Abstract
The catalytic conversion of CO2 to CO by the reverse water gas shift (RWGS) reaction followed by well-established synthesis gas conversion technologies could be a practical technique to convert CO2 to valuable chemicals and fuels in industrial settings. For catalyst developers, prevention of side reactions like methanation, low-temperature activity, and selectivity enhancements for the RWGS reaction are crucial concerns. Cerium oxide (ceria, CeO2) has received considerable attention in recent years due to its exceptional physical and chemical properties. This study reviews the use of ceria-supported active metal catalysts in RWGS reaction along with discussing some basic and fundamental features of ceria. The RWGS reaction mechanism, reaction kinetics on supported catalysts, as well as the importance of oxygen vacancies are also explored. Besides, recent advances in CeO2 supported metal catalyst design strategies for increasing CO2 conversion activity and selectivity towards CO are systematically identified, summarized, and assessed to understand the impacts of physicochemical parameters on catalytic performance such as morphologies, nanosize effects, compositions, promotional abilities, metal-support interactions (MSI) and the role of selected synthesis procedures for forming distinct structural morphologies. This brief review may help with future RWGS catalyst design and optimization.
1. Introduction
Carbon dioxide has been identified as the primary anthropogenic greenhouse gas that has resulted in catastrophic climate change and ocean acidification [1,2]. Various approaches have been employed to reduce the amount of CO2 in the atmosphere. For example, power-to-liquid (PtL) sustainable aviation fuel (SAF) was recently proposed as a long-term and scalable solution to minimize aircraft CO2 emissions. The procedure turns CO2 into a synthetic fuel with less sulfur and fewer aromatics, which enhances local air quality and minimizes the effect of aviation at high altitudes [3]. On the other hand, since enormous amounts of low-cost, relatively pure carbon dioxide are available from carbon sequestration and storage facilities, more efforts have been made to utilize CO2 as an alternative C1 source rather than merely considering it as waste [4]. A unique and appealing alternative to storing CO2 through sequestration would be recycling the gas into energy-rich compounds via carbon capture, storage and utilization (CCSU) [5,6]. E-fuels, also known as electrofuels or powerfuels, are hydrocarbon fuels produced from hydrogen and CO2 in which hydrogen is generated from water and electricity through electrolysis and CO2 is either captured from fossil sources (such as industrial sectors) or the atmosphere [7,8,9]. E-fuels aim to directly electrify a system without the demand-side adjustments necessary for a direct electrification by substituting fossil fuels with renewable power [7]. However, the CO2 molecule is a relatively inert and unreactive molecule with a high level of thermodynamic and chemical stability due to its linear chemical structure with double bonds connecting the carbon and oxygen atoms, so converting it to the more reactive CO is energy-intensive [10]. Among the systems currently available for CO2 conversion, catalytic conversion to CO, commonly known as the reverse water-gas shift (RWGS) reaction (Equation (1)), is one of the most promising reversible hydrogenation methods that offer a high potential efficiency [11].
CO2 + H2 ↔ CO +H2O ΔH0 = +41.3 kJ/mol
RWGS reaction is recognized as an important intermediate stage in a number of key CO2 hydrogenation reactions such as the Sabatier process [12] and methanol synthesis [13], and is hence referred to as the “building block stage” [14]. Synthesis gas (CO + H2), a crucial precursor in the field of C1 chemistry, can be produced using the RWGS reaction in the presence of an appropriate catalyst. The syngas can further be used as a feedstock for the Fischer–Tropsch synthesis reaction (FTS) to produce organic compounds, such as methanol (a crucial component of synthetic fuels and polymers), hydrocarbons, or oxygenated hydrocarbons [15,16]. ExxonMobil recently revealed that its “methanol-to-jet” technology can provide SAF from methanol derived through waste, biomass, captured carbon dioxide, and low-carbon hydrogen [17]. However, further side reactions, such as CO methanation (Equation (2)) [18], could emerge under the same reaction conditions, consuming a large amount of hydrogen. The CO2 methanation reaction is an exothermic catalytic process that normally takes place at temperatures from 150 °C to 550 °C in the presence of a catalyst [19]. The CO2 conversion and CH4 selectivity can almost approach 100%; however, as the temperature rises, the reaction rate increases [20], with preference for RWGS at higher temperature. Therefore, at low reaction temperatures, the highly exothermic methanation reaction is thermodynamically more preferred to the slightly endothermic RWGS reaction [21,22]; hence, reducing methanation throughout RWGS has been a challenging issue. A remaining concern seems to be either the RWGS reaction should be operated at high temperature (over 900 °C), which is thermodynamically favorable, but carbon and undesirable byproducts may also be present; or it should be performed at low temperatures (below 500 °C), in which case it is not kinetically favored but may be made up for by extensive catalyst use [23]. Over the temperature range of 100 to 1000 °C, Kaiser et al. investigated the equilibrium composition of the gaseous products in RWGS reaction for a three-to-one molar H2/CO2 input ratio [24]. Based on the results, methanation was thermodynamically preferred at low temperatures (below 600 °C), while, the only product that could form at temperatures beyond 700 °C was CO and very little to no methane. However, to cut down on the energy losses and investment expenses, the temperature must be kept as low as feasible [24]. They proposed that using RWGS at greater pressures in conjunction with high temperature and high-pressure steam electrolysis might be an alternative [24]. Additionally, the FTS normally operates at 2.5 MPa, and the produced syngas or the RWGS supply gas must be compressed [25]. Kaiser et al. came to the conclusion that at this pressure (2.5 MPa), the methane curve was pushed to higher temperatures; for instance, at 900 °C, the equilibrium methane level was 4 mol% as opposed to 660 °C at 1 atm pressure [24]. When Unde et al. tested the Al2O3 catalyst through RWGS reaction, they discovered that the CO2 to CO conversion equilibrium was reached at a high temperature of 900 °C. Reaction was controlled kinetically between 300 and 700 °C, and thermodynamically above this temperature range [26]. As a result, production of active RWGS catalysts operated at low-temperature with higher CO selectivity and limited CH4 production was required. Insight into the mechanisms of CO production is also vital for rational catalyst design in such processes. Various reaction routes could lead to various kinetic parameters and selectivity variations for CO2 hydrogenation [27].
CO2 + 3H2 ↔ CH4 +H2O ΔH0 = −206.5 kJ/mol
According to the concept of microscopic reversibility and the fact that the RWGS reaction is typically carried out at equilibrium, the active catalysts in the water gas shift (WGS) process are also effective in the RWGS reaction, but may be under different reaction conditions, suggesting that similar catalysts should enhance both reactions [28]. Some typical features of WGS catalysts include the presence of oxygen vacancies, the strength at which CO can be adsorbed, and activity for dissociation of water [29]. In our earlier study, a thorough overview of the most recent advancements of catalysts utilized in low-temperature WGS reactions is presented [30]. In various CO2 conversion processes, many types of catalysts have been used, including oxide-supported metal catalysts and oxide catalysts in which cerium oxide (CeO2) has had a key role [30,31]. CeO2 is a typical rare earth metal oxide with a face-centered cubic (FCC) fluorite structural pattern, and has oxygen storage capacity (OSC) and a number of intriguing features that can be exploited to improve catalytic efficiency [28,32]. In comparison to other reducible oxides, oxygen vacancies on the surface of CeO2 are more easily formed during the reduction process owing to its unique electron arrangement [33]. Besides, the reversible redox pair Ce3+/C4+ and the acid basic surface properties of CeO2 are effectively leading to its broader catalytic application [34]. It was found that the reducibility of ceria had an inverse connection with the bimetallic cluster promoted local electronic band, which caused the stability of germinal OH groups and was assumed to be the reason for higher WGS activity [35]. Besides, the RWGS reaction has been reported to work well with noble metal–loaded CeO2 catalysts [36]. In a comparative study, Castao et al. looked at the efficiency of platinum and gold catalysts on ceria supports [37]. Transition metals supported on CeO2 also have greater RWGS activity than metals supported on non-reducible supports. Moreira et al. investigated the sorption-accelerated WGS process at low temperature (125–295 °C) over Cu-CeO2/HTlc catalysts; Cu supported on polyhedral nanoparticle-sized ceria displayed a high conversion of 87.6% [38]. Comparing the performances of 1.7% Pt-CeO2 and Pt-Al2O3 at 573 K in WGS reaction, Porosof and Chen examined the amount of CO uptake as an indicator of the dispersion of Pt metal. They found out that the amount of CO uptake using Pt-CeO2 is ~5.7 times higher than that on Pt-Al2O3 [39].
As it is shown in Figure 1, the CeO2 nanocrystal surface consists of three low-index lattice planes: (100), (110), and (111) [40,41]. The three planes have distinct activity and follow the sequence (100) > (110) > (111), while showing an opposite trend for stability [42,43,44,45]. The basis of the face impact of ceria on catalytic function is the variation in electronic properties and surface atomic configuration of ceria, both of which affect the ability of oxygen vacancy formation and the structure of surface intermediates [46,47,48,49,50]. Based on catalytic activity evaluation, CeO2 alone as a catalyst does not perform well and can only generate a limited number of oxygen vacancies; therefore, adding metal components to CeO2 improves its reducibility and capacity to create oxygen vacancies [51,52]. The role of ceria in distributing the active phase appears to be particularly important in defining CO selectivity. According to recent findings, large metal particles are generally selective for methane, but well-dispersed smaller nanoparticles are more in favor of the RWGS reaction than methanation [53,54,55]. The potential of ceria surface to initiate a variety of CO2 reaction pathways leading to various products is also important in this regard [56,57]. Different synthesis methods [58] and treatment procedures can be used to design and control the shape and size of ceria nanocrystals in order to increase redox characteristics and catalytic activity [59,60].
Figure 1.
(a) CeO2 FCC Unit cell, (b–d) the (100) [or (200)], (110), and (111) planes of the CeO2 structure, reprinted with permission from [41]. Copyright Royal Society of Chemistry, 2014.
The use of different catalysts in the RWGS reaction has been considered in some review articles related to the catalytic conversion of CO2 to chemicals and fuels [61,62]. Porosof et al., for example, looked at several catalysts for converting CO2 to CO, methanol, and liquid hydrocarbons [63]. Kattel et al. investigated the conversion of CO2 to the CO products containing C1 only, such as CO, methanol, and methane, with an emphasis on the effect of metal/oxide catalyst interfaces in these processes [64]. Moreover, attempts have been made to review the RWGS reaction mechanism on supported metal and oxide catalysts. For example, Su et al. looked into the RWGS reaction pathways over different types of catalysts (supported metal catalysts (including ceria), mixed oxide catalysts, and transition metal carbide catalysts) [65]. After going through many papers utilizing various catalysts for each type, they found that large volumes of water are generated in all CO2 hydrogenation processes, and the creation of hydroxyls can poison the catalyst. Therefore, due to the fact that RWGS reaction is typically carried out at a moderate to high temperature, catalysts with great water tolerance are desirable for practical applications [65]. As they suggested, this shortcoming might be resolved by converting CO2 to CO using the RWGS method and then treating the CO2 with a moisture separator unit before it enters the subsequent reactor systems [65]. In any case, stable, modern water-tolerant catalysts with affordable facilities are still appealing for direct CO2 conversion. On the other side, there are several studies describing the principles of CeO2, and a number of recent reviews detail their catalytic uses in different CO2 hydrogenation reactions [66,67,68,69].
Unlike prior studies that provided an overview of several types of catalysts for the RWGS reaction, this review focuses on the function of ceria-supported catalysts in the RWGS reaction for CO2 valorization, to highlight the benefits and drawbacks of using selected catalytic systems. Besides, the physicochemical properties of supported catalysts, which affect the catalytic activity/stability and CO selectivity in the RWGS reaction, such as the morphologies, metal loading, and metal size, are discussed to explain the structure–activity correlations. The unique significance of ceria in RWGS reaction mechanisms is also discussed with the prospect of developing cost-effective formulations based on ceria oxides to help relevant CO2 conversion technologies gain market acceptance. In order to comprehend how CeO2 performs in the RWGS reaction system, a detailed review of reaction mechanism is performed in addition to considering the thermodynamic factors. With all these aspects, the objective of this review is to provide a comprehensive framework for understanding the development of heterogeneous catalysts based on CeO2 support that successfully catalyze the RWGS reaction. The review also examines the associated challenges and presents the future prospects of this field.
2. Mechanism
According to the literature, the nature of the support has a substantial influence on the reaction mechanism [70,71]. Two RWGS mechanisms have been suggested based on reaction kinetics, spectroscopy, and density functional theory (DFT) simulations; Surface Redox Mechanism and Associative Mechanism [72,73]. Nevertheless, redox and associative mechanisms have been highly controversial since the mechanism is so susceptible to the catalyst types and reaction conditions. Hence, no clear consensus on the RWGS reaction mechanism has been established yet [74]. The primary step that is different between the two pathways is whether the dissociated H atoms are implicated in the production of carbon-containing intermediates, e.g., formates and carboxyls [75]; the potential chemical pathways are depicted schematically in Figure 2 [76].
Figure 2.
Simple schematic of RWGS mechanism for direct and H-assisted CO2 dissociation processes, reprinted with permission from [76]. Copyright Royal Society of Chemistry, 2021.
In the redox mechanism, CO2 is reduced to CO while the catalyst is directly oxidized, and subsequently H2 reduces the catalyst to fulfill the catalytic turnover (Equations (3) and (4)) [77]. This mechanism is only viable when two essential criteria are met: (i) H2 can reduce the catalyst surface and (ii) the partially reduced catalyst surface can be reoxidized effectively by CO2 under RWGS experimental parameters [78]. Reducible oxide catalysts, which have the advantage of being easily reduced and oxidized during the reaction settings due to the fact that oxygen is provided by the support itself, have been found to largely follow this mechanism [79]. In the case of CeO2, CO adsorbs on a metal surface and gets oxidized by oxygen atoms from the ceria, before being re-oxidized by water [80]. This mechanism is most commonly reported on Cu-based catalysts. For example, Lin et al. investigated Cu-CeO2 nancatalysts in the RWGS reaction and discovered that it follows the redox mechanism to effectively improve CO2 dissociative activation (Figure 3a) [81].
In another study by Lee et al. a series of catalysts with different CeO2 and TiO2 support proportions were synthesized via impregnation [82]. They discovered that in the RWGS reaction over Pt/CeO2-TiO2 catalyst, the redox and dissociation mechanisms coexisted, and more importantly, adding a proper amount of CeO2 improved the redox properties and catalytic activity (Figure 3b) [82]. According to Kim et al., the sequencing of the injections affects how much CO is produced [79]. Therefore, Lee et al. measured the CO produced by feeding CO2 after H2 for the first run of their step reaction tests and the CO produced by feeding H2 after CO2 for the second run in order to investigate the impact of the injection sequence [82]. The results showed that CO production increases when H2 is added first [82]. The catalytic mechanisms of RWGS on ceria nanocrystal were explored by Liu et al., with a function of oxygen vacancies in ceria being particularly highlighted [83]. CO can be produced by two alternative CO2 dissociation routes, one of which takes place over ceria oxygen vacancy. As it is concluded by them, in case of ceria, the oxygen vacancy could travel through bulk active oxygen. The oxygen-ion conductivity and density of surface oxygen vacancies were boosted by the apt nanostructure of ceria, which included more exposed active planes and bulk mobile oxygens [83]. Furthermore, adsorbed or dissociated hydrogen can interact with the surface active oxygen of ceria to form water and generate a new oxygen vacancy at the initial location (Figure 3c) [83]. They investigated the mechanism using Ni as an active site supported on CeO2 and found that CO is directly formed by the dissociation adsorption of CO2 on the nickel surface (Figure 3d) [83]. Absorbed hydrogen, whether dissociated or not, combines with oxygen species provided by CO2 dissociation to form water, and then with CO to make CHx species, e.g., CH4 [83].
where ∗ stands for a surface site, such as a metal surface site.
Figure 3.
The Redox reaction mechanism of the RWGS reaction over (a) Cu-CeO2, reprinted with permission from [81]. Copyright ACS, 2018, (b) Pt-CeO2-TiO2, (c) ceria nanocube, reprinted with permission from [83]. Elsevier, 2016, and (d) Ni-CeO2 nanocube, reprinted with permission from [83]. Elsevier, 2016.
Figure 3.
The Redox reaction mechanism of the RWGS reaction over (a) Cu-CeO2, reprinted with permission from [81]. Copyright ACS, 2018, (b) Pt-CeO2-TiO2, (c) ceria nanocube, reprinted with permission from [83]. Elsevier, 2016, and (d) Ni-CeO2 nanocube, reprinted with permission from [83]. Elsevier, 2016.

