Abstract
Nickel(II) dichloride complexes with a pyridine-chelated imidazo[1,5-a]pyridin-3-ylidene py-ImPy ligand were developed as novel catalyst precursors for acrylate synthesis reaction from ethylene and carbon dioxide (CO2), a highly promising sustainable process in terms of carbon capture and utilization (CCU). Two types of ImPy salts were prepared as new C,N-bidentate ligand precursors; py-ImPy salts (3, 4a–4e) having a pyridine group at C(5) on ImPy and a N-picolyl-ImPy salt (10) having a picolyl group at N atom on ImPy. Nickel(II) complexes such as py-ImPyNi(II)Cl2 (7, 8a–8e) and N-picolyl-ImPyNi(II)Cl2 (12) were synthesized via transmetalation protocol from silver(I) complexes, py-ImPyAgCl (5, 6a–6e) and N-picolyl-ImPyAgCl (11). X-ray diffraction analysis of nickel(II) complexes (7, 8b, 12) showed a monomeric distorted tetrahedral geometry and a six-membered chelate ring structure. py-ImPy ligands formed a more planar six-membered chelate with the nickel center than did N-picolyl-ImPy ligand. py-ImPyNi(II)Cl2 complexes (8a–8e) with tert-butyl substituents exhibited noticeable catalytic activity in acrylate synthesis from ethylene and CO2 (up to 108% acrylate). Interestingly, the use of additional additives including monodentate phosphines increased catalytic activity up to 845% acrylate (TON 8).
Keywords:
nickel; silver; N-heterocyclic carbene; bidentate ligands; acrylate; ethylene; carbon dioxide 1. Introduction
The synthesis of acrylic acid derivatives through the C–H carboxylation of ethylene with carbon dioxide (CO2) has received much attention lately in the area of carbon capture and utilization (CCU) [1,2,3,4,5,6,7,8,9,10,11], as the acrylate products are value-added chemicals for superabsorbent polymers, adhesives, and coatings. This new acrylate synthetic route could be superior to the existing industrial process (two-stage oxidation of propylene) by utilizing less expensive feedstock (ethylene vs. propylene) and a sustainable carbon source (CO2) [12].
In pioneering studies in the 1980s, Hoberg [13,14,15,16,17] and Carmona [18,19,20] independently reported metal (Ni, Fe, Mo, W) mediated stoichiometric coupling reactions between ethylene and CO2. Hoberg demonstrated that oxidative coupling of ethylene and CO2 proceeded smoothly to afford nickelalactone products by electron-rich Ni(0) complexes ligated with 2,2′-bipyridine (bpy), bis(dicyclohexylphosphino)ethane (DCPE), 1,8-diazabicyclo(5,4,0)undec-7-ene (DBU), and pyridyl-phosphine ligands. These stoichiometric reaction results inspired researchers to develop a catalytic version; however, the development of catalytic processes turned out to be highly challenging [21,22,23,24,25,26,27]. Turning over the proposed catalytic cycle was impeded by the high energy barrier for β-hydride elimination of stable five-membered nickelalactones and the endergonic thermodynamic feature of the overall reaction (ethylene + CO2 → acrylic acid) [28,29,30,31]. After three decades, the long-standing problem was nicely solved by Vogt [32] and Limbach [33,34], independently. Nickel-catalyzed C–H carboxylation of ethylene using CO2 was successfully realized by the cleavage of the nickelalactone using either hard Lewis acid [32] or strong alkoxide bases [33,34] (Figure 1a). Since then, studies on nickel (Ni)–Catalysis with extensive ligand screening have demonstrated that the choice of ligands greatly affects the catalytic activity, and electron-rich bisphosphine ligands are often preferred for catalytic efficiency [35,36,37,38]. Recently, several attempts have been made to extend the catalysis to metals other than Ni, including Pd [35,39,40,41], Co [42], Ru [43], and Fe [44]. Despite progress in recent years, there remains a long road ahead for an industrial application; therefore, more diverse ligands and metals should be explored to develop a highly efficient catalytic acrylate synthesis process using ethylene and CO2 [45,46,47].
Figure 1.
(a) One-pot catalytic systems for acrylate synthesis from ethylene and CO2 [32,33,34]; (b) this research: pyridine chelated ImPy Ni(II) complexes for acrylate synthesis from ethylene and CO2.
As part of our research interests in the design and application of N-heterocyclic carbenes (NHCs) [48,49,50,51,52,53,54,55], we were intrigued by the ideas of exploring various bidentate NHC ligands in the Ni-catalyzed C–H carboxylation reaction of ethylene with CO2. NHCs are strong electron-donating and highly versatile ligands. The use of NHC ligands has resulted in breakthroughs in many catalytic reactions, such as ruthenium-based olefin metathesis [56,57,58,59,60,61,62,63,64]. Furthermore, bidentate NHC ligand systems could provide more stable complexes by the chelate effect and expand the scope of the catalytic transformations [65,66,67,68,69,70]. Nevertheless, there has been one example where NHC ligands are used in the synthesis of acrylate from CO2/ethylene [47].
In 2005, Glorius and Lassaletta independently developed imidazo [1,5-a] pyridine-3-ylidene (ImPy) ligands, classified as the rigid heterobicyclic variant of NHCs [71,72]. A substituent at C(5) on the bicyclic ImPy can be placed adjacent to a metal coordination sphere, often forming bonding interactions with the metal [73,74,75,76,77,78,79,80,81,82,83,84,85,86,87,88,89,90]. For that reason, ImPys have attracted much attention as a privileged scaffold for bidentate NHC ligands [81,82,83,84,85,86,87,88,89,90]. Recently, Nozaki reported Ni and Pd complexes having C,X-bidentate ImPy ligands (X = phenoxide [84,85,88] and phosphine oxide [86]), which efficiently catalyzed ethylene polymerization and copolymerization with polar monomers. More recently, Wang reported Pd complexes bearing chelating ImPy-sulfonate ligand for norbornene polymerization [89]. Thus, we envisioned that the transition-metal complexes containing a C,X-bidentate ImPy ligand could also be effective for the catalytic synthesis of acrylate from CO2/ethylene.
Pyridine ligands are known as active ligands for nickel promoted coupling reactions using ethylene and CO2 [13,17,91,92,93], which inspired us to develop mononuclear Ni(II) complexes containing a pyridine-chelated ImPy for catalytic acrylate synthesis from CO2/ethylene (Figure 1b). We herein present novel mononuclear Ni(II) complexes with a rigid six-membered ring, imposed by a special pyridine-chelated bidentate ImPy ligand, providing catalytic activity in the acrylate formation from ethylene and CO2.
2. Results and Discussion
2.1. Synthesis of Ligand Precursors
Two types of pyridine-chelated ImPy ligand precursors were synthesized: (i) py-ImPyR salts (R = H 3 and R = t-Bu 4a–4e) with a pyridine group at C(5) on ImPy, and (ii) a N-picolyl-ImPy salt (10) with a picolyl group at N on ImPy (Scheme 1). The py-ImPyR salts (3, 4a–4e) were obtained in moderate yields (67%–85%), through iminopyridine formation from 2,2′-bipyridine-6-carbaldehyde derivatives (1–2) and anilines (Ar–NH2), followed by the cyclization with chloromethylethyl ether. The lack of substituents on pyridine and ImPy units of py-ImPyH salt (3) lead to the formation of less soluble Ni complex. Therefore, the tert-butyl substituents were introduced into the backbone of the ligand to improve the solubility, hence delivering py-ImPyt-Bu salts (4a–4e) [94,95,96]. The N-picolyl-ImPy salt (10) was synthesized in 63% yield through the condensations of corresponding aldehyde (9), 2-picolylamine, and paraformaldehyde [97].
Scheme 1.
Synthesis of ligand precursors, Ag complexes, and Ni complexes.
2.2. Synthesis and Structural Analysis of Ag(I) Complexes
Synthesized ligand precursors were converted to silver (Ag) complexes that could serve useful transmetallating agents for Ni complexes (Scheme 1). Ag(I) complexes (5, 6a–6e, 11) were prepared from the imidazopyridinium salts (3, 4a–4e, 10) by reaction with Ag(I) oxide in good yields (81%–96%) (Scheme 1). After the disappearance of peaks related to the acidic imidazopyridinium proton of 3, 4a–4e, and 10 were confirmed in 1H NMR, Ag complexes were purified by washing with hexane or recrystallization from CH2Cl2 and hexanes. The molecular structure of an Ag complex 5 was characterized by X-ray crystallography (Figure 2). A single crystal for X-ray diffraction was prepared by slow recrystallization from dichloromethane layered with hexane. The crystal structure exhibited a mononuclear Ag(I) complex with a linear geometry, which is attributed to the unique steric effect at C(5) on the ImPy. Similar structural features were observed in other previously reported Ag(I) chloride complexes with ImPy [98].
Figure 2.
Molecular structure of 5. Thermal ellipsoids are set at 50% probability. Hydrogen atoms have been omitted for clarity.
2.3. Synthesis and Structural Analysis of Nickel(II) Complexes
ImPy Ag(I) complexes (5, 6a–6e, 11) were employed for subsequent transmetalation with (DME)NiCl2 (DME as dimethoxyethane) to afford Ni(II) complexes (7, 8a–8e, 12) in up to 99% yield (Scheme 1). All complexes were analyzed by elemental analysis and UV spectroscopy. Ni complexes could not be analyzed by NMR spectroscopy owing to their paramagnetic properties. Magnetic susceptibility in the solid-state was measured by magnetic susceptibility balance. Effective magnetic moments (μeff = 2.56–3.09 BM, 297 K) were found to be similar to the spin-only value (2.87 BM, S = 1) [99], which demonstrates that the Ni(II) complexes are paramagnetic species, high-spin d8 ions with two unpaired electrons.
Structural characterization of 7, 8b, and 12 were established by X-ray crystallography. Single crystals of 7, 8b, and 12 suitable for X-ray diffraction analysis were grown through the slow diffusion of n-hexane into a saturated solution of dichloromethane. Three complexes were observed as desired monomeric Ni(II) complexes with four-coordinated species (Figure 3, Figure 4 and Figure 5). The Ni(II) center displays a distorted tetrahedral geometry. The most remarkable structural feature of 7, 8b, and 12 is the coordination of the carbene carbon and pyridine nitrogen (N) to the Ni(II) center, displaying a bidentate C, N chelating mode that yields a six-membered nickelacycle.
Figure 3.
Molecular structure of 7. Thermal ellipsoids are set at 50% probability. Hydrogen atoms have been omitted for clarity. Selected bond lengths [Å] and angles [°]: Ni(1)–C(1) 1.937(2), Ni(1)–N(3) 2.008(2), Ni(1)–Cl(1) 2.2077(8), Ni(1)–Cl(2) 2.2439(7); C(1)–Ni(1)–N(3) 92.84(9). Selected torsion angles [°]: C(1)–N(1)–C(7)–C(8) -1.1(4), N(1)–C(7)–C(8)–N(3) -8.4(3), C(7)–C(8)–N(3)–Ni(1) 15.6(3), C(8)–N(3)–Ni(1)–C(1) -11.7 (2), N(3)–Ni(1)–C(1)–N(1) 2.4(2), Ni(1)–C(1)–N(1)–C(7) 2.7 (3).
Figure 4.
Molecular structure of 8b. Thermal ellipsoids are set at 50% probability. Hydrogen atoms have been omitted for clarity. Selected bond lengths [Å] and angles [°]: Ni(1)–C(1) 1.947(2), Ni(1)–N(3) 2.015(1), Ni(1)–Cl(1) 2.2124(6), Ni(1)–Cl(2) 2.2377(6); C(1)–Ni(1)–N(3) 91.83(6). Selected torsion angles [°]: C(1)–N(2)–C(7)–C(8) -15.8(2), N(2)–C(7)–C(8)–N(3) 32.0(2), C(7)–C(8)–N(3)–Ni(1) -10.7(2), C(8)–N(3)–Ni(1)–C(1) -16.4(1), N(3)–Ni(1)–C(1)–N(2) 30.8(1), Ni(1)–C(1)–N(2)–C(7) -20.3(2).
