforming of glycerol for other purposes, such as hydrogenolysis, hydrogenation, and methane production [94,95,96].
Table 4.
Catalysts recently used in glycerol aqueous phase reforming.
3.3.3. Dry Reforming
This kind of reforming is based on the reaction of glycerol with carbon dioxide to produce hydrogen, with temperatures above 500 °C. It should be noted that the use of carbon dioxide as a reagent could be a suitable way to mitigate greenhouse gases in the environment. Therefore, industries where considerable amounts of carbon dioxide are produced can take advantage of this technology. This fact, combined with the management of glycerol, makes it an environmentally friendly process [56,100]. The reaction is summed up in Equation (3).
C3H8O3 + CO2 ↔ 4CO + 3H2 + H2O
Depending on the chemical conditions, other side reactions can take place, such as glycerol decomposition, methanation, and a reverse water-gas shift reaction. Therefore, the optimum conditions for glycerol dry reforming are atmospheric pressure, 1000 K, and a 1:1 carbon dioxide/glycerol ratio, producing 6.4 mol of syngas per mol of glycerol [100].
For dry reforming, different catalysts can be used, highlighting Ni, Rh, Ru, Ir, Pd, or Pt [20,100,101,102,103,104], with coke accumulation and the sintering of catalyst particles (especially for Rh) as the main disadvantages, as in other cases [20]. In order to avoid coke accumulation, La was added to these catalysts to promote active sites, due to its redox property to remove carbon and its lower acidity compared to other popular catalysts such as Ni [100]. Additionally, the use of supports such as MgO and CaO can increase the carbon resistance within the catalyst, reducing carbon deposition [105]. On the other hand, ZrO2 and CeO2 represent promising materials as supports for the dry reforming of glycerol, due to their oxygen transfer properties, helping in the dissociation of CO2 into CO and O [104].
4. Hydrogenolysis and Reduction Processes
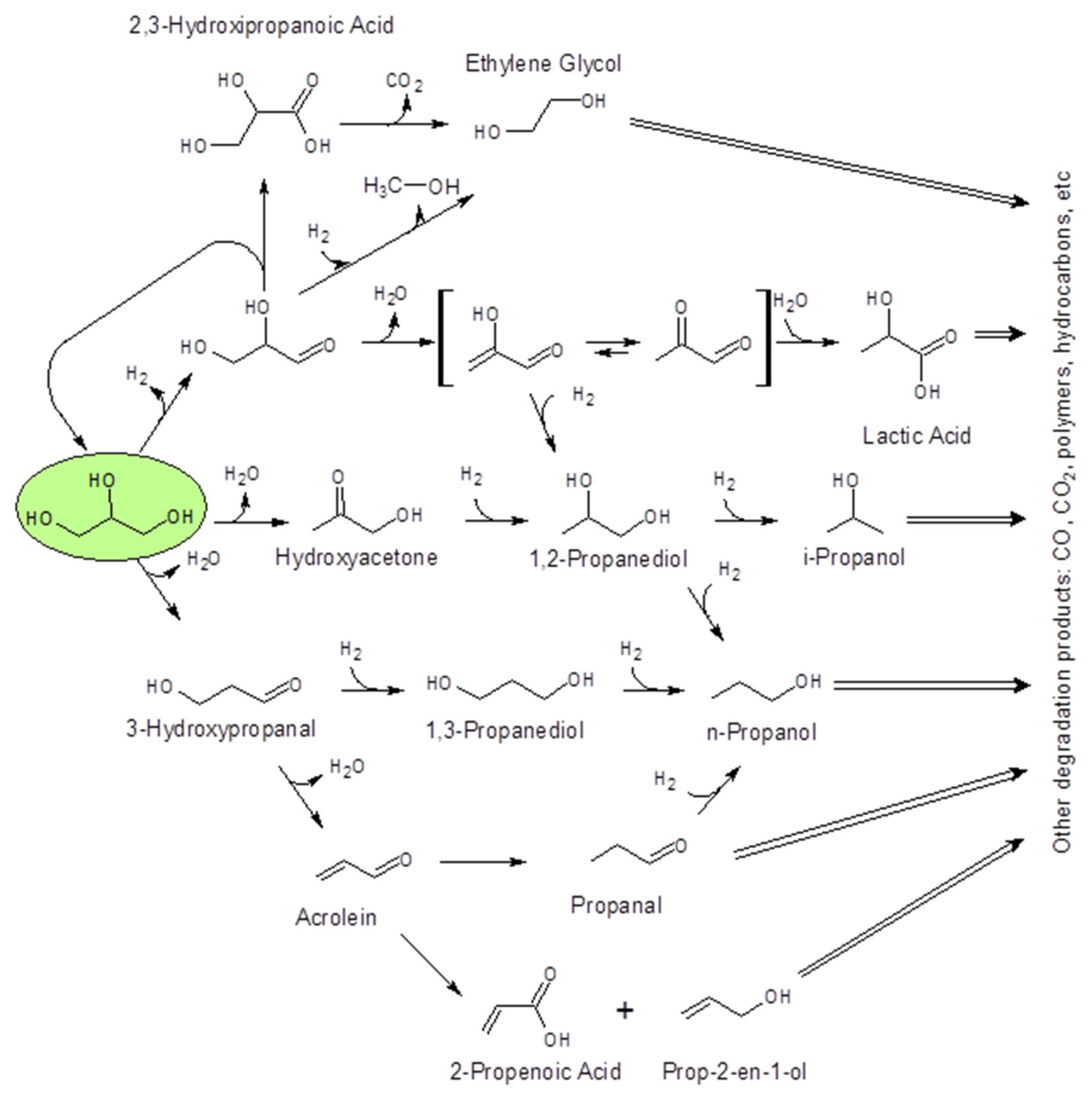
When APR reaction conditions are sufficiently softened, it enters competition with the hydrogenolysis processes [106]. In terms of the chemical reaction, the glycerol hydrogenolysis process supposes a dehydroxylation of glycerol, involving the rupture of a C-OH bond in the molecule by the interaction of a H2 molecule. The reaction mechanism can be described as pH dependent; under acid or neutral conditions, a Dehydration-Hydrogenation mechanism explains the intermediaries as acetol (hydroxyacetone), which is a glycerol dehydration product favored by Lewis acid sites [107], while a Dehydrogenation-Dehydration-Hydrogenation sequence fits better under basic conditions (Figure 7). This H2 molecule can usually be proportioned in the gas phase or generated in situ from a hydrogen donor. Among the different chemicals than can be obtained, propanediols can be considered the most interesting products from an industrial point of view due to their versatility as platform molecules. For instance, 1,2-Propanediol (1,2-PDO) is the main product obtained and can be used in a wide range of industries, from pharmaceuticals to antifreeze, and its isomer 1,3-Propanediol (1,3-PDO) is the kinetic product and valuable in the polymer industry [2,108,109]. The lack of selectivity is commonly due to the hydrogenolysis of propanediols until the generation of 1- or 2-propanols or paraffin and the competence with the aqueous phase reforming process, able to decompose glycerol into CO2 and H2 under similar reaction conditions. Figure 7 shows the most probable reaction pathways under hydrogenolysis conditions.
Figure 7.
Proposed mechanism for 1,2-Propanediol (1,2-PDO) production.
Metal-acid bifunctional catalysts have been described as the most effective ones for glycerol hydrogenolysis. A proper combination of an acid surface character and a metallic phase increases both the conversion and selectivity to desired products by tuning the different catalyst properties that affect the reaction [110,111,112,113]. A tuneable acidity can be generated through support synthesis methodologies that induce oxygen vacancies in the material, and these have been studied in different works concerning the influence of the support in the reaction [114]. Among them, materials such as carbon [115,116,117], metal oxides [118,119,120,121,122,123,124,125], zeolites [116,126,127,128,129,130,131], and mixed oxides [120,132,133,134,135] that exhibited high acidity were applied, in order to benefit the dehydration step [120,128,136]. In these cases, selectivity to 1,2-PDO can be explained if glycerol adsorption over support acid sites controlled by a steric effect is considered. Then, the terminal C-OH can be dissociated in a dehydration reaction to produce acetol, which can be reduced over a metallic site into 1,2-PDO [109,137]. On the contrary, when the reaction is carried out under basic conditions, glycerol dehydrogenation over metallic particles to form glyceraldehyde is the initiation step, evolving to produce 1,2-PDO after a dehydration-hydrogenation sequence (Figure 8) [109,137] or lactic acid (LA) via the Cannizzaro reaction [138].
Figure 8.
Different main products observed in glycerol (green) hydrogenolysis.
As active metals in glycerol hydrogenolysis catalysts, the activity of Ir-, Pd-, Ru-, and Pt-based noble metals has been widely reported [108,139,140]. However, recent advances have focused on catalyst cost reduction, and efforts have especially focused on a supported Cu-based catalyst that has reported nearly complete glycerol conversions and 1,2-PDO yields higher than 80% [122,129,141,142,143,144]. In this sense, the work of Gatti et al. [145], with Ni supported over γ-Al2O3 and a phosphorous-impregnated carbon composite in a consecutive treatment of crude glycerol, reached total conversion and yields of 87% 1,2-PDO in the first reaction with Ni/γ-Al2O3 and, after the second hydrogenolysis reaction, obtained 1-PrOH with a 79% yield.
Special attention must be paid when oxophilic metals such as MoOx, CrOx, and WOx are incorporated in the support. In general, with a metallic phase in the presence of WOx as a dopant or modifier, the alternative reaction mechanism proposed in Figure 9 is allowed and the kinetic product 1,3-PDO can be found in the reaction media [114,133,146,147,148,149]. According to Aihara et al. [150], a relationship between WOx’s positive effect in a 1,3-PDO yield and the modifier loading can be established as a perimeter interface length dependence in a Pt/WO3/Al2O3 catalyst. This fact confirms that when W is deposited over alumina, a WOx monolayer with W-(OH)-Al active sites in the layer perimeter can be formed when the WOx loading is less than 20%, and the maximum yield of 1,3-PDO can be obtained with W loadings between 5 and 10%, associated with the higher interface length exposed to the reaction. In some cases, several lixiviation problems were detected when aqueous phase was analyzed by ICP-MS [120]. Some authors such as Wang et al. [151] have dealt with this problem through the incorporation of other elements, such as Mg in a Pt/WOx-ZrO2 catalyst, obtaining a quaternary catalyst.
Figure 9.
Proposed mechanism for 1,3-Propanediol (1,3-PDO) production in the presence of oxophilic metals (MOx) and Pt as the metallic phase.
Two typical catalyst groups can be found in the literature as a function of the desired product concerning the metallic phase involving glycerol hydrogenolysis. On one hand, transition metals such as Co-, Ni-, and Cu-based catalysts can be applied in both liquid and gas phase reaction systems. Aiming at 1,2-PDO production, Cu exhibits a higher selectivity than Ni, as can be observed in Table 5. Nevertheless, an Ni catalyst usually shows a tendency for deep hydrogenolysis, leading to monoalcohols 1-Propanol (1-PrOH) and 2-Propanol (2-PrOH), C-C cleavage to generate ethylene glycol (EG) or, as a last resort, methane under the appropriate conditions [147].
Table 5.
Recent catalysts employed for glycerol hydrogenolysis.
On the other hand, noble metal catalysts such as Ru, Pt, and Re are quite common as a resource employed to prompt 1,2-PDO production [128,166]. However, their high activity leads to selectivity decay that justifies the study and employment of Cu and Ni catalysts, which provide reasonable yields for 1,2-PDO at lower production costs. From a 1,3-PDO production point of view, noble metals represent the metallic phase most preferred, with Pt being the most effective among them, probably due to the possibility of dehydrogenation process deactivation. As noted above, noble metal-WOx synergism for 1,3-PDO production has been reported since 2004, when Chaminand et al. used H2WO4 as an additive in glycerol hydrogenolysis with an Rh/C catalyst [167]. Despite the fact that the conversion observed was quite low, at around 10%, selectivity values of 26 and 52% were reached for 1,3- and 1,2-PDO, respectively. Therefore, several catalytic systems were designed and tested under mild hydrothermal conditions, with selectivity values of around 60% associated with low conversions. In the literature, higher yields were found for Pt-WOx supported over Al derivatives, exhibiting values of 66–69% and 62%, reported by Kaneda et al. in 2013 [148] and Zong et al. in 2017 [168], respectively. Different strategies can be applied to overcome the lack of activity of Pt-W systems at the cost of selectivity, from the incorporation of other elements in the catalyst to external additives such as NaOH to achieve higher conversion rates.
Future research on glycerol hydrogenolysis should be focused, in terms of 1,2-PDO production, on the development of advanced transition metal-based catalysts able to perform the reaction under mild conditions, even with crude glycerol. From a 1,3-PDO point of view, more research is required to achieve competitive reaction yields, despite a patent being published for a Pt-W-Zr catalyst [169] for 1,3-PDO production [170] this year. In both cases, bimetallic systems may represent a key improvement factor. Overhydrogenolysis is considered a problem that needs to be overcome; however, the production of other products, such as monopropanols, propene, and C2 compounds, can be stablished as a model reaction for the valorization of other polyols. Finally, in terms of real applicability, Jiménez et al. demonstrated that fully renewable 1,2-PDO production increases production costs by 16% with respect to the partial renewable process and, depending on markets, a real application is possible [17].
5. Glycerol Selective Oxidation
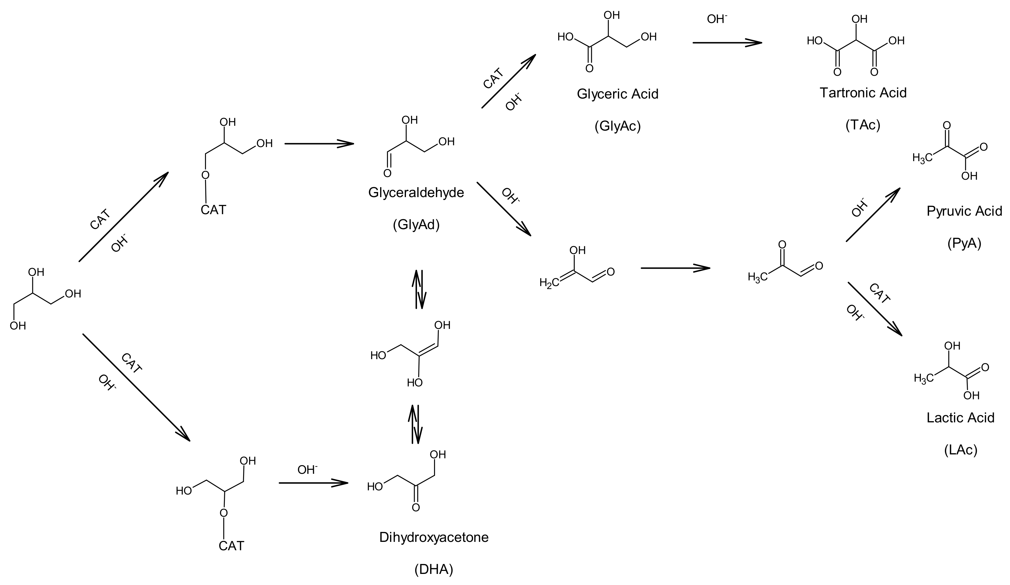
During the most recent few decades, selective oxidation has been considered a one competitive glycerol valorization pathway. The reaction leads to molecules with high O/C ratios and has received special attention, for example, from the polymer, chemical, and pharmaceutical industry (Figure 10) [171]. Glycerol’s interactions with catalyst active sites and reaction conditions are key to unravelling the reaction pathway, and as described in the hydrogenolysis section, glycerol oxidation can start through two different mechanisms: Dehydration and dehydrogenation.
Figure 10.
Different C3 products observed in glycerol selective oxidation under alkaline conditions.
Despite glycerol dehydration into acrolein being considered a valorization route by itself, recent efforts have mainly focused on acrolein oxidation products: Acrylic acid [108,172,173] and different patents can be found in the literature on this topic [174,175,176,177], e.g., catalysts based on Mo-V-O systems demonstrate high yields (75%) for acrylic acid production from glycerol [178].
The alcohol oxidation reaction catalyzed by noble metals has been studied since the 1990s, when supported Pt group metals were employed [2,179,180,181]. As an example, in 1993, Kimura et al. [182] reported the activity of supported Pt and Pt-Bi catalysts, observing that the reaction is favorable under pH 2–4, controlling Pt lixiviation and dihydroxyacetone polymerization. The addition of Bi increased the reaction selectivity to dihydroxyacetone. On the contrary, Prati et al. [179] reported an increment of the initial reaction rate of around 4 times at pH 14 with respect to the values at pH 2, obtaining a glyceric+tartronic acids mixture with yields of around 47 and 58% for the 1% Au-Pt/C and 5% Pt/C catalyst, associated with conversions of 80 and 88%, respectively. Adding to this, Au alloys prevent Pt group oxygen poisoning. The reaction is commonly described in the literature under basic conditions, mainly due to the fact that alkaline media accelerates the reaction, improves the selectivity to C3 products, and prevents deactivation [183].
