Abstract
Dye wastewater due to industrialization, urbanization and academic activities has become one of the most important environmental issues today. Photocatalytic degradation technology is considered as a promising technology for treating dye wastewater due to its advantages of environmental protection and low energy consumption. Herein, titanium dioxide–reduced graphene oxide composites (TiO2-RGO) were prepared by a one-step hydrothermal method to degrade different dyes (methyl orange, methylene blue and rhodamine B) in water. The structure and morphology of TiO2-RGO were characterized using various technical approaches. The degradation effect of TiO2-RGO on the dye was in accordance with a first-order kinetic reaction. The degradation rate of TiO2-6%RGO for methyl orange at 15 min was 1.67 times higher than that of TiO2, due to the strong electron transport ability and excellent adsorption properties of graphene. TiO2-6%RGO has better degradation performance for fluorescent dyes and anionic azo dyes. Notably, the degradation rate of methyl orange by TiO2-6%RGO photocatalysis for 90 min could reach 96.9%. Meanwhile, the TiO2-6%RGO showed excellent reusability, as the initial degradation rate of 93.2% was maintained after five degradation cycles of methyl orange solution. The present work provides a universal strategy for designing efficient photocatalytic materials.
1. Introduction
The treatment of dye wastewater has been a pressing problem in the environmental field due to its deep coloration, stable properties and complex structure. For example, azo anionic dyes, such as methyl orange, which is commonly used as an acid–base indicator, methylene blue, a cationic dye commonly used in the printing and dyeing industry, and rhodamine B, a fluorescent dye widely used in colored glass, may pose a serious threat to ecosystems and human health even at very low concentrations of emissions during production and use. The methods commonly used to remove dyes from water can be divided into physical, chemical and biological methods according to the mechanism of the treatment process [1,2,3,4]. Physical methods mainly use machines to treat sewage, and commonly used methods include centrifugal separation, sedimentation, and filtration. These methods only extract the pollutants in the water, but cannot completely eliminate the pollutants. Chemical methods commonly use electrical treatment, chemical precipitation treatment, oxidation treatment, etc., to treat pollutants dissolved in water. The chemical reagents used in this method are expensive and produce sludge that is difficult to dewater after treatment. The biological method mainly uses microbial metabolism to control water pollution. This method has strong pertinence and poor treatment effect in situations where the water contains various pollutants. It is not universal, and it is difficult to popularize and apply on a large scale. Therefore, finding an efficient, environmentally friendly, economical and feasible universal water pollution control method is the key to solving the problem of sewage treatment.
In recent years, photocatalytic technology has attracted the attention of many researchers due to its advantages of environmental protection and low energy consumption [5,6,7,8,9]. This method can convert a variety of organic pollutants into clean water, carbon dioxide and other substances without recontamination, thus completely solving the problem of organic contamination, such as dyes cause in water. Among the wide variety of photocatalysts (TiO2, MoS2 SnO2, Fe/C3N4, Ag/AgCl/ZnTiO3, CdS, etc. [10,11,12,13,14,15]), TiO2 is the material of choice for research because of its stable optical properties, low price, abundant precursors, and simple preparation. However, TiO2 suffers from defects such as a wide band gap and easy recombination of electron–hole pairs. At present, there are two main methods to improve TiO2 defects: one is to adjust the band gap, particle size and crystal surface of TiO2 by changing its preparation conditions; the other is to improve its photocatalytic performance by compounding with other materials [16,17,18,19,20].
Graphene has a strong electron transport ability, and its theoretical electron mobility is about 200,000 cm2∙V−1∙s−1 at room temperature. Using this ability, the photogenerated electrons generated by the excitation of light on the valence band of TiO2 can be quickly transferred, thereby inhibiting the recombination of photogenerated electrons and holes and reducing the loss of light energy [21,22]. In addition, graphene also has a strong adsorption capacity, which can improve the contact probability of pollutants and photocatalytic active components when it is prepared into a photocatalytic composite material, thereby further improving the photocatalytic performance of the composite material. Tang et al. [23] prepared TiO2/Ag/rGO heterogeneous nanocomposites in two steps by introducing silver and graphene into TiO2 nanowires, and used them to degrade rhodamine B in water with good degradation results. Wang et al. [24] prepared titanium dioxide @ aspartic acid-β-cyclodextrin @ reduced graphene oxide (TiO2 @ ACD @ RGO) composite photocatalysts by first reducing GO to RGO and then compounding it with aspartic acid-β-cyclodextrin and TiO2, respectively. The photocatalytic efficiency of the prepared TiO2@ ACD @ RGO for BPA degradation was significantly better than that of TiO2 and TiO2 @ RGO.
Herein, TiO2-RGO was prepared for the degradation of different dyes (methyl orange, methylene blue and rhodamine B) in water using a one-pot hydrothermal method instead of a two-step process. The TiO2-RGO was characterized using a multi-technical approach. The degradation performance of graphene addition on methyl orange dye was compared. The degradation of methyl orange, methylene blue and rhodamine B by TiO2-RGO and the effect of the pH value of the reaction system on the photocatalytic degradation were investigated. The repetitive degradation properties of TiO2-RGO were also explored. The present work opens a universal pathway for improving the photocatalytic performance of TiO2.