The adsorption and dissociation of CO2 on defects of ceria surface followed by the generation of surface carbonate and formate species are also often postulated as reaction mechanism for the RWGS reaction over ceria-supported catalysts [84]. Cu/CeO2 catalysts have been found to have significant catalytic activity, probably due to the emergence of intermediates like formates and bidentate carbonates [81]. In this mechanism, known as the “associative mechanism”, CO2 adsorbs onto the catalyst surface and interacts with dissociated H in order to create transitional molecules such as formate (*HCOO), carboxyl (*COOH), carbonate (CO3−2), and bicarbonate (HCO3−), that will then be degraded to the final RWGS reaction products, CO and H2O [65]. For example, in a study led by Zhu et al. the reaction over the Au/CeO2 catalyst was found to follow an associative pathway through a surface formate intermediate, which was proven by DRIFTS and mass spectrometry analysis [85]. In another study conducted by Lu et al., the RWGS reaction mechanism over liquid nitrogen (LN)-CeO2 catalyst was evaluated resulting in formation of intermediate formates as shown in Figure 4a [86]. They examined the reaction intermediates in the RWGS reaction using in situ FTIR to identify the types of reactants adsorbed and carbonate species generated on LN-CeO2 catalysts and understand the pathway of the CO2 hydrogenation process (Figure 5a) [86]. The spectra peaks that they described are presented as follows [86]. The notable peaks between 2200 and 2500 cm−1 could be explained by different types of CO2 or gas molecules that have been adsorbed on the LN-CeO2 surface. Two sharp peaks were visible at 3730 and 3628 cm−1, and many small peaks between 3800 and 3000 cm−1 can be attributed to the stretching vibration of the OH group on the LN-CeO2-100 catalysts. The large peaks that appear at frequencies from 2500 and 2800 cm−1 centered near 2560 cm−1 were caused by the stretching vibration of the COO group of the carboxylate on the LN-CeO2-100 catalysts. The broad peak, which occurred at 2078 cm−1, was related to CO-Ce3+ and was caused by CO adsorption on LN-CeO2 catalysts. The sharp peak at 1036 cm−1 and many smaller peaks around 1020–1100 cm−1 may be linked to the vibration modes of carbonate species produced on the LN–CeO2 catalyst surface. It is possible to attribute the sharp peak at 1278 cm−1 to the bidentate carbonates O-C-O stretching vibration. The peaks, which were the typical peak of formate species, were found approximately at 1600 cm−1, and can be linked to the asymmetric stretching vibration of the O-C-O group. These results indicate that the formate (HCOO−) species was formed by LN-CeO2 catalysts. In this scenario, the intermediate formate (HCOO−) species in the CO2 hydrogenation process could be configured on the LN-CeO2-100 catalysts, and the formate (HCOO−) species passed through deconstruction to release CO at high temperature [87].
The decomposition of formate has long been regarded as a significant pathway for the RWGS reaction. Nonetheless, one of the most essential paths, particularly for reducible oxide-supported metal catalysts, is the carbonate route [88]. Surface carbonates are designated as reaction intermediates, while formates are characterized as “minor intermediates” owing to a stronger bonding and lower exchange rate found in transient isotopic studies [89]. Using in situ DRIFTS experiments, Zhang et al. revealed that CO2 may be activated efficiently over the Cu-CeO2 catalyst via the formate and carbonate pathways in the presence of oxygen vacancies [88]. To discover reaction intermediates and speculate the probable reaction routes, Dai et al. performed in situ DRIFTS analysis on a series of Ga2O3CeO2 composite oxide catalysts with varied Ga2O3 and CeO2 ratios [90]. They concluded that, in case of pure Ga2O3 with no CeO2 the system creates bicarbonate intermediates, which are more likely to hydrogenate to CH4 at high H2 levels. The reaction mechanism for composite oxides and CeO2 may involve the formation of formate, which reacts with H* to generate HCOOH*, dehydrates to produce CO*, and then eventually transforms to CO (Figure 4b) [90]. Li. et al. used Cu and Cu-In active metals to get insight into the RWGS reaction mechanisms over the bimetallic catalysts on CeO2 support [91]. In case of Cu-CeO2, the rich contact between a highly dispersed Cu, for H2 dissociation (Equation (5)), and defective CeO2, for CO2 activation (Equation (6)), results in a high RWGS activity on CeO2 (Figure 4c). On the other hand, Cu5In5-CeO2 has lower RWGS activity than Cu10-CeO2 due to the presence of In, which enhances the level of Cu aggregation and fills oxygen vacancies on CeO2 (Figure 4d). The catalysts were followed the routes shown in Equations (5)–(8) [91].
Figure 4.
The associative mechanism of the RWGS reaction over (a) LN-CeO2, reprinted with permission from [86]. Copyright Elsevier, 2022, (b) Ga2O3−CeO2, reprinted with permission from [90]. Copyright Wiley, 2022, (c) Cu-CeO2, reprinted with permission from [91]. Copyright ACS, 2022, (d) Cu5In5-CeO2, reprinted with permission from [91]. Copyright ACS, 2022.
Figure 4.
The associative mechanism of the RWGS reaction over (a) LN-CeO2, reprinted with permission from [86]. Copyright Elsevier, 2022, (b) Ga2O3−CeO2, reprinted with permission from [90]. Copyright Wiley, 2022, (c) Cu-CeO2, reprinted with permission from [91]. Copyright ACS, 2022, (d) Cu5In5-CeO2, reprinted with permission from [91]. Copyright ACS, 2022.

Although noble metal–loaded CeO2 catalysts have been proven to be active for the RWGS reaction, the reaction mechanism remains a point of contention. Earlier research on Pt-CeO2 catalysts, for instance, has revealed that intermediates like carbonates and formates have an essential part in the reaction, implying an associative mechanism [89,92]. At 300 °C, however, WGS process is predominantly controlled by a redox mechanism over Pt-CeO2 catalyst [93]. Chen et al. in their research work on Pt-CeO2 catalyst identified that despite the fact the redox and dissociation mechanisms coexisted in the RWGS reaction over Pt/CeO2 catalyst, the dissociation mechanism, which involves the creation of intermediates, has been identified as the main pathway for CO generation due to difficulty of the CO2 molecules adsorbing on Ce3+ active sites to directly generating CO (Figure 6a) [94]. In situ reflectance FTIR studies were carried out to gain more understanding of the reaction process and to analyze the generated intermediates during the RWGS reaction (Figure 5b) [94]. The peaks at 2045 and 1772 cm−1 were thought to be responsible for the linear- and bridge-bonded CO on the reduced Pt particles’ surface. The peak at 1940 cm−1 was attributed to the linearly adsorbed CO at the Pt and CeO2 contact areas. The spectrum at 2130 cm−1 was compatible with the Ce3+−CO assignment, where the CO is adsorbed on Ce3+ sites. The peaks of 2830 and 1600 cm−1, respectively, emerged by formation of the formate and carbonate species. Purged by He stream, the evidence of the formates and CO adsorbed on Ce3+ sites diminished immediately, whereas the strength of the peaks due to the linearly adsorbed CO at the contact sites and the Pt-CO species faded gradually. This indicates that even while inert gas was flowing, the produced CO was highly adsorbed on certain metals or interfacial sites. In the meantime, there is a weak connection between the produced formate species and the CO adsorbed on Ce3+ sites. The findings reveal that it is challenging for the CO2 molecules adsorbed on Ce3+ active sites to produce CO directly (surface redox mechanism). The alternate dissociative pathway is more likely, where the synthesis of formate species as major intermediates is possible via the interaction of adsorbed CO2 with H2 that ultimately decomposes into CO [94].
Goguet et al. investigated the reaction mechanism and intermediates in RWGS using a Pt/CeO2 catalyst and reported that it followed the redox mechanism [84]. They stated that the RWGS reaction took place through surface carbonate intermediates, with carbonate species forming at the reduced CeO2 surface (Figure 6b) [84]. On Au-CeO2 catalysts, heterolytic dissociation is feasible at 150 °C, leading to a hydroxide and gold hydride groups [95]. In order to have a better understanding of the mechanism, Wang et al. conducted research on Au-CeO2 (Figure 6c,d) [80,96]. In their study in 2013, they found that CO2 reacts with a pre-reduced Au/CeO2 catalyst to produce active oxygen, indicating a redox mechanism for the RWGS reaction at temperatures over 200 °C (Figure 6c) [80]. Later, in their published work in 2015, they concluded that even though it was thought that the RWGS reaction was dominated by an associative reaction pathway, some evidence of redox mechanism was seen in the RWGS reaction at temperatures above 120 °C (Figure 6d) [96].
Figure 5.
Operating DRIFT spectra captured after injecting a CO2/H2 mixture: (a) LN−CeO2, reprinted with permission from [86]. Copyright Elsevier, 2022, (b) Pt−Ce catalyst calcined at 500 °C, reprinted with permission from [94]. Copyright Elsevier, 2016.
Figure 5.
Operating DRIFT spectra captured after injecting a CO2/H2 mixture: (a) LN−CeO2, reprinted with permission from [86]. Copyright Elsevier, 2022, (b) Pt−Ce catalyst calcined at 500 °C, reprinted with permission from [94]. Copyright Elsevier, 2016.

Figure 6.
Model for the reaction mechanism of the RWGS reaction over (a) Pt−CeO2, reprinted with permission from [94]. Copyright Elsevier, 2016, (b) Pt−CeO2, reprinted with permission from [84]. Copyright Elsevier, 2004, (c) Au−CeO2, reprinted with permission from [80]. Elsevier, 2013, (d) Au−CeO2, reprinted with permission from [96]. Copyright Royal Society of Chemistry, 2015.
Figure 6.
Model for the reaction mechanism of the RWGS reaction over (a) Pt−CeO2, reprinted with permission from [94]. Copyright Elsevier, 2016, (b) Pt−CeO2, reprinted with permission from [84]. Copyright Elsevier, 2004, (c) Au−CeO2, reprinted with permission from [80]. Elsevier, 2013, (d) Au−CeO2, reprinted with permission from [96]. Copyright Royal Society of Chemistry, 2015.

There are some reports indicating the reaction to follow neither of the two dominant pathways. Shen et al., for example, investigated the mechanism on the Ni-CeO2 catalyst in the RWGS reaction and proposed a novel perspective into the reaction mechanism (Figure 7), arguing that CO2 was initially adsorbed on the hydroxyl groups of Ce3+–OH rather than oxygen vacancies (1, 2), resulting in the formation of the bicarbonate intermediate (*HCO3) (3). The bicarbonate intermediate was then converted to formate (*HCOO) (4), with CO being generated by the highly active H− in Ce–H (5) [97]. According to DFT and DRIFTS investigations, the high selectivity is attributed to the low CO affinity, but the higher catalytic activity is due to the abundance of C-H species [97].
Figure 7.
The proposed reaction mechanism of the RWGS reaction over Ni-CeO2 catalyst.
Deng et al. synthesized 10Ga5Cu-CeO2 catalyst using direct pyrolysis for photothermal catalytic RWGS reaction and identified the mechanism by in situ DRIFTS (Figure 8a) [98]. It revealed that the addition of Ga increased the synthesis of formate species, which are essential intermediates in CO2 hydrogenation, and light irradiation promoted the breakdown of formate species to carbonyl, resulting in increased CO generation [98]. In contrast, by using Ga2O3 as a catalyst for the RWGS reaction after adding an amount of CeO2 as a promoter, Zhao et al. established that adding CeO2 to the reaction increased the development of bicarbonate species intermediates that could form H2O and CO by interacting with H dissociated on the Ga2O3 surface [99]. Yang et al. provided a unique approach for boosting RWGS rate under H2 lean conditions at low temperatures, in which they evaluated a % Cu-CeO2 catalyst under visible light illumination, which increased catalytic activity by 30% at 250 °C (Figure 8b) [100]. Using various techniques and analysis, they discovered that, under visible light irradiation, the localized surface plasmon resonance (LSPR) created by Cu nanoparticles induces heated electron transfer to ceria, triggering desorption of bidentate formate and linear-CO transition specie [100].
Figure 8.
The associative mechanism of the RWGS reaction over (a) 10Ga5Cu−CeO2, reprinted with permission from [98]. Copyright Elsevier, 2021, (b) Cu−CeO2, reprinted with permission from [100]. Copyright Elsevier, 2022.
These possible alternatives indicate that there is no universal mechanism in RWGS reaction, and the reaction pathway is highly sensitive to the active metals/oxides, supports, and reaction conditions. Therefore, condensing such data into a table that succinctly explains the impact of the selectivity or functionality of active metal oxide on RWGS reaction mechanism is beneficial (Table 1).
Table 1.
Dominated mechanism in RWGS reaction based on different kinds of metal-CeO2.
3. Kinetics of RWGS Reaction
An understanding of reaction kinetics is necessary for designing a practical reactor. The majority of stated kinetic rate formulations for CO2 hydrogenation reactions are based on Langmuir-type expressions since various reactions occur and adsorption factors influence the kinetics [101]. Interestingly, CO2 RWGS is reported to be a faster process with a lower activation energy than the WGS reaction on many of the metal/oxides [102,103]. Recently, much research on the activity and stability of different active metals using CeO2 support has been performed on the RWGS reaction; however, just a few kinetic and mechanistic studies have been reported on the RWGS reaction [104,105,106]; in most cases, the Langmuir kinetic model or power law equations have been used to explain the reaction kinetics.
Poto et al. adopted single-, dual-, and three-adsorption-site to model the kinetics of CO2 hydrogenation to methanol over a Cu-CeO2/ZrO2 catalyst [107]. The findings reveal that H2 is adsorbed and dissociated on Cu0 sites, whereas CO2 is drawn to the oxygen vacancies formed by the CeO2-ZrO2 solid solution. Following that, the adsorbed H interacts selectively with the carbon atom, preferring the “formate” pathway. The CO produced by the RWGS process could desorb to the gas phase or undergo hydrogenation to yield methanol. Table 2 shows the suggested rate equations for the RWGS, where k1 is the kinetic constant and bi adsorption constants of i compound. The reaction rate law, first proposed by Henkel [108], was later modified by Graaf et al. [109]. The results showed that the reaction rates rise noticeably with the H2/CO2 concentration ratio and exponentially with temperature. They found that higher reaction rates and less H2 consumption in the feed could be obtained from a more hydrophobic surface due to a lower H2O adsorption and higher desorption rate from Cu0 sites on such surfaces [107]. In order to increase the resilience of the model results, they developed a process that evaluated the sensitivity of models to the preliminary data. This method included repeatedly conducting the optimization algorithm (as a loop), with recently obtained results serving as the initial guesses. Based on the examination, it was determined that the kinetic model satisfied the physicochemical restrictions [107]. To speed up reactions and decrease the demand for H2 in the feed, the authors suggested a more hydrophobic surface which may exhibit faster desorption from Cu0 sites and weaker H2O adsorption [107]. Unfortunately, very few investigations have looked into the reaction rate of M-CeO2 catalysts in RWGS reaction; hence, the following studies will compare the reaction rates of several catalytic systems in order to gain insight into the kinetics of the RWGS reaction and the factors that affect the rate of CO2 conversion into CO.