Recent advances in the employment of noble metals as active phases, especially Au and Pt, are focused on selective oxidation base-free and room condition reactions [29,184,185,186,187]. In this line, support properties may be key to achieving this objective through metal particle sintering prevention [188], as well as the establishment of metal synergies with superficial acid-base centers [189]. Special attention must be paid to polyoxomethalates, which have exhibited an interesting activity under mild conditions (60 °C), even with crude glycerol (Table 6), and could be supported as a catalyst modifier [190].
Table 6.
Catalysts selected for glycerol oxidation.
Another emerging option for performing room temperature oxidation processes is electrocatalysis due to its effective activity and selectivity to a specific compound, produced by tuning the structure of the electrocatalyst and/or the electrode potential [202,203,204,205]. Even though base addition is environmentally undesirable, in this process, whilst an inorganic base can act as an electrolyte for the reaction, other buffers can be applied [205]. As an active phase, different noble metals have been reported, but the design of catalysts based on other economic transition metals, stable in acid media, represents a challenge to overcome for their application [206].
6. Production of Glycerol Carbonate
Glycerol carbonate is a high value-added product with a high market price, which can be used in the synthesis of biopolymers, methylating agents, and methoxycarbonylating agents [24,207]. The production of glycerol carbonate from glycerol can be catalyzed by inorganic (commonly alkaline earth metal oxides and hydrotalcites) or organic (biocatalyst) compounds, for instance, Candida antarctica lipase B supported on Accurel MP1000 (CalBAcc) [208]. The reaction can be conducted in batch or continuous reactors [209]. Nowadays, there is a way to produce glycerol carbonate from fossil fuel, with propylene carbonate, in the presence of catalysts and small amounts of Hg [210]. However, the employment of Hg is not desirable from an environmental point of view and makes this route undesirable.
Glycerol carbonate from glycerol can be produced through several routes, which are commonly divided into two groups—indirect or direct routes—depending on the carbonate sources [211]; direct routes include carboxylation (CO2) and oxidative carboxylation (CO + O2), whilst indirect routes can be transesterification with di-carbonates or alkyl carbonates, glycerolysis-urea [212], and phosgenation. It is important to highlight the possibility to use CO2 as a carbonate source, either because it helps with the valorization of other large by-products or presents the possibility of some mitigation and control of CO2 emissions. Nowadays, the CO2 problem is receiving a tremendous amount of attention from society, governments, and industries. However, the abovementioned process is less effective than others, mainly due to thermodynamic limitations, for instance, a typical yield is around <10%, against >80% with indirect routes.
Indirect routes normally lead to a higher yield of glycerol carbonate, where the catalysts play a key role. Starting with glycerol transesterification, some reviews have summarized the types of catalysts [207,211], which are very similar to other transesterification processes, including K2CO3, CaO, MgO [213], ZnO, and H2SO4. Several types of hydrotalcite have been tested, such as Al/Mg, Al/Li, Al/Ca, Mg/Al, etc. [214]. Some authors have focused on producing a catalyst from residues and waste. For instance, K. Mohanty used waste red mud from the aluminum industry to synthesize a catalyst [215]. The waste was calcined at temperatures between 400 and 800 °C. The final product was a mixture of metal oxides such as Fe2O3, Al(OH)3, CaCO3, CaSiO4, SiO2, NaAlO2, Ca2SiO4, and Na8Al6(SiO4)6Cl2. The complexity of the resulting catalyst calcined at 500 °C gave a good balance between basic and acid sites, resulting in the highest catalytic activity. In a similar approach, using residues as catalysts, Wang Song et al. [216] tested activated carbon obtained from corncob residue as a catalyst in the transesterification of glycerol with dimethyl carbonate, achieving conversions of over 95% with a selectivity greater than 90%. A recent publication by Anusorn Seubsai et al. evidenced an improvement of the catalytic activity of sodium aluminate doped with CaO using glycerol in the synthesis as a template [217,218]. The yield for glycerol carbonate increased from 26 to 40% when 45 wt% of glycerol was used in the synthesis of the catalyst. A larger amount of template eventually led to a detriment in the catalytic activity. Some authors have employed crystalline perovskite to obtain glycidol via the decarboxylation of glycerol carbonate in one pot [219]. For the synthesis of GC, they have used glycerol and di-methylcarbonate. One of the main problems in this reaction is the low miscibility between glycerol and some carbonates, for instance, di-methylcarbonate, which can be avoided using organic solvents, methanol, tert-butanol, etc.
Another important indirect route uses urea as the carbonate source. Marcio J. da Silva et al. recently reported Sn(OH)2 as a catalyst synthesized in situ from SnCl2, SnF2, and SnBr2 and urea [220]. MohdHasbi Ab. Rahim et al. used waste boiler ash as a catalyst. Analogously, Verraboina Subbaramaiah used residues as a potential catalyst, and a rice husk residue loaded with 10 wt% Ce resulted in a 92% yield for glycerol carbonate under 98% glycerol conversion under optimum conditions [221]. Benjaram M. Reddy et al. reported nanostructured MoO3 and WO3 promoted with SnO2 as an efficient catalyst for carbonate production with urea in solvent-free conditions. The SnO2 nanoparticles supported on MoO3 and WO3 exhibited a high selectivity to glycerol carbonate, with a value of over 90%, with glycerol conversion greater than 60%, while the selectivity of un-supported SnO2 nanoparticles was less than 80% [222].
Regarding direct routes, the direct carbonylation of glycerol with CO2 can be conducted with a heterogeneous or homogeneous catalyst. Lui et al. utilized CeO2 nanoparticles synthetized through different methodologies in the presence of several dehydrating agents and solvents in the direct carbonylation of glycerol with CO2 [223]. The amount of 2-cyanopyridine and the calcination process of the catalyst resulted in crucial parameters for yielding GC. Under optimal conditions of 150 °C, 4 MPa, and 5 h, the yield was 78%. Recent studies have evidenced the promising strategy of applying a photo-thermal synergistic catalyst for glycerol conversion to glycerol carbonate with CO2 [224]. Dehua He et al. synthesized an Au/ZnWO4-ZnO catalyst with different loadings of Au. As a result, ZnWO4-ZnO was active itself, giving a 6% yield for GC, while 2 wt% Au loading increased the yield to over 8% under visible light.
7. Production of Solketal or Acetalization of Glycerol
In general, solketal, as one of the common glycerol valorization routes described in the literature, is a product which can be used as a solvent [225]. Several reviews were published during the 2010s (e.g., in 2012 [226], 2016 [227], 2018 [228], and 2019 [229]). The latter study categorizes three generations (Gen) of the acetalization of glycerol: 1st Gen., which englobes homogeneous catalysts and solvents, with HCL, Na2SO4+HCl, and petroleum ether as solvents; 2nd Gen., which is focused on heterogeneous catalysts and solvents, with Amberlyst-36 (2007) [230] and Zeolites MMT-K10 solvents as dichloromethane, toluene, benzene, etc. Nanda et al., in 2014, published a study on several catalysts used in glycerol conversion to solketal using ethanol as a solvent [231]; and, finally, the 3rd Gen., which includes heterogeneous catalysts in batch or continuous flow, without solvent [232]. Acetone is normally added at a higher ratio than stoichiometric, in order to ensure high-yield production. However, the literature does not clarify if it also favors the reaction as a solvent. Some authors have reported complete conversion. M.S. Khayoom and B.H. Hameed reported, in 2013, a 98% conversion using 5 wt% Ni supported on activated carbon, achieving around a 73% selectivity to solketal. The experimental conditions were 5 g of glycerol for 2 g of catalyst, a molar ratio of glycerol:acetone of 1:8, 45 °C, and 3 h of reaction. One paper recently published in the Catalyst journal by Fernandez P. et al. described the production of sulfonated carbon from cellulose and glucose and its performances in solketal production at room temperature [233]. Using a molar ratio of glycerol:acetone of 1:7 and a catalyst concentration of 1% weight of glycerol, the authors reported the same yield range for solketal as described in the literature [234]. Recently, Marcio Jose da Silva et al. published a study on the production of solketal from glycerol and acetone using Sn(II)-exchanged silicotungstic acid salt (Sn2SiW12O40), achieving a conversion value of more than 99% and selectivities of up to 97% [235], using glycerol:acetone molar ratios of 1:12 and larger. If the amount of acetone decreases, the conversion decreases as well, and is around 70% for a molar ratio of 1:4. In our opinion, despite the fact that acetone’s role as a solvent has not yet been demonstrated, its double role as a reagent and solvent cannot be discarded.
The main drawback of the acetalization reaction is the production of water, which causes the opposite reaction (reversible process) and deactivation of the catalyst. In the literature, there are some scientific works focused on this problem, which they solve by using water-tolerant catalysts, such as zeolites, mesoporous silicas, heteropolyacid, metals, or polymer-based catalysts. The perspective on this type of reaction should be to develop catalyst water-resistant reaction media or systems able to remove or separate water to maximize the yields.
8. Emergent Valorization Routes
With glycerol valorization having been a research topic since the 1990’s, many routes have been proposed, some of which have been widely studied and developed and others which did not have the same impact or have recently been reported. As glycerol is expected to be produced on a large scale and with different characteristics, every valorization route might be a potential solution. The lack of transcendence in scientific literature is probably due to several important inconveniences, not being easily scalable to industrial processes, and because the approach was recently published, etc. Research aimed at finding solutions and the continuous development of these emergent technologies should become a trend in glycerol valorization research.
8.1. Emergent Strategy Developed to Obtain H2, CO, and Syngas
This strategy uses glycerol as a sacrifice molecule, such as reforming, APR, or dry reforming (described in Section 3.3. Glycerol Reforming). Considering the stoichiometric reaction, one molecule of glycerol can produce three molecules of CO and four of H2. The reactions, catalyst, and processes developed in this strategy are not specific for glycerol, as many other molecules can be used. The main disadvantage of these technologies is CO2 production as a by-product, and thus the atomic efficiency may vary, depending on the yield of the process. As glycerol valorization might be a large-scale process, and nowadays CO2 is considered to be a pollutant, any industry based on these technologies might have a large carbon footprint and the associated negative environmental impact. Within this approach, some technologies have been widely studied; however, the low yield and the complicated processes and selectivity are yet to be a matter of research.
8.1.1. Photoreforming
When clean energies are considered, H2 is one of the most representative molecules, so many authors have focused their efforts on producing it using clean energies, such as sunlight. This process is called the photoproduction of H2 or photoreforming, and the results can be found in different publications and reviews [236,237,238,239,240,241]. Nowadays, the production of energy from renewable sources is quite well-developed, as in the case of solar plants, eolic plants, etc. Therefore, in many of the abovementioned technologies, clean energy can be used. Indeed, the photoproduction of H2 present some advantages, such as low-cost reactors, no need for energy input installation, easy installation in remote locations, etc. The main drawbacks are the low yield and the fact that some CO2 is produced, as in thermal reforming. Many authors argue that this CO2 produced should not count towards the carbon footprint of the processes, as the feed comes from biomass and this biomass can adsorb the CO2 from the atmosphere in a relatively short period of time. There is a large debate about whether CO2 produced from biomass should be counted in the carbon footprint. As far as we are concerned, it should be considered, because the whole process requires an energy input in many steps, the transportation of feedstock, the fabrication of facilities, etc. In any case, CO2 is a by-product, detrimental for the cost of the process.
Kawai and Sakata were two of the first authors who reported the production of H2 from several organic compounds in 1979 [242]. Today, the catalysts employed are composites of two, three, or even more materials, with at least one being a semiconductor. This semiconductor must be used for harvesting the light, obtaining a photon that excites one electron in the semiconductor from its valence band to its conduction band. Among the several semiconductors that have been used, including metal oxides, oxynitride, sulfides, carbides, etc., TiO2 is one of the most frequently employed ones [243]. Then, a cocatalyst must be incorporated, with the main function of facilitating electron transfer from the semiconductor to the H+. The first cocatalysts tested were noble metals, Pt, Ru, and Au, and many research papers were published from 2017 to 2018 [238,244]. More recent publications using noble metals as cocatalysts are focused on either developing a better semiconductor [239,245,246] or developing a new synthetic method for catalyst preparation [247].
As noble metals are expensive, there are many research studies and publications focused on their substitution, testing other transition metals, such as Cu, Co [248], Ni [249], Fe, etc. One of the most studied is Cu2O, forming nanoparticles deposited on TiO2 [237,250], or TiO2 nanorods with Cu2O [251]. W. T. Chen et al. compared 0.5 wt% Ni with 2 wt% Au supported on P25. The activity significantly changed with the alcohol concentration for Ni-based catalysts, from 26 to 10 mmol g−1h−1 using a 10 and 80 vol% of alcohol, respectively. In the case of an Au-based catalyst, the variation was not as high, ranging from 30.3 to 17.3. Using a 10 vol% of glycerol, the activity of both catalysts was similar [252]. The main problem of Cu and other non-noble metals is their lack of stability due to the photocorrosion process. When a photocatalyst suffers from photocorrosion, the generated electron reduces the oxide to metal and, after some time under the reaction condition, the catalyst loses activity and requires a regeneration treatment. There is still some controversy in the literature as to whether the cocatalyst is the metal or the oxidized forms.
Some of the latest research papers on the topic focus on a single atom for photocatalytic reforming [253]. This research approach reduces the amount of metal in the final catalyst, from a typical 1–5 wt% loading for nanoparticles deposited to 0.1 to 0.5 wt%, and therefore, the final cost of the catalyst, opening a new era for noble metal catalysts. The synthetic methods are different to conventional methods, such as deposition, precipitation, and impregnation. Normally, the metal is incorporated during the synthesis of the support or loaded as ion exchange, in a chemical reaction. The development of this strategy is expected to have a large scientific impact in the next decade. Further uses could be promoting H2 production from biomass if glycerol is added [250], which would allow glycerol to be applied in the photoreforming of many other chemical compounds. During photoreforming or a photoreaction, many secondary reactions take place, and some of them are detrimental for the yield. Hanquing et al. reported the photocatalytic reduction of bicarbonate to formic acid using glycerol for secondary oxidation reactions [254].
8.1.2. Catalytic Transfer Hydrogenation (CTH)
The production of H2 has gained a huge amount of interest in the last decades, as it is a potential clean energy fuel [57]. In this route, there are several technologies employed, such as gasification, steam reforming [211,255], dry reforming [100,256], pyrolysis, and aqueous phase reforming [257] (see Section 3.3). The drawbacks of reforming are the drastic reaction conditions (atmospheric pressure and temperature < 800 °C) and many side reactions and the production of CO2. As an alternative, catalytic transfer hydrogenation (CTH) can be conducted at much milder conditions (100 °C and 1 atm). CTH can be divided into two main types: Internal H transfer, implying that H2 is produced and some parts of the molecules are sacrificed (APR with H2 generation in situ), and external transfer, where H is transferred to the acceptor molecule. Some recent reviews can be found in the literature [258,259]. In the first case, where the H2 is generated from the same feedstock, two possible approaches are suggested: A sequential process in tandem or both processes in one pot reaction. Xin Jin reported, in 2018, the theoretical product distribution of both approaches, being, for a tandem process, 82–87% of liquids glycols and 13–18% gas phase, mainly CO2. For a one pot process, 33–50% glycols and 50–67% lactate were obtained [259]. In CTH, two processes must occur—dehydrogenation and hydrogenolysis—in the same pot or at similar rates, so the challenge is to design the catalyst to combine or control both functions. In general, noble metals Pt, Pd, and Ru and non-noble Co and Ni have been described as effective catalysts for APR. If a promoter is added, such as Zn or Sn, the selectivity to H2 can be improved. Appropriate catalysts for hydrogenolysis are metallic parts supported on acid or basic supports, depending on the desired product (hydrogenolysis and reduction processes). One example of CTH was reported by Luque et al., who compared different H donating solvents, including glycerol, tetralin, formic acid, and isopropanol, for the de-polymerization of lignin [260]. The catalyst was Ni 10 wt% supported on Al-SBA15, and when used for a catalytic test of the weight ratio of catalyst:liquid lignin of 1:1, glycerol resulted in the smallest proportion of residual lignin and was thus the most efficient molecule to be used with this type of catalyst for the CTH process.
8.2. Production of Valuable Chemicals
On the other hand, the whole molecule or a large part of it can be used to produce valuable chemicals, such as aldehydes, ketones, glycerol carbonate, glycidol, epichlorohydrin, etc. The processes developed in this strategy are more specific for glycerol molecules, as they are part of the final product. The reactions and catalyst can perhaps be used with other molecules, but the final product will be different to that produced from glycerol. This strategy has the advantage of having a large atomic efficiency, and moreover, the most common by-products (if any) are environmentally friendly, such as H2O, O2, etc. Pollutants such as CO2 or CH4 might be produced; however, the yield of these molecules is usually negligible compared with reforming products. The process and technologies within this strategy based on all/a large part of glycerol molecule usage normally lead to chemical products with two or more C atoms. The most frequently described processes mentioned before, such as hydrogenolysis, oxidation, and esterification, are some examples. Nevertheless, some other technologies based on heterogeneous catalysis have been reported in the literature and are summarized in Table 7. Note that, apart from these processes, other possibilities can be found based on homogeneous catalysis, such as the synthesis of amines or their application as a protector of functional groups in organic synthesis [261]. However, all of these alternatives are outside the scope of the present work. Recently, special interest has been paid to the production of glycerol ether, which is considered a valuable additive in gasolines. The reaction implies the condensation between glycerol and tert-butyl alcohol to obtain mono, di, and tri ethers, with the last two being used as gasoline additives. The possibility to produce polycarbonates from crude glycerol and CO2 should be highlighted [262], which is a process that can upgrade two by-products produced on a large scale.