2. Results and Discussion
2.1. The Effect of Graphene Oxide Addition on the Degradation of Methyl Orange Solution
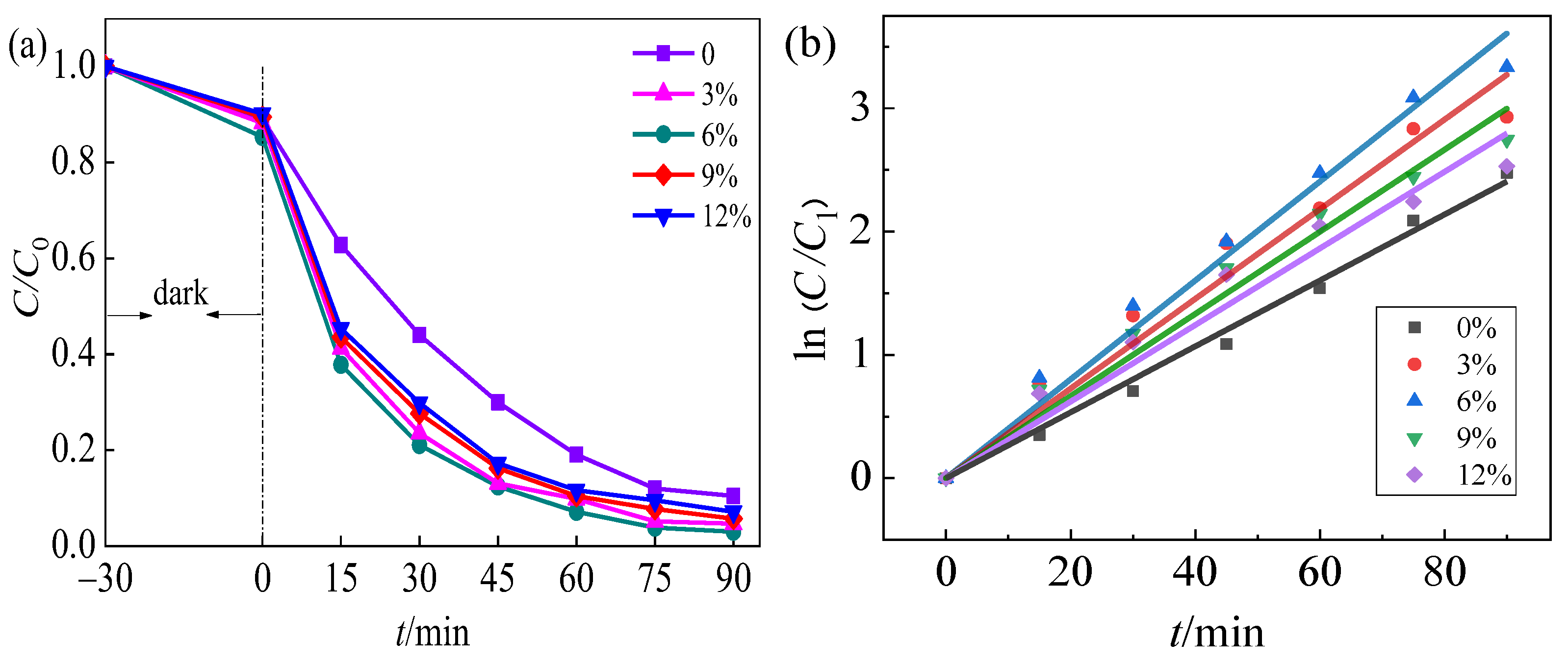
The degradation effect of composites prepared with different amounts of graphene oxide on methyl orange solution is shown in Figure 1. Compared with the degradation effect of the catalyst without the addition of graphene oxide, the degradation efficiency of the methyl orange solution was significantly improved after the addition of graphene oxide (Figure 1a). On the one hand, it is due to the extremely strong electron transport ability of reduced graphene oxide, which can rapidly conduct photo-generated electrons and inhibit the compounding of photo-generated electrons and holes, thus increasing the concentration of hydroxyl radicals (∙OH) and superoxide ion radicals (∙O2−), two strongly reducing and oxidizing radicals that can degrade dye molecules [25]. On the other hand, reduced graphene oxide has outstanding adsorption capacity, which improves the contact probability of pollutants with active substances [26,27,28].
Figure 1.
Degradation results of methyl orange by TiO2-RGO with different GO contents (a) and its first-order kinetic analysis (b). C0 is the initial concentration, C1 is the concentration at 0 min.
It is worth noting that when the mass fraction of graphene oxide relative to titanium sulfate was 3%, the degradation rate of photocatalytic degradation for 90 min was 95.3%. When the mass fraction of graphene oxide relative to titanium sulfate was 6%, the photocatalytic degradation rate of 90 min was 6%, and the degradation rate of photocatalytic degradation for 90 min was 96.9%. When the mass fraction of graphene oxide relative to titanium sulfate increased to 12%, the degradation effect showed a downward trend instead, and the degradation rate after 90 min of reaction was 92.8%. This is because the reduced graphene oxide itself has no photocatalytic activity. When the content of reduced graphene oxide is too large, it will hinder the absorption of light energy by TiO2 components, and cannot make enough TiO2 to absorb light energy to transition to the excited state [29], thereby reducing the photocatalytic performance of the catalyst. Considering the degradation rate of dyes and the cost of composite materials with different graphene oxide contents, the optimal mass fraction of graphene oxide relative to titanium sulfate was determined to be 6% in this work.
