Abstract
Methyl glycolate was synthesized as a precursor to ethylene glycol from the acid-catalyzed carbonylation of formaldehyde, followed by esterification with methanol. Homogeneous acids and different solid acids (e.g., resins and zeolites) were used as catalysts, and the effect of the solvent was examined. Afterward, a carboxylic acid protection strategy was proposed. With sulfolane and acetic acid as the mixed solvent, the solubility of CO increases, and the reaction rate can be accelerated. The rapid reaction between acetic acid and glycolic acid inhibits glycolic acid polymerization and pulls the reaction balance to promote the carbonylation reaction rate. Under the optimal solvent system (a molar ratio of acetic acid to sulfolane of 1:5) and the appropriate reaction conditions, the selectivity of the target product is higher than 85%. Solid acid catalysts with a −SO3H or −CF2SO3H functional group are supposed to be efficient in the carbonylation of formaldehyde, based on which a supported Nafion catalyst with a high surface area and total acid content was designed and synthesized. The novel supported Nafion catalyst presents a high total acid content and high Brönsted–Lewis acid ratio due to the characteristics of modified zeolite and, thus, leads to the high reactivity and very low selectivity of the by-product. A possible reaction mechanism is proposed to explain the product’s distribution by ascribing the formation of different products to different types of acid sites.
    1. Introduction
Ethylene glycol (EG) is an important industrial chemical in the manufacture of PET polyester products and antifreeze. The main production routes for EG include the petroleum-based route via ethylene oxide and the coal-based route via oxalate [,]. The former route is water-intensive, and production costs fluctuate with the price of crude oil, while the product purity of the coal-based route needs to be further improved. The indirect syngas-based route starts with methanol or its C1 derivatives [,], such as formaldehyde, and has been considered a promising approach to the synthesis of EG due to its cheaper carbon source compared to ethylene [,].
The production of EG from formaldehyde, including the hydroformylation route via glycolic aldehyde and the carbonylation route via glycolic acid (GA), is an important extension of the C1 chemical industry [,]. In particular, carbonylation reactions attract much attention from the chemical industry due to their atomic economy, environmental friendliness, and high selectivity. The carbonylation route mainly involves three reactions, namely, the carbonylation of formaldehyde to GA, esterification of GA to methyl glycolate (MG), and hydrogenation of MG to EG. The key point of this process is the catalyzed carbonylation of formaldehyde.
The carbonylation of formaldehyde is a typical acid-catalyzed reaction that proceeds via the Koch mechanism with carbocationic reaction intermediates. The DuPont company once realized industrial production using concentrated H2SO4 as a catalyst for formaldehyde carbonylation to produce GA and its esters at a CO pressure of 90 MPa, which then underwent hydrogenation by copper chromite to yield EG []. The plant was shut down due to the rigorous reaction conditions and serious pollution. The strong corrosion to equipment and difficulty in the product separation of liquid catalysts limit their industrial applications [] despite the high catalytic activity. In order to overcome the disadvantages caused by liquid acids, plenty of studies have been carried out to develop efficient heterogeneous catalysts for the carbonylation of formaldehyde, including zeolites [,], resins [,], and heteropolyacids [,,,]. In recent years, acidic ionic liquids [,] and homogeneous organic acids [] have also been developed as alternative catalysts for carbonylation. Despite all the efforts that have been made, there are still shortcomings in carbonylation catalysts, such as a poor product yield of conventional solid acids and the high cost of Nafion resins. The development of efficient catalysts and the reaction mechanism need to be further investigated.
In this work, research on formaldehyde carbonylation using homogeneous acid and different solid acids (e.g., resins and zeolites) as catalysts was conducted. The effects of the solvent and catalyst acid properties were examined. Based on all the studies, a novel supported Nafion catalyst with a high surface area and total acid content was designed and synthesized. A possible reaction mechanism was proposed, and the relationship between product distribution and different types of acid sites was preliminarily discussed.
2. Results and Discussion
In the reaction process, formaldehyde was first carbonylated by CO and H2O to GA. GA was subsequently esterified with methanol to form MG and H2O. After this, MG was hydrogenated to useful EG and released methanol at the same time. After esterification, methyl methoxyacetate (MMAc), a precursor to methoxyethanol, was formed, along with dimethoxymethane (DMM) and methyl formate (MF), as the main by-product. The reactions involved in this process are shown in Figure 1.
 
      
    
    Figure 1.
      Reaction pathways in carbonylation of formaldehyde.
  