Table 7.
Summary of some molecules produced from glycerol through heterogeneous catalysts.
Among all these possibilities, some related to fuel or refineries are briefly discussed below.
8.2.1. Conversion of Glycerol to Alkyl-Aromatics (Gasoline)
One of the first articles in the field was published by Trung. Q in 2010 [275]. Since then, the conversion of methanol to gasoline has been widely studied, with zeolites being the most active catalyst. Trung et al. studied the conversion of glycerol over acidic zeolites ZSM-5, zeolite Y, mordenite (MOR), and ZSM22. All zeolites were converted to a proton form by calcination and the Na+ ion in MOR was replaced with NH4+ to achieve a similar acidity to the rest of the zeolites (Al/Si = 45). The catalyst was placed in a fixed bed continuous flow reactor and glycerol was fed using H2 as a carrier at a molar ratio of 15:1 (H2/glycerol). Two types of liquid products were produced: A hydrocarbon phase with aromatics and an aqueous phase with oxygenates [276]. The aromatic part might be considered as an alternative fuel or gasoline additive. Typical zeolites have narrow and rigid micropores, which hinder the mass transportation of large molecules, such as aromatics produced in this type of process. Feng-Sohou et al. revised the alternative trend of expanding the pore size of acid zeolite materials [277]. There are several approaches to expanding the pores, including after synthesis and before synthesis, and in general, both lead to active catalysts for glycerol conversion to alkyl-aromatic. One problem of these materials is the deactivation by coke deposition [278]. Dinesh Kumar et al. tested an aluminosilicate mesoporous material—KIT6—loaded with Pd between 0.5 and 1.5 wt% and Al maintaining a silica to alumina ratio of 80 [279]. Pd lightly promoted the conversion, with a larger production of hydrocarbon fractions and with an increment of its calorific value, from 31 to 36 MJ/kg, showing the importance of Pd loading. However, the catalyst displayed deactivation due to coke formation on the catalyst surface. Hero J. Heeres recently reported the regeneration of catalyst type H-ZSM-5 through an in-situ oxidative regeneration process [280]. After the fifth regeneration, the catalyst lost about 105 of its surface area and 90% of the Bronsted acid sites, indicating an activity decay close to 50%. The main challenge in this route is the deactivation of the catalyst, which is a topic that should be focused on in research in the following years.
8.2.2. Production of Activated Carbon from Glycerol
Glycerol produced in biodiesel industries has a low metallic content, 2–3% salts (primarily sodium and potassium), and 2–3% other impurities [281]. If compared with other activated carbon sources, it has the advantage of producing low metal content activated carbon. If high-purity glycerol is used, then the subsequent activated carbon is metal-free. However, the production cost increases dramatically. One of the first papers was published by Bethala L.A. in 2009 [282]. The activated carbon was produced by partial carbonization and sulfonation using a glycerol/H2SO4 weight ratio of 1:4. The temperature was increased at 10 °C·min−1 till 180 °C and held for 20 min. After that, the obtained product was cooled down and then washed with water until reaching a neutral pH of the wash water. The authors described a yield of up to 50% of the glycerol weight used. The final solid was insoluble in methanol, ethanol, chloroform, benzene, and water. The main characteristics were a low surface area (~1 m2 g−1) and a high acidity due to sulphonated surface groups. These materials can be used as catalysts for glycerol condensation, glycerol purification, etc., so the main advantage is the possibility of one industry producing its own catalyst from the same raw material. Later on, the product can be calcined under N2 flow at 800 °C, in order to gain stability, 50 wt% loss up to 800 °C, and a surface area of around 10 m2 g−1 [283]. On the other hand, the ash content can reach >1%. As with any other char, it can be further activated by exposure to an oxidizing atmosphere and temperatures. Using air and a temperature of up to 400 °C can increase the microporosity and surface area up to 600 m2 g−1. By using steam or CO2, the activation temperature can be increased up to 900 °C [284], increasing the surface area to over 2000 m2 g−1 and decreasing the yield below 20 wt%. More recently, in 2019, CS Estes reported a synthetic method for highly functionalized carbon nanoparticles [285]. The method requires H2SO4 at a high mass ratio (15.2:1) and the reaction temperature must be set before reagent addition. The speed of reagent addition was 1 mL min−1. Miguel a Madeiro reported the preparation of magnetic carbon from glycerol [286]. Novel preparations of activated carbon have been applied, for instance, microwave pyrolysis, demonstrating the potential of this fast method [287], or ultrasonic spray, leading to nitrogen-doped porous Fe/C composites for chromium removal in water [288]. Activated carbon produced form glycerol has been successfully tested for Ni (II) removal [289] and as a supercapacitor [290].
8.3. Strategies of Glycerol Application
Many researchers have been working on catalytic valorization for such a long time that one promising strategy for glycerol valorization is being forgotten: The direct use of glycerol, without any chemical transformation. This strategy is missed in most of the reviews on glycerol valorization. Nowadays, glycerol is widely used in cosmetics, inks, lubricants, antifreeze, drugs, toothpaste, moisturizers, and as a solvent and food additive (E-422), etc. In this valorization strategy, the research work focusses on searching for and testing glycerol molecules in new applications or processes, taking into account the properties of the glycerol molecule and its reactivity and/or interaction with the surrounding media. Glycerol has remarkable properties, such as viscosity, lubricity, etc., and it also has the advantage of being a biodegradable molecule, so it can replace non-biodegradable molecules, leading to a positive environmental impact. In this sense, glycerol has been applied as an additive in industrial processes or products with a large carbon footprint. For instance, E. Silva Santos et al. used glycerol as an additive in emulsified marine diesel [291]. The authors reported an improvement of the lubricity and water reduction when a glycerol solution was added up to 15%. Additionally, glycerol has been applied as an additive for bitumen [292,293], exhibiting acceptable and interesting properties as a surfactant in this field, and decreasing the carbon footprint of the final product. Despite the fact that the direct use of glycerol is not the topic of this review, we have considered it, as it is worth mentioning some contributions reporting the benefit of using glycerol for template molecules during the synthesis of catalysts. These studies imply both a direct use of glycerol and research on catalysts, reporting some interesting benefits of its usage as an additive for catalyst synthesis, for stabilizing and controlling the particle size [294], as a solvent in the synthesis of catalysts [295], and as a reductant agent for Au nanoparticle synthesis [296,297,298].
9. Conclusions
Despite the rise in biodiesel production, and glycerol as a consequence, its production is expected to stabilize in the following years due to the emergence of second and third generation biofuels. Consequently, glycerol production can be maintained over time while operating biorefineries. This supposes a constant source of glycerol that is unable to be assimilated by current markets and opens the possibility for the development and implementation of new industrial processes.
All in all, perspectives on the valorization of glycerol will depend on the economy, global demand, law, and environmental impact. Concerning the latter, the atom efficiency might play a key role. Therefore, research should aim to avoid or minimize by-products, with CO2 being one of the most worrying ones, for strategies related to energy obtention. This trend can already be seen in the literature, especially in reforming with the introduction of combined process of CO2 separation and purification for later uses or the market, in which effective and low-cost processes/materials for CO2 separation are needed. The valorization of globally produced glycerol will pass through several strategies, and to the authors, nowadays, all strategies on research phases count, whatever the prediction of glycerol consumption, in a large-, moderate-, or small-scale process. Attention should be paid to strategies that imply the valorization of several by-products, where the combination of glycerol with CO2 would help in global climate change. The next step for existing strategies and processes might be to move toward using crude glycerol as a product, which can facilitate cost-effective industrial implementation.
Regarding catalysts applied in glycerol valorization, the perspectives are changing in the direction of producing cheaper, more stable, and more efficient catalysts. The obtention of catalysts from residues or other industries’ by-products is a promising route with a high potential for being cost effective. In general, processes based on C-C and C-H rupture tend to learn towards the substitution of noble metal nanoparticles with Ni-, Cu-, Fe-, and carbon-based catalysts. In the case of C-O and O-H, new acid materials, such as expanded zeolites, alloys, or modified activated carbon (that might be produced from glycerol) loaded with transition metals, seem to represent the next generation for researchers. The recently developed single atom catalyst might have a large impact on glycerol valorization, as it might reduce the cost of noble metal-based catalysts. The main conclusions of the present review are as follows.
Concerning the reforming of glycerol to obtain H2, glycerol steam reforming is the most efficient technique, being highly developed in industry due to its easy adaptation and implementation in preexisting facilities. Therefore, there has been thorough research on this subject for years, with the use of membrane reactors representing a promising technique. However, alternatives such as dry reforming and aqueous phase reforming might gain attention due to their environmentally friendly nature. The main disadvantages of these strategies, such as the excessive deposition of coke, production costs, and effective catalysts, should lead the research. Regarding catalysts, more selective and especially stable materials against coke deposition will be a priority in future research in this field.
In terms of glycerol reduction processes, 1,2-PDO production via hydrogenolysis has demonstrated that it is a viable process for industrial applications, depending on markets. Catalysts based on Cu as an active phase can actively conduct glycerol hydrogenolysis to produce 1,2-PDO, but are not good enough to produce monoalcohols, leading to high 1,2-PDO yields. Regarding 1,3-PDO, there is not a clear route for achieving a high reaction selectivity (maximum yield of around 60% for Pt-WOx catalysts) and future advances in this field are needed. Special attention must be paid to emerging technologies, such as single atom catalysts or single atom alloys, which could provide interesting results in 1,3-PDO production.
Glycerol oxidation is by far the most studied valorization route. Benefits such as the possibility of crude glycerol employment, reactions at room conditions, the possibility of open flask systems, and the obtention of valuable monomers for the polymer industry have made the reaction quite attractive. Nevertheless, nearly total conversions are usually reported under basic conditions at the cost of selectivity, which is the point where the research is focused, in an attempt to carry out reactions in acidic or neutral media. Future research in the electro-oxidation field would guide reaction selectivity to a specific product and can be performed under room or mild conditions. However, catalyst deactivation and stability must be improved.
Emergent valorization routes have the potential to become a real industrial option, especially those which focus on chemical or fuel production. They are in an early/middle stage of development, so intensive research is needed on each route. In a general way, efficient processes still need to be developed, as well as catalysts able to achieve a high yield of the desired product and ensure stability over time.
Author Contributions
Conceptualization, M.C., S.N.-D., V.M., and J.M.E.; investigation, M.C., S.N.-D., V.M., and J.M.E.; resources, S.N.-D. and J.M.E.; writing—original draft preparation, M.C., S.N.-D., and V.M.; writing—review and editing, S.N.-D. and M.C.; visualization, J.M.E.; supervision, S.N.-D. and V.M.; project administration, J.M.E.; funding acquisition, J.M.E. and V.M. All authors have read and agreed to the published version of the manuscript.
Funding
This research was funded by JUNTA DE EXTREMADURA and FEDER, grant numbers GR18150, IB18028, and TA18037.
Acknowledgments
The authors would like to thank the Junta de Extremadura and FEDER “Fondos Europeos de Desarrollo Regional” for the financial support.
Conflicts of Interest
The authors declare no conflict of interest.
References
- Rodrigues, A.; Bordado, J.C.; Dos Santos, R.G. Upgrading the Glycerol from Biodiesel Production as a Source of Energy Carriers and Chemicals—A Technological Review for Three Chemical Pathways. Energies 2017, 10, 1817. [Google Scholar] [CrossRef]
- Pagliaro, M.; Rossi, M. The Future of Glycerol, 2nd ed.; Clark, J.H., Kraus, G.A., Eds.; Green Chemistry Series; Royal Society of Chemistry: Cambridge, UK, 2010; ISBN 978-1-84973-046-4. [Google Scholar]
- Bagnato, G.; Iulianelli, A.; Sanna, A.; Basile, A. Glycerol Production and Transformation: A Critical Review with Particular Emphasis on Glycerol Reforming Reaction for Producing Hydrogen in Conventional and Membrane Reactors. Membranes 2017, 7, 17. [Google Scholar] [CrossRef]
- Semkiv, M.V.; Ruchala, J.; Dmytruk, K.V.; Sibirny, A.A. 100 Years Later, What Is New in Glycerol Bioproduction? Trends Biotechnol. 2020, 38, 907–916. [Google Scholar] [CrossRef] [PubMed]
- Singh, D.; Sharma, D.; Soni, S.; Sharma, S.; Sharma, P.K.; Jhalani, A. A review on feedstocks, production processes, and yield for different generations of biodiesel. Fuel 2020, 262, 116553. [Google Scholar] [CrossRef]
- Callegari, A.; Bolognesi, S.; Cecconet, D.; Capodaglio, A.G. Production technologies, current role, and future prospects of biofuels feedstocks: A state-of-the-art review. Crit. Rev. Environ. Sci. Technol. 2019, 50, 384–436. [Google Scholar] [CrossRef]
- Clark, J.H.; Farmer, T.J.; Hunt, A.J.; Sherwood, J. Opportunities for Bio-Based Solvents Created as Petrochemical and Fuel Products Transition towards Renewable Resources. Int. J. Mol. Sci. 2015, 16, 17101–17159. [Google Scholar] [CrossRef] [PubMed]
- Chandel, A.K.; Garlapati, V.K.; Kumar, S.P.J.; Hans, M.; Singh, A.K. The role of renewable chemicals and biofuels in building a bioeconomy. Biofuels Bioprod. Biorefin. 2020, 14, 830–844. [Google Scholar] [CrossRef]
- Sharma, B.; Larroche, C.; Dussap, C.-G. Comprehensive assessment of 2G bioethanol production. Bioresour. Technol. 2020, 313, 123630. [Google Scholar] [CrossRef] [PubMed]
- Kargbo, H.; Harris, J.S.; Phan, A.N. “Drop-in” fuel production from biomass: Critical review on techno-economic feasibility and sustainability. Renew. Sustain. Energy Rev. 2021, 135, 110168. [Google Scholar] [CrossRef]
- Dedes, G.; Karnaouri, A.; Topakas, E. Novel Routes in Transformation of Lignocellulosic Biomass to Furan Platform Chemicals: From Pretreatment to Enzyme Catalysis. Catalysts 2020, 10, 743. [Google Scholar] [CrossRef]
- Eisentraut, A.; Sustainable Production of Second-Generation Biofuels. Organisation for Economic Co-operation and Development—Inernational Energy Agency (OECD-IEA). 2010. Available online: https://www.oecd.org/berlin/44567743.pdf (accessed on 26 September 2020).
- United Nations Conference on Trade and Development. Second Generation Biofuel Markets: State of Play, Trade and Developing Country Perspectives; United Nations Conference on Trade and Development: Geneva, Switzerland, 2016; Available online: https://www.sdgfund.org/second-generation-biofuel-markets-state-play-trade-and-developing-country-perspectives (accessed on 26 September 2020).
- Wegenhart, B.L.; Liu, S.; Thom, M.; Stanley, D.; Abu-Omar, M.M. Solvent-Free Methods for Making Acetals Derived from Glycerol and Furfural and Their Use as a Biodiesel Fuel Component. ACS Catal. 2012, 2, 2524–2530. [Google Scholar] [CrossRef]
- Werpy, T.A.; Petersen, G. Results of Screening for Potential Candidates from Sugars and Synthesis Gas. In Top Value Added Chemicals from Biomass; Office of Scientific and Technical Information (OSTI): Oak Ridge, TN, USA, 2004; Volume I, 76p. [Google Scholar]
- Pagliaro, M.; Ciriminna, R.; Kimura, H.; Rossi, M.; Della Pina, C. From Glycerol to Value-Added Products. Angew. Chem. Int. Ed. 2007, 46, 4434–4440. [Google Scholar] [CrossRef]
- Jiménez, R.X.; Young, A.F.; Fernandes, H.L. Propylene glycol from glycerol: Process evaluation and break-even price determination. Renew. Energy 2020, 158, 181–191. [Google Scholar] [CrossRef]
- Iliuta, I.; Iliuta, M.C. Integration of sorption-enhanced steam glycerol reforming with methanation of in-situ removed carbon dioxide—An alternative for glycerol valorization. Int. J. Hydrogen Energy 2020, 45, 18574–18586. [Google Scholar] [CrossRef]
- Muelas, A.; Remacha, P.; Pina, A.; Barroso, J.; Sobrino, A.; Aranda, D.; Bayarri, N.; Estévez, C.; Ballester, J. Combustion of crude glycerol and its blends with acetals. Exp. Therm. Fluid Sci. 2020, 114, 110076. [Google Scholar] [CrossRef]
- Roslan, N.A.; Abidin, S.Z.; Ideris, A.; Vo, D.-V.N. A review on glycerol reforming processes over Ni-based catalyst for hydrogen and syngas productions. Int. J. Hydrogen Energy 2020, 45, 18466–18489. [Google Scholar] [CrossRef]
- Kosamia, N.M.; Samavi, M.; Uprety, B.K.; Rakshit, S.K. Valorization of Biodiesel Byproduct Crude Glycerol for the Production of Bioenergy and Biochemicals. Catalysts 2020, 10, 609. [Google Scholar] [CrossRef]
- Nda-Umar, U.I.; Ramli, I.; Taufiq-Yap, Y.H.; Muhamad, E.N. An Overview of Recent Research in the Conversion of Glycerol into Biofuels, Fuel Additives and other Bio-Based Chemicals. Catalysts 2018, 9, 15. [Google Scholar] [CrossRef]
- Simoes, M.; Baranton, S.; Coutanceau, C. Electrochemical Valorisation of Glycerol. ChemSusChem 2012, 5, 2106–2124. [Google Scholar] [CrossRef]
- Fiorani, G.; Perosa, A.; Selva, M. Dimethyl carbonate: A versatile reagent for a sustainable valorization of renewables. Green Chem. 2018, 20, 288–322. [Google Scholar] [CrossRef]
- New Glycerol Upgrading Processes. Available online: https://www.mdpi.com/journal/catalysts/special_issues/glycerol_processes (accessed on 26 September 2020).