To investigate the effect of reaction rate on the photocatalytic process, kinetic curves of each reaction were fitted (Figure 1b). The ln(C/C1) of each reaction was found to have a good linear relationship with t, and the determination coefficients R2 were all greater than 0.98 (Table 1), indicating that the photocatalytic reactions were consistent with the first-order reactions. The reaction rate k of TiO2-RGO photocatalytic degradation of methyl orange was consistent with the change of degradation rate. The reaction rate of TiO2-RGO photocatalytic degradation of methyl orange gradually increased with the addition of graphene oxide, but the reaction rate of photocatalytic reaction started to decrease when the mass fraction of graphene oxide relative to titanium sulfate exceeded 6%. In addition, the photocatalytic reaction rate of TiO2-6% RGO was 1.501 times higher than that of TiO2-0% RGO.
Table 1.
Kinetic parameters of methyl orange degradation by TiO2-RGO with different GO contents.
2.2. Characterization of TiO2-RGO
When graphene is added during the preparation process, the graphene sheets can be interspersed between the TiO2 particles so that the TiO2 particles can be evenly distributed, improving the dispersibility, and are expected to further improve the photocatalytic performance of the composite [30]. Figure 2 compares the SEM images of TiO2-6%RGO and TiO2-12%RGO. The particles of TiO2-6%RGO are uniformly dispersed, have a relatively uniform particle size (~26 nm), and have a good morphology (Figure 2). The particles of TiO2-12%RGO show obvious agglomeration, and the particle size varies greatly. When the graphene content is too high, the TiO2-RGO appears to agglomerate during the preparation process, which also explains the abnormal phenomenon that the degradation rate of the TiO2-RGO to methyl orange dye decreases.
Figure 2.
SEM images of TiO2-RGO: (a,b) TiO2-6%RGO, (c,d) TiO2-12%RGO.
Figure 3a,b are the TEM images of TiO2-6%RGO. It was observed that the graphene sheets with overlapping wrinkles are interspersed between the TiO2 particles. The sample particles are relatively uniformly dispersed, and the particle size is relatively consistent. The TiO2-12%RGO particles were disorderly stacked and agglomerated together (Figure 3c,d), which is consistent with the SEM results.

Figure 3.
TEM images of TiO2-RGO: (a,b) TiO2-6%RGO, (c,d) TiO2-12%RGO.
The XRD spectrum of GO shows a strong diffraction peak around 10.5°, and interestingly, there is no characteristic diffraction peak of graphite around 26°, indicating that the graphite powder is effectively oxidized and exfoliated (Figure 4a). TiO2, TiO2-6%RGO, and TiO2-12%RGO have similar diffraction peaks, and the diffraction peaks at 2θ = 25.3°, 37.8°, 48.1°, 54°, 55.1°, and 62.7° are the diffraction peaks of the anatase phase TiO2 {101}, {004}, {200}, {105}, {211}, {204} (Figure 4a), indicating that the addition of GO during the preparation process does not change the crystal structure of TiO2. The XRD spectrum of TiO2-6%RGO and TiO2-12%RGO did not find the characteristic peak of GO at about 10.5°, which may show that GO has been reduced to RGO after the hydrothermal reaction. Interestingly, the characteristic diffraction peak of RGO was also not observed around 2θ = 24.5°. On the one hand, the reason for this phenomenon may be that the strong and sharp {101} crystal plane diffraction peak of anatase TiO2 in the composite material at 25.3° shields the diffraction peak of RGO. On the other hand, it may be that the amount of GO added to the composite was small, and the diffraction intensity was too weak to be detected during the XRD characterization analysis [31].

Figure 4.
(a) XRD spectrum of GO, (b) XPS survey spectrum of GO, (c) C1s spectrum of GO, (d) XPS survey spectrum of TiO2-6%RGO, (e) C1s spectrum of TiO2-6%RGO, (f) Ti2p spectrum of TiO2-6%RGO.
The XPS survey spectrum of GO in Figure 4b mainly shows two signal peaks, C1s and O1s, corresponding to 286 eV and 532 eV. The C1s signal peak can be fitted into three peaks, which are the signal peaks of C=C, C–O and C=O [32,33,34], and the corresponding binding energies of the fitted peaks are 284.61 eV, 286.7 eV and 287.5 eV, respectively (Figure 4c). There are mainly four signal peaks of C1s, Ti2p, O1s, and F1s in the XPS full spectrum of TiO2-6%RGO, and the corresponding positions are 284 eV, 459 eV, 530 eV, and 684 eV, respectively (Figure 4d). The C1s signal peaks in TiO2-6%RGO can be fitted to four signal peaks (Figure 4e), which are the signal peaks of C=C, C–O, C=O and C–O–Ti [35]. The C–O–Ti signal peak at 288.65 eV confirms that GO and TiO2 in TiO2-6%RGO are bound together by bonding [36]. The two signal peaks at 458.45 eV and 464.3 eV in Figure (Figure 4f) are the peaks of Ti2p3/2 and Ti2p1/2, respectively. These two signal peaks indicate that the Ti element in TiO2-6%RGO exists in the form of Ti4+.
