Abstract
Pyrolysis of polyethylene terephthalate (PET) produces polycyclic hydrocarbons and biphenyl derivatives that are harmful to human health and the environment. Therefore, a palladium metal catalyst (5 wt.% Pd loaded on activated carbon) was used to prevent the formation of harmful materials. When a Pd catalyst/PET ratio of 0.01 was applied in pyrolysis of PET, it did not show a meaningful difference in the generation of polycyclic hydrocarbons and biphenyl derivatives. However, when a Pd catalyst/PET ratio of 0.05 was used during pyrolysis, it prevented their formation and generation at experimental temperature ranges (400–700 °C). For example, the concentration of 2-naphthalenecarboxylic acid produced, which is a typical polycyclic hydrocarbon material, was reduced by 44%. In addition, the concentration of biphenyl-4-carboxylic acid, which is contained in biphenyl derivatives, was reduced by 79% compared to non-catalytic pyrolysis at 800 °C. This was because the ring-opening reaction and free radical mechanism caused by the Pd catalyst and thermal cracking were dominant during the pyrolysis of PET. Apart from these materials, amine compounds were generated as products of the pyrolysis of PET. Amine concentration showed a similar trend with polycyclic hydrocarbons and benzene derivatives. Based on these results, the total concentration of polycyclic hydrocarbons and biphenyl derivatives was compared; the results confirmed that the concentrations of all substances were reduced. This research suggests that a metal-supported catalyst will help create a more environmentally friendly and reliable method of industrial plastic waste disposal.
1. Introduction
Polyethylene terephthalate (PET) is an essential material because it is a major component of plastic applied in various areas, such as food packing, electric wire, and medical tools. In particular, PET is mostly consumed in the single-serving field as containers for water and carbonated soft drinks. According to Recycling International, PET consumption will exceed 20 million tons by 2021. The mass consumption of PET produces a considerable amount of PET waste. However, the characteristics of PET, namely its low degradation in nature and thermal stability [1], cause serious problems in the environment and on human health [2]. Bioaccumulation, the transportation of persistent organics, and toxic gas released during combustion are typical issues [2,3,4,5]. Therefore, the plastic waste problem must be resolved as a necessity for the environment and human health. There are various disposal methods for PET waste, but all current methods have limitations. For example, incineration is a typical disposal method for municipal solid waste (MSW) [6]. Even though it is easy to handle and reduces the volume of plastic waste, it emits air pollutants such as dioxins, furans, mercury, and polychlorinated biphenyls [7,8]. In addition, it can dump potential resources that could be extracted from PET waste [9]. Furthermore, the residues that remain after the incineration of PET contaminate ground soil by leaching metals such as lead and cadmium [10]. Another option is reutilization, which is gaining attention because it is eco-friendly and can save resources [11]. However, it requires additional costs for reprocessing [12], and only a small part of PET can change color and purify degradation for the manufacture of new products [13]. Furthermore, classifying plastic before the recycling process is labor-intensive [14,15]. Consequently, a more effective and reliable method is needed to dispose of PET waste.
One possible solution is pyrolysis, i.e., thermal treatment without oxygen [16,17,18]. This method has been used to treat diverse waste materials, including plastic [19,20,21]. The advantages are that it can reduce the volume of waste and produce value-added materials through cogeneration [22,23,24]. Value-added products such as pyrolytic oil and gas contain high calorific energy, which could be applied at a pyrolysis plant to fulfill the energy requirement [25,26,27,28]. Thermal treatment is gaining attention because it does not require complex skills or labor-intensive processes [15]; furthermore, it can use all parts of the plastic unlike traditional methods [29]. Despite these benefits, a critical disadvantage in applying the pyrolysis of plastic waste is that harmful materials such as polycyclic compounds and biphenyls that cause serious environmental pollution and human health problems are emitted during plastic pyrolysis [30,31,32]. For instance, polycyclic aromatic compounds (PAHs) can convert to particulate oxygenated-PAHs, which are secondary organic aerosols, by reacting with NOx and O3 [33]. Moreover, it is a source material that causes problems in the immune system and internal organs such as kidney, liver, and lung [34]. In conclusion, the suppression and prevention of polycyclic aromatic compounds is required for the pyrolysis of PET waste to ensure an environmental and reliable method for the disposal of PET waste.
Catalytic pyrolysis has been used to improve thermal efficiency and adjust pyrolytic product compositions [35,36]. However, most studies into catalytic pyrolysis have used zeolites as the catalyst, and their purposes are to increase the yield of bio-oil and improve its quality [36]. In addition, zeolites may not suitable at high temperatures due to coke formation [37,38]. Supported noble metal catalysts are thermally stable showing a high activity at high temperatures [39]; hence, they have potential for being used in pyrolysis conducted at high temperatures. For instance, a Pt catalyst supported on activated carbon has recently been used in pyrolysis of food waste to mitigate the evolution of harmful chemical species during the pyrolysis [40].
In this study, we used an activated carbon-supported Pd catalyst (Pd/C) in the pyrolysis of PET waste to diminish polycyclic hydrocarbons and biphenyl derivatives generated from the thermal decomposition reaction. The Pd catalyst has been widely used because of its high stability, high activity, and relatively low cost compared to other noble metal catalysts such as Pt [41,42]. The PET polymer bond was cracked by metal catalysts. In particular, the Pd/C catalyst is famous for assisting in the decomposition of polymer bonds during pyrolysis [43,44]. Real PET waste, such as single-serving plastic bottles and abandoned iced coffee cups, were used as feedstock. Various results were investigated regarding polycyclic aromatic compound production conditions and the catalyst effect on pyrolysis. In the end, the pyrolytic oil containing polycyclic aromatic compounds was quantified and qualified following the reaction conditions. Herein, the effect of catalyst/PET ratio on the PET pyrolysis was specifically investigated, considering that the amount of catalyst used in a catalytic process is a crucial factor to determine the viability of the process [45].