- Pagliaro, M. Glycerol The Renewable Platform Chemical, 1st ed.; Else: Amsterdam, The Netherlands, 2017; ISBN 978-0-12-812205-1. [Google Scholar]
- Mota, C.; Pinto, B.P.; Lima, A.L. De Glycerol A Versatile Renewable Feedstock for the Chemical Industry; Springer International Publishing: Cham, Switzerland, 2017; ISBN 978-3-319-59375-3. [Google Scholar]
- Konwar, L.J.; Mikkola, J.-P.; Bordoloi, N.; Saikia, R.; Chutia, R.S.; Kataki, R. Sidestreams From Bioenergy and Biorefinery Complexes as a Resource for Circular Bioeconomy. In Waste Biorefinery; Elsevier BV: Amsterdam, The Netherlands, 2018; pp. 85–125. [Google Scholar]
- Liu, B.; Gao, F. Navigating Glycerol Conversion Roadmap and Heterogeneous Catalyst Selection Aided by Density Functional Theory: A Review. Catalysts 2018, 8, 44. [Google Scholar] [CrossRef]
- European Union Production of Cyclic Carbonates from CO2 Using Renewable Feedstocks. Available online: https://cordis.europa.eu/project/id/309497/es (accessed on 26 September 2020).
- European Union Glycerol Biorefinery Approach for the Production of High Quality Products of Industrial Value. Available online: https://cordis.europa.eu/project/id/613667/es (accessed on 26 September 2020).
- OECD-FAO. Food and Agriculture Organization of the United Nations; OECD-FAO: Paris, France, 2020. [Google Scholar]
- Thanh, L.T.; Okitsu, K.; Van Boi, L.; Maeda, Y. Catalytic Technologies for Biodiesel Fuel Production and Utilization of Glycerol: A Review. Catalysts 2012, 2, 191–222. [Google Scholar] [CrossRef]
- Jun, C.-H. Transition metal-catalyzed carbon–carbon bond activation. Chem. Soc. Rev. 2004, 33, 610–618. [Google Scholar] [CrossRef] [PubMed]
- Mizugaki, T.; Kaneda, K. Development of High Performance Heterogeneous Catalysts for Selective Cleavage of C–O and C–C Bonds of Biomass-Derived Oxygenates. Chem. Rec. 2018, 19, 1179–1198. [Google Scholar] [CrossRef] [PubMed]
- Santoro, S.; Kozhushkov, S.I.; Ackermann, L.; Vaccaro, L. Heterogeneous catalytic approaches in C–H activation reactions. Green Chem. 2016, 18, 3471–3493. [Google Scholar] [CrossRef]
- Chen, Y.; Miao, B.; Zhang, M.; Chen, Y.; Wang, L. Mechanism of C–C and C–H bond cleavage in ethanol oxidation reaction on Cu2O(111): A DFT-D and DFT+U study. Phys. Chem. Chem. Phys. 2017, 19, 26210–26220. [Google Scholar] [CrossRef]
- Pitt, F.D.; Domingos, A.M.; Barros, A.C. Purification of residual glycerol recovered from biodiesel production. S. Afr. J. Chem. Eng. 2019, 29, 42–51. [Google Scholar] [CrossRef]
- Meier, T.R.W.; Cremonez, P.A.; Maniglia, T.C.; Sampaio, S.C.; Teleken, J.G.; Da Silva, E.A. Production of biohydrogen by an anaerobic digestion process using the residual glycerol from biodiesel production as additive to cassava wastewater. J. Clean. Prod. 2020, 258, 120833. [Google Scholar] [CrossRef]
- Estévez-Toledano, R.C.; Aguado-Deblas, L.; Bautista, F.M.; Luna, D.; Luna, C.; Calero, J.; Posadillo, A.; Romero, A.A. Biodiesel at the Crossroads: A Critical Review. Catalysts 2019, 9, 1033. [Google Scholar] [CrossRef]
- Kim, K.H.; Lee, E.Y. Environmentally-Benign Dimethyl Carbonate-Mediated Production of Chemicals and Biofuels from Renewable Bio-Oil. Energies 2017, 10, 1790. [Google Scholar] [CrossRef]
- Habaki, H.; Hayashi, T.; Sinthupinyo, P.; Egashira, R. Purification of glycerol from transesterification using activated carbon prepared from Jatropha Shell for biodiesel production. J. Environ. Chem. Eng. 2019, 7, 103303. [Google Scholar] [CrossRef]
- Setyawan, H.Y.; Zhu, M.; Zhang, Z.; Zhang, D. An Experimental Study of Effect of Water on Ignition and Combustion Characteristics of Single Droplets of Glycerol. Energy Procedia 2015, 75, 578–583. [Google Scholar] [CrossRef][Green Version]
- Menon, A.; Waller, N.; Hu, W.; Hayhurst, A.; Davidson, J.; Scott, S.A. The combustion of solid paraffin wax and of liquid glycerol in a fluidised bed. Fuel 2017, 199, 447–455. [Google Scholar] [CrossRef][Green Version]
- Presciutti, A.; Asdrubali, F.; Baldinelli, G.; Rotili, A.; Malavasi, M.; Di Salvia, G. Energy and exergy analysis of glycerol combustion in an innovative flameless power plant. J. Clean. Prod. 2018, 172, 3817–3824. [Google Scholar] [CrossRef]
- Mehrpooya, M.; Ghorbani, B.; Abedi, H. Biodiesel production integrated with glycerol steam reforming process, solid oxide fuel cell (SOFC) power plant. Energy Convers. Manag. 2020, 206, 112467. [Google Scholar] [CrossRef]
- Lee, B.-H.; Sh, L.; Bae, J.-S.; Choi, Y.-C.; Jeon, C.H. Combustion behavior of low-rank coal impregnated with glycerol. Biomass Bioenergy 2016, 87, 122–130. [Google Scholar] [CrossRef]
- Gibson, I.; Slim, C.J.; Zheng, Y.; Scott, S.A.; Davidson, J.F.; Hayhurst, A. The continuous combustion of glycerol in a fluidised bed. Combust. Flame 2019, 200, 60–68. [Google Scholar] [CrossRef]
- Żukowski, W.; Berkowicz, G. Dataset on flue gas composition during combustion in the fluidised bed reactor. Glycerol combustion. Data Brief 2020, 30, 105418. [Google Scholar] [CrossRef]
- Fantozzi, F.; Frassoldati, A.; Bartocci, P.; Cinti, G.; Quagliarini, F.; Bidini, G.; Ranzi, E. An experimental and kinetic modeling study of glycerol pyrolysis. Appl. Energy 2016, 184, 68–76. [Google Scholar] [CrossRef]
- Almazrouei, M.; Janajreh, I. Model-fitting approach to kinetic analysis of non-isothermal pyrolysis of pure and crude glycerol. Renew. Energy 2020, 145, 1693–1708. [Google Scholar] [CrossRef]
- He, S.; Muizebelt, I.; Heeres, A.; Schenk, N.; Blees, R.; Heeres, H. Catalytic pyrolysis of crude glycerol over shaped ZSM-5/bentonite catalysts for bio-BTX synthesis. Appl. Catal. B Environ. 2018, 235, 45–55. [Google Scholar] [CrossRef]
- De OliveiraMaia, D.; de SouzaChagas, A.M.; Araújo, A.M.D.M.; De Mendonça, A.V.; Ferreira, I.M.D.L.; Lemos, F.; Araujo, A.S.; Fernandes, V.J.; Gondim, A.D. Catalytic pyrolysis of glycerol in the presence of Nickel (II) Schiff base complex supported in SBA-15: Kinetic and products (TG-FTIR and PY-CG/MS). Thermochim. Acta 2018, 669, 160–168. [Google Scholar] [CrossRef]
- Batista, L.M.B.; Oliveira, J.L.F.; Bezerra, F.A.; Araújo, A.M.D.M.; Júnior, V.J.F.; Araujo, A.S.; Alves, A.P.; Gondim, A.D. Synthesis, characterization and evaluation of niobium catalysts in the flash pyrolysis of glycerol. Solid State Sci. 2019, 97, 105977. [Google Scholar] [CrossRef]
- Shahirah, M.N.N.; Gimbun, J.; Ideris, A.; Khan, M.R.; Cheng, C.-K. Catalytic pyrolysis of glycerol into syngas over ceria-promoted Ni/α-Al2O3 catalyst. Renew. Energy 2017, 107, 223–234. [Google Scholar] [CrossRef]
- Shahirah, M.N.N.; Gimbun, J.; Lam, S.S.; Ng, Y.H.; Cheng, C.-K. Synthesis and characterization of a La Ni/α-Al2O3 catalyst and its use in pyrolysis of glycerol to syngas. Renew. Energy 2019, 132, 1389–1401. [Google Scholar] [CrossRef]
- Fasolini, A.; Cespi, D.; Tabanelli, T.; Cucciniello, R.; Cavani, F. Hydrogen from Renewables: A Case Study of Glycerol Reforming. Catalysts 2019, 9, 722. [Google Scholar] [CrossRef]
- Sabio, E.; Álvarez-Murillo, A.; González, J.; Ledesma, B.; Román, S. Modelling the composition of the gas obtained by steam reforming of glycerine. Energy Convers. Manag. 2017, 146, 147–157. [Google Scholar] [CrossRef]
- Román, S.; Ledesma, B.; Alvarez, A.; Al-Kassir, A.; Yusaf, T.; Cano, B.L. Glycerin, a Biodiesel By-Product with Potentiality to Produce Hydrogen by Steam Gasification. Energies 2015, 8, 12765–12775. [Google Scholar] [CrossRef]
- Charisiou, N.; Polychronopoulou, K.; Asif, A.; Goula, M. The potential of glycerol and phenol towards H2 production using steam reforming reaction: A review. Surf. Coat. Technol. 2018, 352, 92–111. [Google Scholar] [CrossRef]
- Bepari, S.; Kuila, D. Steam reforming of methanol, ethanol and glycerol over nickel-based catalysts-A review. Int. J. Hydrogen Energy 2020, 45, 18090–18113. [Google Scholar] [CrossRef]
- Wang, B.; Xiong, Y.; Han, Y.; Hong, J.; Zhang, Y.; Li, J.; Jing, F.; Chu, W. Preparation of stable and highly active Ni/CeO2 catalysts by glow discharge plasma technique for glycerol steam reforming. Appl. Catal. B Environ. 2019, 249, 257–265. [Google Scholar] [CrossRef]
- Xiong, Y.; Wang, B.; Yan, J.; Hong, J.; Wang, L.; Zhang, Y.; Li, J.; Jing, F.; Chu, W. Plasma assisted preparation of nickel-based catalysts supported on CeO2 with different morphologies for hydrogen production by glycerol steam reforming. Powder Technol. 2019, 354, 324–332. [Google Scholar] [CrossRef]
- Yang, X.; Wang, S.; Li, Z.; Zhang, K.; Li, B. Enhancement of membrane hydrogen separation on glycerol steam reforming in a fluidized bed reactor. Int. J. Hydrogen Energy 2018, 43, 18863–18872. [Google Scholar] [CrossRef]
- Macedo, M.S.; Soria, M.; Madeira, L.M. Glycerol steam reforming for hydrogen production: Traditional versus membrane reactor. Int. J. Hydrogen Energy 2019, 44, 24719–24732. [Google Scholar] [CrossRef]
- Saidi, M.; Moradi, P. Conversion of biodiesel synthesis waste to hydrogen in membrane reactor: Theoretical study of glycerol steam reforming. Int. J. Hydrogen Energy 2020, 45, 8715–8726. [Google Scholar] [CrossRef]
- Ghasemzadeh, K.; Ghahremani, M.; Amiri, T.Y.; Basile, A. Performance evaluation of Pd Ag membrane reactor in glycerol steam reforming process: Development of the CFD model. Int. J. Hydrogen Energy 2019, 44, 1000–1009. [Google Scholar] [CrossRef]
- Yang, X.; Wang, S.; Liu, H.; Liu, G.; He, Y. Numerical studies of sorption-enhanced glycerol steam reforming in a fluidized bed membrane reactor at low temperature. Int. J. Hydrogen Energy 2020, 45, 8346–8356. [Google Scholar] [CrossRef]
- Bac, S.; Keskin, S.; Avci, A.K. Recent advances in materials for high purity H2 production by ethanol and glycerol steam reforming. Int. J. Hydrogen Energy 2019. [Google Scholar] [CrossRef]
- Chen, M.; Zhou, Z.; Wang, Y.; Liang, T.; Li, X.; Yang, Z.; Chen, M.; Wang, J. Effects of attapulgite-supported transition metals catalysts on glycerol steam reforming for hydrogen production. Int. J. Hydrogen Energy 2018, 43, 20451–20464. [Google Scholar] [CrossRef]
- Dahdah, E.; Aouad, S.; Gennequin, C.; Estephane, J.; Nsouli, B.; Aboukaïs, A.; Abi-Aad, E. Glycerol steam reforming over Ru-Mg-Al hydrotalcite-derived mixed oxides: Role of the preparation method in catalytic activity. Int. J. Hydrogen Energy 2018, 43, 19864–19872. [Google Scholar] [CrossRef]
- Dobosz, J.; Cichy, M.; Zawadzki, M.; Borowiecki, T. Glycerol steam reforming over calcium hydroxyapatite supported cobalt and cobalt-cerium catalysts. J. Energy Chem. 2018, 27, 404–412. [Google Scholar] [CrossRef]
- Lima, D.S.; Calgaro, C.O.; Perez-Lopez, O.W. Hydrogen production by glycerol steam reforming over Ni based catalysts prepared by different methods. Biomass Bioenergy 2019, 130, 105358. [Google Scholar] [CrossRef]
- Moreira, R.; Moral, A.; Bimbela, F.; Portugal, A.; Ferreira, A.; Sanchez, J.L.; Gandía, L.M. Syngas production via catalytic oxidative steam reforming of glycerol using a Co/Al coprecipitated catalyst and different bed fillers. Fuel Process. Technol. 2019, 189, 120–133. [Google Scholar] [CrossRef]
- Silva, J.M.; Ribeiro, L.S.; Órfão, J.; Soria, M.; Madeira, L.M. Low temperature glycerol steam reforming over a Rh-based catalyst combined with oxidative regeneration. Int. J. Hydrogen Energy 2019, 44, 2461–2473. [Google Scholar] [CrossRef]
- Zhao, H.; Xu, C.-H.; Wang, T. Production of methane from biomass glycerol through coupling of steam reforming and methanation on Ni-Mn/Al2O3. Sustain. Chem. Pharm. 2019, 13, 100150. [Google Scholar] [CrossRef]
- Al-Salihi, S.; Abrokwah, R.; Dade, W.; Deshmane, V.; Hossain, T.; Kuila, D. Renewable hydrogen from glycerol steam reforming using Co–Ni–MgO based SBA-15 nanocatalysts. Int. J. Hydrogen Energy 2020, 45, 14183–14198. [Google Scholar] [CrossRef]
- Charisiou, N.; Italiano, C.; Pino, L.; Sebastian, V.; Vita, A.; Goula, M. Hydrogen production via steam reforming of glycerol over Rh/γ-Al2O3 catalysts modified with CeO2, MgO or La2O3. Renew. Energy 2020, 162, 908–925. [Google Scholar] [CrossRef]
- Chen, D.; Wang, W.; Liu, C. Hydrogen production through glycerol steam reforming over beehive-biomimetic graphene-encapsulated nickel catalysts. Renew. Energy 2020, 145, 2647–2657. [Google Scholar] [CrossRef]
- Dahdah, E.; Estephane, J.; Gennequin, C.; Aboukaïs, A.; Abi-Aad, E.; Aouad, S. Zirconia supported nickel catalysts for glycerol steam reforming: Effect of zirconia structure on the catalytic performance. Int. J. Hydrogen Energy 2020, 45, 4457–4467. [Google Scholar] [CrossRef]
- Dahdah, E.; Estephane, J.; Gennequin, C.; Aboukaïs, A.; Aouad, S.; Abi-Aad, E. Effect of La promotion on Ni/Mg-Al hydrotalcite derived catalysts for glycerol steam reforming. J. Environ. Chem. Eng. 2020, 8, 104228. [Google Scholar] [CrossRef]
- Feng, P.; Huang, K.; Xu, Q.; Qi, W.; Xin, S.; Wei, T.; Liao, L.; Yan, Y. Ni supported on the CaO modified attapulgite as catalysts for hydrogen production from glycerol steam reforming. Int. J. Hydrogen Energy 2020, 45, 8223–8233. [Google Scholar] [CrossRef]