Figure 5.
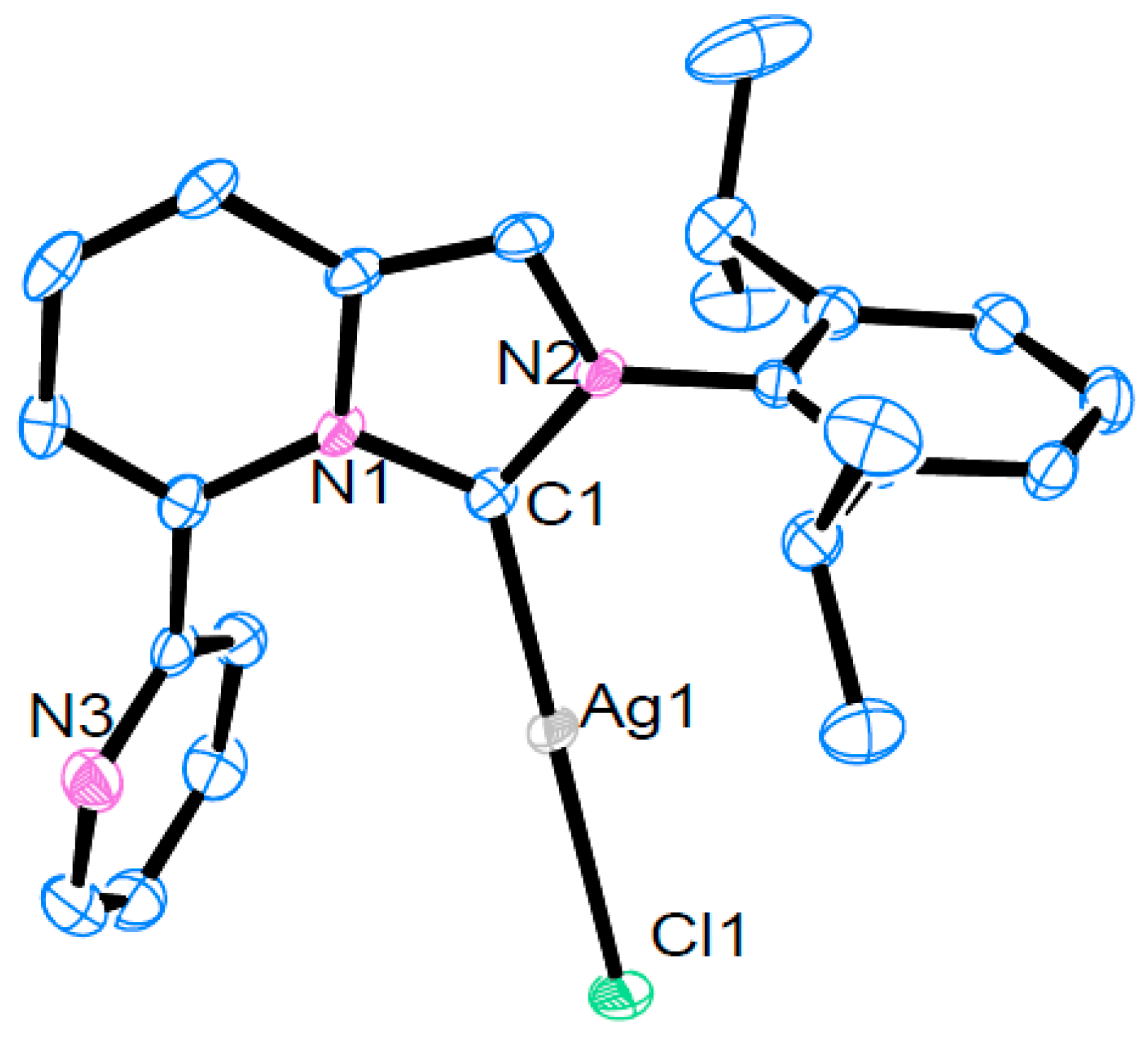
Molecular structures of 12. Thermal ellipsoids are set at 50% probability. Hydrogen atoms have been omitted for clarity. Selected bond lengths [Å] and angles [°]: Ni(1)–C(1) 1.991(9), Ni(1)–N(5) 2.047(8), Ni(1)–Cl(2) 2.224(2), Ni(1)–Cl(3) 2.273(3); C(1)–Ni(1)–N(5) 92.0(3). Selected torsion angles [°]: C(1)–N(2)–C(17)–C(3) 57(1), N(2)–C(17)–C(3)–N(5) -51(1), C(17)–C(3)–N(5)–Ni(1) 3(1), C(3)–N(5)–Ni(1)–C(1) 30.4(7), N(5)–Ni(1)–C(1)–N(2) -26.7(7), Ni(1)–C(1)–N(2)–C(17) -10(1).
The Ni–C1 bonds of 7 and 8b complexes have lengths of 1.937(2) and 1.947(2) Å, respectively, which are 0.04~0.05 Å shorter than that of 12 (1.991(9)). The bond lengths between the Ni and the N donors in 7 and 8b complexes are 2.008(2) and 2.015(1) Å, respectively—that is, ~0.03–0.04 Å shorter than that of 12 (2.047(8)). The bidentate py-ImPy ligands result in acute bite angles of 92.84(9)°, 91.83(6)° and 92.0(3)° in 7, 8b and 12, respectively (vs. 109.5° in tetrahedral geometry), and inclinations of the Ni(1)–C(1) bond by 3.2°, 16.4° and 9.8°, respectively, to the axis defined by the centroid of the imidazole plane and the carbene carbon atom C1 [87,100].
The torsion angles of C(1)–N(1)–C(7)–C(8) and N(1)–C(7)–C(8)–N(3) in 7 are −1.1° and −8.4°, respectively, while those of C(1)–N(2)–C(7)–C(8) and N(2)–C(7)–C(8)–N(3) in 8b are −15.8° and 32.0°, respectively (Figure 3 and Figure 4). They are smaller than those of 12, which are 57° and −51°, respectively (Figure 5). Note that py-ImPy ligands containing aromatic N-fused heterobicyclic skeletons contain more rigid six-membered chelate rings than that by N-picolyl-ImPy ligand, thus showing a stronger chelating effect.
2.4. Nickel Mediated Acrylate Synthesis from Ethylene Using CO2
Newly prepared ligand precursors (3, 4a–4e, 10) were tested in the “in-situ” Ni(II)-mediated C-H carboxylation of ethylene using CO2, which was modified from Vogt’s reaction conditions (Scheme S1). Interestingly, the activities (up to 50% acrylate) were observed only for the py-ImPyR ligand salts (3, 4a–4e) bearing the pyridine chelating group at the C(5) position. On the other hand, no acrylate product was observed when non-pyridine bidentate ImPy ligand precursors were used, for example, bis-ImPy, OMe-ImPy, and O = P-ImPy. Moreover, no acrylate was detected when typical monodentate NHC ligands were used such as ImPy·HCl or IPr·HCl. Although the ligand screening using the in situ generation method might not accurately reflect the inherent ability of the ligands to promote the reaction, it could provide a reasonable starting point to develop as novel carbene ligands for the C-H carboxylation reaction.
We then examined whether the isolated Ni(II) complexes (7, 8a–8b, 12) could yield lithium acrylates under similar reaction conditions (Table 1). We were pleased to find that 7, 8b showed better yields than that of 12 (entry 1, 3 vs. entry 7). In particular, 8b bearing tert-butyl substituents on the py-ImPy backbone yielded lithium acrylate in slightly stoichiometric amounts (entries 2–6, up to 80% acrylate). The ligand sterics are known to affect the catalytic performance in ethylene–CO2 coupling reaction (entries 19–20) [32,36]. Thus, we have further varied the ligand structure of the Ni(II) complexes (8a, 8c–8e) by modulating the aniline unit of the Ni complex 8b. Overall, Ni(II) complexes having tert-butyl pyridine units (8a–8e) showed higher efficiency than that of complex 7 without tert-butyl groups. The activity of complex 8a having a smaller 2,6-diethylphenyl group was similar to that of 8b having the 2,6-diisopropylphenyl group (entry 2 vs. entry 3). Complex 8c replacing an isopropyl group on the aryl ring with n-propyl group afforded a slightly over-stoichiometric yield (entry 4, 108% acrylate, TON 1). The complexes having a methylnaphthalenyl group (8d) or very bulky 2,6-(Ph2CH)2-4-Me-C6H2 group (8e) showed relatively low activity (entries 5–6 vs. entry 3). These results might suggest that reactivity could be related to the stronger chelating effect by a more rigid and planar six-membered chelate ring (Figure 3).
Table 1.
Isolated Ni(II) complexes for Ni mediated acrylate synthesis.
In an effort to improve the yield of acrylate, we were intrigued by the idea of adding monodentate phosphines (Scheme S2). It has been reported that phosphines could prevent catalyst decomposition in the reaction for acrylate formation [40,101]. Certain monodentate phosphines, like PCy3, were proved to be beneficial, as catalytic activities of up to 845% acrylate (TON of 8.4) were demonstrated (entries 8–13). It is interesting to note that in the absence of py-ImPy ligand, PCy3 alone did not show reactivity (entry 14). As a reference point, the bidentate bisphosphine ligands such as bis(diphenylphosphino)ethane (DPPE), DCPE, bis(diphenylphosphino)propane (DPPP) and bis(dicyclohexylphosphanyl)propane (DCPP) were performed with (DME)NiBr2 in the similar reaction conditions (entries 15–18, Scheme S3), as they are known to be good ligands in the literature (entries 19–20) [32,33,34,35,36,37,38]. Although bipyridines have been known as potential ligands for Ni-mediated oxidative coupling of CO2 and ethylene [13], typical bipyridine ligands such as bpy and 4,4′-di-tert-butyl-2,2′-dipyridine (Dtbbpy) were entirely ineffective (entries 21–22). Thus, the activity was only observed for the ImPy ligands bearing the pyridine chelating group at the C(5) position. It was found that the reactivity of the most active catalysts, such as 8b/PCy3 (TON 8), is comparable to those of (DME)NiBr2/DPPP (TON 9) and Ni(COD)2/DCPP(TON 14).
2.5. Optimization of Reaction Conditions Using the Combination 8b and PCy3
To optimize the reaction conditions for acrylate synthesis using the combination of 8b and PCy3, we have systematically varied several parameters, including the base and the solvent (Table 2). The role of Et3N in the lithium acrylate synthesis helps to remove HI generated during the reaction, which is known to be similar to the role in Ni Heck-type reaction [32]. Therefore, several weak bases to abstract HI, such as diisopropylethylamine (DIPEA), pyridine (py), K2CO3, Cs2CO3, 1,4-diazabicyclo [2.2.2] octane (DABCO), and tetramethylethylenediamine (TMEDA), were screened (entries 2–7). Among them, only organic bases, such as DIPEA and pyridine, showed reactivities, but these were significantly lower than that of Et3N (entries 2–3). Strong alkoxide bases such as sodium 2-fluorophenoxide (2-F-PhONa), sodium 2,6-dimethylphenoxide (2,6-Me-PhONa) and t-BuOK did not produce any acrylate (entries 8–12) [33,34]. In addition, the sodium iodide (NaI) did not produce the product (entry 13). Therefore, Et3N/LiI was chosen for the next catalysis experiments. Subsequently, we investigated the effect of solvents on the acrylate synthesis (entries 14–21). First, we screened weakly coordinating solvents such as toluene, anisole, benzene, and 2-chlorotoluene (2-Cl-Tol), as they are effective solvents reported in the Vogt′s system [32,42]. Although these solvents were suitable in acrylate synthesis (54%–799% acrylate), PhCl is still the most effective solvent. Next, screening of other solvents such as THF, CH2Cl2, DMF and 1,4-dioxane did not give any acrylate, suggesting that more strongly coordinating solvents could hinder the weakly binding substrate from coordinating to the metal center [32]. The reaction performed without Zn did not proceed, confirming the importance of Zn as a reducing agent (entry 22). Et3N base and weakly coordinating solvents that were favored in the Vogt conditions, are also effective in this system [32].