Lalinde et al., studied the RWGS reaction kinetics using an ordered-mesoporous Ni-Al2O3 catalyst [110]. Within the studied temperature range, they found that the rate equation for the RWGS reaction (Table 2) also comprises the WGS reaction, owing to the low equilibrium constant (Keq,RWGS = 0.03 and 0.1 at 320 °C and 420 °C, respectively,) and formation of CO being the rate-determining step (RDS) [110]. In their proposed reaction rate the parameters are: k2 = kCO·kCO2 as rate constant, kβ as the theoretical gas phase equilibrium compared to the equilibrium on the catalyst surface, and pi as partial pressure of species i in gas mixture (bar). The experimental results and the local concentrations predicted by models were in good agreement [110]. Moreover, the results were consistent with another similar work by Kopyscinski et al. [111]. The reaction orders and the RDS can change depending on reaction parameters [112]. For example, reaction orders involving PH2 and PCO2 alter as the partial pressures of the gases change [104,105,113]. Ginés et al. investigated the reaction rate on the CuO-ZnO/Al2O3 catalyst as well as establishing a relationship between the reaction orders for H2 and CO2 in the RWGS reaction [105]. They confirmed that over a PCO2:PH2 ratio of less than 1:3, the reaction rate was strongly sensitive to PCO2 (order of 1.1) and irrespective to H2 (0 order), probably owing to surface deconstruction that favors CO2 dissociation. Whereas, at a moderate ratio of partial pressures (>1:3), they suggested that the reaction rate is reliant on both gases with order of 0.3 for PCO2 and 0.8 for PH2. The terms in their proposed reaction rate (provided in Table 2) are as follows: X denotes CO2 conversion and Lo indicates the amounts of active sites in a fresh sample [105]. Kim et al. found that the RWGS reaction kinetics with Pt-reducible supports, e.g., Pt-TiO2 and Pt-Al2O3 synthesized by impregnation method, were compatible with the redox mechanism [79,114]. The suggested reaction rate, as presented in Table 2, was developed using Ct as the concentration of active sites in unused catalysts [79]. Using a commercial Pt-Al2O3 catalyst this time, Jadhav et al. studied the RWGS reaction kinetics and impact of reaction parameters on catalyst efficiency, and discovered that increasing pressure increased CO2 conversion value [115]. The reactor was tested in varied reaction settings to see how the temperature and H2/CO2 ratio in the feed affected reaction rate. It was realized that as the H2 concentration in the feed increased (the partial pressure of hydrogen increased) a higher CO2 conversion and reaction rate were achieved. Moreover, at the same PH2/PCO2, as the temperature increased from 573 to 673 K, the reaction rate rose from 0.009 to 0.044 mol/h/g [115]. In addition, the conversion values calculated in this study were lower than those obtained by Kim et al. using impregnated Pt-Al2O3 [79,115]. Ghodoosi et al. used a redox kinetic model over the Fe-Mo/Al2O3 catalyst for the RWGS reaction in a fixed-bed reactor to develop their rate model to describe the reaction kinetics [116]. They looked at the influence of feed gas temperature and discovered that, at high feed temperatures, the temperature drop in the reactor rises. The reason is, with increasing gas mixture temperature in feed, the rate of the reaction increases and because of the endothermic nature of RWGS reaction, it consumes more heat, causing the temperature to decrease [116]. In order to assess the proposed reactor model, three sets of experimental data were used. The outcomes demonstrated a good consistency between the model predictions and experimental findings under non-equilibrium conditions, with an average deviation of 2.7%, and an average absolute inaccuracy of 5.6%, proving that the suggested model can effectively predict the operation of the fixed-bed reactor for the catalytic RWGS reaction [116]. In another study, Chen et al. employed atomic layer epitaxy (ALE) as an alternate approach to synthesize homogenous Cu nanoparticles supported on SiO2 [117]. The RWGS pathway using ALE-Cu/SiO2 catalysts proceeded via a formate transition species, and the CO2 and CO adsorption sites for the forward and reverse mechanisms were independent [117]. Najari et al. synthesized Fe-K/γ-Al2O3 catalysts via the impregnation method to perform the RWGS reaction in a lab-scale fixed-bed reactor [118]. Based on their observations, they suggested the use of the Artificial Bee Colony (ABC) method to predict kinetic values and utilize Differential Evolution (DE) optimization methods based on the Langmuir–Hinshelwood–Hougen–Watson (LHHW) mechanism to meet the kinetic requirements [118]. The ABC method outperformed the DE algorithm in forecasting total hydrocarbon selectivity, with an error rate of 6.3% compared to 32.9%. As a result, the ABC model was used to analyze the distribution of the products. Results showed that at 573 K and 1 MPa, a maximum selectivity of 73.21% for hydrocarbons can be reached with a 0.85% inaccuracy compared to the experimental result of 72.59% [118]. The proposed reaction rate (presented in Table 2), is similar to their other works [61,119]. As per their evaluations, the kinetic parameters obtained by using the ABC algorithm were roughly in line with those published in earlier investigations, taking into account the different catalytic characteristics and reaction conditions [118]. More research is required to fully comprehend how critical factors affect reaction rate and distribution of products. Using the same catalyst, but the two-step incipient wetness impregnation technique, Brübach et al. developed a new LHHW type kinetic rate statement for RWGS reaction [120]. The best performing model was derived under the assumption of H-assisted CO2 and H-assisted CO dissociation mechanisms, supported by recent mechanistic studies. The statistical analysis demonstrated a significant association between the inhibition coefficients and reaction rate constants, as well as some lack of certainty in the estimated parameters. Since LHHW expressions have a mathematical structure, it is unfortunate that this seems to be inevitable. At a similar actual flow rate, pressure changes from 10 to 20 bar resulted in a considerable increase in CO2 conversion. Nevertheless, they believed this was primarily due to an increase in residency time. Increasing the temperatures accelerated the reaction rate and pushed the CO selectivity to higher values for the same CO2 conversion rate. A similar impact was seen when the H2/CO2 ratio was increased [120].
Table 2.
Proposed reaction rate for some catalysts in RWGS reaction.
Table 2.
Proposed reaction rate for some catalysts in RWGS reaction.
| Catalyst | RWGS Reaction Rate | Assumption | Ref. |
|---|---|---|---|
| Cu-CeO2/ZrO2 |
| [107] | |
| Ni-Al2O3 |
| [110] | |
| CuO-ZnO/Al2O3 |
| [105] | |
| Pt-TiO2 Pt-Al2O3 |
| [79] | |
| Pt-Al2O3 |
| [115] | |
| FeMo-Al2O3 |
| [116] | |
| ALE-Cu/SiO2 |
| [117] | |
| Fe-K/γ-Al2O3 |
| [118] | |
| Fe/K@γ-Al2O3 |
| [120] |
4. Effect of Different Parameters on Catalyst Performance in RWGS Reaction
4.1. Preparation Methods
The method of catalyst preparation determines the metal-support interaction and morphological properties of the final catalysts that considerably impact the performance of the catalysts. The impact of different preparation procedures of 1 wt.% Ni-CeO2, e.g., co-precipitation (CP), deposition–precipitation (DP), and impregnation (IM) approaches, on the physicochemical and catalytic characteristics in the RWGS reaction was explored by Luhui et al. [121]. The Ni-CeO2-CP catalyst achieved the highest conversion rate in the RWGS reaction when compared to the Ni-CeO2-DP and Ni-CeO2-IM catalysts (Figure 9a); however, the CO selectivity followed the order: Ni-CeO2-IM > Ni-CeO2-CP > Ni-CeO2-DP (Figure 9b). As confirmed by TPR analysis, an integration of numerous oxygen vacancies and broadly dispersed small NiO particles was considered to be the reason for the outstanding performance of the Ni-CeO2-CP catalyst in terms of high activity and good selectivity. This suggests that more nickel ions were integrated into the CeO2 lattice to develop a solid solution. The Ni-CeO2-DP catalyst has only a limited number of oxygen vacancies in comparison to the Ni-CeO2-CP catalyst, which results in low RWGS selectivity. It was proposed that the RWGS selectivity was strongly influenced by the oxygen vacancies. It is believed that the solid solution of CexNiyO is produced when the Ni2+ ions are inserted into the ceria lattice to substitute certain Ce4+ cations [121]. Oxygen vacancies are produced by the lattice distortion and charge imbalance that occur within the CeO2 structure [122,123]. Several reports have indicated that precipitated ceria-based catalysts have distinct properties depending on the precipitants used, which significantly influence structural properties and catalytic performance [124,125,126,127,128,129]. In other work by the same group, Luhui et al. used the CP method to make a range of Ni-CeO2 catalysts using Na2CO3, NaOH, as well as a combination of precipitants (Na2CO3:NaOH; 1:1 ratio) in order to investigate their catalytic efficacy in the RWGS reaction [130]. According to the structural characterization findings, the catalyst developed by the mixed precipitating agents (Na2CO3:NaOH; 1:1 ratio) exhibited the highest oxygen vacancies along with high Ni particle dispersion, resulting in the highest catalytic activity for the corresponding catalyst (Figure 9c), whereas the precipitants’ catalytic selectivity for CO were ranked as: NaOH > Na2CO3 > Na2CO3:NaOH = 1:1 (Figure 9d) [130]. The technique used to synthesize the CeO2 catalyst has a substantial impact on its structure, and the structure of the synthesized catalysts can greatly influence the catalytic performance in the CO2 RWGS reaction [131]. Hard-template (HT), complex (CA), and precipitation strategies (PC) were used to synthesize CeO2 catalysts with various structures, and their efficiency in the CO2 RWGS reaction was examined by Dai et al. [131]. The Ce-HT catalyst had the greatest CO2 RWGS reaction activity due to its porous structure (TEM), high specific surface area of 144.9 m2.g−1 (BET), and abundance of oxygen vacancies; Ce-HT > Ce-CA > Ce-PC is the temperature sequence in which the catalysts reduce in the presence of H2 at low temperatures (H2-TPR) [131]. Xiaodong et al. carried out the RWGS reaction over Pt-CeO2 catalysts at temperatures between 200 and 500 °C under atmospheric pressure and various pretreatment conditions using the co-precipitated technique [94]. The samples were represented as PC-M-N, where PC stands for the co-precipitated 1%Pt-CeO2 catalyst and M and N stand for the calcination and reduction temperatures of the samples, respectively, (Figure 9e) [94]. The catalyst prepared at a lower calcination temperature (PC-500-400) demonstrated a more favorable catalytic performance than the others due to its high Pt dispersion [94]. In another study, Ronda–Lloret et al. investigated the use of metal organic frameworks (MOFs) as precursors instead of merely using the traditional wet impregnation (WI) method in the production of CuOx-CeO2 catalysts [132]. After impregnating Cu-MOF using a ceria precursor, they flash-pyrolized (PF) the impregnated MOF applying distinctive conditions and procedures and compared the performances in the RWGS reaction with the WI synthesis technique finding that the MOF-derived catalyst outperformed the other catalyst (Figure 9f) [132]. Throughout the thermal decomposition procedure, the metal ions in MOFs are transformed into metallic or metal oxide nanoparticles, while the organic linkers produce carbonaceous formations which can function as supports and promote active phase distribution [133]. As Ronda–Lloret et al. concluded, by changing the pyrolysis environment, an oxidizing environment may be produced that prevents sintering and keeps copper oxidized during decomposition. Using air in the decomposition process causes the creation of copper oxide compounds that sinter with more difficultly than the metallic copper. This promotes the interaction with the ceria support, which improves its catalytic behavior. Thus, by utilizing air, highly dispersed CuO on CeO2 can be created that is readily reducible and exhibits strong interactions with the ceria [132].
Figure 9.
Effect of preparation methods on metal-CeO2 RWGS reaction: (a) Ni-CeO2 -activity, reprinted with permission from [121]. Copyright Elsevier, 2013, (b) Ni-CeO2-selectivity, reprinted with permission from [121]. Copyright Elsevier, 2013, (c) Ni-CeO2 -activity, reprinted with permission from [130]. Copyright Elsevier, 2013, (d) Ni-CeO2-selectivity, reprinted with permission from [130]. Copyright Elsevier, 2013, (e) Pt-CeO2, reprinted with permission from [94]. Copyright Elsevier, 2016, (f) CuOx-CeO2-activity, reprinted with permission from [132]. Copyright Elsevier, 2018.
4.2. Shape and Crystal Face Effect
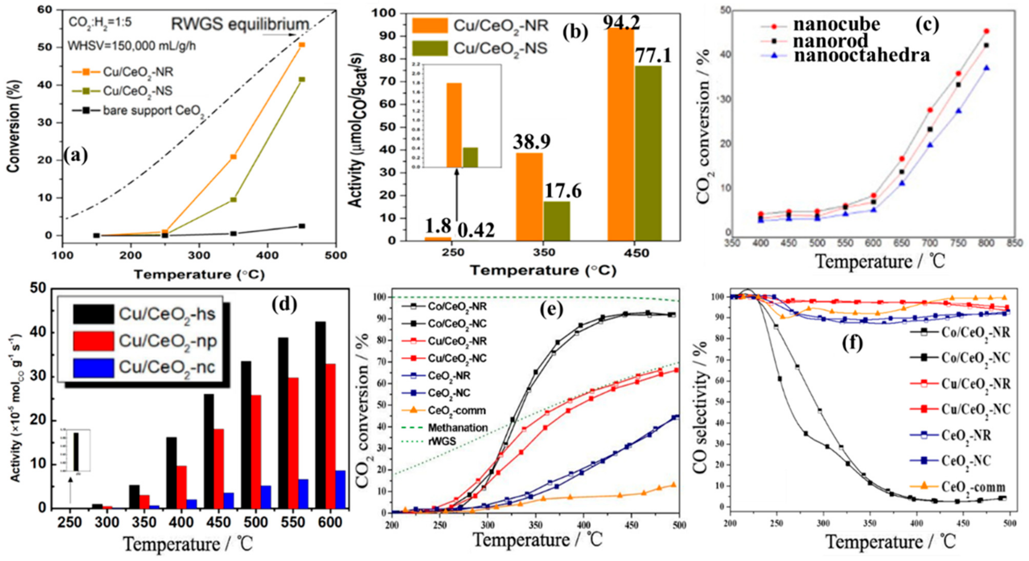
The form and exposed crystal face of catalysts have a major impact on RWGS reaction activity since they may control the adsorption and desorption energies of precursors in the reaction process [134,135,136]. Thus, the efficiency of CeO2 supported catalysts can be modified by conducting experiments with various morphologies. The RWGS reaction was studied by Kovacevic et al. over cerium oxide catalysts of various morphologies: cubes, rods, and particles [137]. Using TPR they found that surface oxygen is less removable in the case of nanoshapes with a high concentration of oxygen vacancies and, compared to rods and particles, cerium oxide cubes had twice more activity per surface area. The stronger intrinsic reactivity of (100) crystal planes encapsulating cubes, as opposed to less intrinsically reactive (111) facets exhibited in rods and particles, results in enhanced catalytic activity of ceria cubes in RWGS [137]. In another study, Lin et al. found that under similar conditions and the same active metal, the CeO2(110) surface has substantially more activity than the CeO2(111) surface, indicating that the ceria support performance is facet-dependent (Figure 10a,b) [81]. According to their study, once Cu particles are loaded onto the CeO2-Nanorod (NR) and CeO2-Nanosphere (NS) surfaces, the NR sample exhibits greater RWGS reaction activity. This is mostly due to the increased feasibility of CO2 dissociative activation and the generation of active bidentate carbonate and formate intermediates over CeO2(110) [81]. Liu et al. used RWGS to compare crystal plane reactive activity in three nano-CeO2s with varied exposed planes [83]. The overall order of RWGS reactive efficiency of the three studied CeO2 shapes was ceria nanocube (NC) > ceria-NR > ceria-nanooctahedra (NO), as shown in Figure 10c [83]. It is well established that oxygen vacancies formation on ceria (100) or (110) consume less energy than creating them on ceria (111) [138,139]. As a result, the ceria (100) and (110) planes seem to be more attractive choices for catalyzing processes that involve an oxygen cycle with adsorbates [83]. This could be the main reason why the ceria-NC exposed (100) plane had the best CO2 conversion and selectivity.
Figure 10.
Effect of shape and crystal face on metal-CeO2 RWGS reaction: (a,b) Cu−CeO2, reprinted with permission from [81]. Copyright ACS, 2018, (c) CeO2, reprinted with permission from [83]. Copyright Elsevier, 2016, (d) Cu−CeO2, reprinted with permission from [88]. Copyright Elsevier, 2020, (e,f) M−CeO2 (M = Co or Cu), reprinted with permission from [140]. Copyright MDPI, 2019.
Zhang et al. developed self-assembled CeO2 with 3D hollow nanosphere (hs) (111), nanoparticle (np) (111), and nanocube (nc) (200) morphologies that were employed to support Cu particles [88]. Owing to the large levels of active oxygen vacancy sites, the Cu-CeO2-hs(111) exhibited the greatest RWGS catalytic activity among the studied catalysts (Figure 10d) [88]. Konsolakis et al. looked into the influence of the active phase type and ceria nanoparticle support morphology (NR or NC) on the physicochemical characteristics and CO2 hydrogenation capability of M-CeO2 (M = Co or Cu) composites at 1 atm [140]. Regardless of support structure, CO2 conversion was reported to follow the following order: Co-CeO2 > Cu-CeO2 > CeO2 with the Cu-CeO2 sample being far more selective toward CO than Co-CeO2 (Figure 10e,f). The Co catalysts supported on NC ceria demonstrated slightly higher catalytic activity than Co supported on rod-like forms, highlighting the importance of support morphology in addition to the choice of metal element; for Cu-based samples and bare CeO2, the pattern was the opposite [140].
Figure 11 displays the lattice characteristics of cerium oxide under various conditions based on the work of Lin et al. [81]. To assess the reduction level of support, nonthermal lattice expansion of cerium oxide was used (which represents the creation of Ce3+ in the bulk phase). Ceria lattice constant would rapidly drop when the reduced catalysts were exposed to reactant gas at room temperature, suggesting that the oxygen vacancies were regenerated by CO2 breakdown on the surface of the catalyst. As marked with red squares in Figure 11, in reaction settings and in temperatures ranging from 45 to 110 °C, the CeO2 lattice of Cu/CeO2-NR shrank significantly with temperature. Cu/CeO2-NS, however, had a small rise in the lattice parameter. This behavior suggested that, at low temperatures, Cu/CeO2-NR was more favorable for CO2 activation than Cu/CeO2-NS [81].
Figure 11.
CeO2 lattice constant for Cu/CeO2-NR and Cu/CeO2-NS catalysts, reprinted with permission from [81]. Copyright ACS, 2018.