2. Results and Discussion
The characteristics of the Pd/C catalyst were as described in Table 1. High surface area of the catalyst was attributed to activated carbon support. The high surface area allowed for a high Pd dispersion (42%) despite a 5 wt.% metal loading. Activated carbon is known to be highly thermally stable [46], so the support porosity was mostly preserved during pyrolysis.
Table 1.
Characterization results of the Pd catalyst.
Figure S2 shows that the PET sample weight was reduced by approximately 86 wt.% in N2 atmosphere; this is because the volatile matter was thermally decomposed at the temperature range 380–670 °C. Approximately 14.4% of the fixed carbon in PET remained at up to 900 °C. According to proximate analysis, the PET sample was composed of volatile matter (86.1%), fixed carbon (13.4 wt.%), and moisture (0.5 wt.%) without ash. The TGA result was consistent with the proximate analysis result. The TGA profile obtained without the Pd catalyst was not noticeably different from that obtained with the Pd catalyst. This may be due to a low loading of the catalyst. During the thermal decomposition of PET in the presence of the Pd catalyst, Pd oxide can form from Pd metals reacting with oxygen released from decomposed PET. However, at >500 °C, the Pd oxides might convert to their metallic phase by releasing oxygen [47,48].
Table S1 shows the components of pyrolytic oil generated from the pyrolysis of PET. Three types of polycyclic compound, three types of biphenyl derivative, and two types of polycyclic amine compounds were identified from pyrolytic oil. The detailed information such as chemical name, chemical formula, molecular weight, and chemical structure were arranged.
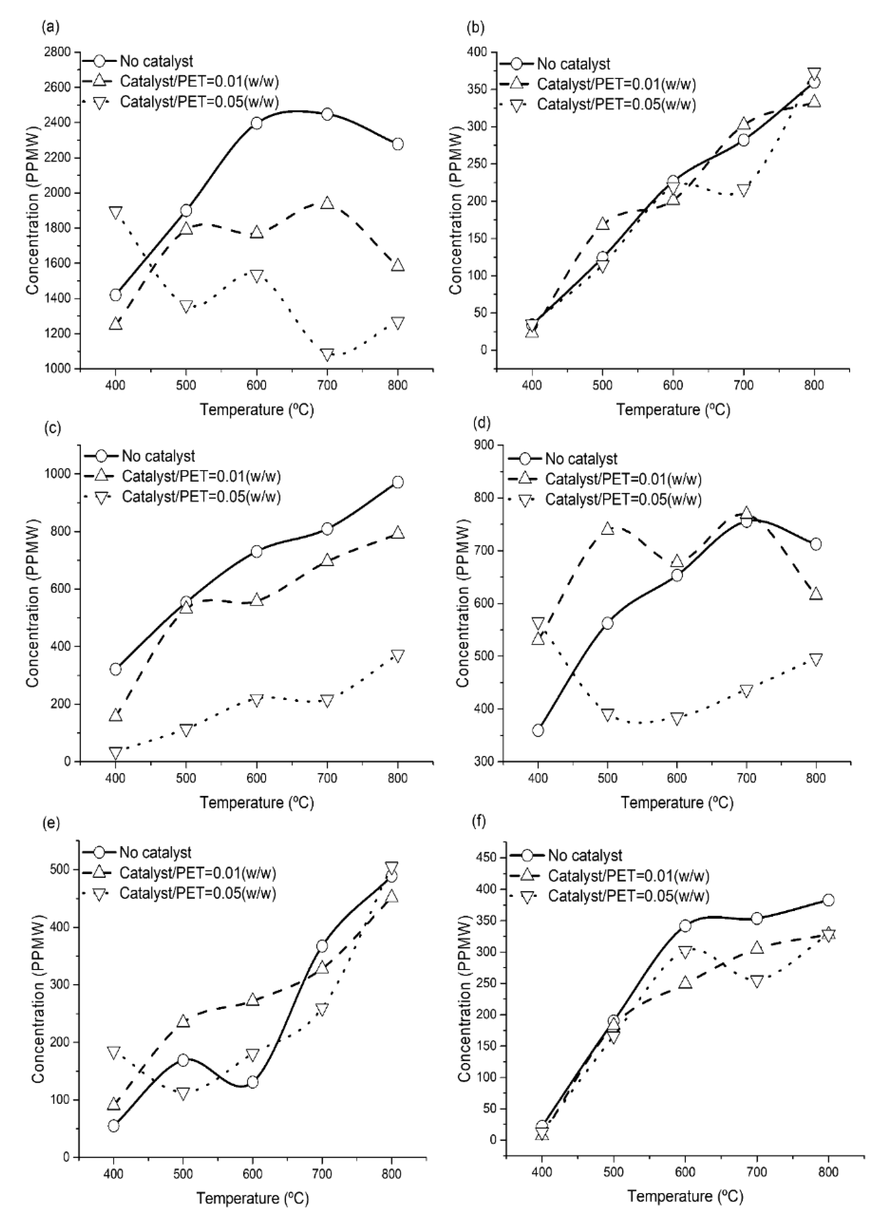
Figure 1 shows the concentration comparison of polycyclic hydrocarbons and biphenyl derivatives obtained from the pyrolysis of PET with and without a Pd catalyst. Different Pd catalyst/PET ratios were used to identify the catalyst’s role during pyrolysis. The concentrations of three types of polycyclic hydrocarbon—2-naphthalenecarboxylic acid, fluorenone, and triphenylene—were increased as the pyrolysis temperature increased, because the cyclization reaction formed benzene rings more favorably at higher temperatures [49]. The Student’s t-test with 95% confidence limit was used as a basis for the concentration graph for the three types of polycyclic hydrocarbon. There was no significant difference between non-catalytic pyrolysis and that with a catalyst/PET ratio of 0.01. To investigate the role of the Pd catalyst in the pyrolysis of PET in more detail, more Pd catalyst was applied in pyrolysis. The pyrolysis with a catalyst/PET ratio of 0.05 had a similar trend to the non-catalytic pyrolysis of PET in terms of the number of polycyclic hydrocarbons and bipheyl derivatives. Most product quantities were increased by increasing the pyrolysis temperature; unlike catalytic pyrolysis with the catalyst/PET ratio of 0.01, catalytic pyrolysis with the catalyst/PET ratio of 0.05 meaningfully changed the amount of certain polycyclic compounds and biphenyl derivatives. The concentration of the two polycyclic hydrocarbons were significantly decreased, but the fluorenone concentration was somewhat lower than non-catalytic pyrolysis. In particular, less 2-naphthalenecarboxylic acid and triphenylene were produced, by 44% and 17%, respectively, compared to no-catalytic pyrolysis at 800 °C.