Table 2.
Reaction optimization for Ni-catalyzed acrylate synthesis from ethylene and CO2.
3. Materials and Methods
3.1. General Remarks
All air- and moisture-sensitive reactions were performed under an argon atmosphere either using Schlenk techniques or a glove box. All reactions involving the formation of acrylate from ethylene and CO2 were carried out in 100 mL stainless steel autoclaves (Hanwoul Engineering Co., Gunpo-si, Republic of Korea). Nuclear magnetic resonance (NMR) (JEOL, Tokyo, Japan) spectra were recorded on a JEOL 400 spectrometer, operated at 400 MHz for 1H NMR and at 100 MHz for 13C NMR. Chemical shifts (ppm) for 1H were referenced to the residual solvent peak (CDCl3 = δ 7.26 ppm, CD2Cl2 = δ 5.32 ppm, CD3OD = δ 3.31 ppm, (CD3)2SO = 2.50 ppm, D2O = δ 4.79 ppm). Multiplicities were recorded as s (singlet), d (doublet), t (triplet), q (quartet), sept (septet), or m (multiplet). Chemical shifts (ppm) for 13C were referenced relative to the residual solvent peak (CD2Cl2 = δ 53.84 ppm, CD3OD = δ 49.00 ppm, (CD3)2SO = 39.52 ppm). High-resolution mass spectra (HRMS) were recorded on a JEOL JMS-700 MStation mass spectrometer (JEOL, Tokyo, Japan). Elemental analyses were carried out with an UNICUBE Elemental Analyzer (Elementar, Langenselbold, Germany). The magnetic susceptibilities of nickel complexes were measured in the solid state using a magnetic susceptibility balance (Sherwood Scientific, Cambridge, UK). Diamagnetic corrections were ignored. UV/vis measurements of nickel complexes were carried out in CH2Cl2 solution using a Perkin-Elmer UV/VIS NIR Spectrometer Lambda 950 (Perkin Elmer, Shelton, USA). Analytical thin layer chromatography (TLC) (Merck KGaA, Darmstadt, Germany) was performed with Merck pre-coated silica gel 60 Ǻ (F254) glass plates and visualization on TLC was achieved by UV light. Flash chromatography was performed with 230–400 Mesh 60 Ǻ Silica Gel purchased from Merck Inc.
3.2. Materials
Ethylene gas (99.999%) and carbon dioxide (99.99%) were purchased from Sinil Gas Co. Ethylene was purified by passing through a column packed with BASF catalyst R3–11G, activated carbon and 4 Å molecular sieves. Carbon dioxide was dried by passing through a column packed with 4 Å molecular sieves. All the chemicals were purchased from Aldrich, Acros, TCI, or Alfa-Aesar Chemical Co. and used as received unless otherwise noted. Anhydrous tetrahydrofuran (THF), diethyl ether (Et2O), dichloromethane (CH2Cl2) and dimethylformamide (DMF) were dried using a J.C. Meyer solvent purification system. Triethyl amine, toluene and hexane were distilled from calcium hydride. 2-Picolyl amine and 2,6-diisopropylaniline were distilled via short path distillation. Methanol and ethanol were dried over 4 Å molecular sieves. The following compounds were prepared based on the original and/or modified procedures: 2,2′-bipyridine-6-carbaldehyde 1 [102], 4,4′-di-tert-butyl-6-methyl-2,2′-bipyridine 2 [92], 6-mesityl-pyridine-2-carboxaldehyde 9 [103], 2-isopropyl-6-propylaniline [104], and 2,6-dibenzhydryl-4-methylaniline [105].
3.3. Synthesis of Ligand Precursors. General Procedure
Aldehyde (1 equiv), aniline (1–1.05 equiv) and ethanol or methanol (0.1–0.2 M) were added to a Schlenk flask equipped with a magnetic stirrer and sealed with a rubber septum tightened with a cable tie. The mixture was stirred at 90 °C for 24–48 h. The solvent was removed under reduced pressure. If needed, the crude was purified by basic column chromatography. Then, imine derivatives were transferred to a Schlenk tube equipped with a Teflon-valve. The solvent was removed by blowing nitrogen gas and using vacuum. Subsequently, chloromethyl ethyl ether (20 equiv) was added and stirred at 90 °C. After cooling to room temperature, the volatiles were removed by rotary evaporation and recrystallization with dichloromethane and hexane. The crude solids were purified through flash column chromatography and recrystallization with dichloromethane and hexane.
2-(2,6-diisopropylphenyl)-5-(pyridin-1-ium-2-yl)-2H-imidazo[1,5-a]pyridinium dichloride (3): Following the general procedure of ligand precursors, a product 3 (172 mg, 76% yield) was obtained as white solid from 2, 2′-bipyridine-6-carbaldehyde 1 (98 mg, 0.53 mmol), 2,6-diisopropylaniline (0.10 mL, 0.53 mmol), formic acid (1 drop), methanol (5 mL) and chloromethyl ethyl ether (1 mL, 10.6 mmol). The cyclization of imine derivative with chloromethyl ethyl ether was completed in 3 days. The crude product was purified through flash column chromatography (CH2Cl2:CH3OH = 8:1). 1H NMR (400 MHz, CD2Cl2) δ 10.66 (d, J = 1.8 Hz, 1H), 8.71 (s, 2H), 8.53 (d, J = 9.1 Hz, 1H), 8.25 (d, J = 8.2 Hz, 1H), 8.09–8.01 (m, 2H), 7.70–7.61 (m, 2H), 7.51 (dd, J = 7.6, 4.9 Hz, 1H), 7.43 (d, J = 7.8 Hz, 2H), 2.22 (sept, J = 7.3 Hz, 2H), 1.23 (d, J = 6.8 Hz, 6H), 1.18 (d, J = 6.8 Hz, 6H). 13C NMR (100 MHz, CD2Cl2) δ 150.36, 149.00, 145.44, 138.65, 132.79, 132.67, 132.33, 131.17, 127.33, 125.93, 125.38, 124.92, 123.86, 121.28, 120.52, 117.83, 54.38, 54.11, 53.84, 53.57, 53.30, 28.95, 24.39, 24.35 HR-MS (FAB): calcd. for C24H26N3 [M-H-2Cl] 356.2127 found 356.2119. Elemental analysis (%) calcd. for C24H27Cl2N3: C, 67.29; H, 6.35; N, 9.81. Found: C, 67.33; H, 6.51; N, 9.75.
7-(tert-butyl)-5-(4-(tert-butyl)pyridin-2-yl)-2-(2,6-diethylphenyl)-2,3-dihydroimidazo[1,5-a]pyridinium chloride (4a): Following the general procedure of ligand precursors, a product 4a (265 mg, 83% yield) was obtained as a beige solid from 4,4′-di-tert-butyl-[2,2′-bipyridine]-6-carbaldehyde 2 (200 mg, 0.67 mmol), 2,6-diethylaniline (0.10 mL, 0.67 mmol), ethanol (3.4 mL) and chloromethyl ethyl ether (1.25 mL, 13.4 mmol). The cyclization of imine derivative with chloromethyl ethyl ether was completed in 24 h. The crude product was purified through flash column chromatography (CH2Cl2:AcOEt:CH3OH = 4.5:0.5:0.5). 1H NMR (400 MHz, CD2Cl2) δ 10.28 (d, J = 1.7 Hz, 1H), 8.76 (d, J = 1.9 Hz, 1H), 8.62 (d, J = 5.3 Hz, 1H), 8.34 (d, J = 1.1 Hz, 1H), 7.92 (d, J = 1.6 Hz, 1H), 7.69 (d, J = 1.7 Hz, 1H), 7.56 (t, J = 7.8 Hz, 1H), 7.51 (dd, J = 5.3, 1.7 Hz, 1H), 7.35 (d, J = 7.8 Hz, 2H), 2.43–2.18 (m, 4H), 1.47 (s, 9H), 1.44–1.39 (m, 9H), 1.14 (t, J = 7.6 Hz, 6H). 13C NMR (100 MHz, CD2Cl2) δ 163.10, 150.58, 149.34, 149.07, 140.77, 133.40, 133.09, 133.03, 131.97, 127.53, 126.38, 122.97, 120.56, 119.37, 116.68, 114.95, 54.38, 54.11, 53.84, 53.57, 53.30, 35.66, 35.50, 30.53, 30.08, 24.35, 15.25. HR-MS (FAB): calcd. for C30H38N3 [M-Cl] 440.3066 found 440.3068. Elemental analysis (%) calcd. for C30H38ClN3: C, 75.68; H, 8.05; N, 8.83. Found: C, 75.42; H, 8.301; N, 8.61.
7-(tert-butyl)-5-(4-(tert-butyl)pyridin-2-yl)-2-(2-isopropyl-6-propylphenyl)-2,3-dihydroimidazo[1,5-a]pyridinium chloride (4c): Following the general procedure of ligand precursors, a product 4c (228 mg, 67% yield) was obtained as white solids from 4,4′-di-tert-butyl-[2,2’-bipyridine]-6-carbaldehyde 2 (200 mg, 0.67 mmol), 2-isopropyl-6-propylaniline (119 mg, 0.67 mmol), ethanol (3.4 mL) and chloromethyl ethyl ether (1.25 mL, 13.4 mmol). The cyclization of imine derivative with chloromethyl ethyl ether was completed in 24 h. The crude product was purified through flash column chromatography (hexane:AcOEt:CH3OH = 3.5:0.5:0.5). 1H NMR (400 MHz, CD2Cl2) δ δ 10.26 (s, 1H), 8.71 (d, J = 1.9 Hz, 1H), 8.61 (dd, J = 5.3, 0.8 Hz, 1H), 8.33 (s, 1H), 7.94 (dd, J = 1.8, 0.7 Hz, 1H), 7.71 (d, J = 1.8 Hz, 1H), 7.58 (t, J = 7.8 Hz, 1H), 7.51 (dd, J = 5.3, 1.8 Hz, 1H), 7.40 (dd, J = 7.9, 1.4 Hz, 1H), 7.31 (dd, J = 7.7, 1.4 Hz, 1H), 2.31–2.15 (m, 3H), 1.60–1.52 (m, 2H), 1.48 (s, 9H), 1.42 (s, 9H), 1.21 (d, J = 6.8 Hz, 3H), 1.15 (d, J = 6.8 Hz, 3H), 0.83 (t, J = 7.3 Hz, 3H). 13C NMR (100 MHz, CD2Cl2) δ 163.12, 150.54, 149.30, 149.20, 145.63, 139.21, 133.37, 133.01, 132.27, 131.98, 128.01, 126.54, 125.09, 122.99, 120.52, 119.44, 116.81, 114.89, 35.68, 35.51, 33.20, 30.52, 30.08, 28.88, 24.42, 24.40, 24.34, 13.98. HR-MS (FAB): calcd. for C32H42N3 [M-Cl] 468.3379 found 468.3377. Elemental analysis (%) calcd. for C32H42ClN3: C, 76.24; H, 8.4; N, 8.33. Found: C, 76.34; H, 8.749; N, 8.22.