- Ismaila, A.; Chen, H.; Shao, Y.; Xu, S.; Jiao, Y.; Chen, X.; Gao, X.; Fan, X. Renewable hydrogen production from steam reforming of glycerol (SRG) over ceria-modified γ-alumina supported Ni catalyst. Chin. J. Chem. Eng. 2020, 28, 2328–2336. [Google Scholar] [CrossRef]
- Jing, F.; Liu, S.; Wang, R.; Li, X.; Yan, Z.; Luo, S.; Chu, W. Hydrogen production through glycerol steam reforming over the NiCexAl catalysts. Renew. Energy 2020, 158, 192–201. [Google Scholar] [CrossRef]
- Menezes, J.P.D.S.; Duarte, K.R.; Manfro, R.L.; Souza, M.M.V.M. Effect of niobia addition on cobalt catalysts supported on alumina for glycerol steam reforming. Renew. Energy 2020, 148, 864–875. [Google Scholar] [CrossRef]
- Moogi, S.; Nakka, L.; Potharaju, S.P.; Ahmed, A.; Farooq, A.; Jung, S.-C.; Rhee, G.H.; Park, Y.-K. Copper promoted Co/MgO: A stable and efficient catalyst for glycerol steam reforming. Int. J. Hydrogen Energy 2020. [Google Scholar] [CrossRef]
- Moogi, S.; Lee, I.-G.; Hwang, K.-R. Catalytic steam reforming of glycerol over Ni–La2O3–CeO2/SBA-15 catalyst for stable hydrogen-rich gas production. Int. J. Hydrogen Energy 2020. [Google Scholar] [CrossRef]
- García, L.; Valiente, A.; Oliva, M.; Ruiz, J.; Arauzo, J. Influence of operating variables on the aqueous-phase reforming of glycerol over a Ni/Al coprecipitated catalyst. Int. J. Hydrogen Energy 2018, 43, 20392–20407. [Google Scholar] [CrossRef]
- Shabaker, J.; Huber, G.; Dumesic, J. Aqueous-phase reforming of oxygenated hydrocarbons over Sn-modified Ni catalysts. J. Catal. 2004, 222, 180–191. [Google Scholar] [CrossRef]
- Shabaker, J. Aqueous-phase reforming of methanol and ethylene glycol over alumina-supported platinum catalysts. J. Catal. 2003, 215, 344–352. [Google Scholar] [CrossRef]
- Bastan, F.; Kazemeini, M.; Larimi, A.; Maleki, H. Production of renewable hydrogen through aqueous-phase reforming of glycerol over Ni/Al2O3MgO nano-catalyst. Int. J. Hydrogen Energy 2018, 43, 614–621. [Google Scholar] [CrossRef]
- Reynoso, A.; Ayastuy, J.; Iriarte-Velasco, U.; Gutiérrez-Ortiz, M. Cobalt aluminate spinel-derived catalysts for glycerol aqueous phase reforming. Appl. Catal. B Environ. 2018, 239, 86–101. [Google Scholar] [CrossRef]
- Bossola, F.; Pereira-Hernández, X.I.; Evangelisti, C.; Wang, Y.; Santo, V.D. Investigation of the promoting effect of Mn on a Pt/C catalyst for the steam and aqueous phase reforming of glycerol. J. Catal. 2017, 349, 75–83. [Google Scholar] [CrossRef]
- Putra, R.D.D.; Trajano, H.L.; Liu, S.; Smith, K.J.; Smith, K.; Kim, C.-S. In-situ glycerol aqueous phase reforming and phenol hydrogenation over Raney Ni®. Chem. Eng. J. 2018, 350, 181–191. [Google Scholar] [CrossRef]
- Liu, S.; Tamura, M.; Shen, Z.; Su, Y.; Nakagawa, Y.; Tomishige, K. Hydrogenolysis of glycerol with in-situ produced H2 by aqueous-phase reforming of glycerol using Pt-modified Ir-ReOx/SiO2 catalyst. Catal. Today 2018, 303, 106–116. [Google Scholar] [CrossRef]
- Thirabunjongcharoen, S.; Bumroongsakulsawat, P.; Praserthdam, P.; Charojrochkul, S.; Assabumrungrat, S.; Kim-Lohsoontorn, P. Thermally double coupled reactor coupling aqueous phase glycerol reforming and methanol synthesis. Catal. Today 2020. [Google Scholar] [CrossRef]
- Callison, J.; Subramanian, N.; Rogers, S.; Chutia, A.; Gianolio, D.; Catlow, C.; Wells, P.; Dimitratos, N. Directed aqueous-phase reforming of glycerol through tailored platinum nanoparticles. Appl. Catal. B Environ. 2018, 238, 618–628. [Google Scholar] [CrossRef]
- Morales-Marín, A.; Ayastuy, J.; Iriarte-Velasco, U.; Gutiérrez-Ortiz, M. Nickel aluminate spinel-derived catalysts for the aqueous phase reforming of glycerol: Effect of reduction temperature. Appl. Catal. B Environ. 2019, 244, 931–945. [Google Scholar] [CrossRef]
- Reynoso, A.; Iriarte-Velasco, U.; Gutiérrez-Ortiz, M.; Ayastuy, J. Highly stable Pt/CoAl2O4 catalysts in Aqueous-Phase Reforming of glycerol. Catal. Today 2020. [Google Scholar] [CrossRef]
- Yu, J.; Odriozola, J.A.; Reina, T. Dry Reforming of Ethanol and Glycerol: Mini-Review. Catalysts 2019, 9, 1015. [Google Scholar] [CrossRef]
- Dang, C.; Wu, S.; Yang, G.; Cao, Y.; Wang, H.; Peng, F.; Yu, H. Syngas production by dry reforming of the mixture of glycerol and ethanol with CaCO3. J. Energy Chem. 2020, 43, 90–97. [Google Scholar] [CrossRef]
- Harun, N.; Abidin, S.Z.; Osazuwa, O.U.; Taufiq-Yap, Y.H.; Azizan, M.T. Hydrogen production from glycerol dry reforming over Ag-promoted Ni/Al2O3. Int. J. Hydrogen Energy 2019, 44, 213–225. [Google Scholar] [CrossRef]
- Tavanarad, M.; Meshkani, F.; Rezaei, M. Production of syngas via glycerol dry reforming on Ni catalysts supported on mesoporous nanocrystalline Al2O3. J. CO2 Util. 2018, 24, 298–305. [Google Scholar] [CrossRef]
- Bulutoglu, P.S.; Say, Z.; Bac, S.; Ozensoy, E.; Avci, A.K. Dry reforming of glycerol over Rh-based ceria and zirconia catalysts: New insights on catalyst activity and stability. Appl. Catal. A Gen. 2018, 564, 157–171. [Google Scholar] [CrossRef]
- Arif, N.N.M.; Abidin, S.Z.; Osazuwa, O.U.; Vo, D.N.; Azizan, M.T.; Taufiq-Yap, Y.H. Hydrogen production via CO2 dry reforming of glycerol over Re Ni/CaO catalysts. Int. J. Hydrogen Energy 2019, 44, 20857–20871. [Google Scholar] [CrossRef]
- El Doukkali, M.; Iriondo, A.; Gandarias, I. Enhanced catalytic upgrading of glycerol into high value-added H2 and propanediols: Recent developments and future perspectives. Mol. Catal. 2020, 490, 110928. [Google Scholar] [CrossRef]
- Zhou, C.H.; Zhao, H.; Tong, D.S.; Wu, L.M.; Yu, W.H. Recent Advances in Catalytic Conversion of Glycerol. Catal. Rev. 2013, 55, 369–453. [Google Scholar] [CrossRef]
- Wang, Y.; Xiao, Y.; Xiao, G. Sustainable value-added C3 chemicals from glycerol transformations: A mini review for heterogeneous catalytic processes. Chin. J. Chem. Eng. 2019, 27, 1536–1542. [Google Scholar] [CrossRef]
- Feng, J.; Xu, B. Reaction Mechanisms for the Heterogeneous Hydrogenolysis of Biomass-Derived Glycerol to Propanediols. Prog. React. Kinet. Mech. 2014, 39, 1–15. [Google Scholar] [CrossRef]
- Zhu, S.; Gao, X.; Zhu, Y.; Fan, W.; Wang, J.; Li, Y. A highly efficient and robust Cu/SiO2 catalyst prepared by the ammonia evaporation hydrothermal method for glycerol hydrogenolysis to 1,2-propanediol. Catal. Sci. Technol. 2015, 5, 1169–1180. [Google Scholar] [CrossRef]
- Vila, F.; Granados, M.L.; Ojeda, M.; Fierro, J.L.G.; Mariscal, R. Glycerol hydrogenolysis to 1,2-propanediol with Cu/γ-Al2O3: Effect of the activation process. Catal. Today 2012, 187, 122–128. [Google Scholar] [CrossRef]
- Xia, S.; Yuan, Z.; Wang, L.; Chen, P.; Hou, Z. Catalytic production of 1,2-propanediol from glycerol in bio-ethanol solvent. Bioresour. Technol. 2012, 104, 814–817. [Google Scholar] [CrossRef] [PubMed]
- Kim, N.D.; Park, J.R.; Park, D.S.; Kwak, B.K.; Yi, J. Promoter effect of Pd in CuCr2O4 catalysts on the hydrogenolysis of glycerol to 1,2-propanediol. Green Chem. 2012, 14, 2638–2646. [Google Scholar] [CrossRef]
- Zhou, M.; Yang, M.; Yang, X.; Zhao, X.; Sun, L.; Deng, W.; Wang, A.; Li, J.; Zhang, T. On the mechanism of H2 activation over single-atom catalyst: An understanding of Pt1/WOx in the hydrogenolysis reaction. Chin. J. Catal. 2020, 41, 524–532. [Google Scholar] [CrossRef]
- Mane, R.; Patil, S.; Shirai, M.; Rayalu, S.S.; Rode, C.V. Influence of carbon based supports on selectivity behavior of diols and propanol in Ru catalyzed glycerol hydrogenolysis. Appl. Catal. B Environ. 2017, 204, 134–146. [Google Scholar] [CrossRef]
- Gallegos-Suarez, E.; Guerrero-Ruiz, A.; Rodríguez-Ramos, I.; Arcoya, A. Comparative study of the hydrogenolysis of glycerol over Ru-based catalysts supported on activated carbon, graphite, carbon nanotubes and KL-zeolite. Chem. Eng. J. 2015, 262, 326–333. [Google Scholar] [CrossRef]
- Seguel, J.; García, R.; Chimentão, R.J.; Fierro, J.L.G.; Ghampson, I.T.; Escalona, N.; Sepúlveda, C. Thermal Modification Effect on Supported Cu-Based Activated Carbon Catalyst in Hydrogenolysis of Glycerol. Materials 2020, 13, 603. [Google Scholar] [CrossRef]
- Costa, J.D.R.M.; Santos, R.C.; Coutinho, L.P.; Silva, O.R.; Barros, H.O.; Freire, V.N.; Valentini, A. CO2 role on the glycerol conversion over catalyst containing CaO-SiO2 doped with Ag and Pt. Catal. Today 2020, 344, 199–211. [Google Scholar] [CrossRef]
- Mane, R.; Rode, C. Simultaneous glycerol dehydration and in situ hydrogenolysis over Cu-Al oxide under an inert atmosphere. Green Chem. 2012, 14, 2780–2789. [Google Scholar] [CrossRef]
- Checa, M.; Montes, V.; Hidalgo-Carrillo, J.; Marinas, A.; Urbano, F.J. Influence of Boron, Tungsten and Molybdenum Modifiers on Zirconia Based Pt Catalyst for Glycerol Valorization. Nanomaterials 2019, 9, 509. [Google Scholar] [CrossRef]
- Kuljiraseth, J.; Kumpradit, T.; Leungcharoenwattana, T.; Poo-Arporn, Y.; Jitkarnka, S. Integrated glycerol- and ethanol-based chemical synthesis routes using Cu–Mg–Al LDH-derived catalysts without external hydrogen: Intervention of bio-ethanol co-fed with glycerol. Renew. Energy 2020, 156, 975–985. [Google Scholar] [CrossRef]
- Shan, J.; Liu, H.; Lu, K.; Zhu, S.; Li, J.; Wang, J.; Fan, W. Identification of the dehydration active sites in glycerol hydrogenolysis to 1,2-propanediol over Cu/SiO2 catalysts. J. Catal. 2020, 383, 13–23. [Google Scholar] [CrossRef]
- Żelazny, A.; Samson, K.; Grabowski, R.; Śliwa, M.; Ruggiero-Mikołajczyk, M.; Kornas, A. Hydrogenolysis of glycerol to propylene glycol over Cu/oxide catalysts: Influence of the support and reaction conditions. React. Kinet. Mech. Catal. 2017, 121, 329–343. [Google Scholar] [CrossRef]
- Ke, Y.; Li, X.; Li, J.; Liu, C.; Xu, C.; Dong, W. Conversion of glycerol to dihydroxyacetone over Au catalysts on various supports. J. Chem. Technol. Biotechnol. 2019, 95, 1153–1162. [Google Scholar] [CrossRef]
- Checa-Gómez, M.; Marinas, A.; Marinas, J.M.; Urbano, F.J. Deactivation study of supported Pt catalyst on glycerol hydrogenolysis. Appl. Catal. A Gen. 2015, 507, 34–43. [Google Scholar] [CrossRef]
- García-Fernández, S.; Gandarias, I.; Tejido-Núñez, Y.; Requies, J.; Arias, P.L. Influence of the Support of Bimetallic Platinum Tungstate Catalysts on 1,3-Propanediol Formation from Glycerol. ChemCatChem 2017, 9, 4508–4519. [Google Scholar] [CrossRef]
- De Andrade, T.S.; Souza, M.M.; Manfro, R.L. Hydrogenolysis of glycerol to 1,2-propanediol without external H2 addition in alkaline medium using Ni-Cu catalysts supported on Y zeolite. Renew. Energy 2020, 160, 919–930. [Google Scholar] [CrossRef]
- Priya, S.S.; Bhanuchander, P.; Kumar, V.P.; Dumbre, D.K.; Periasamy, S.R.; Bhargava, S.K.; Mannepalli, L.K.; Chary, K.V.R. Platinum Supported on H-Mordenite: A Highly Efficient Catalyst for Selective Hydrogenolysis of Glycerol to 1,3-Propanediol. ACS Sustain. Chem. Eng. 2016, 4, 1212–1222. [Google Scholar] [CrossRef]
- Li, X.; Xiang, M.; Wu, D. Hydrogenolysis of glycerol over bimetallic Cu Ni catalysts supported on hierarchically porous SAPO-11 zeolite. Catal. Commun. 2019, 119, 170–175. [Google Scholar] [CrossRef]
- Li, X.; Wu, D. Synthesis of Co-doped micro-mesoporous SAPO-11 zeolite for glycerol hydrogenolysis. Korean J. Chem. Eng. 2020, 37, 216–223. [Google Scholar] [CrossRef]
- Gebretsadik, F.B.; Llorca, J.; Salagre, P.; Cesteros, Y. Hydrogenolysis of Glycidol as an Alternative Route to Obtain 1,3-Propanediol Selectively Using MOx -Modified Nickel-Copper Catalysts Supported on Acid Mesoporous Saponite. ChemCatChem 2017, 9, 3670–3680. [Google Scholar] [CrossRef]
- Li, X.; Wu, Q.; Zhang, B.; Zhang, C.; Lin, W.; Cheng, H.; Zhao, F. Efficient conversion of glycerol to 1, 2-propenadiol over ZnPd/ZnO-3Al catalyst: The significant influences of calcination temperature. Catal. Today 2018, 302, 210–216. [Google Scholar] [CrossRef]
- Lei, N.; Miao, Z.; Liu, F.; Wang, H.; Pan, X.; Wang, A.; Zhang, T. Understanding the deactivation behavior of Pt/WO3/Al2O3 catalyst in the glycerol hydrogenolysis reaction. Chin. J. Catal. 2020, 41, 1261–1267. [Google Scholar] [CrossRef]
- Liang, Y.; Shi, G.; Jin, K. Promotion Effect of Al2O3 on Pt–WOx/SiO2 Catalysts for Selective Hydrogenolysis of Bioglycerol to 1,3-Propanediol in Liquid Phase. Catal. Lett. 2020, 150, 2365–2376. [Google Scholar] [CrossRef]
- Xi, Z.; Jia, W.; Zhu, Z. WO3–ZrO2–TiO2 Composite Oxide Supported Pt as an Efficient Catalyst for Continuous Hydrogenolysis of Glycerol. Catal. Lett. 2020, 1–14. [Google Scholar] [CrossRef]
- Zhou, W.; Li, Y.; Wang, X.; Yao, D.; Wang, Y.; Huang, S.; Li, W.; Zhao, Y.; Wang, S.; Ma, X. Insight into the nature of Brönsted acidity of Pt-(WOx)n-H model catalysts in glycerol hydrogenolysis. J. Catal. 2020, 388, 154–163. [Google Scholar] [CrossRef]