4.3. Metal–Support Interactions
Activation of catalysts by pretreatment at high-temperature in the presence of hydrogen is often adopted to reduce the oxide nanoparticles and generate oxygen vacancies on the reducible support surface; however, such activation procedures can develop greater interactions between metal nanoparticles and the support, which has been reported to impact catalytic activity in varying ways: positively [141], negatively [142], or in some cases insignificantly [143]. The strong metal–support interaction (SMSI) phenomenon, which typically develops in metals and reducible oxides subjected to high reduction temperature, is one such case [144]. The type of the support [145], metal composition [146], and catalyst synthesis procedure can all influence metal–support interaction (MSI) [147]. According to Goguet et al., the major active site in the RWGS reaction over Pt-CeO2 catalyst is the interface among Pt and CeO2 and the reducible site of CeO2, which is created by the SMSI effect of Pt and CeO2 [84].
SMSI between Cu species and CeO2 helps in boosting the reducibility and stability of associated catalysts, which is favorable for catalytic reduction processes [148]. The results of a study by Zhou et al. showed that the H2 reduction at 400 °C can create oxygen vacancies and active Cu0 species as active sites in Cu-CeO2 catalysts [149]. The SMSI phenomenon allows electrons to move from Cu to Ce on its surface, forming the Ce3+-Ov-Cu0 and Cu0-CeO2-δ interface structures that increase the adsorption and activation of the reactant in RWGS reaction. The results suggested that the Cu-CeO2 catalyst with 8 wt.% Cu had the best CO2 conversion yield (Figure 12a). The full synergistic interaction between the active species via Ce3+- oxygen vacancy-Cu0 was attributed to its high catalytic activity in the RWGS process [149].
Aitbekova et al. designed the 2.6 nm Ru equally distributed on Al2O3, TiO2, and CeO2 supports and tested in a CO2 reduction process [55]. Ru catalysts supported on TiO2 and CeO2 were significantly more active than those supported on Al2O3, but CH4 was the predominant product in all cases. Nonetheless, they reported that moderate oxidization of the catalyst at a temperature of 230 °C followed by low temperature reduction (230 °C), named as OX-LTR, leads to the Ru particles’ re-dispersion on CeO2, giving a nearly complete switching of product selectivity from methane to CO (Figure 12b), indicating that a weaker adsorption of CO on the single RuOx site is likely to result in increased selectivity. As they stated in their research, such re-dispersion appears only slightly in Al2O3- and TiO2-supported Ru, probably due to the lower Al2O3 and TiO2 and RuOx interaction as compared to the CeO2 support with RuOx. Moreover, a light oxidation of the catalysts at 230 °C coupled with a high reduction temperature of 500 °C, named as OX-HTR, favored the formation of SMSI in the case of Ru-TiO2; however, the Ru-CeO2 catalysts (both OX-LTR and OX-HTR) exhibited fairly similar rates, implying the effect of SMSI is negligible for CeO2-supported Ru materials under the CO2 hydrogenation conditions investigated [55]. Similar conclusions were derived by Tauster et al. in a separate study [150].
A capping layer encircling the supported nanoparticles is commonly observed as evidence of the impact [151]. The existence of such an action, on the other hand, could be linked to charge transfer across metallic nanoparticles and the oxide support [152]. For example, Figueiredo et al. synthesized CuxNi1–x-CeO2 (x = 0.25, 0.35 and 60) nanoparticles for use in the RWGS reaction and investigated the SMSI influence on CO2 dissociation reaction by exploring the nanoparticles’ electrical and structural features and discovered the reactivity of nanoparticles was proportional to the Cu content on the surface with Cu-richer ones having a negative impact on the CO2 dissociation reactivity [153]. According to their experimental results, through the reduction treatment, the SMSI effect does not actually impact nanoparticles synthesized with low Cu amounts (Figure 12c). The SMSI situation caused the support’s capping layer that surrounds the nanoparticle surface to cover the catalytic active spots on the surface of the nanoparticle, leading to a decrease in the reactivity of CO2 dissociation [153].
Figure 12.
Effect of Effect of metal–support interactions on metal-CeO2 in RWGS reaction: (a) Cu-CeO2, reprinted with permission from [149]. Copyright Elsevier, 2020, (b) Ru-CeO2, reprinted with permission from [55]. Copyright ACS, 2018, (c) CuxNi1–x-CeO2, reprinted with permission from [153]. Copyright ACS, 2020.
Figure 12.
Effect of Effect of metal–support interactions on metal-CeO2 in RWGS reaction: (a) Cu-CeO2, reprinted with permission from [149]. Copyright Elsevier, 2020, (b) Ru-CeO2, reprinted with permission from [55]. Copyright ACS, 2018, (c) CuxNi1–x-CeO2, reprinted with permission from [153]. Copyright ACS, 2020.

Looking more into the work of Zhou et al., the CO2-TPD profiles of the xCu/CeO2-δ catalysts are presented in Figure 13, and show two unique CO2 desorption peaks for each sample [149]. The area of the CO2 desorption peak and the number of CO2 adsorption active sites present on the surface of the relevant catalyst are invariably connected. By increasing Cu loading, the peak regions for the ε peak exhibited a volcano pattern, reaching their highest on the 8Cu/CeO2-δ catalyst. This was explained in their work by the fact that increasing Cu loading (8%) led to a greater number of Cu- CeO2-δ junctions and encouraged strong MSI. Nonetheless, at larger Cu loadings (>8%), a portion of the surface active sites may be coated by an extreme amount of Cu species [149]. When it comes to the peak φ, the peak regions initially start to increase, up to Cu loading of 10%, and then continue to decrease. This was explained by the fact that at lower Cu loadings up to 10%, the catalysts’ high specific surface areas enable CO2 molecules to adsorb on their surfaces, whereas at larger Cu loadings (above 10%), the catalysts’ active sites are reduced as a result of the evident decrease in specific surface areas [149].
Figure 13.
CO2-TPD analysis of the Cu/CeO2-δ catalysts, reprinted with permission from [149]. Copyright Elsevier, 2020.
4.4. Active Metal Loading
The influence of the catalysts’ composition has been investigated in many studies. Lloret et al. designed catalysts with two different Cu concentrations and two different quantities of ceria precursor, aiming to have two distinct molar ratios of 20Cu:80Ce and 40Cu:60Ce with two different decomposition methods: pyrolysis (P), and PF (Figure 14a) [132]. It was revealed that samples with a higher Cu level have weak catalytic activity, whereas catalysts with a lower Cu content have better catalytic behavior in the RWGS process [132]. It is interesting to note that the ceria crystal size is smaller in the catalyst with higher ceria content (lower Cu), and copper dispersion is reduced when there is a large copper loading. According to the TPR results, hydrogen consumption was higher and peaked at lower temperatures in the sample with less Cu. A high Cu content needed the degradation of a greater quantity of HKUST-1, creating a more reducing environment. Therefore, if higher Cu content is there, additional MOFs are needed to break down to adjust to the reducing environment [132]. The impact of metal nanoparticle concentration on CeO2-supported Pt and Ru catalysts with metal contents of 1, 5, and 10% on CeO2 has been investigated by Einakchi et al. [154]. Comparing Figure 14b,c, raising the metal loading from 1 wt.% to 10 wt.% clearly degrades the activity of Pt catalysts, while it seems to favor the RWGS activity of Ru catalysts. Ru and Pt catalysts are likely to have lower metal dispersion at 10 wt.% when compared to metal loadings of 1 wt.%. The high catalytic performance of Pt-CeO2 was found to be linked with metal loading and particularly sensitive to metal dispersion, with 1 wt.% Pt displaying the optimum catalytic performance. Unlike Pt-CeO2, no correlation was identified between Ru catalyst RWGS activity and metal loading (Ru dispersion); nonetheless, 5 wt.% Ru metal was proven to be the best loading for Ru-CeO2 catalysts [154]. In another study, Wang et al. prepared Co-CeO2 catalysts with different cobalt concentrations (0, 1, 2, 5, 10%) using the CP method employed in the RWGS reaction [54]. The findings revealed that the sample with 2% Co on CeO2 support showed highly dispersed Co3O4 on CeO2 surface displaying a strong MSI that resulted in an outstanding RWGS catalytic efficiency in terms of activity, CO selectivity, and minimal carbon deposition. Nevertheless, bulk Co3O4 with bigger particle size generated in catalysts having high Co content (5% and 10%) lead to considerably higher carbon deposition and enhanced by-product CH4 generation throughout the process. Their results suggested that for the RWGS reaction, widely dispersed Co which is reduced from highly distributed Co3O4 on CeO2 support, ought to be a major active material, whereas solid Co that has a large particle size could be the main active component for methanation as well as carbon deposition (Figure 14d,e) [54]. The same group in another study investigated the effect of the content of cobalt supported on CeO2 prepared by a colloidal solution combustion technique to form mesoporous catalysts (Co-CeO2-M) and examined their activity and selectivity toward RWGS reaction and then compared the optimum Co amount sample with the same catalyst prepared by IM and CP [155]. The catalytic analyses revealed that the mesoporous 5% and 10%Co-CeO2 catalyst had high activity in the RWGS reaction (Figure 14f); however, 10%Co-CeO2 was less selective to CO formation than the 5%Co-CeO2 one. Nonetheless, both had good stability over a 10-h period at 600 °C. Moreover, the activity and selectivity of 5% Co-CeO2-M was higher than the 5% Co-CeO2-IM and 5%Co-CeO2-CP catalysts. They concluded that the superior catalytic performance of the 5%Co-CeO2-M catalyst was owing to its unique mesoporous configuration, in which the Co particle is dispersed throughout the pore wall and is in close contact to small CeO2 particles [155]. When defining the optimal catalyst in terms of activity and selectivity, metal dispersion is not the only factor to consider; the nature of the support also plays an important role. According to research by Jurkovic et al. on various supports for Cu-based catalysts, the supports with the greatest Cu dispersion were Al2O3 (77.7%) followed by ZrO2 (73.6%), CeO2 (67.6%), TiO2 (66.3%), and SiO2 (36.2%) [156]. Nevertheless, the alumina support was found to have the highest reported catalytic activity, followed by ceria, titania, silica, and zirconia. Ceria was ranked by TPR as the second-best support among the studied group, while having the third-best Cu dispersion, most likely because of its reducibility and capacity to hold oxygen [156]. Moreover, according to the literature, there is a direct correlation between the catalysts’ activity and acid-base properties [157]. According to Pino et al., the synergistic interaction of Ni and La2O3 on a La2O3 doped Ni-CeO2 catalyst boosted catalytic activity because of the creation of a basic site and Ni dispersion improvement [158]. Therefore, it can also be concluded that improving basicity of a catalyst might facilitate CO2 adsorption [74]. According to the research of Jurkovic et al., Al2O3 is a frequently used irreducible support with good performance, where its modest acidity could be a likely contributing factor [74,156].
Figure 14.
Effect of metal loading on metal-CeO2 RWGS reaction: (a) CuOx-CeO2, adapted with permission from [132]. Copyright Elsevier, 2018, (b,c) CO yield at 450 °C, (b) Pt-CeO2, (c) Ru-CeO2, (d,e) activity and selectivity of Co-CeO2, reprinted with permission from [54]. Copyright Elsevier, 2017, (f) Co-CeO2, reprinted with permission from [155]. Copyright Elsevier, 2018.
4.5. Metal Size Effect
The RWGS reaction is sensitive to the structure of the supported catalysts, and the size of the attached metal active sties that influence the adsorption, intermediate formation and desorption of the products [159]. Reducing the metal particle size may improve MSI by generating a larger metal–support interface, leading to positively increasing the RWGS reaction activity. Indeed, due to the SMSI affect, more oxygen atoms should be attached to the metal surface when the particle size decreases [160]. For example, Li et al. developed a 5% Ir-CeO2 catalyst including an Ir particle size of around 1 nm, and a 0.7% Ir-CeO2 catalyst with atomic dispersion of Ir [161]. Even though the dominant product of CH4 was produced by an Ir-CeO2 catalyst with large Ir particles (>2.5 nm), CO was produced mainly by the 5% and 0.7% Ir-CeO2 catalysts when Ir particle size was less than 1 nm, and the catalytic activity per mole of Ir increased (Figure 15a). They also discovered that due of the intense interaction with CeO2, 1 nm Ir particles and atomically dispersed Ir get partially oxidized, but large Ir particles, more than 2.5 nm, are mostly reduced. As a result, they concluded that the primary active site for a RWGS reaction is partly oxidized Ir that engages extensively with CeO2 support regardless of Ir particles or atomically dispersed Ir atoms [161]. Metal active sites distributed on an atomic level add more to the CO product than metal clusters at a 3D level [162]. In a study, Zhao et al. produced Pt-CeO2 catalysts with various Pt sizes to test the influence of size on CO selectivity in the RWGS reaction [163]. Three Pt-CeO2 catalysts were produced using CeO2 nanorods, including atomically dispersed Pt species as well as Pt clusters or particles of two different sizes (2.1 and 5.2). According to Figure 15 b, within the temperature range of 200 to 450 °C, the atomically distributed Pt-CeO2 catalyst (shown as Pt-CeO2-AA-350) exhibited almost 100% CO selectivity, whereas CO selectivity using Pt nanoparticles (5Pt-CeO2-IMP-350 catalyst with 5.2 nm particle size) reduced noticeably at elevated reaction temperature. Large-sized Pt species demonstrated high CO adsorption, resulting in the production of CH4 by further hydrogenation [163].
Figure 15.
Effect of metal size CeO2 support on RWGS reaction: (a) Ir-CeO2, reprinted with permission from [161], Copyright Wiley, 2017, (b) Pt-CeO2, reprinted with permission from [163]. Copyright Elsevier, 2021, (c) NiO-CeO2, reprinted with permission from [53]. Copyright Elsevier, 2014, (d) In2O3–CeO2, reprinted with permission from [164]. Copyright Elsevier, 2016.
Lu et al. developed mesoporous CeO2 (surface area = 100 m2 g−1) as well as NiO-CeO2 with large surface areas, narrow pore size dispersion, and homogeneous mesopores (intercrystallite voids) [53]. According to the results, with increasing temperature and NiO quantity, the CO2 conversion rate in RWGS reaction increased. As for CO selectivity, when less than 3 wt.% NiO was used, NiO particles monodispersed in mesoporous CeO2 resulting in a complete CO2 conversion to CO which was irrespective of temperature. For more than 3.5 wt.%, due to NiO particle aggregation, 100% CO selectivity was improbable below 700 °C (Figure 15c) [53]. Wang et al. studied the effect of CeO2 on RWGS in comparison to In2O3 [164]. The surface areas of the In2O3–CeO2 catalysts enhanced compared to pure In2O3; as the CeO2 content increased, the size of the In2O3 particles in the In2O3–CeO2 samples reduced and the dispersion of In2O3 particles in the In2O3–CeO2 increased. Besides, additional oxygen vacancies were formed (Figure 15d), which in turn enhanced the dissociative hydrogen adsorption and increased the quantity of bicarbonate species produced by activated CO2 adsorption [164].
4.6. Effect of Adding CeO2 as a Reducible Transition Metal Oxide Promoter
The inclusion of a cerium oxide as a promoter can affect CO2 adsorption and activation, as well as the activity and selectivity of the RWGS process [165,166]. Yang et al. showed in their work how adding ceria to alumina support (CeO2-Al2O3) helped in lowering acidity of Ni-based catalysts, which also minimized carbon deposition [167]. Figure 10a shows the catalytic performance of all samples versus temperature in terms of CO2 conversion. Moreover, introduction CeO2 to the unpromoted Ni-Al catalyst also improved its reducibility. As it is shown in Figure 16a, ceria improved unpromoted Ni-Al catalyst reducibility in that the Ni-CeAl catalyst had a reduction percentage (RP) of ~93%, compared to 86.5% for the reference Ni-Al catalyst. The authors concluded that their findings were mostly due to two aspects occurring together: (1) CeO2, as a promoter here, reduced the Ni-Al2O3 connection, leading to an increase in Ni particle reducibility, owing to the generated Ni-promoter interaction, and (2) because of its intrinsic redox capabilities, CeO2 offered additional oxygen mobility to the catalysts [96]. In another study by Lee et al., a set of Pt-CeO2-TiO2 catalysts were impregnated with different support combinations ranging from 0 to 20% to evaluate the influence of varied CeO2/TiO2 ratio on catalytic activity during RWGS reaction [82]. Accordingly (Figure 16b), increasing CeO2 loading improved the catalytic activity of Pt-impregnated catalysts, the Pt-20%CeO2-TiO2 sample showing the highest CO2 conversion. Based on their analysis, by substituting TiO2 with CeO2, the lattice and pore configuration changed in favor of more CO2 conversion in RWGS reaction (the mechanism is explained in Figure 3b) [82]. With the aim of improving adsorption and activation of CO2 on Ga2O3, Zhao et al. used CeO2 as a promoter with an optimum Ga:Ce ratio of 99:1 and employed RWGS reaction as a test reaction and indicator for the catalytic performance of the resultant samples [99]. The results showed the positive performance of CeO2-Ga2O3 (Figure 16c) due to the fact that the inclusion of CeO2 increases the production of bicarbonate species in CO2 adsorption, which is thermodynamically more advantageous [99]. The same catalytic system was studied by Dai et al., where the gel sol-gel process was used to create a variety of Ga2O3-CeO2 composite oxide catalysts with various Ga2O3 and CeO2 ratios [90]. When compared to pure Ga2O3 and pure CeO2, the composite oxide catalysts had smaller particles and showed high CO selectivity in the RWGS process. It was discovered that Ga2O3 has distinct reaction intermediates from CeO2 and Ga2O3-CeO2, making it easier to create methane in high H2 conditions, whereas CeO2 promotes CO selectivity. In a Ga2O3 to CeO2 ratio of 3:1, composite oxide showed the greatest activity (Figure 16d). This is mostly due to the creation of the GaxCeyOz solid solution phase and the development of additional active sites that result in an increased number of oxygen vacancies, which facilitate CO2 adsorption and activation. Moreover, it was found that GaCe composite oxides have a more homogeneous mesoporous structure and a greater pore volume, making mass transport in reactions easier [90]. In contrast, there are a few cases in which once ceria was introduced to a catalytic system, CO selectivity improved but CO2 conversion was slightly decreased [168]. Galvita et al., for example, developed a Fe2O3–CeO2 composite and discovered that incorporating ceria to iron oxide increased solid solution stability but reduced CO production capabilities [169].