7-(tert-butyl)-5-(4-(tert-butyl)pyridin-2-yl)-2-(2-methylnaphthalen-1-yl)-2,3-dihydroimidazo [1,5-a] pyridinium chloride (4d): Following the general procedure of ligand precursors, a product 4d (227 mg, 70% yield) was obtained as white solids from 4,4′-di-tert-butyl-[2,2′-bipyridine]-6-carbaldehyde 2 (200 mg, 0.67 mmol), 2-methylnaphthalen-1-amine (105 mg, 0.67 mmol), ethanol (3.4 mL) and chloromethyl ethyl ether (1.25 mL, 13.4 mmol). The cyclization of imine derivative with chloromethyl ethyl ether was completed in 2 days. Then, the crude product was purified through flash column chromatography (hexane:AcOEt:CH3OH = 3.5:0.5:0.5). 1H NMR (400 MHz, CD2Cl2) δ 10.41 (s, 1H), 8.87 (s, 1H), 8.57 (d, J = 5.3 Hz, 1H), 8.42 (s, 1H), 8.07 (d, J = 8.5 Hz, 1H), 7.98 (d, J = 7.3 Hz, 1H), 7.93 (d, J = 1.2 Hz, 1H), 7.73 (s, 1H), 7.52 (m, 4H), 7.03 (d, J = 8.3 Hz, 1H), 2.30 (s, 3H), 1.48 (s, 9H), 1.40 (s, 9H). 13C NMR (100 MHz, CD2Cl2) δ 162.99 (s), 150.56 (s), 149.31, 149.12, 133.91 (s), 133.49, 133.31, 132.62 (s), 131.69 (s), 129.66, 129.57, 129.03 (s), 128.63, 128.59, 127.04 (s), 126.79 (s), 122.87 (s), 120.63, 120.61, 119.41 (s), 116.96 (s), 114.97 (s), 35.63 (s), 35.42 (s), 30.47 (s), 30.05 (s), 17.98 (s). HR-MS (FAB): calcd. for C31H34N3 [M-Cl] 448.2753 found 448.2751. Elemental analysis (%) calcd. for C31H34ClN3: C, 76.92; H, 7.08; N, 8.68. Found: C, 77.02; H, 6.627; N, 8.45.
7-(tert-butyl)-5-(4-(tert-butyl)pyridin-2-yl)-2-(2,6-dibenzhydryl-4-methylphenyl)-2,3-dihydroimidazo[1,5-a]pyridinium chloride (4e): Following the general procedure of ligand precursors, a product 4e (464 mg, 85% yield) was obtained as white solids from 4,4′-di-tert-butyl-[2,2′-bipyridine]-6-carbaldehyde 2 (500 mg, 0.71 mmol), 2,6-dibenzhydryl-4-methylaniline (312 mg, 0.71 mmol), ethanol (3.5 mL) and chloromethyl ethyl ether (1.33 mL, 14.2 mmol). The cyclization of imine derivative with chloromethyl ethyl ether was completed in 2 days. The crude product was purified through flash column chromatography (CH2Cl2:CH3OH = 10:1). The remaining byproduct was removed by recrystallization with CH2Cl2/hexane at a low temperature. 1H NMR (400 MHz, CD2Cl2) δ 8.96 (d, J = 1.9 Hz, 1H), 8.35 (dd, J = 1.9, 0.8 Hz, 1H), 8.13 (dd, J = 5.3, 0.7 Hz, 1H), 8.07 (dd, J = 1.6, 0.6 Hz, 1H), 7.66 (dd, J = 1.8, 0.7 Hz, 1H), 7.43 (d, J = 1.7 Hz, 1H), 7.41 (dd, J = 5.3, 1.8 Hz, 1H), 7.30–7.17 (m, 6H), 7.09–7.05 (m, 4H), 6.99–6.93 (m, 4H), 6.83 (s, 2H), 6.81–6.72 (m, 6H), 5.14 (s, 2H), 2.25 (s, 3H), 1.45 (s, 9H), 1.44 (s, 9H). 13C NMR (100 MHz, CD2Cl2) δ 162.60, 150.07, 148.75, 148.43, 142.40, 141.86, 141.52, 141.49, 132.86, 131.92, 131.49, 130.52, 129.88, 128.90, 128.77, 128.67, 128.34, 127.30, 127.18, 122.30, 120.11, 118.43, 116.06, 114.31, 52.22, 35.57, 35.42, 30.60, 30.07, 21.93. HR-MS (FAB): calcd. for C53H52N3 [M-Cl] 730.4161 found 730.4165. Elemental analysis (%) calcd. for C53H52ClN3: C, 83.05; H, 6.84; N 5.48,. Found: C, 83.01; H, 6.985; N, 5.25.
5-mesityl-2-(pyridin-1-ium-2-ylmethyl)-2H-imidazo[1,5-a]pyridinium dichloride (10): The synthetic method for compound 10 is almost analogous to the procedure reported by Aron [97]. Picolinamine (0.18 mL, 1.70 mmol) and paraformaldehyde (80 mg, 2.67 mmol) were stirred in 3.6 mL of ethanol at room temperature for 12 h. Subsequently, 1.25 M HCl in ethanol (2.8 mL, 3.56 mmol) and 6-mesityl-pyridine-2-carboxaldehyde 9 (396 mg, 1.76 mmol) were added and the reaction was maintained at room temperature for 6 h. The solvent was removed by rotary evaporation and the crude mixture was purified using column chromatography (silica, CH2Cl2:CH3OH = 8:1). Recrystallization from CH3OH/CH2Cl2/ether afforded an ivory powder 10 (443 mg, 63% yield). 1H NMR (400 MHz, CD2Cl2) δ 9.28 (s, 1H), 8.97 (d, J = 1.6 Hz, 1H), 8.43 (d, J = 4.8 Hz, 1H), 7.93 (d, J = 7.8 Hz, 1H), 7.79 (d, J = 9.4 Hz, 1H), 7.68 (td, J = 7.7, 1.8 Hz, 1H), 7.29 (dd, J = 9.4, 6.8 Hz, 1H), 7.22 (ddd, J = 7.6, 4.8, 1.1 Hz, 1H), 7.07 (s, 2H), 6.90 (dd, J = 6.8, 1.0 Hz, 1H), 6.25 (s, 2H), 2.34 (s, 3H), 2.00 (s, 6H). 13C NMR (100 MHz, CD2Cl2) δ 153.3, 149.7, 141.2, 137.6, 137.5, 134.4, 130.4, 129.5, 127.0, 125.1, 124.9, 124.4, 124.0, 119.3, 117.7, 116.0, 54.8, 21.2, 19.3 HR-MS (FAB): calcd. for C22H22N3 [M-H-2Cl] 328.1814 found 328.1839. Elemental analysis (%) calcd. for C22H23Cl2N3: C, 66.00; H, 5.79; N, 10.50. Found: C, 66.2; H, 6.239; N, 10.52.
3.4. Synthesis of Ag(I) Complexes. General Procedure
In the absence of light, ligand precursors (1 equiv) and Ag2O (2 equiv) in CH2Cl2 (0.084 M) were stirred in a Schlenk flask at room temperature for 23 h. The crude solution was filtered through a Celite pad with CH2Cl2. The volatiles were evaporated in vacuo and washed with distilled hexane (if needed, the crude products were recrystallized using CH2Cl2 with hexane).
Synthesis of Ag(I) complex 5: Following the general procedure of Ag (I) complex, a product 5 (292 mg, 84% yield) was obtained as a light-yellow solid from ligand precursor 3 (300 mg, 0.77 mmol), Ag2O (360 mg, 1.55 mmol), and CH2Cl2 (9 mL). X-ray quality crystals were gained by the liquid diffusion of hexane into saturated CH2Cl2 at room temperature in the dark. 1H NMR (400 MHz, CD2Cl2) δ 8.79 (d, J = 4.9 Hz, 1H), 7.92 (td, J = 7.7, 1.8 Hz, 1H), 7.71 (d, J = 7.8 Hz, 1H), 7.59 (d, J = 9.3 Hz, 1H), 7.57–7.46 (m, 3H), 7.31 (d, J = 7.8 Hz, 2H), 7.13 (dd, J = 9.3, 6.7 Hz, 1H), 6.83 (dd, J = 6.7, 1.2 Hz, 1H), 2.24 (sept, J = 6.8 Hz, 2H), 1.19 (d, J = 6.9 Hz, 6H), 1.13 (d, J = 6.9 Hz, 6H). 13C NMR (100 MHz, CD2Cl2) δ 152.92, 151.17, 145.77, 138.84, 137.98, 136.36, 132.81, 132.74, 130.85, 125.29, 125.05, 124.43, 123.56, 118.54, 117.17, 114.94, 114.88, 54.38, 54.11, 53.84, 53.57, 53.30, 28.56, 24.57, 24.54. Elemental analysis (%) calcd. for C24H25AgClN3: C, 57.79; H, 5.05; N, 8.42. Found: C, 57.76; H, 5.176; N, 8.40.
Synthesis of Ag(I) complex 6a: Following the general procedure of Ag (I) complex, a product 6a (352 mg, 96% yield) was obtained as a light-yellow solid from ligand precursor 4a (300 mg, 0.63 mmol), Ag2O (292 mg, 1.26 mmol), and CH2Cl2 (7.5 mL). 1H NMR (400 MHz, CD2Cl2) δ 8.66 (dd, J = 5.3, 0.7 Hz, 1H), 7.66–7.63 (m, 1H), 7.49–7.41 (m, 2H), 7.39 (d, J = 1.9 Hz, 2H), 7.25 (d, J = 7.7 Hz, 2H), 6.87 (dd, J = 1.9, 0.5 Hz, 1H), 2.33–2.16 (m, 4H), 1.37 (d, J = 0.7 Hz, 18H), 1.12 (t, J = 7.6 Hz, 6H). 13C NMR (100 MHz, CD2Cl2) δ 161.70, 152.87, 150.85, 146.78, 141.09, 138.96, 138.29, 133.10, 133.03, 130.35, 127.04, 122.46, 116.74 (s), 113.80, 113.74, 111.69, 35.26, 35.12, 30.58, 29.98, 24.39, 15.54. Elemental analysis (%) calcd. for C30H37AgClN3: C, 61.81; H, 6.4; N, 7.21. Found: C, 62.19; H, 6.49; N, 7.06.
Synthesis of Ag(I) complex 6b: Following the general procedure of Ag (I) complex, a product 6b (406 mg, 84% yield) was obtained as a light-yellow solid from ligand precursor 4b (400 mg, 0.79 mmol), Ag2O (371 mg, 1.60 mmol) and CH2Cl2 (9 mL). 1H NMR (400 MHz, CD2Cl2) δ 8.68 (d, J = 5.4 Hz, 1H), 7.68 (d, J = 1.9 Hz, 1H), 7.52 (t, J = 7.8 Hz, 1H), 7.48 (dd, J = 5.4, 1.9 Hz, 1H), 7.40 (d, J = 1.6 Hz, 2H), 7.30 (d, J = 7.8 Hz, 2H), 6.92 (d, J = 2.0 Hz, 1H), 2.26 (sept, J = 6.8 Hz, 2H), 1.38 (d, J = 6.0 Hz, 18H), 1.18 (d, J = 6.9 Hz, 6H), 1.13 (d, J = 6.9 Hz, 6H). 13C NMR (100 MHz, CD2Cl2) δ 161.46, 152.68, 150.89, 146.99, 145.80, 138.95, 136.45, 133.15, 133.08, 130.78, 124.41, 122.44, 122.43, 116.86, 114.21, 114.15, 111.65, 35.27, 35.15, 30.58, 29.99, 28.60, 24.63, 24.53. Elemental analysis (%) calcd. for C32H41AgClN3: C, 62.90; H, 6.76; N, 6.88. Found: C, 62.98; H, 6.612; N, 6.76.