Figure 1.
The type of biphenyl derivative concentration obtained from the pyrolysis of polyethylene terephthalate (PET) with and without Pd catalyst. (a) 2-naphthalenecarboxylic acid, (b) fluorenone, (c) triphenylene, (d) biphenyl-4-carboxylic acid, (e) p-terphenyl, and (f) o-terphenyl.
The polycyclic compounds could be generated via two major intermediates that can be produced through decomposition of PET: terephthalic acid [50] and benzoic acid containing radicals [51]. The terephthalic acid converts to CO2, ethylene, and benzene with radicals through thermal cracking. In particular, the radicals attached to the benzene ring are produced from the homolytic scission of C–C bonds [52,53]. One of these radicals reacts with benzene to produce biphenyl with radicals and the remaining radical reacts with other benzene to generate two types of terphenyl (p-terphenyl and o-terphenyl). Here, o-terphenyl can further convert to triphenyl through dehydrogenation [54]. Benzoic acid containing radicals has two conversion pathways. When benzoic acid reacts with benzene via the hydrogenation reaction, it produces biphenyl-2-carboxylic acid. Through isomerization, biphenyl-2-carboxylic acid can become biphenyl-4-carboxylic acid. In addition, biphenyl-2-carboxylic acid can be transformed into fluorenone via thermally induced condensation [53,55]. The other pathway is to generate 2-naphthalenecarbpxylic acid from benzoic acid with radicals. For the production of 2-naphthalenecarbpxylic acid, the ethylene and acetylene obtained from terephthalic acid reacts with benzene that has radicals. The reaction of the radicals contained in benzoic acid with the C2H3 generated from ethylene through dehydrogenation produces 4-vinylbenzoic acid [56]. Further radicals can be obtained by subtracting a hydrogen atom. The product, 4-vinylbenzenoic acid, has a radical and synchronizes with acetylene to produce 3,4-divinylbenzoic acid with radicals. It can become 2-naphthalencarboxylic acid through dehydrogenation in the cyclization reaction [56,57].
There were no meaningful differences in the concentrations between the three types of biphenyl derivative biphenyl-4-carboxylic acid, p-terphenyl, and terphenyl compared to non-catalysts with the catalyst/PET ratio of 0.01 during pyrolysis. This means that a small amount of Pd catalyst does not affect polycyclic hydrocarbons and the quantity of biphenyl derivatives generated during the pyrolysis of PET. However, when we investigated the difference between non-catalyst and the catalyst/PET ratio of 0.05, 79% less biphenyl-4-carboxylic acid concentration was produced compared to no catalytic pyrolysis at 800 °C. In addition, about 59% less terphenyl was produced and the p-terphenyl, which is related to human health, was diminished by about 30% compared to the pyrolysis of PET without catalyst at 700 °C. These results clearly show that the pyrolysis conducted with the catalyst/PET ratio of 0.05 creates a ring structure formation interruption at a high temperature.
During the Pd-catalyzed pyrolysis of PET, ring-opening reactions may occur at a mono-functional Pd site by C–C bond cleavage [43]. Following previous research, a Pd catalyst could make a ring-opening reaction via three mechanisms such as palladation (e.g., edge and corner) where a palladium atom is bound to an organic compound and inverted [43]. Depending on the reaction condition and the substrate, the Pd metal makes retention or inversion in the ring structure. This phenomenon leads to the rearrangement of the ring structure and makes the chance apparent inversion at the carbon bound to palladium. A free radical reaction also occurs during the thermal cracking of hydrocarbons [58]. High molecules such as polycyclic hydrocarbons and biphenyl derivatives were cracked by a hemolytic cleavage reaction (by thermal energy) to create a radical species and cation. The generated radical reacted with other stable molecules to make new free radicals and more free radicals. Finally, a great quantity of radical species reacted with each other and formed stable molecules. The Pd metal catalyst accelerated the thermal free radical mechanism [59]. Biphenyl-4-carboxylic acid thermally cracked to form benzene with radical and benzoic acid, which produced benzoic acid cleaved C–C bonds via palladation and hydrogen atom transfer [60]. This mechanism is the reverse of the formula for the ring structure. Polycyclic compounds also make low hydrocarbons. For example, triphenylene converts to benzene with radicals and biphenyl with radicals, which was further cleaved to form benzene containing radicals via thermal cracking. Before making a leaner structure, cyclohexane was obtained from benzene containing radicals through hydrogenation. The obtained cyclohexane made hexane via a ring-opening reaction and hydrogenation. Therefore, hydrogen gas and low hydrocarbons were created through cracking and recombination. Thus, Pd-based catalytic pyrolysis produces less coke and more C–H bonds than non-catalytic pyrolysis at a high temperature (e.g., >600 °C) [61].