- Vasiliadou, E.S.; Lemonidou, A.A. Glycerol transformation to value added C3 diols: Reaction mechanism, kinetic, and engineering aspects. Wiley Interdiscip. Rev. Energy Environ. 2014, 4, 486–520. [Google Scholar] [CrossRef]
- Chimentão, R.; Miranda, B.; Ruiz, D.; Gispert-Guirado, F.; Medina, F.; Llorca, J.; Santos, J. Catalytic performance of zinc-supported copper and nickel catalysts in the glycerol hydrogenolysis. J. Energy Chem. 2020, 42, 185–194. [Google Scholar] [CrossRef]
- Kandasamy, S.; Samudrala, S.P.; Bhattacharya, S. The route towards sustainable production of ethylene glycol from a renewable resource, biodiesel waste: A review. Catal. Sci. Technol. 2019, 9, 567–577. [Google Scholar] [CrossRef]
- Nakagawa, Y.; Tamura, M.; Tomishige, K. Perspective on catalyst development for glycerol reduction to C3 chemicals with molecular hydrogen. Res. Chem. Intermed. 2018, 44, 3879–3903. [Google Scholar] [CrossRef]
- Pandey, D.K.; Pandhare, N.N.; Biswas, P. Production of propylene glycol (propane-1,2-diol) in vapor phase over Cu–Ni/γ-Al2O3 catalyst in a down flow tubular reactor: Effect of catalyst calcination temperature and kinetic study. React. Kinet. Mech. Catal. 2019, 127, 523–542. [Google Scholar] [CrossRef]
- Raju, N.; Rekha, V.; Abhishek, B.; Kumar, P.M.; Sumana, C.; Lingaiah, N. Studies on continuous selective hydrogenolysis of glycerol over supported Cu–Co bimetallic catalysts. New J. Chem. 2020, 44, 3122–3128. [Google Scholar] [CrossRef]
- Mitta, H.; Devunuri, N.; Sunkari, J.; Mutyala, S.; Putrakumar, B.; Perupogu, V.; Jyothi, S. A highly active dispersed copper oxide phase on calcined MgAlGaO catalysts in glycerol hydrogenolysis. Catal. Today 2020. [Google Scholar] [CrossRef]
- Zhang, X.; Cui, G.; Feng, H.; Chen, L.; Wang, H.; Wang, B.; Zheng, L.; Hong, S.; Wei, M. Platinum–copper single atom alloy catalysts with high performance towards glycerol hydrogenolysis. Nat. Commun. 2019, 10, 1–12. [Google Scholar] [CrossRef] [PubMed]
- Gatti, M.N.; Cerioni, J.L.; Pompeo, F.; Santori, G.F.; Nichio, N.N. High Yield to 1-Propanol from Crude Glycerol Using Two Reaction Steps with Ni Catalysts. Catalysts 2020, 10, 615. [Google Scholar] [CrossRef]
- Nakagawa, Y.; Tamura, M.; Tomishige, K. Catalytic materials for the hydrogenolysis of glycerol to 1,3-propanediol. J. Mater. Chem. A 2014, 2, 6688–6702. [Google Scholar] [CrossRef]
- Greish, A.A.; Finashina, E.D.; Tkachenko, O.P.; Nikul’Shin, P.A.; Ershov, M.A.; Kustov, L.M. Hydrodeoxygenation of glycerol into propanols over a Ni/WO3–TiO2 catalyst. Mendeleev Commun. 2020, 30, 119–120. [Google Scholar] [CrossRef]
- Mizugaki, T.; Yamakawa, T.; Arundhathi, R.; Mitsudome, T.; Jitsukawa, K.; Kaneda, K. Selective Hydrogenolysis of Glycerol to 1,3-Propanediol Catalyzed by Pt Nanoparticles–AlOx/WO3. Chem. Lett. 2012, 41, 1720–1722. [Google Scholar] [CrossRef]
- Varghese, J.J.; Cao, L.; Robertson, C.; Yang, Y.; Gladden, L.; Lapkin, A.A.; Mushrif, S.H. Synergistic Contribution of the Acidic Metal Oxide–Metal Couple and Solvent Environment in the Selective Hydrogenolysis of Glycerol: A Combined Experimental and Computational Study Using ReOx–Ir as the Catalyst. ACS Catal. 2018, 9, 485–503. [Google Scholar] [CrossRef]
- Aihara, T.; Miura, H.; Shishido, T. Effect of perimeter interface length between 2D WO3 monolayer domain and γ-Al2O3 on selective hydrogenolysis of glycerol to 1,3-propanediol. Catal. Sci. Technol. 2019, 9, 5359–5367. [Google Scholar] [CrossRef]
- Wang, C.; Chen, C. Stabilized hydrogenolysis of glycerol to 1,3-propanediol over Mg modified Pt/WOx–ZrO2 catalysts. React. Kinet. Mech. Catal. 2019, 128, 461–477. [Google Scholar] [CrossRef]
- López, A.; Aragón, J.; Hernández-Cortez, J.; Mosqueira, M.; Martínez-Palou, R. Study of hydrotalcite-supported transition metals as catalysts for crude glycerol hydrogenolysis. Mol. Catal. 2019, 468, 9–18. [Google Scholar] [CrossRef]
- Mallesham, B.; Sudarsanam, P.; Reddy, B.V.S.; Reddy, B.M. Development of cerium promoted copper–magnesium catalysts for biomass valorization: Selective hydrogenolysis of bioglycerol. Appl. Catal. B Environ. 2016, 181, 47–57. [Google Scholar] [CrossRef]
- Kant, A.; He, Y.; Jawad, A.; Li, X.; Rezaei, F.; Smith, J.D.; Rownaghi, A.A. Hydrogenolysis of glycerol over Ni, Cu, Zn, and Zr supported on H-beta. Chem. Eng. J. 2017, 317, 1–8. [Google Scholar] [CrossRef]
- Shozi, M.L.; Dasireddy, V.D.; Singh, S.; Mohlala, P.; Morgan, D.J.; Friedrich, H.B. Hydrogenolysis of Glycerol to Monoalcohols over Supported Mo and W Catalysts. ACS Sustain. Chem. Eng. 2016, 4, 5752–5760. [Google Scholar] [CrossRef]
- Nanda, M.R.; Yuan, Z.; Shui, H.; Shui, H. Selective Hydrogenolysis of Glycerol and Crude Glycerol (a By-Product or Waste Stream from the Biodiesel Industry) to 1,2-Propanediol over B2O3 Promoted Cu/Al2O3 Catalysts. Catalysts 2017, 7, 196. [Google Scholar] [CrossRef]
- Zhang, G.; Jin, X.; Zhang, Q.; Cheng, Y.; Chen, X.; Liu, Y.; Feng, X.; Yang, C. PtRu/Zn3Ce1Ox catalysts with Lewis acid–base pairs show synergistic performances for the conversion of glycerol in the absence of externally added H2. Catal. Sci. Technol. 2020, 10, 4386–4395. [Google Scholar] [CrossRef]
- Cai, F.; Jin, F.; Hao, J.; Xiao, G. Selective hydrogenolysis of glycerol to 1,2-propanediol on Nb-modified Pd–Zr–Al catalysts. Catal. Commun. 2019, 131, 105801. [Google Scholar] [CrossRef]
- Singh, B.; Kim, Y.; Kwon, S.; Na, K. Selective Catalytic Transfer Hydrogenolysis of Glycerol to 2-Isopropoxy-Propan-1-Ol over Noble Metal Ion-Exchanged Mordenite Zeolite. Catalysts 2019, 9, 885. [Google Scholar] [CrossRef]
- Xi, Z.; Hong, Z.; Huang, F.; Zhu, Z.; Jia, W.; Li, J. Hydrogenolysis of Glycerol on the ZrO2-TiO2 Supported Pt-WOx Catalyst. Catalysts 2020, 10, 312. [Google Scholar] [CrossRef]
- Cheng, S.; Zeng, Y.; Pei, Y.; Fan, K.; Qiao, M.; Zong, B. Synthesis and Catalysis of Pt/W-s-SBA-15 Catalysts with Short Channel for Glycerol Hydrogenolysis to 1,3-Propanediol. Acta Chim. Sin. 2019, 77, 1054–1062. [Google Scholar] [CrossRef]
- Lei, N.; Zhao, X.; Hou, B.; Yang, M.; Zhou, M.; Liu, F.; Wang, A.; Zhang, T. Effective Hydrogenolysis of Glycerol to 1,3-Propanediol over Metal-Acid Concerted Pt/WOx/Al2O3 Catalysts. ChemCatChem 2019, 11, 3903–3912. [Google Scholar] [CrossRef]
- Feng, S.; Zhao, B.; Liang, Y.; Liu, L.; Dong, J. Improving Selectivity to 1,3-Propanediol for Glycerol Hydrogenolysis Using W- and Al-Incorporated SBA-15 as Support for Pt Nanoparticles. Ind. Eng. Chem. Res. 2019, 58, 2661–2671. [Google Scholar] [CrossRef]
- Zhou, W.; Luo, J.; Wang, Y.; Liu, J.; Zhao, Y.; Wang, S.; Ma, X. WOx domain size, acid properties and mechanistic aspects of glycerol hydrogenolysis over Pt/WOx/ZrO2. Appl. Catal. B Environ. 2019, 242, 410–421. [Google Scholar] [CrossRef]
- Liu, L.; Asano, T.; Nakagawa, Y.; Tamura, M.; Okumura, K.; Tomishige, K. Selective Hydrogenolysis of Glycerol to 1,3-Propanediol over Rhenium-Oxide-Modified Iridium Nanoparticles Coating Rutile Titania Support. ACS Catal. 2019, 9, 10913–10930. [Google Scholar] [CrossRef]
- Modvig, A.; Kumpidet, C.; Riisager, A.; Albert, J. Ru-Doped Wells-Dawson Polyoxometalate as Efficient Catalyst for Glycerol Hydrogenolysis to Propanediols. Materials 2019, 12, 2175. [Google Scholar] [CrossRef] [PubMed]
- Chaminand, J.; Djakovitch, L.; Gallezot, P.; Marion, P.; Pinel, C. Glycerol hydrogenolysis on heterogeneous catalysts. Green Chem. 2004, 6, 359–361. [Google Scholar] [CrossRef]
- Fan, Y.; Cheng, S.; Wang, H.; Ye, D.; Xie, S.; Pei, Y.; Hu, H.; Hua, W.; Li, Z.H.; Qiao, M.-H.; et al. Nanoparticulate Pt on mesoporous SBA-15 doped with extremely low amount of W as a highly selective catalyst for glycerol hydrogenolysis to 1,3-propanediol. Green Chem. 2017, 19, 2174–2183. [Google Scholar] [CrossRef]
- Zhou, W.; Guan, Y.; Zhou, Q.; Xie, H.; Yu, X.; Xia, T. Preparation Method of Platinum-Tungsten-Zirconia Catalyst and Its Application in Hydrogenation of Glycerol to Produce 1,3-Propanediol. China Patent CN111389397A, 19 February 2020. [Google Scholar]
- Zhang, C.; Wu, Y.; Zheng, R.; Jin, C.; Sun, X.; Hou, C.; Xia, G.; Li, M. Glycerol Hydrogenolysis Catalyst, Its Preparation Method and Application, and Glycerol Hydrogenolysis Method with It to Produce 1,3-Propanediol. China Patent CN111036208A, 21 April 2020. [Google Scholar]
- Wolski, L. Factors affecting the activity and selectivity of niobia-based gold catalysts in liquid phase glycerol oxidation. Catal. Today 2020, 354, 36–43. [Google Scholar] [CrossRef]
- Wu, S.T.; She, Q.M.; Tesser, R.; Di Serio, M.; Zhou, C.H. Catalytic glycerol dehydration-oxidation to acrylic acid. Catal. Rev. 2020, 1–43. [Google Scholar] [CrossRef]
- Babaei, Z.; Chermahini, A.N.; Dinari, M. Glycerol adsorption and mechanism of dehydration to acrolein over TiO2 surface: A density functional theory study. J. Colloid Interface Sci. 2020, 563, 1–7. [Google Scholar] [CrossRef]
- Lewicka, L.; Kalisz, D.; Migdal, A.; Plesnar, M.; Kedziora, A.; Dabrowski, Z. Process for Producing Acrylic Acid via Oxidation of Acrolein. Poland Patent PL227246B1, 2017. [Google Scholar]
- Dubois, J.-L.; Patience, G. Process for Preparation of Acrylic Acid from Aqueous Glycerol Solution. Patent Number WO2008087315A2, 24 July 2008. [Google Scholar]
- Xu, W.; Yang, B.; Wang, W.; Yao, Q. Method for Synthesizing Acrylic Acid from Glycerol. China Patent CN109305908A, 2019. [Google Scholar]
- Belliere-Baca, V.; Loridant, S.; Millet, J.-M.; Lauriol-Garbey, P. Method for Preparing Acrolein from Glycerol or Glycerine. Patent Number WO2010076510A2, 8 July 2010. [Google Scholar]
- Liu, R.; Wang, T.; Wei, F.; Jin, Y. Highly Efficient Production of Acrylic Acid by Sequential Dehydration and Oxidation of Glycerol. Ind. Eng. Chem. Res. 2014, 53, 8667–8674. [Google Scholar] [CrossRef]
- Prati, L.; Rossi, M. Gold on Carbon as a New Catalyst for Selective Liquid Phase Oxidation of Diols. J. Catal. 1998, 176, 552–560. [Google Scholar] [CrossRef]
- Mallat, T.; Baiker, A. Oxidation of Alcohols with Molecular Oxygen on Solid Catalysts. Chem. Rev. 2004, 104, 3037–3058. [Google Scholar] [CrossRef]
- Somorjai, G.A.; Zhou, B. Nanotechnology in Catalysis. In Nanostructure Science and Technology; Zhou, B., Han, S., Raja, R., Somorjai, G.A., Eds.; Springer: New York, NY, USA, 2007; Volume 3, ISBN 978-0-387-34687-8. [Google Scholar]
- Kimura, H.; Tsuto, K.; Wakisaka, T.; Kazumi, Y.; Inaya, Y. Selective oxidation of glycerol on a platinum-bismuth catalyst. Appl. Catal. A Gen. 1993, 96, 217–228. [Google Scholar] [CrossRef]
- Prati, L.; Spontoni, P.; Gaiassi, A. From Renewable to Fine Chemicals Through Selective Oxidation: The Case of Glycerol. Top. Catal. 2009, 52, 288–296. [Google Scholar] [CrossRef]
- Ribeiro, L.S.; Rodrigues, E.G.; Delgado, J.J.; Chen, X.; Pereira, M.F.R.; Órfão, J.J.M. Pd, Pt, and Pt–Cu Catalysts Supported on Carbon Nanotube (CNT) for the Selective Oxidation of Glycerol in Alkaline and Base-Free Conditions. Ind. Eng. Chem. Res. 2016, 55, 8548–8556. [Google Scholar] [CrossRef]
- Evans, C.D.; Douthwaite, M.; Carter, J.H.; Pattisson, S.; Kondrat, S.A.; Bethell, D.; Knight, D.W.; Taylor, S.H.; Hutchings, G.J. Enhancing the understanding of the glycerol to lactic acid reaction mechanism over AuPt/TiO2 under alkaline conditions. J. Chem. Phys. 2020, 152, 134705. [Google Scholar] [CrossRef] [PubMed]
- Purushothaman, R.K.P.; Van Haveren, J.; Van Es, D.; Melián-Cabrera, I.; Meeldijk, J.; Heeres, H.J. An efficient one pot conversion of glycerol to lactic acid using bimetallic gold-platinum catalysts on a nanocrystalline CeO2 support. Appl. Catal. B Environ. 2014, 147, 92–100. [Google Scholar] [CrossRef]
- He, Z.; Ning, X.; Yang, G.; Wang, H.; Cao, Y.; Peng, F.; Yu, H. Selective oxidation of glycerol over supported noble metal catalysts. Catal. Today 2020. [Google Scholar] [CrossRef]
- Zhang, X.; Yang, P.; Liu, Y.; Pan, J.; Li, D.; Wang, B.; Feng, J. Support morphology effect on the selective oxidation of glycerol over AuPt/CeO2 catalysts. J. Catal. 2020, 385, 146–159. [Google Scholar] [CrossRef]
- Palacio, R.; Álvaro, A.; Blach, D.; Torres, S.; Hernández, D.; López, D.; Martinez, F. Influence of the Acid Properties of the Support on Au-Based Catalysts for Glycerol Oxidation in Aqueous Medium. ChemistrySelect 2020, 5, 7789–7796. [Google Scholar] [CrossRef]
- Tao, M.; Li, Y.; Li, Y.; Zhang, X.; Geletii, Y.V.; Wang, X.; Hill, C.L. Heterogenization of polyoxometalates as solid catalysts in aerobic oxidation of glycerol. Catal. Sci. Technol. 2020, 10, 3771–3781. [Google Scholar] [CrossRef]
- Choi, Y.-B.; Nunotani, N.; Imanaka, N. Glyceraldehyde production from glycerol over Pt/CeO2-ZrO2-Fe2O3/SBA-16 catalysts around room temperature in open air system. Mater. Lett. 2020, 278, 128392. [Google Scholar] [CrossRef]
- Meng, Y.; Wang, H.; Dai, Y.; Zheng, J.; Yu, H.; Zhou, C.; Yang, Y. Modulating the electronic property of Pt nanocatalyst on rGO by iron oxides for aerobic oxidation of glycerol. Catal. Commun. 2020, 144, 106073. [Google Scholar] [CrossRef]