Synthesis of Ag(I) complex 6c: Following the general procedure of Ag (I) complex, a product 6c (370 mg, 81% yield) was obtained as a light-yellow solid from ligand precursor 4c (380 mg, 0.75 mmol), Ag2O (349 mg, 1.50 mmol), and CH2Cl2 (9 mL). 1H NMR (400 MHz, CD2Cl2) δ 8.67 (dd, J = 5.3, 0.8 Hz, 1H), 7.66 (dd, J = 1.9, 0.8 Hz, 1H), 7.49–7.44 (m, 2H), 7.39 (dd, J = 2.9, 1.4 Hz, 2H), 7.30 (dd, J = 7.9, 1.4 Hz, 1H), 7.22 (dd, J = 7.6, 1.4 Hz, 1H), 6.90 (d, J = 1.9 Hz, 1H), 2.31–2.11 (m, 3H), 1.64–1.50 (m, 2H), 1.37 (d, J = 4.4 Hz, 18H), 1.18 (d, J = 6.9 Hz, 3H), 1.11 (d, J = 6.9 Hz, 3H), 0.83 (t, J = 7.3 Hz, 3H). 13C NMR (100 MHz, CD2Cl2) δ 161.50, 152.74, 150.87, 146.87, 146.04, 139.43, 138.95, 137.53, 133.10, 133.04, 130.38, 127.51, 124.60, 122.43, 116.81, 114.07, 114.00, 111.68, 35.25, 35.14, 33.47, 30.58, 29.99, 28.41, 24.63, 24.56, 24.51, 14.28. Elemental analysis (%) calcd. for C32H41AgClN3: C, 62.9; H, 6.76; N, 6.88. Found: C, 63.22; H, 7.007; N, 6.59.
Synthesis of Ag(I) complex 6d: Following the general procedure of Ag (I) complex, a product 6d (353 mg, 96% yield) was obtained as a yellow solid from ligand precursor 4e (300 mg, 0.62 mmol), Ag2O (287 mg, 1.24 mmol), and CH2Cl2 (7 mL). 1H NMR (400 MHz, CD2Cl2) δ 8.66 (d, J = 5.3 Hz, 1H), 7.95 (dd, J = 13.3, 8.2 Hz, 2H), 7.68 (dd, J = 1.9, 0.7 Hz, 1H), 7.53–7.42 (m, 6H), 7.04 (d, J = 8.5 Hz, 1H), 6.92 (d, J = 1.9 Hz, 1H), 2.23 (s, 3H), 1.40 (s, 9H), 1.37 (s, 9H). 13C NMR (100 MHz, CD2Cl2) δ 161.89, 152.98, 150.83, 146.94, 139.03, 135.16, 133.44, 132.78, 130.73,130.12, 128.74, 128.39, 128.06, 126.47, 122.53, 122.37, 122.01, 116.86, 114.00, 111.75, 35.25, 35.15, 30.59, 30.00, 18.20. Elemental analysis (%) calcd. for C31H33AgClN3: C, 63.01; H, 5.63; N, 7.11. Found: C, 63.07; H, 5.685; N, 6.95.
Synthesis of Ag(I) complex 6e: Following the general procedure of Ag (I) complex, a product 6e (423 mg, 93% yield) was obtained as a yellow solid from ligand precursor 4f (400 mg, 0.52 mmol), Ag2O (241 mg, 1.04 mmol), and CH2Cl2 (6 mL). 1H NMR (400 MHz, CD2Cl2) δ 8.65 (dd, J = 5.3, 0.8 Hz, 1H), 7.56 (dd, J = 1.9, 0.7 Hz, 1H), 7.48 (dd, J = 5.3, 1.9 Hz, 1H), 7.27–7.11 (m, 12H), 7.01–6.97 (m, 5H), 6.90 (ddd, J = 4.7, 2.5, 0.5 Hz, 4H), 6.83 (s, 2H), 6.81 (d, J = 1.9 Hz, 1H), 6.33 (d, J = 1.7 Hz, 1H), 5.19 (s, 2H), 2.24 (s, 3H), 1.38 (s, 9H), 1.33 (s, 9H). 13C NMR (100 MHz, CD2Cl2) δ 161.67, 152.82, 150.79, 146.22, 142.87, 142.71, 141.51, 140.06, 138.74, 138.72, 136.54, 132.21, 132.15, 130.23, 129.70, 129.60, 128.88, 128.72, 126.94, 126.88, 122.27, 116.66, 114.80, 114.74, 111.58, 51.74, 35.27, 35.02, 30.68, 29.98, 21.89. Elemental analysis (%) calcd. for C53H51AgClN3: C,72.89; H,5.89; N,4.81. Found: C,72.96; H,5.774; N, 4.65.
Synthesis of Ag(I) complex 11: Et3N (2 drops) was added to a Schlenk flask containing activated 4Å molecular sieves (20 mg), ligand 10 (210 mg, 0.64 mmol) and Ag2O (297 mg, 1.28 mmol, 2.01 equiv) in CH2Cl2 (18 mL). The mixture was stirred overnight at room temperature in dark. The crude solution was filtered through a pad of Celite with CH2Cl2. To remove Et3N, purification was carried out by recrystallization from dichloromethane/hexane. The volatiles matters were evaporated in vacuo to give a white solid (240 mg, 80% yield). 1H NMR (400 MHz, CD2Cl2) δ 8.56 (d, J = 4.1 Hz, 1H), 7.69–7.62 (m, 2H), 7.43 (d, J = 9.3 Hz, 1H), 7.26 (d, J = 7.4 Hz, 2H), 7.10 – 6.96 (m, 3H), 6.51 (d, J = 6.6 Hz, 1H), 5.59 (s, 2H), 2.40 (s, 3H), 2.02 (s, 6H). 13C NMR (100 MHz, CD2Cl2) δ 155.54, 150.02, 141.25, 138.56, 137.61, 136.88, 132.88, 130.31, 129.64, 123.78, 123.48, 122.97, 117.13, 116.01, 112.85, 59.66, 21.59, 19.79. Elemental analysis calcd. (%) for C22H21AgClN3: C 56.13, H 4.50, N 8.93; found: C 55.96, H 4.757, N 8.79.
3.5. Synthesis of Ni(II) Complexes. General Procedure
Ag (I) complexes (1 equiv) were added to a 250 mL Teflon-valve Schlenk flask containing (DME)NiCl2 (1 equiv) in a glove box. The flask was removed from the glove box and dichloromethane was added. The resulting solution was stirred at 60 ℃ for 8 h. After cooling to room temperature, the solution was filtered through a glass frit containing Celite under argon atmosphere. The solvent was removed under reduced pressure. The crude mixture was transferred to a vial with distilled CH2Cl2 and recrystallized from CH2Cl2/hexane or washed with hexane. Ni(II) complexes (7, 8a–8e) do not decompose easily in air without moisture. In a low-humidity environment, they can be quickly filtered using celite under normal atmosphere and the solvent can be removed using a rotary evaporator.
Synthesis of Ni(II) complex 7: Following the general procedure of Ni(II) complexes, a product 7 (188 mg, 95% yield) was obtained as a yellow solid from Ag (I) complex 5 (200 mg, 0.40 mmol), (DME)NiCl2 (89 mg, 0.40 mmol), and CH2Cl2 (135 mL). X-ray quality crystals were obtained by the liquid diffusion of hexane into saturated CH2Cl2 at room temperature. Elemental analysis (%) calcd. for C24H25Cl2N3Ni: C, 59.43; H, 5.2; N, 8.66. Found: C, 59.54; H, 5.398; N, 8.27;UV-Vis (CH2Cl2): λ(nm) 411; μeff = 2.99 B.M (at 297K).
Synthesis of Ni(II) complex 8a: Following the general procedure of Ni(II) complexes, a product 8a (97 mg, 66% yield) was obtained as a red-brown powder from Ag (I) complex 6a (151 mg, 0.26 mmol), (DME)NiCl2 (57 mg, 0.26 mmol), and CH2Cl2 (90 mL). Elemental analysis (%) calcd. for C30H37Cl2N3Ni: C, 63.3; H, 6.55; N, 7.38. Found: C, 63.18; H, 6.764; N, 7.27; UV-Vis (CH2Cl2): λ(nm) 409; μeff = 2.86 B.M (at 297K).
Synthesis of Ni(II) complex 8b: Following the general procedure of Ni(II) complexes, a product 8b (170 mg, 89% yield) was obtained as a light-ocher powder from Ag (I) complex 6b (196 mg, 0.32 mmol), (DME)NiCl2 (71 mg, 0.32 mmol), and CH2Cl2 (110 mL). Elemental analysis (%) calcd. for C32H41Cl2N3Ni: C, 64.35; H, 6.92; N, 7.04. Found: C, 64.2; H, 6.584; N, 6.9; UV-Vis (CH2Cl2): λ(nm) 408; μeff = 3.00 B.M (at 297 K).
Synthesis of Ni(II) complex 8c: Following the general procedure of Ni(II) complexes, a product 8c (240 mg, 98% yield) was obtained as a light-ocher powder from Ag (I) complex 6c (250 mg, 0.41 mmol), (DME)NiCl2 (90 mg, 0.41 mmol), and CH2Cl2 (140 mL). UV-Vis (CH2Cl2): λ(nm) 408. Elemental analysis (%) calcd. for C32H41Cl2N3Ni: C, 64.35; H, 6.92; N, 7.04. Found: C, 64.16; H, 7.031; N, 6.87; μeff = 2.56 B.M (at 297 K).
Synthesis of Ni(II) complex 8d: Following the general procedure of Ni(II) complexes, a product 8d (240 mg, 99% yield) was obtained as a dark-brown powder from Ag (I) complex 6e (248 mg, 0.42 mmol), (DME)NiCl2 (92 mg, 0.42 mmol), and CH2Cl2 (145 mL). UV-Vis (CH2Cl2): λ(nm) 407. Elemental analysis (%) calcd. for C31H33Cl2N3Ni: C, 64.51; H, 5.76; N, 7.28. Found: C, 64.25; H, 5.854; N, 6.91; μeff = 2.82 B.M (at 297 K).
Synthesis of Ni(II) complex 8e: Following the general procedure of Ni(II) complexes, a product 8e (290 mg, 99% yield) was obtained as an ocher powder from Ag (I) complex 6f (300 mg, 0.34 mmol), (DME)NiCl2 (75 mg, 0.34 mmol), and CH2Cl2 (117 mL). UV-Vis (CH2Cl2): λ(nm) 417. Elemental analysis (%) calcd. for C53H51Cl2N3Ni: C, 74.06; H, 5.98; N, 4.89. Found: C, 73.72; H, 5.927; N, 4.75; μeff = 3.09 B.M (at 297 K).
Synthesis of Ni(II) complex 12: Following the general procedure of Ni(II) complexes, a product 12 (172 mg, 90% yield) was obtained as a light-brown powder from Ag (I) complex 11 (198 mg, 0.42 mmol), (DME)NiCl2 (92 mg, 0.42 mmol), and CH2Cl2 (140 mL). X-ray quality crystal was obtained by liquid diffusion of n-hexane into aturated CH2Cl2 at room temperature. UV-Vis (CH2Cl2): λ(nm) 490 Elemental analysis (%) calcd. for C22H21Cl2N3Ni: C, 57.82; H, 4.63; N, 9.19. Found: C, 57.66; H, 4.853; N, 9. μeff = 3.0 B.M (at 297 K).
3.6. General Procedure for the Synthesis of Lithium Acrylate Using Ethylene and CO2
Lithium acrylate was synthesized following a modified version of a previously reported procedure.7b Inside a glove box, Ni(II) complex (0.05 mmol), LiI (1.25 mmol) and Zn (2.50 mmol) were added into a 4 mL screw-cap vial equipped with a magnetic stir bar. The vial was removed from the glove box and charged with PhCl (2 mL) via a syringe under argon atmosphere. The vial was then stirred for 3 min, and Et3N (0.35 mL) was injected via a syringe. Under argon atmosphere, the vial was transferred to a 100 mL stainless steel autoclave and was punctured with a flat-cut needle (18 G, 0.6 cm). The autoclave was immediately closed and purged with ethylene gas (10 bar) for 10 min without stirring. The autoclave was pressurized with ethylene (25 bar) and then with CO2 (5 bar) at room temperature. The autoclave was heated to 60 °C in an oil bath for 12 h. After cooling to room temperature, the pressure was released. D2O (1 mL) with sodium 3-(trimethylsilyl)-2,2,3,3-d4-propionate (0.070 mmol), was added to the reaction mixture as an internal standard. After vigorous stirring for 15 min and manual shaking for about 15 min, the D2O layer was separated from organic phase by centrifugation and filtration. The D2O layer was washed with ether (2 mL). The amount of acrylate was determined by 1H NMR of the D2O layer.