Two kinds of amine species (6′-hydroxy-5′-methoxy-1′-methyl-2′,3′,8,’8a’-tetrahydro-1′H-spiro[cyclohexa[2,5]diene-1,7′-cyclopehnta[ij]isoquinolin]-4-one and 2,3,7,8-tetramethoxy-12-methyl-4b,5,11,12-tetrahydrobenzo[c]phenanthridine) were generated from the pyrolysis of PET. As seen in Figure 2, we can find that the amine species also decreased similarly with the polycyclic hydrocarbon and biphenyl derivatives. PET consists of carbon, hydrogen, and oxygen. Nitrogen atoms may be generated from pyrolysis in an inert N2 atmosphere without oxygen or water. Following the results in this research in regards to polycyclic hydrocarbons, biphenyl derivative concentration, and amine species, the concentration of total products in Table S1 is not significantly different at 400 °C. However, as the pyrolysis temperature increases, the concentration of total products (Table S1) shows a meaningful difference between the pyrolysis with the catalyst/PET ratio of 0.05 and no-catalyst pyrolysis. The pyrolysis with the catalyst/PET ratio of 0.01 shows a little reduction in the total products, mainly because the moderate amount of Pd catalyst was active for cracking benzene rings and adjusting the gas composition [43,44,62].
Figure 2.
Concentration of the total amine derivatives from the pyrolysis of PET with and without Pd catalyst as a function of the temperature.
Figure 3 compares the mass balance of pyrolysis of PET with a Pd (the catalyst/PET ratio of 0.05) catalyst and without any catalyst at 800 °C. At all temperatures except 400 °C, it shows a similar trend that produces more solid and gas and reduces the liquid production. In particular, the maximum effect appeared at 800 °C. This is because high-temperature pyrolysis promotes both the free radical mechanism and thermal cracking, and a Pd catalyst can help accelerate the ring-opening reaction at the catalyst site [63]. It shows that the pyrolysis of PET with a Pd (the catalyst/PET ratio of 0.05) catalyst accelerates the change of pyrolytic oil to a pyrolytic gas such as CO, CH4 and H2. This is because the Pd catalyst shifts the carbon distribution from pyrolytic oil to pyrolytic gas. These mechanisms can help improve the endothermic process (e.g., pyrolysis) because pyrolytic gas is combustible. As a result, the use of a moderate amount of Pd catalyst will upgrade the thermal efficiency during the plastic waste disposal process.
Figure 3.
Comparing the mass balance of the pyrolysis of PET with a Pd catalyst and without a catalyst at 800 °C.
3. Experimental
3.1. Material and Chemical
Abandoned PET samples such as single-serving cups and bottles were collected from a local coffee shop and market (Figure S1). These PET samples were washed with water to remove remaining residues and then dried. After that, these samples were cut into squares (0.5 cm × 0.5 cm) with very small thickness (Figure S1).
The PET sampling was performed proximate analysis. The PET sample was loaded into a porcelain crucible to analyze the volatile matter and ash. When analyzing volatile matter, the sample was heated to 450 °C for 1 h with a porcelain crucible cap. To analyze the ash, the sample was heated at 750 °C for 1 h without a porcelain crucible cap. To analyze the moisture content, the sample was placed in oven that was maintained at 105 °C. The fixed carbon content could be calculated based on these results. The same method was implemented three times.
Dichloromethane (CH2Cl2, ≥99.9%) was obtained from Samchun Chemical (Seoul, Korea). Phenol (C6H6O, ≥99.5%) was purchased from Sigma-Aldrich (St. Louis, MO, USA). Nitrogen gas (N2, ≥99.999%) was provided by DK gas (Hwaseong, Korea). Palladium catalyst supported on activated carbon (Pd/C; 5% Pd content) was purchased from Sigma-Aldrich (product no. 205680; St. Louis, MO, USA).
3.2. Pd Catalyst Characterization
Micromeritics ASAP instrument was used to identify the surface area and porosity of the catalyst sample using N2 physisorption at −196 °C because the Pd catalyst was carried out and vacuum degassed at 80 °C for 12 h. The surface area of the catalyst was calculated by Brunauer–Emmett–Teller (BET) analysis and its pore volume and average pore size was estimated by Barrett–Joyner–Halenda (BJH).
A Micromeritics ASAP instrument was used to identify the amount of surface metal on the catalyst by H2 chemisorption after the advance preparation of the catalyst sample. The advance preparation of catalyst first reduced the catalyst sample at the maximum temperature of 300 °C for 4 h with 2 °C min−1 heating rate, evacuated for 2 h, and then cooled until 35 °C. When the temperature reached 35 °C, H2 gas was dosed to 610 mmHg to achieve equilibrium pressure that provided the total amount of adsorbed hydrogen and then evacuated to remove absorbed hydrogen. Afterward, the H2 was re-dosed to determine the amount of weakly adsorbed hydrogen. To determine the amount of strongly adsorbed hydrogen, subtract the amount of weakly adsorbed hydrogen from the total amount.
To analyze the metal content in the Pd catalyst, a nitric acid (10 mL)-digested catalyst sample (0.2 g) was loaded in a Teflon bottle and then heated at 180 °C for 20 min. this analysis was conducted using a Perkin Elmer inductively coupled plasma optical emission spectrometry (ICP-OES) instrument (Waltham, MA, USA).
3.3. Thermogravimetric Analysis of PET
The PET sample underwent thermogravimetric analysis (TGA) with a Mettler Toledo STARe TGA instrument. (10 ± 0.1 mg) of the PET sample was heated from 30 to 900 °C at 10 °C/min. Nitrogen gas was used as a protective and the reactive gas flow was set to 60 mL min−1. Among these flow rates, 20 mL min−1 was used for the protective gas and 40 mL min−1 was used for the reactive gas.