Figure 5a illustrates the nitrogen adsorption–desorption isotherm of TiO2 and TiO2-6%RGO. Table 2 demonstrates that the addition of graphene can significantly increase the specific surface area and pore volume of TiO2-RGO, which contributes to improving the contact probability of pollutants with the active substance. Figure 5b PL spectra of TiO2 and TiO2-6%RGO show that the PL intensity of TiO2 is higher than that of TiO2-6%RGO. This indicates that TiO2 has a high photoinduced electron–hole pair complexation rate. Therefore, the reduced PL intensity of TiO2-6%RGO suggests that the addition of GO significantly hinders the complexation of electrons and holes, which contributes to excellent photocatalytic activity.
Figure 5.
(a) Nitrogen adsorption–desorption isotherm of TiO2 and TiO2-6%RGO, (b) PL spectra of TiO2 andTiO2-6%RGO.
Table 2.
The BET surface area and pore volume of TiO2 and TiO2-6%RGO.
2.3. The Effect of pH Value on the Degradation Effect of TiO2-6%RGO
Figure 6a examines the degradation performance of TiO2-6%RGO on methyl orange solutions under different pH environments. The pH of the methyl orange solution was adjusted with HCl and NaOH. Figure 6a highlights that the pH value has a great influence on the photocatalytic degradation effect of methyl orange solution. In the dark adsorption stage, the adsorption capacity of each reaction system increased with the decrease of pH value. The degradation performance under acidic conditions was significantly stronger than that under neutral and alkaline conditions. When pH = 2, the degradation rate of the reaction for 90 min was 93.1%. When pH = 4, the degradation rate of reaction for 75 min was 96.8%. When pH = 7, the degradation rate of the reaction for 90 min dropped to 89%. When pH = 10, the degradation rate of the reaction for 90 min was only 63%. The kinetic fitting curves for the degradation of methyl orange by TiO2-6%RGO at different pH environments are shown in Figure 5b, and the R2 of the first-order kinetic fits were all greater than 0.99. The reaction rates of TiO2-6%RGO degradation of methyl orange under different pH environments are shown in Table 3.
Figure 6.
Degradation results of methyl orange at different pH values (a) and its first-order kinetic analysis (b).
Table 3.
Kinetic parameters of TiO2-6%RGO degradation of methyl orange solution at different pH values.
Since methyl orange is an anionic dye, when the reaction system is acidic, the enriched H+ in the system makes the catalyst surface positively charged, which is more conducive to the adsorption of dye molecules. When the reaction system is alkaline, the enriched OH− in the system inhibits the adsorption of dye molecules by the catalyst, which is not conducive to the photocatalytic degradation of methyl orange. Interestingly, the photocatalytic performance does not continuously improve with the decrease of pH value of the reaction system, as the degradation performance of pH = 2 is smaller than that of pH = 4. This is attributed to the fact that when the pH value is too low, the excess H+ in the system is more easily reduced by photogenerated electrons, which inhibits the generation of active substances such as superoxide ion radicals (·O2−) [37], resulting in a decrease in the degradation efficiency.
2.4. Degradation Effect of TiO2-6%RGO on Different Kinds of Dyes
To investigate the degradation effect of TiO2-6%RGO on different kinds of dyes, three different dye solutions, methyl orange (MO), methylene blue (MB), and rhodamine B (RhB), were selected for photocatalytic degradation experiments. Methyl orange is an azo anionic dye commonly used as an acid–base indicator. Methylene blue is a cationic dye that is commonly used in the printing and dyeing industry. Rhodamine B is a fluorescent dye with a heterocyclic structure and high chroma in wastewater. Figure 7a shows that TiO2-6%RGO has a faster degradation rate for methylene blue and rhodamine B solutions than methyl orange. The rhodamine B solution achieved a degradation rate of 81% within 15 min of the photocatalytic reaction, which was 1.3 times that of the methyl orange solution. The degradation rates of rhodamine B and methylene blue solutions were 97.9% and 97% at 60 min and 75 min, respectively, and the degradation rate of methyl orange solution at about 90 min was 96.9%. The kinetic fitting curves for the degradation of MO, MB and RhB by TiO2-6%RGO are shown in Figure 7b, and the fitting results are consistent with the first-order kinetic reaction. The degradation rates of TiO2-6%RGO for MO, MB and RhB dyes were 0.04008 min−1, 0.04778 min−1 and 0.06554 min−1, respectively (Table 4).
Figure 7.
Degradation results of different dyes by TiO2-6%RGO (a) and its first-order kinetic analysis (b).
Table 4.
Kinetic parameters of different dye degradation by TiO2-RGO.
In the dark adsorption stage, RhB has a lower concentration at the beginning of the photocatalytic reaction, as it can be more readily adsorbed by the oxygen-containing functional groups on the surface of TiO2-6%RGO due to its greater polarity. The polarity of MO is slightly greater than that of methylene blue, but the dark adsorption capacity is lesser than that of methylene blue. This is possibly due to MB molecules containing more benzene rings and double bond structures, which are easily conjugated with the π electron-conjugated system of reduced graphene oxide to generate π-π conjugation, and the electrostatic attraction between positively charged and reduced graphene oxide makes it easier to be adsorbed [38]. The different adsorption amounts of the three dyes by TiO2-6%RGO resulted in different degradation rates in the photocatalytic stage. In addition, rhodamine B is a fluorescent dye, which is more easily degraded under ultraviolet light.