4. Conclusions
In conclusion, a series of new pyridine-chelated ImPy ligand precursors (3, 4a–4e, 10) were prepared, and their catalytic efficiencies for Ni mediated acrylate synthesis from ethylene and CO2 were investigated. Additionally, py-ImPyHNi(II)Cl2 complexes (3), py-ImPyt-BuNi(II)Cl2 complexes (4a–4e) and N-picolyl-ImPyNi(II)Cl2 (12) were synthesized from corresponding Ag complexes (5, 6a–6e, 11) through Ag transmetalation protocol and characterized by single-crystal X-ray crystallography. X-ray structures demonstrated that the six-membered chelate rings with a fused pyridine of ImPy were more rigid and planar than those with labile picolyl units at the N atom of ImPy. Ni(II) complexes (7, 8a–8e) with strong chelates yielded up to 108% acrylate (TON 1). Catalytic activities of complex 8b was further improved (TON up to 8.4) by the addition of monodentate phosphine. Currently, we are exploring other NHC ligands in the catalytic acrylate synthesis.
Supplementary Materials
The following are available online at https://www.mdpi.com/2073-4344/10/7/758/s1, Scheme S1: in-situ nickel(II) mediated C-H carboxylation of ethylene using CO2; Scheme S2: Screening of monodentate phosphine additives in acrylate synthesis using ethylene and CO2; Scheme S3: Screening of bisphosphine ligands in acrylate synthesis using ethylene and CO2; Scheme S4: Screening of bidentate N-N ligands in acrylate synthesis using ethylene and CO2; Figure S1: Percent buried volume (%Vbur) of Ni(II) complexes; Figure S2–S45: 1H NMR and 13C{1H} NMR spectrum; Figure S46: UV-Vis spectroscopy of 7, 8a–8e, 12; Table S2: Crystallographic data and parameters for 3, 7, 8b and 12.
Author Contributions
Conceptualization, J.K. and S.H.; methodology, J.K. and S.H.; software, J.K. and S.B.; formal analysis, J.K., H.H., S.B., J.L. and S.H.; investigation, J.K., H.H., J.Y.R., S.B., D.-A.P., S.H.L., H.L. and J.L.; data curation, J.K., J.Y.R. and J.L.; writing—original draft preparation, J.K.; writing—review and editing, J.K. and S.H.; visualization, J.K.; supervision, S.H.; project administration, S.H.; funding acquisition, S.H. All authors have read and agreed to the published version of the manuscript.
Funding
This research was supported by the Korea CCS R&D Center (Korea CCS 2020 Project) grant funded by the Korea government (Ministry of Science, ICT & Future Planning) in 2016 (NRF-2014M1A8A1049301).
Conflicts of Interest
The authors declare no competing financial interest.
References
- Cokoja, M.; Bruckmeier, C.; Rieger, B.; Herrmann, W.A.; Kühn, F.E. Transformation of carbon dioxide with homogeneous transition-metal catalysts: A molecular solution to a global challenge? Angew. Chem. Int. Ed. 2011, 50, 8510–8537. [Google Scholar] [CrossRef] [PubMed]
- Yu, B.; Diao, Z.-F.; Guo, C.-X.; He, L.-N. Carboxylation of olefins/alkynes with CO2 to industrially relevant acrylic acid derivatives. J. CO2 Util. 2013, 1, 60–68. [Google Scholar] [CrossRef]
- Kraus, S.; Rieger, B. Ni-Catalyzed Synthesis of Acrylic Acid Derivatives from CO2 and Ethylene. In Carbon Dioxide and Organometallics; Springer: Cham, Switzerland, 2015; pp. 199–223. [Google Scholar]
- Limbach, M. Acrylates from alkenes and CO2, the stuff that dreams are made of. In Advances in Organometallic Chemistry; Elsevier: Amsterdam, The Netherlands, 2015; Volume 63, pp. 175–202. [Google Scholar]
- Hollering, M.; Dutta, B.; Kühn, F.E. Transition metal mediated coupling of carbon dioxide and ethene to acrylic acid/acrylates. Coord. Chem. Rev. 2016, 309, 51–67. [Google Scholar] [CrossRef]
- Alper, E.; Orhan, O.Y. CO2 utilization: Developments in conversion processes. Petroleum 2017, 3, 109–126. [Google Scholar] [CrossRef]
- Wang, X.; Wang, H.; Sun, Y. Synthesis of acrylic acid derivatives from CO2 and ethylene. Chem 2017, 3, 211–228. [Google Scholar] [CrossRef]
- Wu, X.-F.; Zheng, F. Synthesis of Carboxylic Acids and Esters from CO2. Top. Curr. Chem. 2017, 375, 4. [Google Scholar] [CrossRef]
- Schmitz, M.; Solmi, M.V.; Leitner, W. Catalytic Processes Combining CO2 and Alkenes into Value-Added Chemicals. In Organometallics for Green Catalysis; Springer: Berlin, Germany, 2018; pp. 17–38. [Google Scholar]
- Dabral, S.; Schaub, T. The use of carbon dioxide (CO2) as a building block in organic synthesis from an industrial perspective. Adv. Synth. Catal. 2019, 361, 223–246. [Google Scholar] [CrossRef]
- Solmi, M.V.; Schmitz, M.; Leitner, W. CO2 as a Building Block for the Catalytic Synthesis of Carboxylic Acids. In Studies in Surface Science and Catalysis; Elsevier: Amsterdam, The Netherlands, 2019; Volume 178, pp. 105–124. [Google Scholar]
- Weissermel, K.; Arpe, H. Propene Conversion Products. Ind. Org. Chem. 2008, 4, 267–312. [Google Scholar]
- Hoberg, H.; Schaefer, D. Nickel (0)-induzierte C C-verknüpfung zwischen kohlendioxid und ethylen sowie mono-oder di-substituierten alkenen. J. Organomet. Chem. 1983, 251, c51–c53. [Google Scholar] [CrossRef]
- Hoberg, H.; Peres, Y.; Milchereit, A. C–C-Verknüpfung von alkenen mit CO2 an nickel (O); n-pentesäuren aus ethen. J. Organomet. Chem. 1986, 307, C41–C43. [Google Scholar] [CrossRef]
- Hoberg, H.; Jenni, K.; Angermund, K.; Krüger, C. CC-Linkages of Ethene with CO2 on an Iron (0) Complex—Synthesis and Crystal Structure Analysis of [(PEt3)2Fe(C2H4)2]. Angew. Chem. Int. Ed. Engl. 1987, 26, 153–155. [Google Scholar] [CrossRef]
- Hoberg, H.; Peres, Y.; Krüger, C.; Tsay, Y.H. A 1-Oxa-2-nickela-5-cyclopentanone from Ethene and Carbon Dioxide: Preparation, Structure, and Reactivity. Angew. Chem. Int. Ed. Engl. 1987, 26, 771–773. [Google Scholar] [CrossRef]
- Hoberg, H.; Ballesteros, A.; Sigan, A.; Jégat, C.; Bärhausen, D.; Milchereit, A. Ligandgesteuerte Ringkontraktion von Nickela-fünf-in Vierringkomplexe—Neuartige startsysteme für die präparative chemie. J. Organomet. Chem. 1991, 407, C23–C29. [Google Scholar] [CrossRef]
- Alvarez, R.; Carmona, E.; Cole-Hamilton, D.J.; Galindo, A.; Gutierrez-Puebla, E.; Monge, A.; Poveda, M.L.; Ruiz, C. Formation of acrylic acid derivatives from the reaction of carbon dioxide with ethylene complexes of molybdenum and tungsten. J. Am. Chem. Soc. 1985, 107, 5529–5531. [Google Scholar] [CrossRef]
- Alvarez, R.; Carmona, E.; Galindo, A.; Gutierrez, E.; Marin, J.M.; Monge, A.; Poveda, M.L.; Ruiz, C.; Savariault, J.M. Formation of carboxylate complexes from the reactions of carbon dioxide with ethylene complexes of molybdenum and tungsten. X-ray and neutron diffraction studies. Organometallics 1989, 8, 2430–2439. [Google Scholar] [CrossRef]
- Galindo, A.; Pastor, A.; Perez, P.J.; Carmona, E. Bis(ethylene) complexes of molybdenum and tungsten and their reactivity toward carbon dioxide. New examples of acrylate formation by coupling of ethylene and carbon dioxide. Organometallics 1993, 12, 4443–4451. [Google Scholar] [CrossRef]
- Fischer, R.; Langer, J.; Malassa, A.; Walther, D.; Görls, H.; Vaughan, G. A key step in the formation of acrylic acid from CO2 and ethylene: The transformation of a nickelalactone into a nickel-acrylate complex. Chem. Commun. 2006, 23, 2510–2512. [Google Scholar] [CrossRef]
- Bruckmeier, C.; Lehenmeier, M.W.; Reichardt, R.; Vagin, S.; Rieger, B. Formation of methyl acrylate from CO2 and ethylene via methylation of nickelalactones. Organometallics 2010, 29, 2199–2202. [Google Scholar] [CrossRef]
- Lee, S.T.; Cokoja, M.; Drees, M.; Li, Y.; Mink, J.; Herrmann, W.A.; Kühn, F.E. Transformation of nickelalactones to methyl acrylate: On the way to a catalytic conversion of carbon dioxide. ChemSusChem 2011, 4, 1275–1279. [Google Scholar] [CrossRef]
- Jin, D.; Schmeier, T.J.; Williard, P.G.; Hazari, N.; Bernskoetter, W.H. Lewis acid induced β-elimination from a nickelalactone: Efforts toward acrylate production from CO2 and ethylene. Organometallics 2013, 32, 2152–2159. [Google Scholar] [CrossRef]
- Lee, S.T.; Ghani, A.A.; D’Elia, V.; Cokoja, M.; Herrmann, W.A.; Basset, J.-M.; Kühn, F.E. Liberation of methyl acrylate from metallalactone complexes via M–O ring opening (M = Ni, Pd) with methylation agents. New J. Chem. 2013, 37, 3512–3517. [Google Scholar] [CrossRef]
- Plessow, P.N.; Weigel, L.; Lindner, R.; Schäfer, A.; Rominger, F.; Limbach, M.; Hofmann, P. Mechanistic details of the nickel-mediated formation of acrylates from CO2, ethylene and methyl iodide. Organometallics 2013, 32, 3327–3338. [Google Scholar] [CrossRef]
- Jin, D.; Williard, P.G.; Hazari, N.; Bernskoetter, W.H. Effect of Sodium Cation on Metallacycle β-Hydride Elimination in CO2–Ethylene Coupling to Acrylates. Chem. A Eur. J. 2014, 20, 3205–3211. [Google Scholar] [CrossRef]
- Pápai, I.; Schubert, G.; Mayer, I.; Besenyei, G.; Aresta, M. Mechanistic details of nickel (0)-assisted oxidative coupling of CO2 with C2H4. Organometallics 2004, 23, 5252–5259. [Google Scholar] [CrossRef]
- Graham, D.C.; Mitchell, C.; Bruce, M.I.; Metha, G.F.; Bowie, J.H.; Buntine, M.A. Production of Acrylic Acid through Nickel-Mediated Coupling of Ethylene and Carbon Dioxide–A DFT Study. Organometallics 2007, 26, 6784–6792. [Google Scholar] [CrossRef]