3.4. Pyrolysis of PET
For the pyrolysis of PET, a tube furnace (Tube Furnace-60, Hantech, Korea) was used in this study. A quartz tube equipped with a gas mask was located in a tube furnace heating zone. For the experiment, two different mixtures of the Pd catalyst/PET were used: (1) a weight ratio of Pd/C catalyst to PET = 0.01 (i.e., a weight ratio of Pd metal to PET = 0.0005); (2) a weight ratio of Pd/C catalyst to PET = 0.05 (i.e., a weight ratio of Pd metal to PET = 0.0025). For each run, a mixture of Pd catalyst/PET was loaded into an alumina boat. This boat was located in the center of the quartz tube in the reactor. The flow rate of nitrogen gas was controlled by a mass flow controller (KOFLOC, Japan) and set to 50 mL min−1. The pyrolysis temperature was controlled by a temperature controller equipped with a tube furnace.
Cold traps were used in the path of the volatile materials to collect pyrolytic products from the pyrolysis of PET. These were located in a cold bath that was kept at −5 °C. After pyrolysis, the generated pyrolytic products were collected by washing with dichloromethane. To collect the sticky matter that remained in the quartz tube and lining, dichloromethane was used as washer fluid. To remove dichloromethane, the gathered pyrolytic products were dried at 50 °C for 24 h. After deriding, the remnants were analyzed by gas chromatography/mass spectrometry (GC/MS).
3.5. Pyrolytic Products Analysis
A gas chromatographic-mass spectrum equipped with Agilent HP-5UI column (30 m × 0.25 µm × 0.25 mm) was used to identify and quantify the components of the pyrolytic products from the pyrolysis of PET. In the injector setting, a splitless mode was used with 1 µL of sample. The temperature was set to 280 °C. The oven temperature was increased from 50 °C (4 min) to 300 °C (6 min) at 5 °C min−1. The helium gas (≥99.999%)) used as a carrier was flowed at 64 mL min−1. Only 1 mL min−1 was flowed in the column. In MS parameters, the Aux temperature was maintained at 300 °C and the scanning mass range was set at 45–550 amu. The peaks of the sample were identified by NIST mass library and each peak’s concentration was calculated using internal standards that contain phenol because phenol was not detected in any peak.
4. Conclusions
This study conducted the pyrolysis of real PET waste, namely single-serving cups and beverage bottles, with and without a Pd/C catalyst. The formation of harmful materials obtained during pyrolysis, such as polycyclic hydrocarbon and benzene derivatives, required inhibition; thus, the Pd catalyst was applied in this reaction. The Pd catalyst/PET ratio was set at 0.01 and 0.05 (weight basis) to identify the effect on the formation of harmful materials according to the quantity of Pd. The results indicate that the Pd (the catalyst/PET ratio of 0.01)-catalyzed pyrolysis of PET did not show a significant difference in the number of polycyclic hydrocarbons and benzene derivatives; however, the Pd (the catalyst/PET ratio of 0.05)-catalyzed pyrolysis of PET indicated a meaningful difference for these. This means that a moderate amount of Pd catalyst suppressed the formation of polycyclic hydrocarbons and benzene derivatives during pyrolysis. This phenomenon was performed by a free radical mechanism and ring-opening reaction. In addition, the more Pd catalyst loading catalyst, the less that amine species were produced. All of these results were shown at temperatures above 400 °C. Conclusively, this research can be employed in the pyrolysis of PET and other plastics with metal catalysts (e.g., a Pd catalyst) to improve plastic waste disposal in an environmentally friendly manner.
Supplementary Materials
The following are available online at https://www.mdpi.com/2073-4344/10/5/496/s1, Figure S1: (a) Picture of PET sample (left) and slab which is cut into squares (right); (b) Chemical structure of PET, Figure S2: Change in PET weight during TGA, Table S1: The component of polycyclic hydrocarbons, biphenyl derivatives and amine species obtained from pyrolysis of PET.
Author Contributions
Conceptualization, K.-Y.C. and J.L.; investigation, C.P., S.K., Y.K., C.J. and Y.C.; writing—original draft preparation, C.P. and S.K.; writing—review and editing, S.K. and J.L.; visualization, S.J. and C.-G.L.; supervision, K.-Y.C. and J.L. All authors have read and agree to the published version of the manuscript.
Funding
This work was supported by the Ajou University research fund.
Acknowledgments
C.P., Y.K., C.J., and Y.C. acknowledge the E-UR program provided by College of Engineering, Ajou University.
Conflicts of Interest
The authors declare no conflict of interest. The funders had no role in the design of the study; in the collection, analyses, or interpretation of data; in the writing of the manuscript, or in the decision to publish the results.