2.5. Recycling Performance of TiO2-6%RGO
To investigate the cyclic performance of the catalyst, a cyclic degradation experiment of methyl orange in solution with TiO2-6%RGO was performed (Figure 8). The degradation rates of five cycles of operation were 96.9%, 96.7%, 95.3%, 94%, and 90.3%, respectively. The degradation effect of TiO2-6%RGO on methyl orange showed a downward trend with the increase in the number of cycles, but it still maintained 93.2% of the initial degradation rate after five cycles. This can be attributed to the inevitable mass loss during the catalyst recovery process at the end of each degradation so that the amount of catalyst used in the subsequent cyclic degradation experiments was gradually reduced. In addition, in the photocatalytic degradation experiments, dye macromolecules or other impurity molecules remain on the catalyst surface and combine with the catalyst, which will lead to the weakening or even deactivation of the catalyst’s activity, affecting its absorption of light energy [39].
Figure 8.
Cyclic degradation results of methyl orange by TiO2-6%RGO.
Table 5 compares the degradation effects of the TiO2-RGO with photocatalysts for similar applications. The TiO2-RGO exhibits higher competitiveness, which has the potential to be applied for dye degradation in water.
Table 5.
Comparison of dye degradation effects among various photocatalysts.
3. Materials and Methods
3.1. Materials
Titanium sulfate (AR), hydrofluoric acid (AR), absolute ethanol (AR), methyl orange (MO, AR), methylene blue (MB, AR), rhodamine B (Rh B, AR), sodium nitrate (AR), sulfuric acid (mass fraction 98%), potassium permanganate (AR), glucose (AR), and graphite powder (AR) were purchased from Chemical Reagents Co., Ltd., Sinopharm, Beijing, China.
3.2. Preparation of Titanium Dioxide–Reduced Graphene Oxide Composites
The titanium dioxide–reduced graphene oxide composites were prepared by a one-step hydrothermal method. A total of 1.0 mL of HF was added dropwise to 40 mL of deionized water and stirred evenly. Then, 4.8 g of Ti(SO4)2 was added, ultrasonicated to make it completely dissolve, and this solution was used as solution A. A certain amount of GO powder and glucose powder (the mass ratio of GO to glucose is 1:3) was added to 30 mL of deionized water, and completely dissolved under ultrasonic conditions, and this solution was used as solution B. Solution A and solution B were mixed, stirred evenly, transferred to the lining of the reaction kettle, and reacted at 180 °C for 12 h. Then, the lower layer of precipitate was washed with deionized water several times until neutral, and finally dried and ground to obtain titanium dioxide–reduced graphene oxide composite material (TiO2-RGO). The mass fractions of GO relative to Ti(SO4)2 in the composites were controlled to be 0, 3%, 6%, 9%, and 12%, which were named TiO2-X%RGO, where X represents the mass fraction of GO relative to Ti(SO4)2.
3.3. Characterization
The equipment used was an X-ray photoelectron spectrometer (XPS), Escalab 250XI, Thermo Scientific, USA, an X-ray diffractometer (XRD), Bruker D8 Advance, Bruker, Germany, a scanning electron microscope (SEM), Hitachi S-4800, Japan, a transmission electron microscope, Hitachi H-7650, Japan, a physical adsorption analyser, ASAP 2460 Accelerated Surface Area and Porosimetry System, Micromeritics Instrument Corporation, USA and a fluorescence spectrometer (PL), FluoroMax-4, HORIBA Jobin Yvon, France.
3.4. Photocatalytic Degradation Experiments of Dyes by TiO2-RGO
A total of 100 mg of TiO2-RGO was added to 250 mL of dye solution at an initial concentration of 20 mg/L, and it was stirred for 30 min under a dark condition to reach the dynamic equilibrium of adsorption and desorption. Then, it was irradiated under a 500 W UV mercury lamp (the spectral range of the emitting light source is 341–455 nm) for photocatalytic degradation reaction. The reaction temperature in the photocatalytic reactor was kept constant by condensing water. The solution was taken at 15 min intervals, centrifuged, and the absorbance of the solution was measured by UV-Vis spectrophotometer with the supernatant. The TiO2-RGO, obtained by centrifugation, washed several times with deionized water and then dried, can repeat the photocatalytic degradation experiments.
4. Conclusions
Titanium dioxide–reduced graphene oxide composites were prepared by a one-step hydrothermal method for the degradation of different dyes (methyl orange, methylene blue, and rhodamine B) in water. The graphene in the composite material can effectively inhibit the recombination of photogenerated electrons and holes, increase the contact area with dye molecules, and improve the photocatalytic performance of the material. The degradation rate of TiO2-6%RGO for methyl orange at 15 min was 1.67 times higher than that of TiO2. The degradation effect of TiO2-6%RGO on methyl orange solution under different pH environments showed that a weakly acid environment was more favorable for the degradation of methyl orange dye. The degradation effect of TiO2-6%RGO on different kinds of dyes was examined, and it showed better degradation performance on fluorescent dyes and anionic azoic dyes. Kinetic analysis indicated that the degradation of dye molecules by TiO2-RGO is consistent with a first-order kinetic reaction. In addition, the photocatalytic degradation of methyl orange by TiO2-6%RGO for 90 min could reach 96.9%, and 93.2% of the initial degradation rate could be maintained after five degradation cycles. This paper provides a practical avenue to design extremely efficient photocatalysts for dye degradation.