- Plessow, P.N.; Schäfer, A.; Limbach, M.; Hofmann, P. Acrylate formation from CO2 and ethylene mediated by nickel complexes: A theoretical study. Organometallics 2014, 33, 3657–3668. [Google Scholar] [CrossRef]
- Li, Y.; Liu, Z.; Cheng, R.; Liu, B. Mechanistic Aspects of Acrylic Acid Formation from CO2–Ethylene Coupling over Palladium-and Nickel-based Catalysts. ChemCatChem 2018, 10, 1420–1430. [Google Scholar] [CrossRef]
- Hendriksen, C.; Pidko, E.A.; Yang, G.; Schäffner, B.; Vogt, D. Catalytic formation of acrylate from carbon dioxide and ethene. Chem. A Eur. J. 2014, 20, 12037–12040. [Google Scholar] [CrossRef]
- Lejkowski, M.L.; Lindner, R.; Kageyama, T.; Bódizs, G.É.; Plessow, P.N.; Müller, I.B.; Schäfer, A.; Rominger, F.; Hofmann, P.; Futter, C.; et al. The first catalytic synthesis of an acrylate from CO2 and an alkene—A rational approach. Chem. A Eur. J. 2012, 18, 14017–14025. [Google Scholar] [CrossRef]
- Huguet, N.; Jevtovikj, I.; Gordillo, A.; Lejkowski, M.L.; Lindner, R.; Bru, M.; Khalimon, A.Y.; Rominger, F.; Schunk, S.A.; Hofmann, P.; et al. Nickel-Catalyzed Direct Carboxylation of Olefins with CO2: One-Pot Synthesis of α, β-Unsaturated Carboxylic Acid Salts. Chem. A Eur. J. 2014, 20, 16858–16862. [Google Scholar] [CrossRef]
- Manzini, S.; Huguet, N.; Trapp, O.; Schaub, T. Palladium-and Nickel-Catalyzed Synthesis of Sodium Acrylate from Ethylene, CO2, and Phenolate Bases: Optimization of the Catalytic System for a Potential Process. Eur. J. Org. Chem. 2015, 2015, 7122–7130. [Google Scholar] [CrossRef]
- Knopf, I.; Tofan, D.; Beetstra, D.; Al-Nezari, A.; Al-Bahily, K.; Cummins, C.C. A family of cis-macrocyclic diphosphines: Modular, stereoselective synthesis and application in catalytic CO2/ethylene coupling. Chem. Sci. 2017, 8, 1463–1468. [Google Scholar] [CrossRef]
- Hopkins, M.N.; Shimmei, K.; Uttley, K.B.; Bernskoetter, W.H. Synthesis and Reactivity of 1, 2-Bis(di-iso-propylphosphino)benzene Nickel Complexes: A Study of Catalytic CO2–Ethylene Coupling. Organometallics 2018, 37, 3573–3580. [Google Scholar] [CrossRef]
- Vavasori, A.; Calgaro, L.; Pietrobon, L.; Ronchin, L. The coupling of carbon dioxide with ethene to produce acrylic acid sodium salt in one pot by using Ni (II) and Pd (II)-phosphine complexes as precatalysts. Pure Appl. Chem. 2018, 90, 315–326. [Google Scholar] [CrossRef]
- Stieber, S.C.E.; Huguet, N.; Kageyama, T.; Jevtovikj, I.; Ariyananda, P.; Gordillo, A.; Schunk, S.A.; Rominger, F.; Hofmann, P.; Limbach, M. Acrylate formation from CO2 and ethylene: Catalysis with palladium and mechanistic insight. Chem. Commun. 2015, 51, 10907–10909. [Google Scholar] [CrossRef] [PubMed]
- Manzini, S.; Cadu, A.; Schmidt, A.C.; Huguet, N.; Trapp, O.; Paciello, R.; Schaub, T. Enhanced activity and recyclability of palladium complexes in the catalytic synthesis of sodium acrylate from carbon dioxide and ethylene. ChemCatChem 2017, 9, 2269–2274. [Google Scholar] [CrossRef]
- Manzini, S.; Huguet, N.; Trapp, O.; Paciello, R.A.; Schaub, T. Synthesis of acrylates from olefins and CO2 using sodium alkoxides as bases. Catal. Today 2017, 281, 379–386. [Google Scholar] [CrossRef]
- Knopf, I.; Courtemanche, M.-A.; Cummins, C.C. Cobalt Complexes Supported by cis-Macrocyclic Diphosphines: Synthesis, Reactivity, and Activity toward Coupling Carbon Dioxide and Ethylene. Organometallics 2017, 36, 4834–4843. [Google Scholar] [CrossRef]
- Ito, T.; Takahashi, K.; Iwasawa, N. Reactivity of a Ruthenium (0) Complex Bearing a Tetradentate Phosphine Ligand: Applications to Catalytic Acrylate Salt Synthesis from Ethylene and CO2. Organometallics 2018, 38, 205–209. [Google Scholar] [CrossRef]
- Rummelt, S.M.; Zhong, H.; Korobkov, I.; Chirik, P.J. Iron-mediated coupling of carbon dioxide and ethylene: Macrocyclic metallalactones enable access to various carboxylates. J. Am. Chem. Soc. 2018, 140, 11589–11593. [Google Scholar] [CrossRef]
- Buchwald, S.L.; Milstein, D. Ligand Design in Metal Chemistry: Reactivity and Catalysis; John Wiley & Sons: Hoboken, NJ, USA, 2016. [Google Scholar]
- Joannou, M.V.; Bezdek, M.J.; Albahily, K.; Korobkov, I.; Chirik, P.J. Synthesis and Reactivity of Reduced α-Diimine Nickel Complexes Relevant to Acrylic Acid Synthesis. Organometallics 2018, 37, 3389–3393. [Google Scholar] [CrossRef]
- Takahashi, K.; Cho, K.; Iwai, A.; Ito, T.; Iwasawa, N. Development of N-Phosphinomethyl-Substituted NHC-Nickel (0) Complexes as Robust Catalysts for Acrylate Salt Synthesis from Ethylene and CO2. Chem. A Eur. J. 2019, 25, 13504–13508. [Google Scholar] [CrossRef] [PubMed]
- Seo, H.; Hirsch-Weil, D.; Abboud, K.A.; Hong, S. Development of Biisoquinoline-Based Chiral Diaminocarbene Ligands: Enantioselective SN2′ Allylic Alkylation Catalyzed by Copper−Carbene Complexes. J. Org. Chem. 2008, 73, 1983–1986. [Google Scholar] [CrossRef]
- Snead, D.R.; Seo, H.; Hong, S. Recent developments of chiral diaminocarbene-metal complexes for asymmetric catalysis. Curr. Org. Chem. 2008, 12, 1370–1387. [Google Scholar] [CrossRef]
- Hirsch-Weil, D.; Abboud, K.A.; Hong, S. Isoquinoline-based chiral monodentate N-heterocyclic carbenes. Chem. Commun. 2010, 46, 7525–7527. [Google Scholar] [CrossRef]
- Rodig, M.J.; Seo, H.; Hirsch-Weil, D.; Abboud, K.A.; Hong, S. Isoquinoline-based diimine ligands for Cu (II)–Catalyzed enantioselective nitroaldol (Henry) reactions. Tetrahedron Asymmetry 2011, 22, 1097–1102. [Google Scholar] [CrossRef]
- Jaiswal, A.S.; Hirsch-Weil, D.; Proulx, E.R.; Hong, S.; Narayan, S. Anti-tumor activity of novel biisoquinoline derivatives against breast cancers. Bioorg. Med. Chem. Lett. 2014, 24, 4850–4853. [Google Scholar] [CrossRef]
- Park, D.-A.; Ryu, J.Y.; Lee, J.; Hong, S. Bifunctional N-heterocyclic carbene ligands for Cu-catalyzed direct C–H carboxylation with CO2. RSC Adv. 2017, 7, 52496–52502. [Google Scholar] [CrossRef]
- Byun, S.; Seo, H.; Choi, J.-H.; Ryu, J.Y.; Lee, J.; Chung, W.-J.; Hong, S. Fluoro-imidazopyridinylidene Ruthenium Catalysts for Cross Metathesis with Ethylene. Organometallics 2019, 38, 4121–4132. [Google Scholar] [CrossRef]
- Park, D.-A.; Byun, S.; Ryu, J.Y.; Lee, J.; Lee, J.; Hong, S. Abnormal N-Heterocyclic Carbene–Palladium Complexes for the Copolymerization of Ethylene and Polar Monomers. ACS Catal. 2020, 10, 5443–5453. [Google Scholar] [CrossRef]
- Diez-Gonzalez, S.; Marion, N.; Nolan, S.P. N-heterocyclic carbenes in late transition metal catalysis. Chem. Rev. 2009, 109, 3612–3676. [Google Scholar] [CrossRef]
- Dröge, T.; Glorius, F. The Measure of All Rings—N-Heterocyclic Carbenes. Angew. Chem. Int. Ed. 2010, 49, 6940–6952. [Google Scholar] [CrossRef] [PubMed]
- Nelson, D.J.; Nolan, S.P. Quantifying and understanding the electronic properties of N-heterocyclic carbenes. Chem. Soc. Rev. 2013, 42, 6723–6753. [Google Scholar] [CrossRef] [PubMed]
- Hopkinson, M.N.; Richter, C.; Schedler, M.; Glorius, F. An overview of N-heterocyclic carbenes. Nature 2014, 510, 485–496. [Google Scholar] [CrossRef] [PubMed]
- Prakasham, A.; Ghosh, P. Nickel N-heterocyclic carbene complexes and their utility in homogeneous catalysis. Inorg. Chim. Acta 2015, 431, 61–100. [Google Scholar] [CrossRef]
- Danopoulos, A.A.; Simler, T.; Braunstein, P. N-heterocyclic carbene complexes of copper, nickel, and cobalt. Chem. Rev. 2019, 119, 3730–3961. [Google Scholar] [CrossRef]
- Nolan, S.P. The development and catalytic uses of N-heterocyclic carbene gold complexes. Acc. Chem. Res. 2011, 44, 91–100. [Google Scholar] [CrossRef]
- Froese, R.D.; Lombardi, C.; Pompeo, M.; Rucker, R.P.; Organ, M.G. Designing Pd–N-heterocyclic carbene complexes for high reactivity and selectivity for cross-coupling applications. Acc. Chem. Res. 2017, 50, 2244–2253. [Google Scholar] [CrossRef]
- Ogba, O.; Warner, N.; O’Leary, D.; Grubbs, R. Recent advances in ruthenium-based olefin metathesis. Chem. Soc. Rev. 2018, 47, 4510–4544. [Google Scholar] [CrossRef]
- Peris, E.; Crabtree, R.H. Recent homogeneous catalytic applications of chelate and pincer N-heterocyclic carbenes. Coord. Chem. Rev. 2004, 248, 2239–2246. [Google Scholar] [CrossRef]
- Normand, A.T.; Cavell, K.J. Donor-Functionalised N-Heterocyclic Carbene Complexes of Group 9 and 10 Metals in Catalysis: Trends and Directions. Eur. J. Inorg. Chem. 2008, 2008, 2781–2800. [Google Scholar] [CrossRef]
- Poyatos, M.; Mata, J.A.; Peris, E. Complexes with poly (N-heterocyclic carbene) ligands: Structural features and catalytic applications. Chem. Rev. 2009, 109, 3677–3707. [Google Scholar] [CrossRef]
- Biffis, A.; Baron, M.; Tubaro, C. Poly-NHC Complexes of transition metals: Recent applications and new trends. In Advances in Organometallic Chemistry; Elsevier: Amsterdam, The Netherlands, 2015; Volume 63, pp. 203–288. [Google Scholar]