- Pakrieva, E.; Kolobova, E.; German, D.; Stucchi, M.; Villa, A.; Prati, L.; Carabineiro, S.; Bogdanchikova, N.; Corberán, V.C.; Pestryakov, A. Glycerol Oxidation over Supported Gold Catalysts: The Combined Effect of Au Particle Size and Basicity of Support. Processes 2020, 8, 1016. [Google Scholar] [CrossRef]
- Liu, M.; Yan, W.; Wu, J.; Wang, S.; Xia, Q.; Fang, T.; Jin, X. Electronically Coupled PtCo/MgAl Hydrotalcite Catalysts Display Tunable Selectivity Toward Glyceric Acid and Lactic Acid for Glycerol Conversion. Catal. Lett. 2020, 150, 2590–2598. [Google Scholar] [CrossRef]
- Sever, B.; Yildiz, M. Conversion of glycerol to lactic acid over Au/bentonite catalysts in alkaline solution. React. Kinet. Mech. Catal. 2020, 130, 863–874. [Google Scholar] [CrossRef]
- Detoni, C.; Da Silva, A.R.P.; Souza, M.M.V.M. Effect of Pt/HZSM-5 dealumination by high temperature reduction on glycerol oxidation. J. Porous Mater. 2020, 27, 707–717. [Google Scholar] [CrossRef]
- Mitran, G.; Neațu, F.; Neațu, S.; Trandafir, M.M.; Florea, M. VAlPOs as Efficient Catalysts for Glycerol Conversion to Methanol. Catalysts 2020, 10, 728. [Google Scholar] [CrossRef]
- Yan, H.; Yao, S.; Yin, B.; Liang, W.; Jin, X.; Feng, X.; Liu, Y.; Chen, X.; Yang, C. Synergistic effects of bimetallic PtRu/MCM-41 nanocatalysts for glycerol oxidation in base-free medium: Structure and electronic coupling dependent activity. Appl. Catal. B Environ. 2019, 259, 118070. [Google Scholar] [CrossRef]
- Cherni, D.; Moussa, N.; Nsib, M.F.; Evangelisti, C.; Prati, L.; Villa, A. Base-free glycerol oxidation over N-TiO2 supported Au–Pt catalysts. React. Kinet. Mech. Catal. 2019, 128, 979–990. [Google Scholar] [CrossRef]
- Oliveira, H.S.; Oliveira, L.C.A.; Chagas, P.; Sangiorge, D.L.; Figueiredo, M.P.; Siqueira, K.P.F.; Hensen, E.J.; Portilho, M.F. A bifunctional catalyst based on Nb and V oxides over alumina: Oxidative cleavage of crude glycerol to green formic acid. New J. Chem. 2020, 44, 8538–8544. [Google Scholar] [CrossRef]
- Douthwaite, M.; Powell, N.; Taylor, A.; Ford, G.; López, J.M.; Solsona, B.; Yang, N.; Sanahuja-Parejo, O.; He, Q.; Morgan, D.J.; et al. Glycerol Selective Oxidation to Lactic Acid over AuPt Nanoparticles; Enhancing Reaction Selectivity and Understanding by Support Modification. ChemCatChem 2020, 12, 3097–3107. [Google Scholar] [CrossRef]
- Coutanceau, C.; Baranton, S.; Kouamé, R.S.B. Selective Electrooxidation of Glycerol Into Value-Added Chemicals: A Short Overview. Front. Chem. 2019, 7, 100. [Google Scholar] [CrossRef] [PubMed]
- Klaas, L.; Modibedi, M.; Mathe, M.; Su, H.; Khotseng, L. Electrochemical Studies of Pd-Based Anode Catalysts in Alkaline Medium for Direct Glycerol Fuel Cells. Catalysts 2020, 10, 968. [Google Scholar] [CrossRef]
- Falase, A.; Garcia, K.; Lau, C.; Atanassov, P. Electrochemical and in situ IR characterization of PtRu catalysts for complete oxidation of ethylene glycol and glycerol. Electrochem. Commun. 2011, 13, 1488–1491. [Google Scholar] [CrossRef]
- Kim, Y.; Kim, H.W.; Lee, S.; Han, J.; Lee, D.; Kim, J.-R.; Kim, T.-W.; Kim, C.-U.; Jeong, S.-Y.; Chae, H.-J.; et al. The Role of Ruthenium on Carbon-Supported PtRu Catalysts for Electrocatalytic Glycerol Oxidation under Acidic Conditions. ChemCatChem 2017, 9, 1683–1690. [Google Scholar] [CrossRef]
- Alaba, P.A.; Lee, C.S.; Abnisa, F.; Aroua, M.K.; Cognet, P.; Pérès, Y.; Daud, W.M.A.W. A review of recent progress on electrocatalysts toward efficient glycerol electrooxidation. Rev. Chem. Eng. 2020. [Google Scholar] [CrossRef]
- Ji, Y. Recent Development of Heterogeneous Catalysis in the Transesterification of Glycerol to Glycerol Carbonate. Catalysts 2019, 9, 581. [Google Scholar] [CrossRef]
- Leão, R.A.C.; De Souza, R.O.M.A.; Nogueira, D.O.; Silva, G.M.A.; Silva, M.V.M.; Gutarra, M.L.E.; Miranda, L.S.M.; De Castro, A.M.; Itabaiana, I.; De Souza, R.O.M.A. Consecutive lipase immobilization and glycerol carbonate production under continuous-flow conditions. Catal. Sci. Technol. 2016, 6, 4743–4748. [Google Scholar] [CrossRef]
- Varma, R.S.; Len, C. Glycerol valorization under continuous flow conditions-recent advances. Curr. Opin. Green Sustain. Chem. 2019, 15, 83–90. [Google Scholar] [CrossRef]
- Corporation, H. JEFFSOL Alkylene Carbonates; JEFFSOL: The Woodlands, TX, USA, 2001. [Google Scholar]
- Saeidabad, N.G.; Noh, Y.S.; Eslami, A.A.; Song, H.T.; Kim, H.D.; Fazeli, A.; Moon, D.J. A Review on Catalysts Development for Steam Reforming of Biodiesel Derived Glycerol; Promoters and Supports. Catalysts 2020, 10, 910. [Google Scholar] [CrossRef]
- Bartoli, M.; Zhu, C.; Chae, M.; Bressler, D.C. Value-Added Products from Urea Glycerolysis Using a Heterogeneous Biosolids-Based Catalyst. Catalysts 2018, 8, 373. [Google Scholar] [CrossRef]
- Manikandan, M.; Sangeetha, P. Optimizing the Surface Properties of MgO Nanoparticles Towards the Transesterification of Glycerol to Glycerol Carbonate. ChemistrySelect 2019, 4, 6672–6678. [Google Scholar] [CrossRef]
- De Caro, P.; Bandres, M.; Urrutigoïty, M.; Cecutti, C.; Thiebaud-Roux, S. Recent Progress in Synthesis of Glycerol Carbonate and Evaluation of Its Plasticizing Properties. Front. Chem. 2019, 7, 308. [Google Scholar] [CrossRef]
- Das, B.; Mohanty, K. A green and facile production of catalysts from waste red mud for the one-pot synthesis of glycerol carbonate from glycerol. J. Environ. Chem. Eng. 2019, 7, 102888. [Google Scholar] [CrossRef]
- Wang, S.; Wang, J.; Okoye, P.U.; Chen, S.; Li, X.; Duan, L.; Zhou, H.; Li, S.; Tang, T.; Zhang, L.; et al. Application of corncob residue-derived catalyst in the transesterification of glycerol with dimethyl carbonate to synthesize glycerol carbonate. BioResources 2019, 15, 142–158. [Google Scholar] [CrossRef]
- Chotchuang, A.; Kunsuk, P.; Phanpitakkul, A.; Chanklang, S.; Chareonpanich, M.; Seubsai, A. Production of glycerol carbonate from glycerol over modified sodium-aluminate-doped calcium oxide catalysts. Catal. Today 2020. [Google Scholar] [CrossRef]
- Rittiron, P.; Niamnuy, C.; Donphai, W.; Chareonpanich, M.; Seubsai, A. Production of Glycerol Carbonate from Glycerol over Templated-Sodium-Aluminate Catalysts Prepared Using a Spray-Drying Method. ACS Omega 2019, 4, 9001–9009. [Google Scholar] [CrossRef] [PubMed]
- Phadtare, D.; Kondawar, S.; Athawale, A.; Rode, C.V. Crystalline LaCoO3 perovskite as a novel catalyst for glycerol transesterification. Mol. Catal. 2019, 475, 110496. [Google Scholar] [CrossRef]
- Chaves, D.M.; Da Silva, M.J. A selective synthesis of glycerol carbonate from glycerol and urea over Sn(OH)2: A solid and recyclable in situ generated catalyst. New J. Chem. 2019, 43, 3698–3706. [Google Scholar] [CrossRef]
- Arora, S.; Gosu, V.; Kumar, U.K.A.; Subbaramaiah, V. A Facile Approach to Develop Rice Husk Derived Green Catalyst for One-pot Synthesis of Glycerol Carbonate from Glycerol. Int. J. Chem. React. Eng. 2020, 18, 20190078. [Google Scholar] [CrossRef]
- Mallesham, B.; Rangaswamy, A.; Rao, B.G.; Rao, T.V.; Reddy, B.M. Solvent-Free Production of Glycerol Carbonate from Bioglycerol with Urea Over Nanostructured Promoted SnO2 Catalysts. Catal. Lett. 2020, 1–16. [Google Scholar] [CrossRef]
- Liu, J.; Li, Y.; Zhang, J.; He, D. Glycerol carbonylation with CO2 to glycerol carbonate over CeO2 catalyst and the influence of CeO2 preparation methods and reaction parameters. Appl. Catal. A Gen. 2016, 513, 9–18. [Google Scholar] [CrossRef]
- Liu, J.; Li, Y.; Liu, H.; He, D. Photo-thermal synergistically catalytic conversion of glycerol and carbon dioxide to glycerol carbonate over Au/ZnWO4-ZnO catalysts. Appl. Catal. B Environ. 2019, 244, 836–843. [Google Scholar] [CrossRef]
- García, H.; García, J.I.; Fraile, J.M.; Mayoral, J.A. Solketal: Green and catalytic synthesis and its classification as a solvent: 2,2-dimethyl-4-hidroxymethyl-1,3-dioxolane, an interesting green solvent produced through heterogeneous catalysis. Chim. Oggi Chem. Today 2008, 26, 10–12. [Google Scholar]
- Li, L.; Korányi, T.I.; Sels, B.F.; Pescarmona, P.P. Highly-efficient conversion of glycerol to solketal over heterogeneous Lewis acid catalysts. Green Chem. 2012, 14, 1611–1619. [Google Scholar] [CrossRef]
- Nanda, M.R.; Zhang, Y.; Yuan, Z.; Qin, W.; Ghaziaskar, H.S.; Xu, C. Catalytic conversion of glycerol for sustainable production of solketal as a fuel additive: A review. Renew. Sustain. Energy Rev. 2016, 56, 1022–1031. [Google Scholar] [CrossRef]
- Talebian-Kiakalaieh, A.; Amin, N.A.S.; Najaafi, N.; Tarighi, S. A Review on the Catalytic Acetalization of Bio-renewable Glycerol to Fuel Additives. Front. Chem. 2018, 6, 573. [Google Scholar] [CrossRef]
- Fatimah, I.; Sahroni, I.; Fadillaha, G.; Musawwa, M.M.; Mahlia, T.M.I.; Muraza, O. Glycerol to Solketal for Fuel Additive: Recent Progress in Heterogeneous Catalysts. Energies 2019, 12, 2872. [Google Scholar] [CrossRef]
- Deutsch, J.; Martin, A.; Lieske, H. Investigations on heterogeneously catalysed condensations of glycerol to cyclic acetals. J. Catal. 2007, 245, 428–435. [Google Scholar] [CrossRef]
- Nanda, M.R.; Yuan, Z.; Qin, W.; Ghaziaskar, H.S.; Poirier, M.-A.; Xu, C. A new continuous-flow process for catalytic conversion of glycerol to oxygenated fuel additive: Catalyst screening. Appl. Energy 2014, 123, 75–81. [Google Scholar] [CrossRef]
- Chen, L.; Nohair, B.; Zhao, D.; Kaliaguine, S. Glycerol acetalization with formaldehyde using heteropolyacid salts supported on mesostructured silica. Appl. Catal. A Gen. 2018, 549, 207–215. [Google Scholar] [CrossRef]
- Fernández, P.; Fraile, J.M.; Garcia-Bordeje, E.; Pires, E.; Bordejé, G. Sulfonated Hydrothermal Carbons from Cellulose and Glucose as Catalysts for Glycerol Ketalization. Catalysts 2019, 9, 804. [Google Scholar] [CrossRef]
- Kowalska-Kus, J.; Held, A.; Frankowski, M.; Nowinska, K. Solketal formation from glycerol and acetone over hierarchical zeolites of different structure as catalysts. J. Mol. Catal. A Chem. 2017, 426, 205–212. [Google Scholar] [CrossRef]
- Da Silva, M.J.; Teixeira, M.G.; Chaves, D.M.; Siqueira, L. An efficient process to synthesize solketal from glycerol over tin (II) silicotungstate catalyst. Fuel 2020, 281, 118724. [Google Scholar] [CrossRef]
- Shimura, K.; Yoshida, H. Heterogeneous photocatalytic hydrogen production from water and biomass derivatives. Energy Environ. Sci. 2011, 4, 2467–2481. [Google Scholar] [CrossRef]
- Clarizia, L.; Spasiano, D.; Di Somma, I.; Marotta, R.; Andreozzi, R.; Dionysiou, D.D. Copper modified-TiO2 catalysts for hydrogen generation through photoreforming of organics. A short review. Int. J. Hydrogen Energy 2014, 39, 16812–16831. [Google Scholar] [CrossRef]
- López-Tenllado, F.; Hidalgo-Carrillo, J.; Montes, V.; Marinas, A.; Urbano, F.; Marinas, J.; Ilieva, L.; Tabakova, T.; Reid, F. A comparative study of hydrogen photocatalytic production from glycerol and propan-2-ol on M/TiO2 systems (M=Au, Pt, Pd). Catal. Today 2017, 280, 58–64. [Google Scholar] [CrossRef]
- Deas, R.; Pearce, S.; Goss, K.; Wang, Q.; Chen, W.-T.; Waterhouse, G.I.N. Hierarchical Au/TiO2 nanoflower photocatalysts with outstanding performance for alcohol photoreforming under UV irradiation. Appl. Catal. A Gen. 2020, 602, 117706. [Google Scholar] [CrossRef]
- Stelmachowski, M.; Marchwicka, M.; Grabowska-Musiał, E.; Diak, M.; Zaleska, A. The Photocatalytic Conversion of (Biodiesel Derived) Glycerol to Hydrogen - A Short Review and Preliminary Experimental Results Part 2: Photocatalytic Conversion of Glycerol to Hydrogen in Batch and Semi-batch Laboratory Reactors. J. Adv. Oxid. Technol. 2014, 17, 179–186. [Google Scholar] [CrossRef]
- You, B.; Han, G.; Sun, Y. Electrocatalytic and photocatalytic hydrogen evolution integrated with organic oxidation. Chem. Commun. 2018, 54, 5943–5955. [Google Scholar] [CrossRef]
- Kawai, T.; Sakata, T.; Kawai, T.S.T. Hydrogen evolution from water using solid carbon and light energy. Nat. Cell Biol. 1979, 282, 283–284. [Google Scholar] [CrossRef]
- Ma, D.; Zhai, S.; Wang, Y.; Liu, A.; Chen, C. TiO2 Photocatalysis for Transfer Hydrogenation. Molecules 2019, 24, 330. [Google Scholar] [CrossRef]
- Al-Azri, Z.H.; Chen, W.-T.; Chan, A.; Jovic, V.; Ina, T.; Idriss, H.; Waterhouse, G.I. The roles of metal co-catalysts and reaction media in photocatalytic hydrogen production: Performance evaluation of M/TiO2 photocatalysts (M = Pd, Pt, Au) in different alcohol–water mixtures. J. Catal. 2015, 329, 355–367. [Google Scholar] [CrossRef]
- Slamet, R.; Gunlazuardi, J.; Dewi, E.L. Enhanced photocatalytic activity of Pt deposited on titania nanotube arrays for the hydrogen production with glycerol as a sacrificial agent. Int. J. Hydrogen Energy 2017, 42, 24014–24025. [Google Scholar] [CrossRef]