References
- Ghanbari, A.; Heuzey, M.; Carreau, P.; Ton-That, M. A novel approach to control thermal degradation of PET/organoclay nanocomposites and improve clay exfoliation. Polymer 2013, 54, 1361–1369. [Google Scholar] [CrossRef]
- Hurley, R.; Woodward, J.; Rothwell, J.J. Microplastic contamination of river beds significantly reduced by catchment-wide flooding. Nat. Geosci. 2018, 11, 251–257. [Google Scholar] [CrossRef]
- Sharma, S.; Chatterjee, S. Microplastic pollution, a threat to marine ecosystem and human health: A short review. Environ. Sci. Pollut. Res. 2017, 24, 21530–21547. [Google Scholar] [CrossRef] [PubMed]
- Molina, J.C.; Eguia, I.; Racero, J. Reducing pollutant emissions in a waste collection vehicle routing problem using a variable neighborhood tabu search algorithm: A case study. Top 2019, 27, 253–287. [Google Scholar] [CrossRef]
- Chirayil, C.J.; Mishra, R.K.; Thomas, S. Materials Recovery, Direct Reuse and Incineration of PET Bottles. In Recycling of Polyethylene Terephthalate Bottles; Elsevier: Amsterdam, The Netherlands, 2019; pp. 37–60. [Google Scholar]
- Kim, S.B.; Yi, N.H.; Kim, H.Y.; Kim, J.-H.J.; Song, Y.-C. Material and structural performance evaluation of recycled PET fiber reinforced concrete. Cem. Concr. Compos. 2010, 32, 232–240. [Google Scholar] [CrossRef]
- Min, Y.; Liu, C.; Shi, P.; Qin, C.; Feng, Y.; Liu, B. Effects of the addition of municipal solid waste incineration fly ash on the behavior of polychlorinated dibenzo-p-dioxins and furans in the iron ore sintering process. Waste Manag. 2018, 77, 287–293. [Google Scholar] [CrossRef]
- Diaz-Silvarrey, L.S.; McMahon, A.; Phan, A.N. Benzoic acid recovery via waste poly (ethylene terephthalate)(PET) catalytic pyrolysis using sulphated zirconia catalyst. J. Anal. Appl. Pyrolysis 2018, 134, 621–631. [Google Scholar] [CrossRef]
- Demetrious, A.; Crossin, E. Life cycle assessment of paper and plastic packaging waste in landfill, incineration, and gasification-pyrolysis. J. Mater. Cycles Waste Manag. 2019, 21, 850–860. [Google Scholar] [CrossRef]
- Verma, R.; Vinoda, K.; Papireddy, M.; Gowda, A. Toxic pollutants from plastic waste—A review. Procedia Environ. Sci. 2016, 35, 701–708. [Google Scholar] [CrossRef]
- Raheem, A.B.; Noor, Z.Z.; Hassan, A.; Hamid, M.K.A.; Samsudin, S.A.; Sabeen, A.H. Current developments in chemical recycling of post-consumer polyethylene terephthalate wastes for new materials production: A review. J. Clean. Prod. 2019. [Google Scholar] [CrossRef]
- Jamdar, V.; Kathalewar, M.; Dubey, K.A.; Sabnis, A. Recycling of PET wastes using Electron beam radiations and preparation of polyurethane coatings using recycled material. Prog. Org. Coat. 2017, 107, 54–63. [Google Scholar] [CrossRef]
- Masmoudi, F.; Fenouillot, F.; Mehri, A.; Jaziri, M.; Ammar, E. Characterization and quality assessment of recycled post-consumption poly (ethylene terephthalate)(PET). Environ. Sci. Pollut. Res. 2018, 25, 23307–23314. [Google Scholar] [CrossRef] [PubMed]
- Mali, S.; Kadam, S.; Mane, S.; Panchal, K.; Kale, S.; Navkar, Y. Soil stabilization by using plastic waste. Int. Res. J. Eng. Technol. (IRJET) 2019, 6, 4056–4060. [Google Scholar]
- Vijayakumar, A.; Sebastian, J. Pyrolysis process to produce fuel from different types of plastic–a review. In Proceedings of the IOP Conference Series: Materials Science and Engineering, International Conference on Recent Advancements and Effectual Researches in Engineering Science and Technology (RAEREST), Kerala State, India, 20–21 April 2018; p. 012062. [Google Scholar]
- Gurgul, A.; Szczepaniak, W.; Zabłocka-Malicka, M. Incineration and pyrolysis vs. steam gasification of electronic waste. Sci. Total Environ. 2018, 624, 1119–1124. [Google Scholar] [CrossRef] [PubMed]
- Kim, S.; Lee, Y.; Andrew Lin, K.-Y.; Hong, E.; Kwon, E.E.; Lee, J. The valorization of food waste via pyrolysis. J. Clean. Prod. 2020, 259, 120816. [Google Scholar] [CrossRef]
- Lee, Y.; Kim, S.; Kwon, E.E.; Lee, J. Effect of carbon dioxide on thermal treatment of food waste as a sustainable disposal method. J. Co2 Util. 2020, 36, 76–81. [Google Scholar] [CrossRef]
- Dhyani, V.; Bhaskar, T. A comprehensive review on the pyrolysis of lignocellulosic biomass. Renew. Energy 2018, 129, 695–716. [Google Scholar] [CrossRef]
- Sipra, A.T.; Gao, N.; Sarwar, H. Municipal solid waste (MSW) pyrolysis for bio-fuel production: A review of effects of MSW components and catalysts. Fuel Process. Technol. 2018, 175, 131–147. [Google Scholar] [CrossRef]
- Kwon, E.E.; Kim, S.; Lee, J. Pyrolysis of waste feedstocks in CO2 for effective energy recovery and waste treatment. J. Co2 Util. 2019, 31, 173–180. [Google Scholar] [CrossRef]