- Hameury, S.; de Frémont, P.; Braunstein, P. Metal complexes with oxygen-functionalized NHC ligands: Synthesis and applications. Chem. Soc. Rev. 2017, 46, 632–733. [Google Scholar] [CrossRef] [PubMed]
- Gardiner, M.G.; Ho, C.C. Recent advances in bidentate bis(N-heterocyclic carbene) transition metal complexes and their applications in metal-mediated reactions. Coord. Chem. Rev. 2018, 375, 373–388. [Google Scholar] [CrossRef]
- Alcarazo, M.; Roseblade, S.J.; Cowley, A.R.; Fernández, R.; Brown, J.M.; Lassaletta, J.M. Imidazo[1,5-a]pyridine: A versatile architecture for stable N-heterocyclic carbenes. J. Am. Chem. Soc. 2005, 127, 3290–3291. [Google Scholar] [CrossRef] [PubMed]
- Burstein, C.; Lehmann, C.W.; Glorius, F. Imidazo[1,5-a]pyridine-3-ylidenes—Pyridine derived N-heterocyclic carbene ligands. Tetrahedron 2005, 61, 6207–6217. [Google Scholar] [CrossRef]
- Check, C.T.; Jang, K.P.; Schwamb, C.B.; Wong, A.S.; Wang, M.H.; Scheidt, K.A. Ferrocene-Based Planar Chiral Imidazopyridinium Salts for Catalysis. Angew. Chem. Int. Ed. 2015, 54, 4264–4268. [Google Scholar] [CrossRef]
- Espina, M.; Rivilla, I.; Conde, A.; Díaz-Requejo, M.M.; Pérez, P.J.; Álvarez, E.; Fernández, R.; Lassaletta, J.M. Chiral, Sterically Demanding N-Heterocyclic Carbenes Fused into a Heterobiaryl Skeleton: Design, Synthesis, and Structural Analysis. Organometallics 2015, 34, 1328–1338. [Google Scholar] [CrossRef]
- Grande-Carmona, F.; Iglesias-Sigüenza, J.; Álvarez, E.; Díez, E.; Fernández, R.; Lassaletta, J.M. Synthesis and characterization of axially chiral imidazoisoquinolin-2-ylidene silver and gold complexes. Organometallics 2015, 34, 5073–5080. [Google Scholar] [CrossRef]
- Iglesias-Sigüenza, J.; Izquierdo, C.; Díez, E.; Fernández, R.; Lassaletta, J.M. Chirality and catalysis with aromatic N-fused heterobicyclic carbenes. Dalton Trans. 2016, 45, 10113–10117. [Google Scholar] [CrossRef]
- Schwamb, C.B.; Fitzpatrick, K.P.; Brueckner, A.C.; Richardson, H.C.; Cheong, P.H.-Y.; Scheidt, K.A. Enantioselective synthesis of α-amidoboronates catalyzed by planar-Chiral NHC-Cu (I) complexes. J. Am. Chem. Soc. 2018, 140, 10644–10648. [Google Scholar] [CrossRef] [PubMed]
- Chen, W.; Chen, K.; Chen, W.; Liu, M.; Wu, H. Well-Designed N-Heterocyclic Carbene Ligands for Palladium-Catalyzed Denitrative C–N Coupling of Nitroarenes with Amines. ACS Catal. 2019, 9, 8110–8115. [Google Scholar] [CrossRef]
- Tang, Y.; Benaissa, I.; Huynh, M.; Vendier, L.; Lugan, N.; Bastin, S.; Belmont, P.; César, V.; Michelet, V. An original L-shape, tunable N-Heterocyclic Carbene platform for efficient gold (I) catalysis. Angew. Chem. Int. Ed. 2019, 58, 7977–7981. [Google Scholar] [CrossRef]
- Zhang, J.-Q.; Liu, Y.; Wang, X.-W.; Zhang, L. Synthesis of Chiral Bifunctional NHC Ligands and Survey of Their Utilities in Asymmetric Gold Catalysis. Organometallics 2019, 38, 3931–3938. [Google Scholar] [CrossRef]
- Grohmann, C.; Hashimoto, T.; Fröhlich, R.; Ohki, Y.; Tatsumi, K.; Glorius, F. An iron (II) complex of a diamine-bridged bis-N-heterocyclic carbene. Organometallics 2012, 31, 8047–8050. [Google Scholar] [CrossRef]
- Kriechbaum, M.; List, M.; JF Berger, R.; Patzschke, M.; Monkowius, U. Silver and Gold Complexes with a New 1, 10-Phenanthroline Analogue N-Heterocyclic Carbene: A Combined Structural, Theoretical, and Photophysical Study. Chem. A Eur. J. 2012, 18, 5506–5509. [Google Scholar] [CrossRef]
- Kriechbaum, M.; Winterleitner, G.; Gerisch, A.; List, M.; Monkowius, U. Synthesis, Characterization and Luminescence of Gold Complexes Bearing an NHC Ligand Based on the Imidazo[1,5-a]quinolinol Scaffold. Eur. J. Inorg. Chem. 2013, 2013, 5567–5575. [Google Scholar] [CrossRef]
- Nakano, R.; Nozaki, K. Copolymerization of propylene and polar monomers using Pd/IzQO catalysts. J. Am. Chem. Soc. 2015, 137, 10934–10937. [Google Scholar] [CrossRef]
- Tao, W.J.; Nakano, R.; Ito, S.; Nozaki, K. Copolymerization of ethylene and polar monomers by using Ni/IzQO catalysts. Angew. Chem. Int. Ed. 2016, 55, 2835–2839. [Google Scholar] [CrossRef]
- Tao, W.; Akita, S.; Nakano, R.; Ito, S.; Hoshimoto, Y.; Ogoshi, S.; Nozaki, K. Copolymerisation of ethylene with polar monomers by using palladium catalysts bearing an N-heterocyclic carbene–phosphine oxide bidentate ligand. Chem. Commun. 2017, 53, 2630–2633. [Google Scholar] [CrossRef]
- Azouzi, K.; Duhayon, C.; Benaissa, I.; Lugan, N.l.; Canac, Y.; Bastin, S.P.; César, V. Bidentate iminophosphorane-NHC ligand derived from the imidazo[1,5-a]pyridin-3-ylidene scaffold. Organometallics 2018, 37, 4726–4735. [Google Scholar] [CrossRef]
- Yasuda, H.; Nakano, R.; Ito, S.; Nozaki, K. Palladium/IzQO-catalyzed coordination–insertion copolymerization of ethylene and 1, 1-disubstituted ethylenes bearing a polar functional group. J. Am. Chem. Soc. 2018, 140, 1876–1883. [Google Scholar] [CrossRef]
- Dong, J.; Li, M.; Wang, B. Synthesis, Structures, and Norbornene Polymerization Behavior of Imidazo[1,5-a]pyridine-sulfonate-Ligated Palladacycles. Organometallics 2019, 38, 3786–3795. [Google Scholar] [CrossRef]
- Tao, W.; Wang, X.; Ito, S.; Nozaki, K. Palladium complexes bearing an N-heterocyclic carbene–sulfonamide ligand for cooligomerization of ethylene and polar monomers. J. Polym. Sci. Part A Polym. Chem. 2019, 57, 474–477. [Google Scholar] [CrossRef]
- Greenburg, Z.R.; Jin, D.; Williard, P.G.; Bernskoetter, W.H. Nickel promoted functionalization of CO2 to anhydrides and ketoacids. Dalton Trans. 2014, 43, 15990–15996. [Google Scholar] [CrossRef]
- Gaydou, M.; Moragas, T.; Juliá-Hernández, F.; Martin, R. Site-selective catalytic carboxylation of unsaturated hydrocarbons with CO2 and water. J. Am. Chem. Soc. 2017, 139, 12161–12164. [Google Scholar] [CrossRef] [PubMed]
- Aresta, M.; Pastore, C.; Giannoccaro, P.; Kovács, G.; Dibenedetto, A.; Pápai, I. Evidence for Spontaneous Release of Acrylates from a Transition-Metal Complex Upon Coupling Ethene or Propene with a Carboxylic Moiety or CO2. Chem. A Eur. J. 2007, 13, 9028–9034. [Google Scholar] [CrossRef] [PubMed]
- Loch, J.A.; Albrecht, M.; Peris, E.; Mata, J.; Faller, J.W.; Crabtree, R.H. Palladium complexes with tridentate pincer bis-carbene ligands as efficient catalysts for C–C coupling. Organometallics 2002, 21, 700–706. [Google Scholar] [CrossRef]
- Langer, J.; Fischer, R.; Görls, H.; Walther, D. A new set of nickelacyclic carboxylates (“nickelalactones”) containing pyridine as supporting ligand: Synthesis, structures and application in C–C–and C–S–linkage reactions. J. Organomet. Chem. 2004, 689, 2952–2962. [Google Scholar] [CrossRef]
- Ebisu, Y.; Kawamura, K.; Hayashi, M. Enantioselective copper-catalyzed 1,4-addition of dialkylzincs to enones using a novel N,N,P-Cu(II) complex. Tetrahedron Asymmetry 2012, 23, 959–964. [Google Scholar] [CrossRef]
- Hutt, J.T.; Aron, Z.D. Efficient, single-step access to imidazo[1,5-a]pyridine N-heterocyclic carbene precursors. Org. Lett. 2011, 13, 5256–5259. [Google Scholar] [CrossRef] [PubMed]
- Kim, Y.; Kim, Y.; Hur, M.Y.; Lee, E. Efficient synthesis of bulky N-Heterocyclic carbene ligands for coinage metal complexes. J. Organomet. Chem. 2016, 820, 1–7. [Google Scholar] [CrossRef]
- De Buysser, K.; Herman, G.; Bruneel, E.; Hoste, S.; Van Driessche, I. Determination of the number of unpaired electrons in metal-complexes. A comparison between the Evans’ method and susceptometer results. Chem. Phys. 2005, 315, 286–292. [Google Scholar] [CrossRef]
- Leung, C.H.; Incarvito, C.D.; Crabtree, R.H. Interplay of linker, N-substituent, and counterion effects in the formation and geometrical distortion of N-heterocyclic biscarbene complexes of rhodium (I). Organometallics 2006, 25, 6099–6107. [Google Scholar] [CrossRef]
- Hartwig, J. Organotransition Metal Chemistry: From Bonding to Catalysis; Univ. Science Books: California, CA, USA, 2010. [Google Scholar]
- Ramírez-Monroy, A.; Swager, T.M. Metal chelates based on isoxazoline[60]fullerenes. Organometallics 2011, 30, 2464–2467. [Google Scholar] [CrossRef]
- Wang, C.-Y.; Liu, Y.-H.; Peng, S.-M.; Liu, S.-T. Rhodium (I) complexes containing a bulky pyridinyl N-heterocyclic carbene ligand: Preparation and reactivity. J. Organomet. Chem. 2006, 691, 4012–4020. [Google Scholar] [CrossRef]
- Cheng, M.; Moore, D.R.; Reczek, J.J.; Chamberlain, B.M.; Lobkovsky, E.B.; Coates, G.W. Single-site β-diiminate zinc catalysts for the alternating copolymerization of CO2 and epoxides: Catalyst synthesis and unprecedented polymerization activity. J. Am. Chem. Soc. 2001, 123, 8738–8749. [Google Scholar] [CrossRef]
- Dai, S.; Sui, X.; Chen, C. Highly Robust Palladium (II) α-Diimine Catalysts for Slow-Chain-Walking Polymerization of Ethylene and Copolymerization with Methyl Acrylate. Angew. Chem. Int. Ed. 2015, 54, 9948–9953. [Google Scholar] [CrossRef]
© 2020 by the authors. Licensee MDPI, Basel, Switzerland. This article is an open access article distributed under the terms and conditions of the Creative Commons Attribution (CC BY) license (http://creativecommons.org/licenses/by/4.0/).