- Chen, W.-T.; Dosado, A.G.; Chan, A.; Sun-Waterhouse, D.; Waterhouse, G.I. Highly reactive anatase nanorod photocatalysts synthesized by calcination of hydrogen titanate nanotubes: Effect of calcination conditions on photocatalytic performance for aqueous dye degradation and H2 production in alcohol-water mixtures. Appl. Catal. A Gen. 2018, 565, 98–118. [Google Scholar] [CrossRef]
- O’Rourke, C.; Wells, N.; Mills, A. Photodeposition of metals from inks and their application in photocatalysis. Catal. Today 2019, 335, 91–100. [Google Scholar] [CrossRef]
- Sadanandam, G.; Lalitha, K.; Kumari, V.D.; Shankar, M.V.; Subrahmanyam, M. Cobalt doped TiO2: A stable and efficient photocatalyst for continuous hydrogen production from glycerol: Water mixtures under solar light irradiation. Int. J. Hydrogen Energy 2013, 38, 9655–9664. [Google Scholar] [CrossRef]
- Hidalgo-Carrillo, J.; Martín-Gómez, J.; Morales, J.; Espejo, J.C.; Urbano, F.J.; Marinas, A. Hydrogen Photo-Production from Glycerol Using Nickel-Doped TiO2 Catalysts: Effect of Catalyst Pre-Treatment. Energies 2019, 12, 3351. [Google Scholar] [CrossRef]
- Lalitha, K.; Sadanandam, G.; Kumari, V.D.; Subrahmanyam, M.; Sreedhar, B.; Hebalkar, N.Y. Highly Stabilized and Finely Dispersed Cu2O/TiO2: A Promising Visible Sensitive Photocatalyst for Continuous Production of Hydrogen from Glycerol: Water Mixtures. J. Phys. Chem. C 2010, 114, 22181–22189. [Google Scholar] [CrossRef]
- Kumar, D.P.; Reddy, N.L.; Kumari, M.M.; Srinivas, B.; Kumari, V.D.; Sreedhar, B.; Roddatis, V.V.; Bondarchuk, O.; Karthik, M.; Neppolian, B.; et al. Cu2O-sensitized TiO2 nanorods with nanocavities for highly efficient photocatalytic hydrogen production under solar irradiation. Sol. Energy Mater. Sol. Cells 2015, 136, 157–166. [Google Scholar] [CrossRef]
- Chen, W.-T.; Chan, A.; Sun-Waterhouse, D.; Llorca, J.; Idriss, H.; Waterhouse, G.I. Performance comparison of Ni/TiO2 and Au/TiO2 photocatalysts for H2 production in different alcohol-water mixtures. J. Catal. 2018, 367, 27–42. [Google Scholar] [CrossRef]
- Wang, Q.; Zhang, D.; Chen, Y.; Fu, W.-F.; Lv, X.-J. Single-Atom Catalysts for Photocatalytic Reactions. ACS Sustain. Chem. Eng. 2019, 7, 6430–6443. [Google Scholar] [CrossRef]
- Pan, H.; Steiniger, A.; Heagy, M.D.; Chowdhury, S. Efficient production of formic acid by simultaneous photoreduction of bicarbonate and oxidation of glycerol on gold-TiO2 composite under solar light. J. CO2 Util. 2017, 22, 117–123. [Google Scholar] [CrossRef]
- Charisiou, N.D.; Siakavelas, G.I.; Papageridis, K.; Motta, D.; Dimitratos, N.; Jaoude, M.A.; Polychronopoulou, K.; Goula, M.A. The Effect of Noble Metal (M: Ir, Pt, Pd) on M/Ce2O3-γ-Al2O3 Catalysts for Hydrogen Production via the Steam Reforming of Glycerol. Catalysts 2020, 10, 790. [Google Scholar] [CrossRef]
- Bac, S.; Keskin, S.; Avci, A.K. Recent advances in sustainable syngas production by catalytic CO2 reforming of ethanol and glycerol. Sustain. Energy Fuels 2020, 4, 1029–1047. [Google Scholar] [CrossRef]
- Vaidya, P.D.; Lopez-Sanchez, J.A. Review of Hydrogen Production by Catalytic Aqueous-Phase Reforming. ChemistrySelect 2017, 2, 6563–6576. [Google Scholar] [CrossRef]
- Jin, W.; Pastor-Pérez, L.; Shen, D.; Sepulveda-Escribano, A.; Gu, S.; Reina, T.R. Catalytic Upgrading of Biomass Model Compounds: Novel Approaches and Lessons Learnt from Traditional Hydrodeoxygenation—A Review. ChemCatChem 2019, 11, 924–960. [Google Scholar] [CrossRef]
- Jin, X.; Yin, B.; Xia, Q.; Fang, T.; Shen, J.; Kuang, L.; Yang, C. Catalytic Transfer Hydrogenation of Biomass-Derived Substrates to Value-Added Chemicals on Dual-Function Catalysts: Opportunities and Challenges. ChemSusChem 2018, 12, 71–92. [Google Scholar] [CrossRef]
- Toledano, A.; Serrano, L.; Labidi, J.; Pineda, A.; Balu, A.M.; Luque, R. Heterogeneously Catalysed Mild Hydrogenolytic Depolymerisation of Lignin Under Microwave Irradiation with Hydrogen-Donating Solvents. ChemCatChem 2012, 5, 977–985. [Google Scholar] [CrossRef]
- Crotti, C.; Farnetti, E.; Licen, S.; Barbieri, P.; Pitacco, G. Iridium-catalyzed N-alkylation of diamines with glycerol. J. Mol. Catal. A Chem. 2014, 382, 64–70. [Google Scholar] [CrossRef]
- Cui, S.; Borgemenke, J.; Liu, Z.; Keener, H.M.; Li, Y. Innovative sustainable conversion from CO2 and biodiesel-based crude glycerol waste to bio-based polycarbonates. J. CO2 Util. 2019, 34, 198–206. [Google Scholar] [CrossRef]
- Estevez, R.; Aguado-Deblas, L.; Montes, V.; Caballero, A.; Bautista, F. Sulfonated carbons from olive stones as catalysts in the microwave-assisted etherification of glycerol with tert-butyl alcohol. Mol. Catal. 2020, 488, 110921. [Google Scholar] [CrossRef]
- Calmanti, R.; Amadio, E.; Perosa, A.; Selva, M. Reaction of Glycerol with Trimethyl Orthoformate: Towards the Synthesis of New Glycerol Derivatives. Catalysts 2019, 9, 534. [Google Scholar] [CrossRef]
- Zhang, Y.; Ma, T.; Zhao, J. Study on the conversion of glycerol to nitriles over a Fe19.2K0.2/γ-Al2O3 catalyst. J. Catal. 2014, 313, 92–103. [Google Scholar] [CrossRef]
- Du, F.; Jin, X.; Yan, W.; Zhao, M.; Thapa, P.S.; Chaudhari, R.V. Catalytic H2 auto transfer amination of polyols to alkyl amines in one pot using supported Ru catalysts. Catal. Today 2018, 302, 227–232. [Google Scholar] [CrossRef]
- Pandya, R.; Mane, R.B.; Rode, C.V. Cascade dehydrative amination of glycerol to oxazoline. Catal. Sci. Technol. 2018, 8, 2954–2965. [Google Scholar] [CrossRef]
- Wormann, M.; Maier, M.E. Synthesis of allyl alcohol as a method to valorise glycerol from the biodiesel production. RSC Adv. 2019, 9, 15314–15317. [Google Scholar] [CrossRef]
- L’Hostis, C.; Fredon, E.; Thévenon, M.-F.; Santiago-Medina, F.-J.; Gérardin, P. Beech wood treated with polyglycerol succinate: A new effective method for its protection and stabilization. Holzforschung 2020, 74, 351–361. [Google Scholar] [CrossRef]
- Zamboulis, A.; Nakiou, E.A.; Christodoulou, E.; Bikiaris, D.N.; Kontonasaki, E.; Liverani, L.; Boccaccini, A.R. Polyglycerol Hyperbranched Polyesters: Synthesis, Properties and Pharmaceutical and Biomedical Applications. Int. J. Mol. Sci. 2019, 20, 6210. [Google Scholar] [CrossRef] [PubMed]
- Barros, F.J.S.; Cecilia, J.A.; Moreno-Tost, R.; De Oliveira, M.F.; Soto, J.; Luna, F.M.T.; Vieira, R.S. Glycerol Oligomerization Using Low Cost Dolomite Catalyst. Waste Biomass Valoriz. 2018, 11, 1499–1512. [Google Scholar] [CrossRef]
- Sotto, N.; Cazorla, C.; Villette, C.; Billamboz, M.; Len, C. Toward the Sustainable Synthesis of Biosourced Divinylglycol from Glycerol. ACS Sustain. Chem. Eng. 2016, 4, 6996–7003. [Google Scholar] [CrossRef]
- Yu, H.; Xue, Z.; Lan, X.; Liu, Q.; Shi, R.; Mu, T. Highly efficient dissolution of xylan in ionic liquid-based deep eutectic solvents. Cellulose 2020, 27, 6175–6188. [Google Scholar] [CrossRef]
- Saputra, R.; Walvekar, R.; Khalid, M.; Mubarak, N.M. Synthesis and thermophysical properties of ethylammonium chloride-glycerol-ZnCl2 ternary deep eutectic solvent. J. Mol. Liq. 2020, 310, 113232. [Google Scholar] [CrossRef]
- Hoang, T.Q.; Zhu, X.; Danuthai, T.; Lobban, L.L.; Resasco, D.E.; Mallinson, R.G. Conversion of Glycerol to Alkyl-aromatics over Zeolites. Energy Fuels 2010, 24, 3804–3809. [Google Scholar] [CrossRef]
- Xu, W.; Gao, L.; Xiao, G. Effects of Additives and Metals on Crystallization of Nano-Sized HZSM-5 Zeolite for Glycerol Aromatization. Catalysts 2019, 9, 899. [Google Scholar] [CrossRef]
- Zhang, J.; Wang, L.; Ji, Y.; Chen, F.; Xiao, F.-S. Mesoporous zeolites for biofuel upgrading and glycerol conversion. Front. Chem. Sci. Eng. 2017, 12, 132–144. [Google Scholar] [CrossRef]
- Possato, L.G.; Diniz, R.N.; Garetto, T.; Pulcinelli, S.H.; Santilli, C.V.; Martins, L. A comparative study of glycerol dehydration catalyzed by micro/mesoporous MFI zeolites. J. Catal. 2013, 300, 102–112. [Google Scholar] [CrossRef]
- Kumar, D.; Anand, N.; Pant, K.K. Glycerol conversion over palladium- and alumina-impregnated KIT-6 for the production of gasoline range hydrocarbons. Clean Technol. Environ. Policy 2017, 20, 751–757. [Google Scholar] [CrossRef]
- He, S.; Zuur, K.; Santosa, D.S.; Heeres, A.; Liu, C.; Pidko, E.A.; Heeres, H.J. Catalytic conversion of pure glycerol over an un-modified H-ZSM-5 zeolite to bio-based aromatics. Appl. Catal. B Environ. 2021, 281, 119467. [Google Scholar] [CrossRef]
- Ismail, H.; Zaaba, N. The mechanical properties, water resistance and degradation behaviour of silica-filled sago starch/PVA plastic films. J. Elastomers Plast. 2012, 46, 96–109. [Google Scholar] [CrossRef]
- Devi, B.L.A.P.; Gangadhar, K.N.; Prasad, P.S.S.; Jagannadh, B.; Prasad, R.B.N. A Glycerol-based Carbon Catalyst for the Preparation of Biodiesel. ChemSusChem 2009, 2, 617–620. [Google Scholar] [CrossRef]
- Ribeiro, R.S.; Silva, A.M.; Pinho, M.T.; Figueiredo, J.L.; Faria, J.L.; Gomes, H.T. Development of glycerol-based metal-free carbon materials for environmental catalytic applications. Catal. Today 2015, 240, 61–66. [Google Scholar] [CrossRef]
- Cui, Y.; Atkinson, J.D. Tailored activated carbon from glycerol: Role of acid dehydrator on physiochemical characteristics and adsorption performance. J. Mater. Chem. A 2017, 5, 16812–16821. [Google Scholar] [CrossRef]
- Estes, C.S.; Gerard, A.Y.; Godward, J.D.; Hayes, S.B.; Liles, S.H.; Shelton, J.L.; Stewart, T.S.; Webster, R.I.; Webster, H.F. Preparation of highly functionalized carbon nanoparticles using a one-step acid dehydration of glycerol. Carbon 2019, 142, 547–557. [Google Scholar] [CrossRef]
- Medeiros, M.A.; Ardisson, J.D.; Lago, R.M. Preparation of magnetic mesoporous composites from glycerol and Fe (III) salt. J. Chem. Technol. Biotechnol. 2019, 95, 1038–1045. [Google Scholar] [CrossRef]
- Antunes, E.; Jacob, M.V.; Brodie, G.; Schneider, P.A. Microwave pyrolysis of sewage biosolids: Dielectric properties, microwave susceptor role and its impact on biochar properties. J. Anal. Appl. Pyrolysis 2018, 129, 93–100. [Google Scholar] [CrossRef]
- Cui, Y.; Atkinson, J.D. Glycerol-derived magnetic mesoporous Fe/C composites for Cr(VI) removal, prepared via acid-assisted one-pot pyrolysis. Chemosphere 2019, 228, 694–701. [Google Scholar] [CrossRef]
- Wu, H.; Li, Z.; Liu, H. Development of carbon adsorbents with high surface acidity and basicity from polyhydric alcohols with phosphoric acid activation for Ni(II) removal. Chemosphere 2018, 206, 115–121. [Google Scholar] [CrossRef]
- Gonçalves, M.; Oliveira, C.C.; Boas, I.K.; Soler, F.C.; Pinto, E.D.C.; Lavall, R.L.; Carvalho, W.A. Glycerin waste as sustainable precursor for activated carbon production: Adsorption properties and application in supercapacitors. J. Environ. Chem. Eng. 2019, 7, 103059. [Google Scholar] [CrossRef]
- Uchôa, I.M.A.; Neto, A.A.D.; Santos, E.D.S.; De Lima, L.F.; Neto, E.L.D.B. Evaluation of Lubricating Properties of Diesel Based Fuels Micro Emulsified With Glycerin. Mater. Res. 2017, 20, 701–708. [Google Scholar] [CrossRef]
- Mikhailenko, P.; Bertron, A.; Boussambe, G.N.M.; Valentin, R.; Mouloungui, Z.; Ringot, E. Recycled bio-sourced glycerol and diglycerol for asphalt release agents (ARA). Road Mater. Pavement Des. 2018, 21, 201–216. [Google Scholar] [CrossRef]
- Mishra, V.; Singh, D.; Habal, A. Investigating the condition number approach to select probe liquids for evaluating surface free energy of bitumen. Int. J. Pavement Res. Technol. 2019, 13, 10–19. [Google Scholar] [CrossRef]
- Campos, W.E.O.; Nobre, F.X.; Filho, G.N.D.R.; Da Silva, M.A.R.; Da Costa, C.E.F.; Nascimento, L.A.S.D.; Zamian, J.R. High Photocatalytic Activity under Visible Light for a New Morphology of Bi2WO6 Microcrystals. Catalysts 2019, 9, 667. [Google Scholar] [CrossRef]
- Ye, L.; Jin, X.; Liu, C.; Ding, C.; Xie, H.; Chu, K.H.; Wong, P.K. Thickness-ultrathin and bismuth-rich strategies for BiOBr to enhance photoreduction of CO2 into solar fuels. Appl. Catal. B Environ. 2016, 187, 281–290. [Google Scholar] [CrossRef]
- Kim, M.; Son, W.-S.; Ahn, K.H.; Kim, D.S.; Lee, H.-S.; Lee, Y.-W. Hydrothermal synthesis of metal nanoparticles using glycerol as a reducing agent. J. Supercrit. Fluids 2014, 90, 53–59. [Google Scholar] [CrossRef]
- Lakshmanan, P.; Park, E.D. Preferential CO Oxidation in H2 over Au/La2O3/Al2O3 Catalysts: The Effect of the Catalyst Reduction Method. Catalysts 2018, 8, 183. [Google Scholar] [CrossRef]
- Lakshmanan, P.; Upare, P.P.; Le, N.-T.; Hwang, Y.K.; Hwang, D.W.; Lee, U.-H.; Kim, H.R.; Chang, J.-S. Facile synthesis of CeO2-supported gold nanoparticle catalysts for selective oxidation of glycerol into lactic acid. Appl. Catal. A Gen. 2013, 468, 260–268. [Google Scholar] [CrossRef]
Publisher’s Note: MDPI stays neutral with regard to jurisdictional claims in published maps and institutional affiliations. |
© 2020 by the authors. Licensee MDPI, Basel, Switzerland. This article is an open access article distributed under the terms and conditions of the Creative Commons Attribution (CC BY) license (http://creativecommons.org/licenses/by/4.0/).