The key problem of formaldehyde carbonylation is the trade-off between the reaction rate (mainly step 1 in Figure 1) and product selectivity. This inspired us toward the two possible breakthrough points of the carbonylation reaction, i.e., process intensification and the modification of catalysts. Firstly, moderate reaction conditions were achieved by modifying the reaction system (Section 2.1). Subsequently, undesired side reactions were suppressed by a novel catalyst design (Section 2.2).
2.1. Optimization of Reaction Process
Most studies about the acid-catalyzed carbonylation of formaldehyde have been carried out in the liquid phase, where the concentration of dissolved CO in solution is quite low, thus leading to a slow reaction speed and unsatisfactory conversion. In this section, the reaction pathways are regulated by adjusting solvents and additives in order to optimize the reaction process and achieve better catalytic performance.
2.1.1. Modification of Solvents
The carbonylation of formaldehyde occurs via the Koch mechanism, beginning with the protonation of formaldehyde to yield methylol carbocation intermediates [], which undergo CO insertion to give acyl carbocations. The acylium cation is stabilized by water and subsequently deprotonates as GA, and then esterification takes place in the presence of methanol to produce MG. During this process, the formation rate of methylol carbocation intermediates is closely related to the concentration of CO in the liquid phase. The poor solubility of CO in the liquid phase raises the demand for high CO pressures (tens to hundreds of atmospheres) for the reaction system.
Based on previous experiments, higher pressure does help increase the solubility of CO in most solvents to some extent, but the harsh reaction conditions will aggravate the side reactions and decrease the selectivity of target products. In the past decades, efforts such as screening solvents with higher CO solubility and solid acid catalysts with higher selectivity to carbonylation have been made to reduce reaction pressure as much as possible. However, it has also been observed that at lower CO pressures, the Cannizzaro self-disproportionation of formaldehyde becomes the dominant reaction, resulting in low product selectivity. Therefore, it is important to strike a balance between low CO pressure and product selectivity.
A batch of solvents suitable for the carbonylation of formaldehyde was determined by screening common organic solvents. Under suitable reaction temperature and pressure, using trifluoromethanesulfonic acid (CF3SO3H, liquid) as the catalyst, the catalytic performance of several potential solvents was studied, and the results are shown in Table 1. To be clear, the amounts of liquid catalyst in this experiment are sufficient relative to the reactant, excluding the effect of catalyst amount on conversion. The results showed that under mild reaction conditions, the conversion of formaldehyde can reach more than 99% with an MG selectivity of more than 60% when sulfolane and cyclohexane are used as solvents. While in organic solvents such as 1, 4-dioxane and dimethylsulfoxide, the selectivity of MG is relatively low. It can be concluded that a weak polar organic solvent is promising to achieve both moderate reaction conditions and high product yield. In addition, when sulfolane was used as the solvent, there were no unknown by-products detected by LC-MS, which makes sulfolane suitable for mechanism study and reaction path control. Therefore, sulfolane was selected as the solvent in subsequent experiments.
 
       
    
    Table 1.
    Effect of different solvents on the carbonylation of formaldehyde.
  
2.1.2. Study on Carboxylic Acid Protection Strategy
A glycollic acid molecule contains both hydroxyl and carboxylic functional groups, and thus, a self-polymerization reaction could occur to form polyglycolic acid and glycolide []. Polyglycolic acid with high molecular weight is difficult to separate and quantitatively analyze in subsequent processes. Glycolic acid, on the other hand, is unstable and easy to reversibly decompose to formaldehyde and CO under acid-catalyzed conditions []. After the reaction, the color of the solution darkened as the selectivity of MG decreased or the temperature increased (ranging from pale yellow to brown), indicating an increase in polymer formation and/or carbonization of formaldehyde. Generally, the color could be attributed to the formation of formose sugars from formaldehyde, which subsequently underwent acid-catalyzed carbonization [,]. In some cases, dark solids were collected from the bottom of the autoclave. Therefore, the color was most likely caused by the formation of polymers of GA or the acid-catalyzed carbonization of formaldehyde. Polymers of GA that copolymerize with formaldehyde generate yellow liquids, and those without formaldehyde lead to dark solids []. The main by-products during the reactions are listed in Figure 2.
 
      
    
    Figure 2.
      Main by-products in the carbonylation of formaldehyde.
  
Therefore, the stability of GA is an important issue in determining final product distribution. Studies have shown that the addition of organic carboxylic acid helps protect GA and improve the selectivity of target products []. Taking acetic acid as an example, acetic acid reacts with carbonylation product GA rapidly to produce acetoxyacetic acid (AAcA) or acetoxyacetic acid oligomers, which not only inhibits the polymerization of GA under reaction conditions but also promotes the reaction balance in the positive direction. As a result, the rate of carbonylation reaction was effectively improved. Most importantly, AAcA was subsequently esterified to form methyl acetoxyacetate (MAAc), which can also be converted into the target product, EG, after transesterification and hydrogenation. The scheme of the carboxylic acid protection strategy is shown in Figure 3.
 