Author Contributions
L.Y. and H.L. contributed to the conception of the study; L.Y., Y.B. and W.X. contributed significantly to analysis and manuscript preparation; L.Y., Y.B., W.X. and H.L. performed the data analyses and wrote the manuscript; L.Y., W.X. and H.L. helped perform the analysis with constructive discussions. All authors have read and agreed to the published version of the manuscript.
Funding
This research was funded by the National Natural Science Foundation of China (22078366).
Data Availability Statement
Not applicable.
Conflicts of Interest
The authors declare no conflict of interest.
References
- Wang, Z.H.; Liang, W.B.; Guo, X.; Liu, L. Inactivation of Scrippsiella trochoidea cysts by different physical and chemical methods: Application to the treatment of ballast water. Mar. Pollut. Bull. 2018, 126, 150–158. [Google Scholar] [CrossRef] [PubMed]
- Al-Kaabi, M.A.; Zouari, N.; Dana, D.A.; Al-Ghouti, M.A. Adsorptive batch and biological treatments of produced water: Recent progresses, challenges, and potentials. J. Environ. Manag. 2021, 290, 112527. [Google Scholar] [CrossRef] [PubMed]
- Rezvani, F.; Sarrafzadeh, M.H.; Ebrahimi, S.; Oh, H.M. Nitrate removal from drinking water with a focus on biological methods: A review. Environ. Sci. Pollut. Res. 2019, 26, 1124–1141. [Google Scholar] [CrossRef] [PubMed]
- Camarillo, M.K.; Stringfellow, W.T. Biological treatment of oil and gas produced water: A review and meta-analysis. Clean Technol. Environ. Policy 2018, 20, 1127–1146. [Google Scholar] [CrossRef]
- Qiu, N. The method of general heat treatment of waste water from metal manufacture based on photocatalysis. Int. J. Environ. Pollut. 2019, 66, 117–126. [Google Scholar] [CrossRef]
- Pelosato, R.; Bolognino, I.; Fontana, F.; Sora, I.N. Applications of Heterogeneous Photocatalysis to the Degradation of Oxytetracycline in Water: A Review. Molecules 2022, 27, 2743. [Google Scholar] [CrossRef]
- Du, C.Y.; Zhang, Z.; Yu, G.L.; Wu, H.P.; Chen, H.; Zhou, L.; Zhang, Y.; Su, Y.H.; Tan, S.Y.; Yang, L.; et al. A review of metal organic framework (MOFs)-based materials for antibiotics removal via adsorption and photocatalysis. Chemosphere 2021, 272, 129501. [Google Scholar] [CrossRef]
- Yang, B.; Guan, B. Synergistic catalysis of ozonation and photooxidation by sandwich structured MnO2-NH2/GO/p-C3N4 on cephalexin degradation. J. Hazard. Mater. 2022, 439, 129540. [Google Scholar] [CrossRef]
- Ebrahimbabaie, P.; Yousefi, K.; Pichtel, J. Photocatalytic and biological technologies for elimination of microplastics in water: Current status. Sci. Total Environ. 2022, 806, 150603. [Google Scholar] [CrossRef]
- Fukugaichi, S. Fixation of Titanium Dioxide Nanoparticles on Glass Fiber Cloths for Photocatalytic Degradation of Organic Dyes. ACS Omega 2019, 4, 15175–15180. [Google Scholar] [CrossRef]
- Huang, S.Y.; Chen, C.C.; Tsai, H.Y.; Shaya, J.; Lu, C.S. Photocatalytic degradation of thiobencarb by a visible light-driven MoS2 photocatalyst. Sep. Purif. Technol. 2018, 197, 147–155. [Google Scholar] [CrossRef]
- Elango, G.; Roopan, S.M. Efficacy of SnO2 nanoparticles toward photocatalytic degradation of methylene blue dye. J. Photochem. Photobiol. B-Biol. 2016, 155, 34–38. [Google Scholar] [CrossRef] [PubMed]
- Heidarpour, H.; Padervand, M.; Soltanieh, M.; Vossoughi, M. Enhanced decolorization of rhodamine B solution through simultaneous photocatalysis and persulfate activation over Fe/C3N4 photocatalyst. Chem. Eng. Res. Des. 2020, 153, 709–720. [Google Scholar] [CrossRef]
- Padervand, M.; Ghasemi, S.; Hajiahmadi, S.; Rhimi, B.; Nejad, Z.G.; Karima, S.; Shahsavari, Z.; Wang, C.Y. Multifunctional Ag/AgCl/ZnTiO3 structures as highly efficient photocatalysts for the removal of nitrophenols, CO2 photoreduction, biomedical waste treatment, and bacteria inactivation. Appl. Catal. A-Gen. 2022, 643, 118794. [Google Scholar] [CrossRef]