Figure 16.
Effect of adding promoters on RWGS reaction: (a) Ni-CeAl, reprinted with permission from [167]. Copyright Elsevier, 2018, (b) Pt-CeTi at 400 °C, (c) CeO2-Ga2O3, reprinted with permission from [99]. Copyright Elsevier, 2012, (d) Ga2O3−CeO2, reprinted with permission from [90]. Copyright Wiley, 2022.
On the other hand, when a non-reducible transition metal oxide is used as a promoter for M-CeO2 catalysts, more oxygen vacancies can emerge during the reduction process [170]. For example, more thermally stable support can be developed by a mixed framework of Al2O3-CeO2 which offers a broad surface for optimum active phase dispersion and enables the development of oxygen vacancies on the surface throughout the catalytic reaction to improve catalytic performance [171]. Zonetti et al. and Wenzel et al. showed that adding Zr to the CeO2 lattice improved its ability to create oxygen vacancies as well as its thermal stability, which is a desirable feature of catalytic systems [172,173].
4.7. Bimetallic Effect
Reports indicate that bimetals, where a second metal is introduced along with the primary active metal, can be used to help boost the catalytically active phase [174]. Evidently in many systems, bimetallic compounds have outperformed their individual components [175]. Furthermore, the generation of metal carbide (coke precursor) could be prevented due to the electrical effect caused by metal–metal interactions, resulting in less deactivation [176]. Yang et al. showed how the inclusion of a second element (Cr or Fe) can positively affect the reducibility of monometallic Ni-based catalysts (Ni-CeAl) [167]. As it is displayed in Figure 17a, the addition of Fe to the Ni-CeAl catalyst system can increase the reducibility of Ni- to 95% compared to 93% for the Ni-CeAl catalyst [167]. Chen et al. synthesized a Cu-Fe bimetallic phase loaded on CeO2 and evaluated its performance for RWGS reaction at temperatures ranging from 450 to 750 °C at 1 atm (Figure 17b). The efficiency of the iron-containing copper-based catalyst was greatly increased over that of the catalyst without iron, and CO2 conversion nearly approached theoretical levels. The bimetallic CeO2-supported catalyst was shown to have high selectivity, stability, with no secondary reactions, and no carbon deposition on the catalyst surface after the process [177]. In contrast, Li et al. used CuIn bimetallic catalysts for the RWGS reaction, demonstrating that the promotional impact of In on Cu is support dependent [91]. The CO2 conversion of the CuIn-ZrO2 catalyst was higher by far than the Cu-ZrO2 catalyst; however, the CO2 conversion of CuIn-CeO2 was considerably lower than Cu-CeO2 (Figure 17c). The cause of the support-sensitivity of RWGS activity was further discovered through systematic analysis. Cu and In combined to form CuIn alloys on the ZrO2 support, which allowed CO2 to be activated by oxygen vacancies from partially reduced In2O3, whereas, Cu and In were found as metallic Cu and In2O3 on the CeO2 support, respectively. The addition of In prevented Cu dispersion and the development of oxygen vacancies on CeO2, resulting in lower RWGS activity [91]. The cata lytic activity of 5 wt.% mono- and bimetallic Ru- and Pt-based catalysts supported on CeO2 was compared as a function of temperature as shown in Figure 17d [154]. The bimetallic activity is higher than that of the individual Ru activities due to the synergy between Ru, Pt, and CeO2. Moreover, the Fe-promotional impact in the Ru90Fe10-CeO2 catalyst is most noticeable at lower temperatures, whereas there is no difference in catalytic activity above 450 °C when compared to Ru-CeO2 [154].
Figure 17.
Effect of bimetallic on metal-CeO2 in RWGS reaction: (a) NiFe-CeO2, reprinted with permission from [167]. Copyright Elsevier, 2018, (b) CuFe-CeO2, reprinted with permission from [177]. Copyright Elsevier, 2021, (c) CuIn-CeO2, reprinted with permission from [91]. Copyright ACS, 2022, (d) CO yield for RuPt/CeO2 and RuFe/CeO2 at 600 °C.
The following table (Table 3) provides a summary of M-CeO2 catalysts used in RWGS reaction. The synthesis methods and relevant results are provided for comparing their performance.
Table 3.
Conditions and catalytic performance in RWGS reaction on different kinds of metal-CeO2.
5. Summary and Outlook
The RWGS is a potential process with a promising prospect for large-scale CO2 to CO conversion in the near future, when integrated with large-scale technologies for sustainable H2 production. If the RWGS reaction is to play a significant role in lowering CO2 levels in the atmosphere, a suitable catalyst made of earth-abundant elements is desirable. CeO2 support has been shown to aid in increasing CO2 catalytic activity, and the following key features make CeO2 an attractive choice:
- -
- CeO2 supports are renowned for their acid-base properties, and high oxygen mobility and stability, which improve RWGS reaction activity when added to a suitable active metal catalytic system.
- -
- Surface defects (Ce3+ and oxygen vacancies) enable metal particles to attach well to the ceria support, resulting in increased metal dispersion.
- -
- A Ce4+/Ce3+ redox pair with strong activity can significantly improve CO2 dissociative activation.
- -
- Sintering processes and coke formation may be hampered by a strong metal–support interaction (SMSI) leading to an enhancement in catalyst stability.
- -
- CeO2 can be produced by a variety of methods to provide suitable design and technical features generating appropriate metal–support interactions that can further be tuned by synthesis methods and catalyst pretreatment techniques.
- -
- CeO2 support could influence the reaction mechanism by changing the adsorption energy of key intermediates with MSI.
The mechanism of the RWGS reaction involving CeO2 as a support, as well as an active site, have been thoroughly debated, since understanding these concepts is critical for the rational design of highly efficient and selective RWGS catalysts. Although the RWGS reaction mechanism is still a controversial topic, the reaction routes on different catalysts working under different reaction parameters may be clarified in the near future due to the advancements in in situ and operando spectroscopic technologies, including in situ (or near ambient pressure (NAP)) XPS and in situ XRD, in combination with theoretical approaches involving DFT. Identifying the deactivation pathway may also help in the development of stable catalysts for the RWGS reaction.
In this context, developing a more structurally and thermally stable CeO2 that can achieve high CO selectivity at high CO2 conversion rates with less carbon deposition to prevent catalyst deactivation is critical. A careful approach is needed to develop and activate CeO2 based catalysts and fine-tune their properties by regulating MSI to generate the desired effects. The literature shows the implementation of a range of parameters that influence CeO2 catalyst performance in RWGS reaction, such as the addition of a suitable second metal in bimetallic systems, adaptation of apt catalyst preparation methods to optimize active metal size, addition of CeO2 as a promoter for metal-supported catalysts, tuning CeO2 crystal planes for oxide catalysts etc. Recently, transition metal carbides have been seen as an appealing and suitable option for commercial applications in the RWGS reaction due to their interesting features comparable to those of noble metals such as their dual capabilities for H2 dissociation and C-O bond regulation, and possibility to act similarly to reducible oxides. Even though numerous materials have been investigated, no commercial-scale catalyst is available for RWGS reaction and further progress and scientific understanding is required before an industrial level of implementation can be thought of. So far, only a few studies are available on the kinetic model and reaction rate determination on M-CeO2 catalysts in RWGS reaction, and more dedicated future studies are required to fulfill this critical gap; it is necessary to expand this study further, to reactor development and large-scale expansion. The engineering of an industrial RWGS unit requires a comprehensive knowledge of reaction kinetics, involving internal/external mass transport impacts, along with the RWGS thermodynamic equilibrium.
Author Contributions
Conceptualization, P.E. and A.K.; methodology, P.E. and A.K.; writing—original draft preparation, P.E.; writing—review and editing, A.K. and M.K.; supervision, A.K. and M.K.; project administration, A.K.; funding acquisition, A.K. and M.K. All authors have read and agreed to the published version of the manuscript.
Funding
This research was funded by Qatar National Research Fund, grant number NPRP8-509-2-209 and NPRP10-0107-170119.
Data Availability Statement
Not applicable.
Acknowledgments
The work was made possible by a grant from the Qatar National Research Fund under the National Priorities Research Program award numbers NPRP8-509-2-209 and NPRP10-0107-170119. Its contents are solely the responsibility of the authors and do not necessarily represent the official views of QNRF. The authors would also like to gratefully acknowledge the support of Graduate Teaching/Research Assistantship (GTRA) from Qatar University in conducting this research.
Conflicts of Interest
The authors declare no conflict of interest.
Abbreviations
| ABC | Artificial Bee Colony |
| ALE | Atomic Layer Epitaxy |
| BET | Brunauer–Emmett–Teller |
| CA | Complex |
| CP | Co-Precipitation |
| DE | Differential Evolution |
| DFT | Density Functional Theory |
| DP | Deposition-Precipitation |
| DRIFTS | Diffuse Reflectance Infrared Fourier-Transform Spectroscopy |
| EDX | Energy Dispersive X-ray |
| FCC | Face-Centered Cubic |
| FTS | Fischer–Tropsch Synthesis |
| HT | Hard-template |
| HTR | High Temperature Reduction |
| IM | Impregnation |
| LHHW | Langmuir–Hinshelwood–Hougen–Watson |
| LN | Liquid Nitrogen |
| LSPR | Localized Surface Plasmon Resonance |
| LTR | Low Temperature Reduction |
| M | Mesoporous |
| MOF | Metal Organic Framework |
| MSI | Metal–Support Interaction |
| NAP | Near Ambient Pressure |
| NC | Nanocube |
| NO | Nanooctahedra |
| NR | Nanorod |
| NS | Nanospheres |
| OSC | Oxygen Storage Capacity |
| OX | Oxidation |
| P | Pyrolysis |
| PC | Precipitation |
| PF | Flash Pyrolized |
| RDS | Rate-Determining Step |
| RM | Reverse Microemulsion |
| RP | Reduction Percentage |
| RWGS | Reverse Water Gas Shift |
| SEM | Scanning Electron Microscopy |
| SMSI | Strong Metal–Support Interaction |
| TEM | Transmission Electron Microscopy |
| TPR | Temperature Programmed Reduction |
| WGS | Water Gas Shift |
| WI | Wet Impregnation |
| XPS | X-ray Photoelectron Spectroscopy |
| XRD | X-ray Diffraction |
References
- Yang, X.; Su, X.; Chen, X.; Duan, H.; Liang, B.; Liu, Q.; Liu, X.; Ren, Y.; Huang, Y.; Zhang, T. Promotion effects of potassium on the activity and selectivity of Pt/zeolite catalysts for reverse water gas shift reaction. Appl. Catal. B Environ. 2017, 216, 95–105. [Google Scholar] [CrossRef]
- Ebrahimi, P.; Kumar, A.; Khraisheh, M. Thermodynamic assessment of effect of ammonia, hydrazine and urea on water gas shift reaction. Int. J. Hydrogen Energy 2020, 47, 3237–3247. [Google Scholar] [CrossRef]
- Sasol ECOFT and Deutsche Aircraft join forces to accelerate power-to-liquid (PTL) aiming for carbon-neutral flight. Focus Catal. 2022, 2022, 4. [CrossRef]
- Liu, X.; Pajares, A.; Matienzo, D.D.C.; de la Piscina, P.R.; Homs, N. Preparation and characterization of bulk MoXC catalysts and their use in the reverse water-gas shift reaction. Catal. Today 2020, 356, 384–389. [Google Scholar] [CrossRef]
- Centi, G.; Perathoner, S. Opportunities and prospects in the chemical recycling of carbon dioxide to fuels. Catal. Today 2009, 148, 191–205. [Google Scholar] [CrossRef]
- Aresta, M. Carbon Dioxide as Chemical Feedstock; John Wiley & Sons: Hoboken, NJ, USA, 2010. [Google Scholar]
- Ueckerdt, F.; Bauer, C.; Dirnaichner, A.; Everall, J.; Sacchi, R.; Luderer, G. Potential and risks of hydrogen-based e-fuels in climate change mitigation. Nat. Clim. Chang. 2021, 11, 384–393. [Google Scholar] [CrossRef]
- Olah, G.A.; Goeppert, A.; Prakash, G.S. Chemical recycling of carbon dioxide to methanol and dimethyl ether: From greenhouse gas to renewable, environmentally carbon neutral fuels and synthetic hydrocarbons. J. Org. Chem. 2009, 74, 487–498. [Google Scholar] [CrossRef]
- Sterner, M. Bioenergy and Renewable Power Methane in Integrated 100% Renewable Energy Systems. Limiting Global Warming by Transforming Energy Systems: Limiting Global Warming by Transforming Energy Systems; Kassel University Press GmbH: Hesse, Germany, 2009; Volume 14. [Google Scholar]
- Pastor-Pérez, L.; Baibars, F.; Le Sache, E.; Arellano-Garcia, H.; Gu, S.; Reina, T.R. CO2 valorisation via reverse water-gas shift reaction using advanced Cs doped Fe-Cu/Al2O3 catalysts. J. CO2 Util. 2017, 21, 423–428. [Google Scholar] [CrossRef]
- Galván, C.Á.; Schumann, J.; Behrens, M.; Fierro, J.L.G.; Schlögl, R.; Frei, E. Reverse water-gas shift reaction at the Cu/ZnO interface: Influence of the Cu/Zn ratio on structure-activity correlations. Appl. Catal. B Environ. 2016, 195, 104–111. [Google Scholar] [CrossRef]
- Sheehan, S.W. Electrochemical methane production from CO2 for orbital and interplanetary refueling. Iscience 2021, 24, 102230. [Google Scholar] [CrossRef]