      
    
    Figure 3.
      The scheme of the carboxylic acid protection strategy (taking acetic acid as an example).
  
Theoretically, the possible reaction pathways of AAcA and methanol are as follows:
- (1)
- The esterification reaction of AAcA takes place first to form MAAc, followed by transesterification of MAAc to form MG;
- (2)
- The transesterification reaction of AAcA takes place first to form GA, followed by the esterification of GA to form MG;
- (3)
- The esterification and transesterification reactions take place simultaneously.
In order to investigate how the reactions proceed, model experiments of pure AAcA esterified with methanol at different temperatures were performed (Figure 4). According to LC results, when AAcA was mixed with sufficient methanol at room temperature for 3 h, only a small amount of AAcA reacted. The product contains MAAc, MG, methyl acetate (MAc), and a small amount of GA. With the reaction temperature gradually increased to 60 °C, AAcA achieved complete conversion, but some MAAc still existed in the product, indicating that the esterification reaction was faster than transesterification. Only MG (97.9%) and GA (2.1%) were detected in the product when the reaction temperature reached 90 °C. In summary, AAcA generated from acetic acid can be completely transformed into target product MG without introducing other impurities, as long as the reaction temperature of esterification is higher than 90 °C. This proves the feasibility of the carboxylic acid protection strategy.
 
      
    
    Figure 4.
      Conversion and product selectivities of AAcA reacted with methanol at different temperatures. Red circle—conversion of AAcA; green square—selectivity of GA; black square—selectivity of MG; blue square—selectivity of MAAc.
  
The effect of carboxylic acid as the second solvent on the carbonylation was studied with sulfolane as the solvent (Table 2). The results showed that adding carboxylic acids could significantly improve the selectivity of target product MG, among which acetic acid gives the best result. Subsequently, the catalytic performance was optimized by adjusting the ratio of sulfolane and carboxylic acid in the mixed solvent (Figure 5). A molar ratio of acetic acid to sulfolane of 1:5 is an ideal solvent for the carbonylation of formaldehyde, and the selectivity of MG can reach above 85% under appropriate reaction conditions.
 
       
    
    Table 2.
    Effect of different carboxylic acids on the carbonylation of formaldehyde.
  
 
      
    
    Figure 5.
      Effect of different acetic acid/sulfolane ratios on selectivity. Red square—selectivity of MG; blue circle—selectivity of MF.
  
In conclusion, the carboxylic acid protection strategy for GA is proposed and verified. The rapid reaction between acetic acid and GA inhibits the polymerization of GA and pulls the reaction balance to accelerate carbonylation. Under the optimal solvent system (a molar ratio of acetic acid to sulfolane of 1:5), the selectivity of the target product MG is higher than 85%.
2.2. Catalyst Design for Carbonylation
2.2.1. Studies on Liquid Acid Catalysts
Based on the results in Section 2.1, the ideal scenario would be for the added acetic acid to completely react with GA while the rest of the liquid acid stays in the sulfolane (boiling point 287.3 °C) phase after the reaction. In that case, the mixed solvent with acid catalyst could be employed for the next reaction cycle after distillation of products such as MG (b.p. 149 °C). Therefore, it is expected that the boiling point of liquid acid is as close to sulfolane as possible. According to experiments, acids containing sulfonic acid functional groups (−SO3H), such as trifluoromethanesulfonic acid, show excellent carbonylation performance. Herein, a series of liquid acid-containing −SO3H groups with different boiling points were tested for carbonylation of formaldehyde reactions, and the catalytic performance is shown in Table 3. In this experiment, the amounts of liquid catalyst were kept high to ensure the complete conversion of formaldehyde.
 
       
    
    Table 3.
    Effect of different liquid acids on the carbonylation of formaldehyde.
  