- Cheng, L.; Xiang, Q.J.; Liao, Y.L.; Zhang, H.W. CdS-Based photocatalysts. Energy Environ. Sci. 2018, 11, 1362–1391. [Google Scholar] [CrossRef]
- Wen, Y.; Cao, S.; Fei, X.; Wang, H.; Wu, Z. One-step synthesized SO42−-TiO2 with exposed (001) facets and its application in selective catalytic reduction of NO by NH3. Chin. J. Catal. 2018, 39, 771–778. [Google Scholar] [CrossRef]
- Thompson, W.A.; Perier, C.; Maroto-Valer, M.M. Systematic study of sol-gel parameters on TiO2 coating for CO2 photoreduction. Appl. Catal. B-Environ. 2018, 238, 136–146. [Google Scholar] [CrossRef]
- Shende, T.P.; Bhanvase, B.A.; Rathod, A.P.; Pinjari, D.V.; Sonawane, S.H. Sonochemical synthesis of Graphene-Ce-TiO2 and Graphene-Fe-TiO2 ternary hybrid photocatalyst nanocomposite and its application in degradation of crystal violet dye. Ultrason. Sonochem. 2018, 41, 582–589. [Google Scholar] [CrossRef]
- Gao, Y.; Hu, M.; Mi, B.X. Membrane surface modification with TiO2-graphene oxide for enhanced photocatalytic performance. J. Membr. Sci. 2014, 455, 349–356. [Google Scholar] [CrossRef]
- Zabihi, F.; Ahmadian-Yazdi, M.R.; Eslamian, M. Photocatalytic Graphene-TiO2 Thin Films Fabricated by Low-Temperature Ultrasonic Vibration-Assisted Spin and Spray Coating in a Sol-Gel Process. Catalysts 2017, 7, 136. [Google Scholar] [CrossRef]
- Allen, M.J.; Tung, V.C.; Kaner, R.B. Honeycomb Carbon: A Review of Graphene. Chem. Rev. 2010, 110, 132–145. [Google Scholar] [CrossRef]
- Bolotin, K.I.; Sikes, K.J.; Jiang, Z.; Klima, M.; Fudenberg, G.; Hone, J.; Kim, P.; Stormer, H.L. Ultrahigh electron mobility in suspended graphene. Solid State Commun. 2008, 146, 351–355. [Google Scholar] [CrossRef]
- Tang, T.; Wang, T.; Gao, Y.; Xiao, H.; Xu, J.H. Two step method for preparing TiO2/Ag/rGO heterogeneous nanocomposites and its photocatalytic activity under visible light irradiation. J. Mater. Sci.-Mater. Electron. 2019, 30, 8471–8478. [Google Scholar] [CrossRef]
- Wang, G.H.; Dai, J.L.; Luo, Q.Y.; Deng, N.S. Photocatalytic degradation of bisphenol A by TiO2@aspartic acid-beta-cyclodextrin@reduced graphene oxide. Sep. Purif. Technol. 2021, 254, 117574. [Google Scholar] [CrossRef]
- Jing, L.; Yang, Z.Y.; Zhao, Y.F.; Zhang, Y.X.; Guo, X.; Yan, Y.M.; Sun, K.N. Ternary polyaniline-graphene-TiO2 hybrid with enhanced activity for visible-light photo-electrocatalytic water oxidation. J. Mater. Chem. A 2014, 2, 1068–1075. [Google Scholar] [CrossRef]
- Xu, W.L.; Chen, S.; Zhu, Y.N.; Xiang, X.X.; Bo, Y.Q.; Lin, Z.M.; Wu, H.; Liu, H. Preparation of hyperelastic graphene/carboxymethyl cellulose composite aerogels by ambient pressure drying and its adsorption applications. J. Mater. Sci. 2020, 55, 10543–10557. [Google Scholar] [CrossRef]
- ASham, Y.W.; Notley, S.M. Adsorption of organic dyes from aqueous solutions using surfactant exfoliated graphene. J. Environ. Chem. Eng. 2018, 6, 495–504. [Google Scholar]
- Chen, Y.Y.; Wang, L.H.; Sun, H.Y.; Zhang, D.D.; Zhao, Y.P.; Chen, L. Self-assembling TiO2 on aminated graphene based on adsorption and catalysis to treat organic dyes. Appl. Surf. Sci. 2021, 539, 147889. [Google Scholar] [CrossRef]
- Wang, D.T.; Li, X.; Chen, J.F.; Tao, X. Enhanced Visible-Light Photoelectrocatalytic Degradation of Organic Contaminants at Iodine-Doped Titanium Dioxide Film Electrode. Ind. Eng. Chem. Res. 2012, 51, 218–224. [Google Scholar] [CrossRef]
- Adamu, H.; Dubey, P.; Anderson, J.A. Probing the role of thermally reduced graphene oxide in enhancing performance of TiO2 in photocatalytic phenol removal from aqueous environments. Chem. Eng. J. 2016, 284, 380–388. [Google Scholar] [CrossRef]
- Liu, J.C.; Wang, L.; Tang, J.C.; Ma, J.L. Photocatalytic degradation of commercially sourced naphthenic acids by TiO2-graphene composite nanomaterial. Chemosphere 2016, 149, 328–335. [Google Scholar] [CrossRef] [PubMed]