- Xu, X.D.; Moulijn, J.A. Mitigation of CO2 by chemical conversion: Plausible chemical reactions and promising products. Energy Fuels 1996, 10, 305–325. [Google Scholar]
- Kwak, J.H.; Kovarik, L.; Szanyi, J.N. Heterogeneous catalysis on atomically dispersed supported metals: CO2 reduction on multifunctional Pd catalysts. ACS Catal. 2013, 3, 2094–2100. [Google Scholar] [CrossRef]
- Yasuda, T.; Uchiage, E.; Fujitani, T.; Tominaga, K.-I.; Nishida, M. Reverse water gas shift reaction using supported ionic liquid phase catalysts. Appl. Catal. B Environ. 2018, 232, 299–305. [Google Scholar] [CrossRef]
- Wender, I. Reactions of synthesis gas. Fuel Process. Technol. 1996, 48, 189–297. [Google Scholar] [CrossRef]
- ExxonMobil unveils tech for methanol-to-SAF. Focus Catal. 2022, 2022, 6. [CrossRef]
- Kumar, A.; Mohammed, A.A.; Saad, M.A.; Al-Marri, M.J. Effect of nickel on combustion synthesized copper/fumed-SiO2 catalyst for selective reduction of CO2 to CO. Int. J. Energy Res. 2022, 46, 441–451. [Google Scholar] [CrossRef]
- De Miranda, P.E.V. Chapter 5.3.3—Application of Hydrogen by Use of Chemical Reactions of Hydrogen and Carbon Dioxide. In Science and Engineering of Hydrogen-Based Energy Technologies; de Miranda, P.E.V., Ed.; Academic Press: Cambridge, MA, USA, 2019; pp. 279–289. [Google Scholar]
- Stangeland, K.; Kalai, D.; Li, H.; Yu, Z. CO2 methanation: The effect of catalysts and reaction conditions. Energy Procedia 2017, 105, 2022–2027. [Google Scholar] [CrossRef]
- Nityashree, N.; Price, C.; Pastor-Perez, L.; Manohara, G.; Garcia, S.; Maroto-Valer, M.M.; Reina, T. Carbon stabilised saponite supported transition metal-alloy catalysts for chemical CO2 utilisation via reverse water-gas shift reaction. Appl. Catal. B Environ. 2020, 261, 118241. [Google Scholar] [CrossRef]
- Dias, Y.R.; Perez-Lopez, O.W. Carbon dioxide methanation over Ni-Cu/SiO2 catalysts. Energy Convers. Manage. 2020, 203, 112214. [Google Scholar] [CrossRef]
- Elsernagawy, O.Y.; Hoadley, A.; Patel, J.; Bhatelia, T.; Lim, S.; Haque, N. Thermo-economic analysis of reverse water-gas shift process with different temperatures for green methanol production as a hydrogen carrier. J. CO2 Util. 2020, 41, 101280. [Google Scholar] [CrossRef]
- Kaiser, P.; Unde, R.B.; Kern, C.; Jess, A. Production of liquid hydrocarbons with CO2 as carbon source based on reverse water-gas shift and Fischer-Tropsch synthesis. Chem. Ing. Tech. 2013, 85, 489–499. [Google Scholar] [CrossRef]
- York, A.P.; Xiao, T.C.; Green, M.L.; Claridge, J.B. Methane oxyforming for synthesis gas production. Catal. Rev. 2007, 49, 511–560. [Google Scholar] [CrossRef]
- Unde, R.B. Kinetics and Reaction Engineering Aspects of Syngas Production by the Heterogeneously Catalysed Reverse Water Gas Shift Reaction; Universitaet Bayreuth: Bayreuth, Germany, 2012. [Google Scholar]
- Wu, H.; Chang, Y.; Wu, J.; Lin, J.; Lin, I.; Chen, C. Methanation of CO2 and reverse water gas shift reactions on Ni/SiO2 catalysts: The influence of particle size on selectivity and reaction pathway. Catal. Sci. Technol. 2015, 5, 4154–4163. [Google Scholar] [CrossRef]
- Ebrahimi, P.; Kumar, A.; Khraisheh, M. Combustion synthesis of copper ceria solid solution for CO2 conversion to CO via reverse water gas shift reaction. Int. J. Hydrogen Energy 2022, in press. [CrossRef]
- Ammal, S.C.; Heyden, A. Origin of the unique activity of Pt/TiO2 catalysts for the water–gas shift reaction. J. Catal. 2013, 306, 78–90. [Google Scholar] [CrossRef]
- Ebrahimi, P.; Kumar, A.; Khraisheh, M. A review of recent advances in water-gas shift catalysis for hydrogen production. Emergent Mater. 2020, 3, 881–917. [Google Scholar] [CrossRef]
- Boaro, M.; Colussi, S.; Trovarelli, A. Ceria-based materials in hydrogenation and reforming reactions for CO2 valorization. Front. Chem. 2019, 7, 28. [Google Scholar] [CrossRef]
- Ebrahimi, P.; Kumar, A.; Khraisheh, M. Analysis of combustion synthesis method for Cu/CeO2 synthesis by integrating thermodynamics and design of experiments approach. Results Eng. 2022, 15, 100574. [Google Scholar] [CrossRef]
- Ishito, N.; Hara, K.; Nakajima, K.; Fukuoka, A. Selective synthesis of carbon monoxide via formates in reverse water–gas shift reaction over alumina-supported gold catalyst. J. Energy Chem. 2016, 25, 306–310. [Google Scholar] [CrossRef]
- Trovarelli, A. Catalytic properties of ceria and CeO2-containing materials. Catal. Rev. 1996, 38, 439–520. [Google Scholar] [CrossRef]
- Yeung, C.M.; Tsang, S.C. A study of co-precipitated bimetallic gold catalysts for water–gas shift reaction. Catal. Commun. 2008, 9, 1551–1557. [Google Scholar]
- Chang, K.; Zhang, H.; Cheng, M.-J.; Lu, Q. Application of ceria in CO2 conversion catalysis. ACS Catal. 2019, 10, 613–631. [Google Scholar] [CrossRef]
- Castaño, M.G.; Reina, T.R.; Ivanova, S.; Centeno, M.; Odriozola, J.A. Pt vs. Au in water–gas shift reaction. J. Catal. 2014, 314, 1–9. [Google Scholar] [CrossRef]
- Moreira, M.N.; Ribeiro, A.M.; Cunha, A.F.; Rodrigues, A.E.; Zabilskiy, M.; Djinović, P.; Pintar, A. Copper based materials for water-gas shift equilibrium displacement. Appl. Catal. B Environ. 2016, 189, 199–209. [Google Scholar] [CrossRef]
- Porosoff, M.D.; Chen, J.G. Trends in the catalytic reduction of CO2 by hydrogen over supported monometallic and bimetallic catalysts. J. Catal. 2013, 301, 30–37. [Google Scholar] [CrossRef]
- Younis, A.; Chu, D.; Li, S. Cerium oxide nanostructures and their applications. Funct. Nanomater. 2016, 3, 53–68. [Google Scholar]
- Yao, S.; Xu, W.; Johnston-Peck, A.; Zhao, F.; Liu, Z.; Luo, S.; Senanayake, S.; Martínez-Arias, A.; Liu, W.; Rodriguez, J. Morphological effects of the nanostructured ceria support on the activity and stability of CuO/CeO2 catalysts for the water-gas shift reaction. PCCP 2014, 16, 17183–17195. [Google Scholar] [CrossRef]
- Sayle, D.C.; Maicaneanu, S.A.; Watson, G.W. Atomistic models for CeO2 (111), (110), and (100) nanoparticles, supported on yttrium-stabilized zirconia. J. Am. Chem. Soc. 2002, 124, 11429–11439. [Google Scholar] [CrossRef]
- Jiang, Y.; Adams, J.B.; Van Schilfgaarde, M. Density-functional calculation of CeO2 surfaces and prediction of effects of oxygen partial pressure and temperature on stabilities. J. Chem. Phys. 2005, 123, 064701. [Google Scholar] [CrossRef]
- Chen, Y.; Hu, P.; Lee, M.-H.; Wang, H. Au on (1 1 1) and (1 1 0) surfaces of CeO2: A density-functional theory study. Surf. Sci. 2008, 602, 1736–1741. [Google Scholar] [CrossRef]
- Sayle, T.X.; Cantoni, M.; Bhatta, U.M.; Parker, S.C.; Hall, S.R.; Möbus, G.; Molinari, M.; Reid, D.; Seal, S.; Sayle, D.C. Strain and architecture-tuned reactivity in ceria nanostructures; enhanced catalytic oxidation of CO to CO2. Chem. Mater. 2012, 24, 1811–1821. [Google Scholar] [CrossRef]
- Liu, X.; Zhou, K.; Wang, L.; Wang, B.; Li, Y. Oxygen vacancy clusters promoting reducibility and activity of ceria nanorods. J. Am. Chem. Soc. 2009, 131, 3140–3141. [Google Scholar] [CrossRef] [PubMed]
- Si, R.; Flytzani-Stephanopoulos, M. Shape and crystal-plane effects of nanoscale ceria on the activity of Au-CeO2 catalysts for the water–gas shift reaction. Angew. Chem. 2008, 120, 2926–2929. [Google Scholar] [CrossRef]
- Stubenrauch, J.; Brosha, E.; Vohs, J. Reaction of carboxylic acids on CeO2 (111) and CeO2 (100). Catal. Today 1996, 28, 431–441. [Google Scholar] [CrossRef]
- Mei, D. First-principles characterization of formate and carboxyl adsorption on stoichiometric CeO2 (111) and CeO2 (110) surfaces. J. Energy Chem. 2013, 22, 524–532. [Google Scholar] [CrossRef]
- Senanayake, S.D.; Mullins, D.R. Redox pathways for HCOOH decomposition over CeO2 surfaces. J. Phys. Chem. C 2008, 112, 9744–9752. [Google Scholar] [CrossRef]
- Zhou, G.; Dai, B.; Xie, H.; Zhang, G.; Xiong, K.; Zheng, X. CeCu composite catalyst for CO synthesis by reverse water–gas shift reaction: Effect of Ce/Cu mole ratio. J. CO2 Util. 2017, 21, 292–301. [Google Scholar] [CrossRef]
- Reddy, B.M.; Thrimurthulu, G.; Katta, L. Design of efficient CexM1− xO2− δ (M= Zr, Hf, Tb and Pr) nanosized model solid solutions for CO oxidation. Catal. Lett. 2011, 141, 572–581. [Google Scholar] [CrossRef]
- Lu, B.; Kawamoto, K. Preparation of mesoporous CeO2 and monodispersed NiO particles in CeO2, and enhanced selectivity of NiO/CeO2 for reverse water gas shift reaction. Mater. Res. Bull. 2014, 53, 70–78. [Google Scholar] [CrossRef]
- Wang, L.; Liu, H.; Chen, Y.; Yang, S. Reverse water–gas shift reaction over co-precipitated Co–CeO2 catalysts: Effect of Co content on selectivity and carbon formation. Int. J. Hydrogen Energy 2017, 42, 3682–3689. [Google Scholar] [CrossRef]
- Aitbekova, A.; Wu, L.; Wrasman, C.J.; Boubnov, A.; Hoffman, A.S.; Goodman, E.D.; Bare, S.R.; Cargnello, M. Low-temperature restructuring of CeO2-supported Ru nanoparticles determines selectivity in CO2 catalytic reduction. J. Am. Chem. Soc. 2018, 140, 13736–13745. [Google Scholar] [CrossRef] [PubMed]
- Cheng, Z.; Sherman, B.J.; Lo, C.S. Carbon dioxide activation and dissociation on ceria (110): A density functional theory study. J. Chem. Phys. 2013, 138, 014702. [Google Scholar] [CrossRef] [PubMed]
- Lu, X.; Wang, W.; Wei, S.; Guo, C.; Shao, Y.; Zhang, M.; Deng, Z.; Zhu, H.; Guo, W. Initial reduction of CO2 on perfect and O-defective CeO2 (111) surfaces: Towards CO or COOH? RSC Adv. 2015, 5, 97528–97535. [Google Scholar] [CrossRef]
- Wu, K.; Sun, L.D.; Yan, C.H. Recent Progress in Well-Controlled Synthesis of Ceria-Based Nanocatalysts towards Enhanced Catalytic Performance. Adv. Energy Mater. 2016, 6, 1600501. [Google Scholar] [CrossRef]
- Trovarelli, A.; Llorca, J. Ceria catalysts at nanoscale: How do crystal shapes shape catalysis? ACS Catal. 2017, 7, 4716–4735. [Google Scholar] [CrossRef]
- Ma, Y.; Gao, W.; Zhang, Z.; Zhang, S.; Tian, Z.; Liu, Y.; Ho, J.C.; Qu, Y. Regulating the surface of nanoceria and its applications in heterogeneous catalysis. Surf. Sci. Rep. 2018, 73, 1–36. [Google Scholar] [CrossRef]
- Saeidi, S.; Najari, S.; Fazlollahi, F.; Nikoo, M.K.; Sefidkon, F.; Klemeš, J.J.; Baxter, L.L. Mechanisms and kinetics of CO2 hydrogenation to value-added products: A detailed review on current status and future trends. Renew. Sustain. Energy Rev. 2017, 80, 1292–1311. [Google Scholar] [CrossRef]
- Wang, W.; Wang, S.; Ma, X.; Gong, J. Recent advances in catalytic hydrogenation of carbon dioxide. Chem. Soc. Rev. 2011, 40, 3703–3727. [Google Scholar] [CrossRef]
- Porosoff, M.D.; Yan, B.; Chen, J.G. Catalytic reduction of CO2 by H2 for synthesis of CO, methanol and hydrocarbons: Challenges and opportunities. Energy Environ. Sci. 2016, 9, 62–73. [Google Scholar] [CrossRef]
- Kattel, S.; Liu, P.; Chen, J.G. Tuning selectivity of CO2 hydrogenation reactions at the metal/oxide interface. J. Am. Chem. Soc. 2017, 139, 9739–9754. [Google Scholar] [CrossRef]
- Su, X.; Yang, X.; Zhao, B.; Huang, Y. Designing of highly selective and high-temperature endurable RWGS heterogeneous catalysts: Recent advances and the future directions. J. Energy Chem. 2017, 26, 854–867. [Google Scholar] [CrossRef]
- Trovarelli, A. Catalysis by Ceria and Related Materials; World Scientific: Singapore, 2002; Volume 2. [Google Scholar]
- Montini, T.; Melchionna, M.; Monai, M.; Fornasiero, P. Fundamentals and catalytic applications of CeO2-based materials. Chem. Rev. 2016, 116, 5987–6041. [Google Scholar] [CrossRef]
- Xie, S.; Wang, Z.; Cheng, F.; Zhang, P.; Mai, W.; Tong, Y. Ceria and ceria-based nanostructured materials for photoenergy applications. Nano Energy 2017, 34, 313–337. [Google Scholar] [CrossRef]
- Devaiah, D.; Reddy, L.H.; Park, S.-E.; Reddy, B.M. Ceria–zirconia mixed oxides: Synthetic methods and applications. Catal. Rev. 2018, 60, 177–277. [Google Scholar] [CrossRef]
- Su, X.; Xu, J.; Liang, B.; Duan, H.; Hou, B.; Huang, Y. Catalytic carbon dioxide hydrogenation to methane: A review of recent studies. J. Energy Chem. 2016, 25, 553–565. [Google Scholar] [CrossRef]
- Frontera, P.; Macario, A.; Ferraro, M.; Antonucci, P. Supported catalysts for CO2 methanation: A review. Catalysts 2017, 7, 59. [Google Scholar] [CrossRef]
- Zhang, M.; Zijlstra, B.; Filot, I.A.; Li, F.; Wang, H.; Li, J.; Hensen, E.J. A theoretical study of the reverse water-gas shift reaction on Ni (111) and Ni (311) surfaces. Can. J. Chem. Eng. 2020, 98, 740–748. [Google Scholar] [CrossRef]
- Fornero, E.L.; Chiavassa, D.L.; Bonivardi, A.L.; Baltanás, M.A. Transient analysis of the reverse water gas shift reaction on Cu/ZrO2 and Ga2O3/Cu/ZrO2 catalysts. J. CO2 Util. 2017, 22, 289–298. [Google Scholar] [CrossRef]
- Zhu, M.; Ge, Q.; Zhu, X. Catalytic reduction of CO2 to CO via reverse water gas shift reaction: Recent advances in the design of active and selective supported metal catalysts. Trans. Tianjin Univ. 2020, 26, 172–187. [Google Scholar] [CrossRef]
- Lin, W.; Stocker, K.M.; Schatz, G.C. Mechanisms of hydrogen-assisted CO2 reduction on nickel. J. Am. Chem. Soc. 2017, 139, 4663–4666. [Google Scholar] [CrossRef]
- González-Castaño, M.; Dorneanu, B.; Arellano-García, H. The reverse water gas shift reaction: A process systems engineering perspective. React. Chem. Eng. 2021, 6, 954–976. [Google Scholar]
- Kim, K.-J.; Lee, Y.-L.; Na, H.-S.; Ahn, S.-Y.; Shim, J.-O.; Jeon, B.-H.; Roh, H.-S. Efficient waste to energy conversion based on CO-CeO2 catalyzed water-gas shift reaction. Catalysts 2020, 10, 420. [Google Scholar]