- Payne, J.L.; Bhakta, N.N.; Lyons, S.; Mohamed, R.A.; Carroll, K.C.; Brewer, C.E. Potential of pyrolysis of spacecraft solid waste for water recovery and plant-growth media production. J. Anal. Appl. Pyrolysis 2018, 135, 184–188. [Google Scholar] [CrossRef]
- Ding, K.; Zhong, Z.; Zhong, D.; Zhang, B.; Qian, X. Pyrolysis of municipal solid waste in a fluidized bed for producing valuable pyrolytic oils. Clean Technol. Environ. Policy 2016, 18, 1111–1121. [Google Scholar] [CrossRef]
- Kim, S.; Lee, J. Pyrolysis of food waste over a Pt catalyst in Co2 atmosphere. J. Hazard. Mater. 2020, 393, 122449. [Google Scholar] [CrossRef] [PubMed]
- Lam, S.S.; Liew, R.K.; Jusoh, A.; Chong, C.T.; Ani, F.N.; Chase, H.A. Progress in waste oil to sustainable energy, with emphasis on pyrolysis techniques. Renew. Sustain. Energy Rev. 2016, 53, 741–753. [Google Scholar] [CrossRef]
- Miandad, R.; Rehan, M.; Nizami, A.-S.; Barakat, M.A.E.-F.; Ismail, I.M. The energy and value-added products from pyrolysis of waste plastics. In Recycling of Solid Waste for Biofuels and Bio-Chemicals; Springer: Berlin/Heidelberg, Germany, 2016; pp. 333–355. [Google Scholar]
- Doğan-Sağlamtimur, N.; Bilgil, A.; Güven, A.; Ötgün, H.; Yıldırım, E.D.; Arıcan, B. Producing of qualified oil and carbon black from waste tyres and pet bottles in a newly designed pyrolysis reactor. J. Therm. Anal. Calorim. 2019, 135, 3339–3351. [Google Scholar] [CrossRef]
- Bridgwater, A.; Peacocke, G. Fast pyrolysis processes for biomass. Renew. Sustain. Energy Rev. 2000, 4, 1–73. [Google Scholar] [CrossRef]
- Adrados, A.; De Marco, I.; Caballero, B.; López, A.; Laresgoiti, M.; Torres, A. Pyrolysis of plastic packaging waste: A comparison of plastic residuals from material recovery facilities with simulated plastic waste. Waste Manag. 2012, 32, 826–832. [Google Scholar] [CrossRef]
- Zhou, H.; Wu, C.; Onwudili, J.A.; Meng, A.; Zhang, Y.; Williams, P.T. Polycyclic aromatic hydrocarbons (PAH) formation from the pyrolysis of different municipal solid waste fractions. Waste Manag. 2015, 36, 136–146. [Google Scholar] [CrossRef]
- Kim, S.; Park, C.; Lee, J. Reduction of polycyclic compounds and biphenyls generated by pyrolysis of industrial plastic waste by using supported metal catalysts: A case study of polyethylene terephthalate treatment. J. Hazard. Mater. 2020, 392, 122464. [Google Scholar] [CrossRef]
- Lee, J.; Lee, T.; Tsang, Y.F.; Oh, J.-I.; Kwon, E.E. Enhanced energy recovery from polyethylene terephthalate via pyrolysis in CO2 atmosphere while suppressing acidic chemical species. Energy Convers. Manag. 2017, 148, 456–460. [Google Scholar] [CrossRef]
- Gbeddy, G.; Goonetilleke, A.; Ayoko, G.A.; Egodawatta, P. Transformation and degradation of polycyclic aromatic hydrocarbons (PAHs) in urban road surfaces: Influential factors, implications and recommendations. Environ. Pollut. 2019, 113510. [Google Scholar] [CrossRef]
- Abdel-Shafy, H.I.; Mansour, M.S. A review on polycyclic aromatic hydrocarbons: Source, environmental impact, effect on human health and remediation. Egypt. J. Pet. 2016, 25, 107–123. [Google Scholar] [CrossRef]
- Martínez, J.D.; Puy, N.; Murillo, R.; García, T.; Navarro, M.V.; Mastral, A.M. Waste tyre pyrolysis—A review. Renew. Sustain. Energy Rev. 2013, 23, 179–213. [Google Scholar] [CrossRef]
- Lee, J.; Kwon, E.E.; Park, Y.-K. Recent advances in the catalytic pyrolysis of microalgae. Catal. Today 2019. [Google Scholar] [CrossRef]
- Kim, S.; Kwon, E.E.; Kim, Y.T.; Jung, S.; Kim, H.J.; Huber, G.W.; Lee, J. Recent advances in hydrodeoxygenation of biomass-derived oxygenates over heterogeneous catalysts. Green Chem. 2019, 21, 3715–3743. [Google Scholar] [CrossRef]
- Kim, S.; Tsang, Y.F.; Kwon, E.E.; Lin, K.-Y.A.; Lee, J. Recently developed methods to enhance stability of heterogeneous catalysts for conversion of biomass-derived feedstocks. Korean J. Chem. Eng. 2019, 36, 1–11. [Google Scholar] [CrossRef]
- Kobayashi, H.; Fukuoka, A. Chapter 2 - Current Catalytic Processes for Biomass Conversion. In New and Future Developments in Catalysis; Suib, S.L., Ed.; Elsevier: Amsterdam, The Netherlands, 2013; pp. 29–52. [Google Scholar]
- Kim, S.; Lee, C.-G.; Kim, Y.T.; Kim, K.-H.; Lee, J. Effect of Pt catalyst on the condensable hydrocarbon content generated via food waste pyrolysis. Chemosphere 2020, 248, 126043. [Google Scholar] [CrossRef]
- He, C.; Li, J.; Zhang, X.; Yin, L.; Chen, J.; Gao, S. Highly active Pd-based catalysts with hierarchical pore structure for toluene oxidation: Catalyst property and reaction determining factor. Chem. Eng. J. 2012, 180, 46–56. [Google Scholar] [CrossRef]
- Li, P.; He, C.; Cheng, J.; Ma, C.Y.; Dou, B.J.; Hao, Z.P. Catalytic oxidation of toluene over Pd/Co3AlO catalysts derived from hydrotalcite-like compounds: Effects of preparation methods. Appl. Catal. B Environ. 2011, 101, 570–579. [Google Scholar] [CrossRef]