- Wan, C.; Peng, T.J.; Sun, H.J.; Huang, Q. Preparation and Humidity-Sensitive Properties of Graphene Oxide in Different Oxidation Degree. Chin. J. Inorg. Chem. 2012, 28, 915–921. [Google Scholar]
- YMin, L.; Zhang, K.; Zhao, W.; Zheng, F.C.; Chen, Y.C.; Zhang, Y.G. Enhanced chemical interaction between TiO2 and graphene oxide for photocatalytic decolorization of methylene blue. Chem. Eng. J. 2012, 193, 203–210. [Google Scholar]
- Chou, P.W.; Wang, Y.S.; Lin, C.C.; Chen, Y.J.; Cheng, C.L.; Wong, M.S. Effect of carbon and oxygen on phase transformation of titania films during annealing. Surf. Coat. Technol. 2009, 204, 834–839. [Google Scholar] [CrossRef]
- di Valentin, C.; Pacchioni, G.; Selloni, A. Theory of carbon doping of titanium dioxide. Chem. Mater. 2005, 17, 6656–6665. [Google Scholar] [CrossRef]
- Ren, W.J.; Ai, Z.H.; Jia, F.L.; Zhang, L.Z.; Fan, X.X.; Zou, Z.G. Low temperature preparation and visible light photocatalytic activity of mesoporous carbon-doped crystalline TiO2. Appl. Catal. B-Environ. 2007, 69, 138–144. [Google Scholar] [CrossRef]
- CGuo, S.; Ge, M.; Liu, L.; Gao, G.D.; Feng, Y.C.; Wang, Y.Q. Directed Synthesis of Mesoporous TiO2 Microspheres: Catalysts and Their Photocatalysis for Bisphenol A Degradation. Environ. Sci. Technol. 2010, 44, 419–425. [Google Scholar]
- Zhang, Q.L.; Qin, Z.; Liu, Y.Z.; Ting, Y.T.; Zhang, J.W.; Zeng, G.P. Adsorption kinetics and photocatalytic activity of grapheneoxide-TiO2 composites for three dyes. Chem. Ind. Eng. Prog. 2019, 38, 2870–2879. [Google Scholar]
- Ali, I. New Generation Adsorbents for Water Treatment. Chem. Rev. 2012, 112, 5073–5091. [Google Scholar] [CrossRef]
- Kiwaan, H.A.; Atwee, T.M.; Azab, E.A.; El-Bindary, A.A. Photocatalytic degradation of organic dyes in the presence of nanostructured titanium dioxide. J. Mol. Struct. 2020, 1200, 127115. [Google Scholar] [CrossRef]
- Sadia, M.; Naz, R.; Khan, J.; Zahoor, M.; Ullah, R.; Khan, R.; Naz, S.; Almoallim, H.S.; Alharbi, S.A. Metal doped titania nanoparticles as efficient photocatalyst for dyes degradation. J. King Saud Univ. Sci. 2021, 33, 101312. [Google Scholar] [CrossRef]
- Inamuddin. Xanthan gum/titanium dioxide nanocomposite for photocatalytic degradation of methyl orange dye. Int. J. Biol. Macromol. 2019, 121, 1046–1053. [Google Scholar] [CrossRef] [PubMed]
- Jafri, N.N.M.; Jaafar, J.; Alias, N.H.; Samitsu, S.; Aziz, F.; Salleh, W.N.W.; Yusop, M.Z.M.; Othman, M.H.D.; Rahman, M.A.; Ismail, A.F.; et al. Synthesis and Characterization of Titanium Dioxide Hollow Nanofiber for Photocatalytic Degradation of Methylene Blue Dye. Membranes 2021, 11, 581. [Google Scholar] [CrossRef]
- Idris, N.J.; Bakar, S.A.; Mohamed, A.; Muqoyyanah, M.; Othman, M.H.D.; Mamat, M.H.; Ahmad, M.K.; Birowosuto, M.D.; Soga, T. Photocatalytic performance improvement by utilizing GO_MWCNTs hybrid solution on sand/ZnO/TiO2-based photocatalysts to degrade methylene blue dye. Environ. Sci. Pollut. Res. 2021, 28, 6966–6979. [Google Scholar] [CrossRef] [PubMed]
- Kocijan, M.; Curkovic, L.; Bdikin, I.; Otero-Irurueta, G.; Hortigueela, M.J.; Goncalves, G.; Radosevic, T.; Vengust, D.; Podlogar, M. Immobilised rGO/TiO2 Nanocomposite for Multi-Cycle Removal of Methylene Blue Dye from an Aqueous Medium. Appl. Sci. 2022, 12, 385. [Google Scholar] [CrossRef]
- Zhang, Y.J.; Qi, H.J.; Zhang, L.; Wang, Y.; Zhong, L.L.; Zheng, Y.G.; Wen, X.; Zhang, X.M.; Xue, J.Q. A RGO aerogel/TiO2/MoS2 composite photocatalyst for the removal of organic dyes by the cooperative action of adsorption and photocatalysis. Environ. Sci. Pollut. Res. 2022, 29, 8980–8995. [Google Scholar] [CrossRef] [PubMed]
Publisher’s Note: MDPI stays neutral with regard to jurisdictional claims in published maps and institutional affiliations. |
© 2022 by the authors. Licensee MDPI, Basel, Switzerland. This article is an open access article distributed under the terms and conditions of the Creative Commons Attribution (CC BY) license (https://creativecommons.org/licenses/by/4.0/).