- Mathew, T.; Saju, S.; Raveendran, S.N. Survey of Heterogeneous Catalysts for the CO2 Reduction to CO via Reverse Water Gas Shift. In Engineering Solutions for CO2 Conversion; Reina, T.R., Arellano-Garcia, H., Odriozola, J.A., Eds.; Wiley: Hoboken, NJ, USA, 2021; Chapter 12; pp. 281–316. [Google Scholar]
- Kim, S.S.; Lee, H.H.; Hong, S.C. A study on the effect of support’s reducibility on the reverse water-gas shift reaction over Pt catalysts. Appl. Catal. A Gen. 2012, 423, 100–107. [Google Scholar]
- Wang, L.-C.; Khazaneh, M.T.; Widmann, D.; Behm, R.J. TAP reactor studies of the oxidizing capability of CO2 on a Au/CeO2 catalyst—A first step toward identifying a redox mechanism in the Reverse Water–Gas Shift reaction. J. Catal. 2013, 302, 20–30. [Google Scholar]
- Lin, L.; Yao, S.; Liu, Z.; Zhang, F.; Li, N.; Vovchok, D.; Martinez-Arias, A.; Castañeda, R.; Lin, J.; Senanayake, S.D. In situ characterization of Cu/CeO2 nanocatalysts for CO2 hydrogenation: Morphological effects of nanostructured ceria on the catalytic activity. J. Phys. Chem. C 2018, 122, 12934–12943. [Google Scholar]
- Lee, S.M.; Eom, H.; Kim, S.S. A study on the effect of CeO2 addition to a Pt/TiO2 catalyst on the reverse water gas shift reaction. Environ. Technol. 2021, 42, 182–192. [Google Scholar]
- Liu, Y.; Li, Z.; Xu, H.; Han, Y. Reverse water–gas shift reaction over ceria nanocube synthesized by hydrothermal method. Catal. Commun. 2016, 76, 1–6. [Google Scholar]
- Goguet, A.; Meunier, F.C.; Tibiletti, D.; Breen, J.P.; Burch, R. Spectrokinetic investigation of reverse water-gas-shift reaction intermediates over a Pt/CeO2 catalyst. J. Phys. Chem. B 2004, 108, 20240–20246. [Google Scholar]
- Zhu, X.; Qu, X.; Li, X.; Liu, J.; Liu, J.; Zhu, B.; Shi, C. Selective reduction of carbon dioxide to carbon monoxide over Au/CeO2 catalyst and identification of reaction intermediate. Chin. J. Catal. 2016, 37, 2053–2058. [Google Scholar]
- Lu, B.; Zhang, T.; Zhang, L.; Xu, Y.; Zhang, Z.; Wu, F.; Li, X.; Luo, C. Promotion effects of oxygen vacancies on activity of Na-doped CeO2 catalysts for reverse water gas shift reaction. Appl. Surf. Sci. 2022, 587, 152881. [Google Scholar]
- Wang, M.; Shen, M.; Jin, X.; Tian, J.; Li, M.; Zhou, Y.; Zhang, L.; Li, Y.; Shi, J. Oxygen vacancy generation and stabilization in CeO2–x by Cu introduction with improved CO2 photocatalytic reduction activity. ACS Catal. 2019, 9, 4573–4581. [Google Scholar] [CrossRef]
- Zhang, Y.; Liang, L.; Chen, Z.; Wen, J.; Zhong, W.; Zou, S.; Fu, M.; Chen, L.; Ye, D. Highly efficient Cu/CeO2-hollow nanospheres catalyst for the reverse water-gas shift reaction: Investigation on the role of oxygen vacancies through in situ UV-Raman and DRIFTS. Appl. Surf. Sci. 2020, 516, 146035. [Google Scholar] [CrossRef]
- Jacobs, G.; Davis, B.H. Reverse water-gas shift reaction: Steady state isotope switching study of the reverse water-gas shift reaction using in situ DRIFTS and a Pt/ceria catalyst. Appl. Catal. A Gen. 2005, 284, 31–38. [Google Scholar] [CrossRef]
- Dai, H.; Zhang, A.; Xiong, S.; Xiao, X.; Zhou, C.; Pan, Y. The Catalytic Performance of Ga2O3−CeO2 Composite Oxides over Reverse Water Gas Shift Reaction. ChemCatChem 2022, 14, e202200049. [Google Scholar] [CrossRef]
- Li, M.; My Pham, T.H.; Ko, Y.; Zhao, K.; Zhong, L.; Luo, W.; Züttel, A. Support-Dependent Cu–In Bimetallic Catalysts for Tailoring the Activity of Reverse Water Gas Shift Reaction. ACS Sustain. Chem. Eng. 2022, 10, 1524–1535. [Google Scholar] [CrossRef]
- Meunier, F.C.; Tibiletti, D.; Goguet, A.; Reid, D.; Burch, R. On the reactivity of carbonate species on a Pt/CeO2 catalyst under various reaction atmospheres: Application of the isotopic exchange technique. Appl. Catal. A Gen. 2005, 289, 104–112. [Google Scholar] [CrossRef]
- Kalamaras, C.M.; Americanou, S.; Efstathiou, A.M. “Redox” vs “associative formate with–OH group regeneration” WGS reaction mechanism on Pt/CeO2: Effect of platinum particle size. J. Catal. 2011, 279, 287–300. [Google Scholar] [CrossRef]
- Chen, X.; Su, X.; Liang, B.; Yang, X.; Ren, X.; Duan, H.; Huang, Y.; Zhang, T. Identification of relevant active sites and a mechanism study for reverse water gas shift reaction over Pt/CeO2 catalysts. J. Energy Chem. 2016, 25, 1051–1057. [Google Scholar] [CrossRef]
- Juarez, R.; Parker, S.F.; Concepcion, P.; Corma, A.; Garcia, H. Heterolytic and heterotopic dissociation of hydrogen on ceria-supported gold nanoparticles. Combined inelastic neutron scattering and FT-IR spectroscopic study on the nature and reactivity of surface hydrogen species. Chem. Sci. 2010, 1, 731–738. [Google Scholar] [CrossRef]
- Wang, L.; Widmann, D.; Behm, R.J. Reactive removal of surface oxygen by H2, CO and CO/H2 on a Au/CeO2 catalyst and its relevance to the preferential CO oxidation (PROX) and reverse water gas shift (RWGS) reaction. Catal. Sci. Technol. 2015, 5, 925–941. [Google Scholar] [CrossRef]
- Shen, H.; Dong, Y.; Yang, S.; He, Y.; Wang, Q.; Cao, Y.; Wang, W.; Wang, T.; Zhang, Q.; Zhang, H. Identifying the roles of Ce3+−OH and Ce−H in the reverse water-gas shift reaction over highly active Ni-doped CeO2 catalyst. Nano Res. 2022, 15, 5831–5841. [Google Scholar] [CrossRef]
- Deng, B.; Song, H.; Peng, K.; Li, Q.; Ye, J. Metal-organic framework-derived Ga-Cu/CeO2 catalyst for highly efficient photothermal catalytic CO2 reduction. Appl. Catal. B Environ. 2021, 298, 120519. [Google Scholar] [CrossRef]
- Zhao, B.; Pan, Y.-X.; Liu, C.-J. The promotion effect of CeO2 on CO2 adsorption and hydrogenation over Ga2O3. Catal. Today 2012, 194, 60–64. [Google Scholar] [CrossRef]
- Yang, Z.; Zeng, M.; Wang, K.; Yue, X.; Chen, X.; Dai, W.; Fu, X. Visible light-assisted thermal catalytic reverse water gas reaction over Cu-CeO2: The synergistic of hot electrons and oxygen vacancies induced by LSPR effect. Fuel 2022, 315, 123186. [Google Scholar] [CrossRef]
- Wolf, A.; Jess, A.; Kern, C. Syngas Production via Reverse Water-Gas Shift Reaction over a Ni-Al2O3 Catalyst: Catalyst Stability, Reaction Kinetics, and Modeling. Chem. Eng. Technol. 2016, 39, 1040–1048. [Google Scholar] [CrossRef]
- Pekridis, G.; Kalimeri, K.; Kaklidis, N.; Vakouftsi, E.; Iliopoulou, E.; Athanasiou, C.; Marnellos, G. Study of the reverse water gas shift (RWGS) reaction over Pt in a solid oxide fuel cell (SOFC) operating under open and closed-circuit conditions. Catal. Today 2007, 127, 337–346. [Google Scholar] [CrossRef]
- Spencer, M. On the activation energies of the forward and reverse water-gas shift reaction. Catal. Lett. 1995, 32, 9–13. [Google Scholar] [CrossRef]
- Ernst, K.-H.; Campbell, C.T.; Moretti, G. Kinetics of the reverse water-gas shift reaction over Cu (110). J. Catal. 1992, 134, 66–74. [Google Scholar] [CrossRef]
- Ginés, M.; Marchi, A.; Apesteguía, C. Kinetic study of the reverse water-gas shift reaction over CuO/ZnO/Al2O3 catalysts. Appl. Catal. A Gen. 1997, 154, 155–171. [Google Scholar] [CrossRef]
- Osaki, T.; Narita, N.; Horiuchi, T.; Sugiyama, T.; Masuda, H.; Suzuki, K. Kinetics of reverse water gas shift (RWGS) reaction on metal disulfide catalysts. J. Mol. Catal. A Chem. 1997, 125, 63–71. [Google Scholar] [CrossRef]
- Poto, S.; van Berkel, D.V.; Gallucci, F.; d’Angelo, M.F.N. Kinetic modelling of the methanol synthesis from CO2 and H2 over a CuO/CeO2/ZrO2 catalyst: The role of CO2 and CO hydrogenation. Chem. Eng. J. 2022, 435, 134946. [Google Scholar] [CrossRef]
- Henkel, T. Modellierung Von Reaktion und Stofftransport in Geformten Katalysatoren am Beispiel der Methanolsynthese. Ph.D. Thesis, Technische Universität München, München, Germany, 2011. [Google Scholar]
- Graaf, G.; Stamhuis, E.; Beenackers, A. Kinetics of low-pressure methanol synthesis. Chem. Eng. Sci. 1988, 43, 3185–3195. [Google Scholar] [CrossRef]
- Lalinde, J.A.H.; Roongruangsree, P.; Ilsemann, J.; Baeumer, M.; Kopyscinski, J. CO2 methanation and reverse water gas shift reaction. Kinetic study based on in situ spatially-resolved measurements. Chem. Eng. J. 2020, 390, 124629. [Google Scholar] [CrossRef]
- Kopyscinski, J.; Schildhauer, T.J.; Vogel, F.; Biollaz, S.M.; Wokaun, A. Applying spatially resolved concentration and temperature measurements in a catalytic plate reactor for the kinetic study of CO methanation. J. Catal. 2010, 271, 262–279. [Google Scholar] [CrossRef]
- Daza, Y.A.; Kuhn, J.N. CO2 conversion by reverse water gas shift catalysis: Comparison of catalysts, mechanisms and their consequences for CO2 conversion to liquid fuels. RSC Adv. 2016, 6, 49675–49691. [Google Scholar] [CrossRef]
- Campbell, C.T.; Ernst, K.-H. Forward and Reverse Water—Gas Shift Reactions on Model Copper Catalysts: Kinetics and Elementary Steps; ACS Publications: Washington, DC, USA, 1992. [Google Scholar]
- Kim, S.S.; Lee, H.H.; Hong, S.C. The effect of the morphological characteristics of TiO2 supports on the reverse water–gas shift reaction over Pt/TiO2 catalysts. Appl. Catal. B Environ. 2012, 119, 100–108. [Google Scholar] [CrossRef]
- Jadhav, S.G.; Vaidya, P.D.; Bhanage, B.M.; Joshi, J.B. Kinetics of reverse water-gas shift reaction over Pt/Al2O3 catalyst. Can. J. Chem. Eng. 2016, 94, 101–106. [Google Scholar] [CrossRef]
- Ghodoosi, F.; Khosravi-Nikou, M.R.; Shariati, A. Mathematical Modeling of Reverse Water-Gas Shift Reaction in a Fixed-Bed Reactor. Chem. Eng. Technol. 2017, 40, 598–607. [Google Scholar] [CrossRef]
- Chen, C.S.; Wu, J.H.; Lai, T.W. Carbon dioxide hydrogenation on Cu nanoparticles. J. Phys. Chem. C 2010, 114, 15021–15028. [Google Scholar] [CrossRef]
- Najari, S.; Gróf, G.; Saeidi, S.; Gallucci, F. Modeling and optimization of hydrogenation of CO2: Estimation of kinetic parameters via Artificial Bee Colony (ABC) and Differential Evolution (DE) algorithms. Int. J. Hydrogen Energy 2019, 44, 4630–4649. [Google Scholar] [CrossRef]
- Najari, S.; Saeidi, S.; Gróf, G.; Keil, F.J.; Rodrigues, A.E. Kinetic parameters estimation via dragonfly algorithm (DA) and comparison of cylindrical and spherical reactors performance for CO2 hydrogenation to hydrocarbons. Energy Convers. Manage. 2020, 226, 113550. [Google Scholar] [CrossRef]
- Brübach, L.; Hodonj, D.; Pfeifer, P. Kinetic Analysis of CO2 Hydrogenation to Long-Chain Hydrocarbons on a Supported Iron Catalyst. Ind. Eng. Chem. Res. 2022, 61, 1644–1654. [Google Scholar] [CrossRef]
- Luhui, W.; Hui, L.; Yuan, L.; Ying, C.; Shuqing, Y. Influence of preparation method on performance of Ni-CeO2 catalysts for reverse water-gas shift reaction. J. Rare Earths 2013, 31, 559–564. [Google Scholar]
- Li, Y.; Zhang, B.; Tang, X.; Xu, Y.; Shen, W. Hydrogen production from methane decomposition over Ni/CeO2 catalysts. Catal. Commun. 2006, 7, 380–386. [Google Scholar] [CrossRef]
- Yisup, N.; Cao, Y.; Feng, W.-L.; Dai, W.-L.; Fan, K.-N. Catalytic oxidation of methane over novel Ce–Ni–O mixed oxide catalysts prepared by oxalate gel-coprecipitation. Catal. Lett. 2005, 99, 207–213. [Google Scholar] [CrossRef]
- Huang, Y.; Wang, A.; Li, L.; Wang, X.; Su, D.; Zhang, T. “Ir-in-ceria”: A highly selective catalyst for preferential CO oxidation. J. Catal. 2008, 255, 144–152. [Google Scholar] [CrossRef]
- Li, L.; Song, L.; Wang, H.; Chen, C.; She, Y.; Zhan, Y.; Lin, X.; Zheng, Q. Water-gas shift reaction over CuO/CeO2 catalysts: Effect of CeO2 supports previously prepared by precipitation with different precipitants. Int. J. Hydrogen Energy 2011, 36, 8839–8849. [Google Scholar] [CrossRef]
- Yongyi, H.; Qibiao, L.; Yongzhao, W.; Yongxiang, Z. Selective catalytic dehydration of 1, 4-butanediol to 3-buten-1-ol over CeO2 with different morphology. Chin. J. Catal. 2010, 31, 619–622. [Google Scholar]
- Dong, X.-F.; Zou, H.-B.; Lin, W.-M. Effect of preparation conditions of CuO–CeO2–ZrO2 catalyst on CO removal from hydrogen-rich gas. Int. J. Hydrogen Energy 2006, 31, 2337–2344. [Google Scholar] [CrossRef]
- Xue, L.; Zhang, C.; He, H.; Teraoka, Y. Promotion effect of residual K on the decomposition of N2O over cobalt–cerium mixed oxide catalyst. Catal. Today 2007, 126, 449–455. [Google Scholar] [CrossRef]
- Mei, Y.; Meisheng, C.; Zhang, N.; Zhiqi, L.; Huang, X. Characterization of CeO2-ZrO2 mixed oxides prepared by two different co-precipitation methods. J. Rare Earths 2013, 31, 251–256. [Google Scholar]
- Luhui, W.; Hui, L.; Yuan, L.; Ying, C.; Shuqing, Y. Effect of precipitants on Ni-CeO2 catalysts prepared by a co-precipitation method for the reverse water-gas shift reaction. J. Rare Earths 2013, 31, 969–974. [Google Scholar]
- Dai, B.; Cao, S.; Xie, H.; Zhou, G.; Chen, S. Reduction of CO2 to CO via reverse water-gas shift reaction over CeO2 catalyst. Korean J. Chem. Eng. 2018, 35, 421–427. [Google Scholar] [CrossRef]
- Ronda-Lloret, M.; Rico-Francés, S.; Sepúlveda-Escribano, A.; Ramos-Fernandez, E.V. CuOx/CeO2 catalyst derived from metal organic framework for reverse water-gas shift reaction. Appl. Catal. A: Gen. 2018, 562, 28–36. [Google Scholar] [CrossRef]
- Kim, T.K.; Lee, K.J.; Cheon, J.Y.; Lee, J.H.; Joo, S.H.; Moon, H.R. Nanoporous metal oxides with tunable and nanocrystalline frameworks via conversion of metal–organic frameworks. J. Am. Chem. Soc. 2013, 135, 8940–8946. [Google Scholar] [CrossRef]
- Liu, L.; Fan, F.; Bai, M.; Xue, F.; Ma, X.; Jiang, Z.; Fang, T. Mechanistic study of methanol synthesis from CO2 hydrogenation on Rh-doped Cu (111) surfaces. Mol. Catal. 2019, 466, 26–36. [Google Scholar] [CrossRef]