- Baeckvall, J.E.; Bjoerkman, E.E.; Pettersson, L.; Siegbahn, P.; Strich, A. A theoretical study of the cyclopropane ring opening by palladium. J. Am. Chem. Soc. 1985, 107, 7408–7412. [Google Scholar] [CrossRef]
- Liu, F.; Audemar, M.; De Oliveira Vigier, K.; Clacens, J.M.; De Campo, F.; Jérôme, F. Palladium/carbon dioxide cooperative catalysis for the production of diketone derivatives from carbohydrates. ChemSusChem 2014, 7, 2089–2093. [Google Scholar] [CrossRef]
- Bartholomew, C.H.; Farrauto, R.J. Fundamentals of Industrial Catalytic Processes, 2nd ed.; John Wiley & Sons Inc.: Hoboken, NJ, USA, 2006. [Google Scholar]
- Nowicki, P. Effect of heat treatment on the physicochemical properties of nitrogen-enriched activated carbons. J. Therm. Anal. Calorim. 2016, 125, 1017–1024. [Google Scholar] [CrossRef]
- Reddy, G.K.; Ling, C.; Peck, T.C.; Jia, H. Understanding the chemical state of palladium during the direct NO decomposition – influence of pretreatment environment and reaction temperature. RSC Adv. 2017, 7, 19645–19655. [Google Scholar] [CrossRef]
- Xiong, H.; Lester, K.; Ressler, T.; Schlögl, R.; Allard, L.F.; Datye, A.K. Metastable Pd ↔ PdO structures during high temperature methane oxidation. Catal. Lett. 2017, 147, 1095–1103. [Google Scholar] [CrossRef]
- Ali, A.; Dreyer, B.; Renz, F.; Tegenkamp, C.; Sindelar, R. Electrospun Polyacrylonitrile Based Carbon Nanofibers: The Role of Creep Stress towards Cyclization and Graphitization. J. Mater. Sci. Eng. 2018, 7, 1000493. [Google Scholar]
- Dhahak, A.; Hild, G.; Rouaud, M.; Mauviel, G.; Burkle-Vitzthum, V. Slow pyrolysis of polyethylene terephthalate: Online monitoring of gas production and quantitative analysis of waxy products. J. Anal. Appl. Pyrolysis 2019, 142, 104664. [Google Scholar] [CrossRef]
- Kumagai, S.; Yamasaki, R.; Kameda, T.; Saito, Y.; Watanabe, A.; Watanabe, C.; Teramae, N.; Yoshioka, T. Aromatic hydrocarbon selectivity as a function of CaO basicity and aging during CaO-catalyzed PET pyrolysis using tandem µ-reactor-GC/MS. Chem. Eng. J. 2018, 332, 169–173. [Google Scholar] [CrossRef]
- Xue, Y.; Johnston, P.; Bai, X. Effect of catalyst contact mode and gas atmosphere during catalytic pyrolysis of waste plastics. Energy Convers. Manag. 2017, 142, 441–451. [Google Scholar] [CrossRef]
- Kumagai, S.; Yamasaki, R.; Kameda, T.; Saito, Y.; Watanabe, A.; Watanabe, C.; Teramae, N.; Yoshioka, T. Tandem μ-reactor-GC/MS for online monitoring of aromatic hydrocarbon production via CaO-catalysed PET pyrolysis. React. Chem. Eng. 2017, 2, 776–784. [Google Scholar] [CrossRef]
- Kharasch, N.; Alston, T.G.; Lewis, H.B.; Wolf, W. The photochemical conversion of o-terphenyl into triphenylene. Chem. Commun. 1965, 242–243. [Google Scholar] [CrossRef]
- Birnbaum, H.; Scott, R. X-Ray Diffraction Studies of the System: Zn2TiO4-NiTiO3. J. Am. Chem. Soc. 1950, 72, 1398–1399. [Google Scholar] [CrossRef]
- Frenklach, M.; Clary, D.W.; Gardiner, W.C., Jr.; Stein, S.E. Effect of fuel structure on pathways to soot. Symp. (Int. ) Combust. 1988, 21, 1067–1076. [Google Scholar] [CrossRef]
- Richter, H.; Howard, J.B. Formation of polycyclic aromatic hydrocarbons and their growth to soot—A review of chemical reaction pathways. Prog. Energy Combust. Sci. 2000, 26, 565–608. [Google Scholar] [CrossRef]
- Zhang, X.; Liu, Z.; Chen, Z.; Xu, T.; Liu, Q. Bond cleavage and reactive radical intermediates in heavy tar thermal cracking. Fuel 2018, 233, 420–426. [Google Scholar] [CrossRef]
- Neufeldt, S.R.; Sanford, M.S. Combining Transition Metal Catalysis with Radical Chemistry: Dramatic Acceleration of Palladium-Catalyzed C—H Arylation with Diaryliodonium Salts. Adv. Synth. Catal. 2012, 354, 3517–3522. [Google Scholar] [CrossRef]
- Liu, C.; Qin, Z.-X.; Ji, C.-L.; Hong, X.; Szostak, M. Highly-chemoselective step-down reduction of carboxylic acids to aromatic hydrocarbons via palladium catalysis. Chem. Sci. 2019, 10, 5736–5742. [Google Scholar] [CrossRef]
- Anis, S.; Zainal, Z. Tar reduction in biomass producer gas via mechanical, catalytic and thermal methods: A review. Renew. Sustain. Energy Rev. 2011, 15, 2355–2377. [Google Scholar] [CrossRef]
- Koike, N.; Hosokai, S.; Takagaki, A.; Nishimura, S.; Kikuchi, R.; Ebitani, K.; Suzuki, Y.; Oyama, S.T. Upgrading of pyrolysis bio-oil using nickel phosphide catalysts. J. Catal. 2016, 333, 115–126. [Google Scholar] [CrossRef]
- Malapit, C.A.; Caldwell, D.R.; Sassu, N.; Milbin, S.; Howell, A.R. Pd-Catalyzed Acyl C–O Bond Activation for Selective Ring-Opening of α-Methylene-β-lactones with Amines. Org. Lett. 2017, 19, 1966–1969. [Google Scholar] [CrossRef]
© 2020 by the authors. Licensee MDPI, Basel, Switzerland. This article is an open access article distributed under the terms and conditions of the Creative Commons Attribution (CC BY) license (http://creativecommons.org/licenses/by/4.0/).