- Lykaki, M.; Pachatouridou, E.; Carabineiro, S.A.; Iliopoulou, E.; Andriopoulou, C.; Kallithrakas-Kontos, N.; Boghosian, S.; Konsolakis, M. Ceria nanoparticles shape effects on the structural defects and surface chemistry: Implications in CO oxidation by Cu/CeO2 catalysts. Appl. Catal. B: Environ. 2018, 230, 18–28. [Google Scholar] [CrossRef]
- Zheng, X.; Li, Y.; Zhang, L.; Shen, L.; Xiao, Y.; Zhang, Y.; Au, C.; Jiang, L. Insight into the effect of morphology on catalytic performance of porous CeO2 nanocrystals for H2S selective oxidation. Appl. Catal. B Environ. 2019, 252, 98–110. [Google Scholar] [CrossRef]
- Kovacevic, M.; Mojet, B.L.; van Ommen, J.G.; Lefferts, L. Effects of morphology of cerium oxide catalysts for reverse water gas shift reaction. Catal. Lett. 2016, 146, 770–777. [Google Scholar] [CrossRef]
- Esch, F.; Fabris, S.; Zhou, L.; Montini, T.; Africh, C.; Fornasiero, P.; Comelli, G.; Rosei, R. Electron localization determines defect formation on ceria substrates. Science 2005, 309, 752–755. [Google Scholar] [CrossRef]
- Skorodumova, N.; Baudin, M.; Hermansson, K. Surface properties of CeO2 from first principles. Phys. Rev. B 2004, 69, 075401. [Google Scholar] [CrossRef]
- Konsolakis, M.; Lykaki, M.; Stefa, S.; Carabineiro, S.A.; Varvoutis, G.; Papista, E.; Marnellos, G.E. CO2 hydrogenation over nanoceria-supported transition metal catalysts: Role of ceria morphology (nanorods versus nanocubes) and active phase nature (Co versus Cu). Nanomaterials 2019, 9, 1739. [Google Scholar] [CrossRef] [PubMed]
- Kim, M.-S.; Chung, S.-H.; Yoo, C.-J.; Lee, M.S.; Cho, I.-H.; Lee, D.-W.; Lee, K.-Y. Catalytic reduction of nitrate in water over Pd–Cu/TiO2 catalyst: Effect of the strong metal-support interaction (SMSI) on the catalytic activity. Appl. Catal. B Environ. 2013, 142, 354–361. [Google Scholar] [CrossRef]
- Liotta, L.; Longo, A.; Macaluso, A.; Martorana, A.; Pantaleo, G.; Venezia, A.; Deganello, G. Influence of the SMSI effect on the catalytic activity of a Pt (1%)/Ce0.6Zr0.4O2 catalyst: SAXS, XRD, XPS and TPR investigations. Appl. Catal. B Environ. 2004, 48, 133–149. [Google Scholar] [CrossRef]
- Bertella, F.; Concepción, P.; Martínez, A. The impact of support surface area on the SMSI decoration effect and catalytic performance for Fischer-Tropsch synthesis of Co-Ru/TiO2-anatase catalysts. Catal. Today 2017, 296, 170–180. [Google Scholar] [CrossRef]
- Tauster, S.; Fung, S.; Garten, R.L. Strong metal-support interactions. Group 8 noble metals supported on titanium dioxide. J. Am. Chem. Soc. 1978, 100, 170–175. [Google Scholar] [CrossRef]
- Hosokawa, S.; Taniguchi, M.; Utani, K.; Kanai, H.; Imamura, S. Affinity order among noble metals and CeO2. Appl. Catal. A: Gen. 2005, 289, 115–120. [Google Scholar] [CrossRef]
- Ivanova, A.; Slavinskaya, E.; Gulyaev, R.; Zaikovskii, V.; Stonkus, O.; Danilova, I.; Plyasova, L.; Polukhina, I.; Boronin, A. Metal–support interactions in Pt/Al2O3 and Pd/Al2O3 catalysts for CO oxidation. Appl. Catal. B Environ. 2010, 97, 57–71. [Google Scholar] [CrossRef]
- Strobel, R.; Pratsinis, S.E. Flame synthesis of supported platinum group metals for catalysis and sensors. Platin. Met. Rev. 2009, 53, 11–20. [Google Scholar] [CrossRef]
- Zou, H.; Dong, X.; Lin, W. Selective CO oxidation in hydrogen-rich gas over CuO/CeO2 catalysts. Appl. Surf. Sci. 2006, 253, 2893–2898. [Google Scholar] [CrossRef]
- Zhou, G.; Xie, F.; Deng, L.; Zhang, G.; Xie, H. Supported mesoporous Cu/CeO2-δ catalyst for CO2 reverse water–gas shift reaction to syngas. Int. J. Hydrogen Energy 2020, 45, 11380–11393. [Google Scholar] [CrossRef]
- Tauster, S. Strong metal-support interactions. Acc. Chem. Res. 1987, 20, 389–394. [Google Scholar] [CrossRef]
- Matte, L.P.; Kilian, A.S.; Luza, L.; Alves, M.C.; Morais, J.; Baptista, D.L.; Dupont, J.; Bernardi, F. Influence of the CeO2 support on the reduction properties of Cu/CeO2 and Ni/CeO2 nanoparticles. J. Phys. Chem. C 2015, 119, 26459–26470. [Google Scholar] [CrossRef]
- Thill, A.S.; Kilian, A.S.; Bernardi, F. Key role played by metallic nanoparticles on the ceria reduction. J. Phys. Chem. C 2017, 121, 25323–25332. [Google Scholar] [CrossRef]
- Figueiredo, W.T.; Escudero, C.; Perez-Dieste, V.; Ospina, C.A.; Bernardi, F. Determining the Surface Atomic Population of Cux Ni1–x/CeO2 (0 < x ≤ 1) Nanoparticles during the Reverse Water–Gas Shift (RWGS) Reaction. J. Phys. Chem. C 2020, 124, 16868–16878. [Google Scholar]
- Einakchi, R. Metal Nanoparticles Over Active Ionic-Conductive Supports for the Reverse Water Gas Shift Reaction. Master’s Dissertation, Université d’Ottawa/University of Ottawa, Ottawa, ON, Canada, 2016. [Google Scholar]
- Wang, L.; Liu, H. Mesoporous Co-CeO2 catalyst prepared by colloidal solution combustion method for reverse water-gas shift reaction. Catal. Today 2018, 316, 155–161. [Google Scholar] [CrossRef]
- Jurković, D.L.; Pohar, A.; Dasireddy, V.D.; Likozar, B. Effect of copper-based catalyst support on reverse water-gas shift reaction (RWGS) activity for CO2 reduction. Chem. Eng. Technol. 2017, 40, 973–980. [Google Scholar] [CrossRef]
- Bouarab, R.; Akdim, O.; Auroux, A.; Cherifi, O.; Mirodatos, C. Effect of MgO additive on catalytic properties of Co/SiO2 in the dry reforming of methane. Appl. Catal. A Gen. 2004, 264, 161–168. [Google Scholar] [CrossRef]
- Pino, L.; Vita, A.; Cipitì, F.; Laganà, M.; Recupero, V. Hydrogen production by methane tri-reforming process over Ni–ceria catalysts: Effect of La-doping. Appl. Catal. B Environ. 2011, 104, 64–73. [Google Scholar] [CrossRef]
- Chen, X.; Su, X.; Duan, H.; Liang, B.; Huang, Y.; Zhang, T. Catalytic performance of the Pt/TiO2 catalysts in reverse water gas shift reaction: Controlled product selectivity and a mechanism study. Catal. Today 2017, 281, 312–318. [Google Scholar] [CrossRef]
- Liu, L.; Corma, A. Metal catalysts for heterogeneous catalysis: From single atoms to nanoclusters and nanoparticles. Chem. Rev. 2018, 118, 4981–5079. [Google Scholar] [CrossRef] [PubMed]
- Li, S.; Xu, Y.; Chen, Y.; Li, W.; Lin, L.; Li, M.; Deng, Y.; Wang, X.; Ge, B.; Yang, C. Tuning the selectivity of catalytic carbon dioxide hydrogenation over iridium/cerium oxide catalysts with a strong metal–support interaction. Angew. Chem. 2017, 129, 10901–10905. [Google Scholar] [CrossRef]
- Chen, X.; Chen, Y.; Song, C.; Ji, P.; Wang, N.; Wang, W.; Cui, L. Recent advances in supported metal catalysts and oxide catalysts for the reverse water-gas shift reaction. Front. Chem. 2020, 8, 709. [Google Scholar] [CrossRef] [PubMed]
- Zhao, Z.; Wang, M.; Ma, P.; Zheng, Y.; Chen, J.; Li, H.; Zhang, X.; Zheng, K.; Kuang, Q.; Xie, Z.-X. Atomically dispersed Pt/CeO2 catalyst with superior CO selectivity in reverse water gas shift reaction. Appl. Catal. B Environ. 2021, 291, 120101. [Google Scholar] [CrossRef]
- Wang, W.; Zhang, Y.; Wang, Z.; Yan, J.-M.; Ge, Q.; Liu, C.-J. Reverse water gas shift over In 2O3–CeO2 catalysts. Catal. Today 2016, 259, 402–408. [Google Scholar] [CrossRef]
- Ro, I.; Sener, C.; Stadelman, T.M.; Ball, M.R.; Venegas, J.M.; Burt, S.P.; Hermans, I.; Dumesic, J.A.; Huber, G.W. Measurement of intrinsic catalytic activity of Pt monometallic and Pt-MoOx interfacial sites over visible light enhanced PtMoOx/SiO2 catalyst in reverse water gas shift reaction. J. Catal. 2016, 344, 784–794. [Google Scholar] [CrossRef]
- Pettigrew, D.; Trimm, D.; Cant, N. The effects of rare earth oxides on the reverse water-gas shift reaction on palladium/alumina. Catal. Lett. 1994, 28, 313–319. [Google Scholar] [CrossRef]
- Yang, L.; Pastor-Pérez, L.; Gu, S.; Sepúlveda-Escribano, A.; Reina, T. Highly efficient Ni/CeO2-Al2O3 catalysts for CO2 upgrading via reverse water-gas shift: Effect of selected transition metal promoters. Appl. Catal. B Environ. 2018, 232, 464–471. [Google Scholar] [CrossRef]
- Dorner, R.W.; Hardy, D.R.; Williams, F.W.; Willauer, H.D. Effects of ceria-doping on a CO2 hydrogenation iron–manganese catalyst. Catal. Commun. 2010, 11, 816–819. [Google Scholar] [CrossRef]
- Galvita, V.V.; Poelman, H.; Bliznuk, V.; Detavernier, C.; Marin, G.B. CeO2-modified Fe2O3 for CO2 utilization via chemical looping. Ind. Eng. Chem. Res. 2013, 52, 8416–8426. [Google Scholar] [CrossRef]
- Yan, B.; Zhao, B.; Kattel, S.; Wu, Q.; Yao, S.; Su, D.; Chen, J.G. Tuning CO2 hydrogenation selectivity via metal-oxide interfacial sites. J. Catal. 2019, 374, 60–71. [Google Scholar] [CrossRef]
- Rahmani, F.; Haghighi, M.; Estifaee, P. Synthesis and characterization of Pt/Al2O3–CeO2 nanocatalyst used for toluene abatement from waste gas streams at low temperature: Conventional vs. plasma–ultrasound hybrid synthesis methods. Microporous Mesoporous Mater. 2014, 185, 213–223. [Google Scholar] [CrossRef]
- Zonetti, P.C.; Letichevsky, S.; Gaspar, A.B.; Sousa-Aguiar, E.F.; Appel, L.G. The NixCe0. 75Zr0.25−xO2 solid solution and the RWGS. Appl. Catal. A Gen. 2014, 475, 48–54. [Google Scholar] [CrossRef]
- Wenzel, M.; Rihko-Struckmann, L.; Sundmacher, K. Continuous production of CO from CO2 by RWGS chemical looping in fixed and fluidized bed reactors. Chem. Eng. J. 2018, 336, 278–296. [Google Scholar] [CrossRef]
- Yang, L.; Pastor-Pérez, L.; Villora-Picó, J.J.; Gu, S.; Sepúlveda-Escribano, A.; Reina, T.R. CO2 valorisation via reverse water-gas shift reaction using promoted Fe/CeO2-Al2O3 catalysts: Showcasing the potential of advanced catalysts to explore new processes design. Appl. Catal. A Gen. 2020, 593, 117442. [Google Scholar] [CrossRef]
- Ray, K.; Sengupta, S.; Deo, G. Reforming and cracking of CH4 over Al2O3 supported Ni, Ni-Fe and Ni-Co catalysts. Fuel Proces. Technol. 2017, 156, 195–203. [Google Scholar] [CrossRef]
- Theofanidis, S.A.; Galvita, V.V.; Poelman, H.; Marin, G.B. Enhanced carbon-resistant dry reforming Fe-Ni catalyst: Role of Fe. Acs Catal. 2015, 5, 3028–3039. [Google Scholar] [CrossRef]
- Chen, L.; Wu, D.; Wang, C.; Ji, M.; Wu, Z. Study on Cu-Fe/CeO2 bimetallic catalyst for reverse water gas shift reaction. J. Environ. Chem. Eng. 2021, 9, 105183. [Google Scholar] [CrossRef]
- Goguet, A.; Meunier, F.; Breen, J.; Burch, R.; Petch, M.; Ghenciu, A.F. Study of the origin of the deactivation of a Pt/CeO2 catalyst during reverse water gas shift (RWGS) reaction. J. Catal. 2004, 226, 382–392. [Google Scholar] [CrossRef]
- Kattel, S.; Yu, W.; Yang, X.; Yan, B.; Huang, Y.; Wan, W.; Liu, P.; Chen, J.G. CO2 Hydrogenation over Oxide-Supported PtCo Catalysts: The Role of the Oxide Support in Determining the Product Selectivity. Angew. Chem. Int. Ed. 2016, 55, 7968–7973. [Google Scholar] [CrossRef]
- Panaritis, C.; Edake, M.; Couillard, M.; Einakchi, R.; Baranova, E.A. Insight towards the role of ceria-based supports for reverse water gas shift reaction over RuFe nanoparticles. J. CO2 Util. 2018, 26, 350–358. [Google Scholar] [CrossRef]
- Le Saché, E.; Pastor-Perez, L.; Haycock, B.J.; Villora-Picó, J.J.; Sepulveda-Escribano, A.; Reina, T.R. Switchable catalysts for chemical CO2 recycling: A step forward in the methanation and reverse water–Gas shift reactions. ACS Sustain. Chem. Eng. 2020, 8, 4614–4622. [Google Scholar] [CrossRef]
- Choi, E.J.; Lee, Y.H.; Lee, D.-W.; Moon, D.-J.; Lee, K.-Y. Hydrogenation of CO2 to methanol over Pd–Cu/CeO2 catalysts. Mol. Catal. 2017, 434, 146–153. [Google Scholar] [CrossRef]
- Porosoff, M.D.; Yang, X.; Boscoboinik, J.A.; Chen, J.G. Molybdenum carbide as alternative catalysts to precious metals for highly selective reduction of CO2 to CO. Angew. Chem. Int. Ed. 2014, 53, 6705–6709. [Google Scholar] [CrossRef] [PubMed]
- Yang, S.-C.; Pang, S.H.; Sulmonetti, T.P.; Su, W.-N.; Lee, J.-F.; Hwang, B.-J.; Jones, C.W. Synergy between ceria oxygen vacancies and Cu nanoparticles facilitates the catalytic conversion of CO2 to CO under mild conditions. ACS Catal. 2018, 8, 12056–12066. [Google Scholar] [CrossRef]
- Dai, B.; Zhou, G.; Ge, S.; Xie, H.; Jiao, Z.; Zhang, G.; Xiong, K. CO2 reverse water-gas shift reaction on mesoporous M-CeO2 catalysts. Can. J. Chem. Eng. 2017, 95, 634–642. [Google Scholar] [CrossRef]
- Vovchok, D.; Zhang, C.; Hwang, S.; Jiao, L.; Zhang, F.; Liu, Z.; Senanayake, S.D.; Rodriguez, J.A. Deciphering dynamic structural and mechanistic complexity in Cu/CeO2/ZSM-5 catalysts for the reverse water-gas shift reaction. ACS Catal. 2020, 10, 10216–10228. [Google Scholar] [CrossRef]
- Wang, L.; Liu, H.; Chen, Y.; Zhang, R.; Yang, S. K-Promoted Co–CeO2 Catalyst for the Reverse Water–Gas Shift Reaction. Chem. Lett. 2013, 42, 682–683. [Google Scholar] [CrossRef]
- Luhui, W.; Zhang, S.; Yuan, L. Reverse water gas shift reaction over Co-precipitated Ni-CeO2 catalysts. J. Rare Earths 2008, 26, 66–70. [Google Scholar]
- Sun, F.-M.; Yan, C.-F.; Guo, C.-Q.; Huang, S.-L. Ni/Ce–Zr–O catalyst for high CO2 conversion during reverse water gas shift reaction (RWGS). Int. J. Hydrogen Energy 2015, 40, 15985–15993. [Google Scholar] [CrossRef]
- Belekar, R. Suppression of coke formation during reverse water-gas shift reaction for CO2 conversion using highly active Ni/Al2O3-CeO2 catalyst material. Phys. Lett. A 2021, 395, 127206. [Google Scholar] [CrossRef]
Publisher’s Note: MDPI stays neutral with regard to jurisdictional claims in published maps and institutional affiliations. |
© 2022 by the authors. Licensee MDPI, Basel, Switzerland. This article is an open access article distributed under the terms and conditions of the Creative Commons Attribution (CC BY) license (https://creativecommons.org/licenses/by/4.0/).