Under the reaction temperature of 120 °C and CO pressure of 6 MPa, the catalytic performance of nonafluoro-1-butanesulfonic acid was similar to that of trifluoromethanesulfonic acid, and the selectivity of MG was higher than 85%. However, the carbonylation performance of other liquid acid catalysts was not ideal despite all of them having sulfonic acid groups. When dodecyl benzene sulphonic acid was used as the catalyst, although the formaldehyde was almost completely reacted, the selectivity of the target product was only 10%. 
Theoretically speaking, when acids containing the −SO3H group are employed for the carbonylation of formaldehyde, the key point is to enhance the acid strength and the dissociation ability of −SO3H group protons []. In the first step of carbonylation, formaldehyde is attacked by protons from acidic groups to form carbocation ions, the difficulty of which depends on the protonation ability []. Therefore, the properties of the protons on acid catalysts have a great effect on the carbonylation of formaldehyde. The stronger the acid strength is, the easier H atoms on the acidic group dissociate, and the more protonation of formaldehyde will take place. The fluoro-substituted sulfonic acid group (−CF2SO3H) is a kind of strong electron-withdrawing group. After introducing this strong electron-withdrawing group to the compound, the electron cloud on the carbon chain or benzene ring shifts to the direction of −CF2SO3H so that H atoms on −CF2SO3H groups are easier to dissociate and lead to stronger acidity. It should be pointed out that liquid fluoro-substituted sulfonic acids (Table 3) were diluted by solvent in the liquid reaction system, resulting in a decrease in acid density. Unlike liquid acid, the acid density of solid acid catalyst will not be affected by solvents. Based on this, it is concluded that the solid acid catalyst modified by the −SO3H or −CF2SO3H group should be more efficient in the carbonylation of formaldehyde.
2.2.2. Studies on Solid Acid Catalysts
As a consequent study, solid ion exchange resins with the −SO3H group were investigated for carbonylation of formaldehyde. Ion exchange resins are synthetic polymers with cross-linked structures containing ion exchange functional groups. According to the nature of functional groups can be divided into strong acids (−SO3H), weak acids (−COOH), and other types []. The effects of several polystyrenic macroporous strong acid cation ion exchange resins on the performance of carbonylation were compared (Table 4).
 
       
    
    Table 4.
    Effect of different resins on the carbonylation of formaldehyde.
  
Resin catalysts show better performance than other solid acids, such as molecular sieve, presenting higher selectivity of MG and producing less MF. This is due to the granular and porous structure of resin making its skeleton swell in the liquid phase, which is conducive to the contact of the reactant and the catalytic active site. As a result, the reaction micro-environment is very close to homogeneous ones. In addition, compared with homogeneous acids, the acid groups of ion exchange resin catalyst are located inside the resin, thus avoiding contact with the reactor and the following corrosion or pollution to the environment. However, resins have poor high-temperature resistance (e.g., Amberlyst-15 resin can only withstand up to 130 °C []), and functional groups are easy to dissociate and deactivate when heated. In addition, the skeleton of resins is prone to cracking after repeated swelling, resulting in the breakage of resin particles. It is necessary to modify existing resins to enhance acid strength to improve the activity.
Nafion (solid superacid, developed by DuPont Company, Wilmington, USA) is a copolymer derived from tetrafluoroethylene and perfluoro-2-(fluorosulfonylethoxy)propyl vinyl ether containing strongly acidic terminal groups CF2CF2SO3H formed after hydrolysis of the sulfonyl fluoride. The high acid strength and chemical inertness of the fluorocarbon backbone make Nafion resin an attractive replacement for strong homogeneous acid catalysts. One major drawback of the commercially available Nafion is the low surface area, which results in low activity when non-swelling solvents or gas phase reaction conditions are applied. According to the results in Table 4, the Nafion catalyst shows high selectivity to MG (92.9%) but does not easily convert formaldehyde. Most of all, the low selectivity of by-product MF (1.2%) is quite impressive.
In order to increase the activity, a new kind of solid Nafion catalyst has been developed. A colloidal dispersion of Nafion solution is mixed with a soluble silica precursor. This new generation of Nafion contains nano-sized Nafion resin particles entrapped in a highly porous silica matrix. The as-synthesized catalysts are donated as Nafion/SiO2, which refers to Nafion dispersed on SiO2 prepared by the sol–gel method. The properties of Nafion/SiO2 catalysts could be manipulated by adjusting the acid–base ratio in the preparation process. In general, the BET surfaces of such catalysts (100–150 m2/g) are much higher than pure Nafion (less than 10 m2/g). Due to the better accessibility of the active acid sites, the activity of these composites is also much higher than pure Nafion (Table 5). In addition, increasing Nafion loading leads to an improvement in catalytic performance due to the higher amount of available acid sites.
 
       
    
    Table 5.
    Effect of different supported Nafion catalysts on the carbonylation of formaldehyde.
  
Furthermore, the cycling performance of the supported Nafion catalyst was investigated. The yields of MG in the first, second, and third recycle were 61%, 57%, and 46%, respectively, indicating that the cycling performance of the Nafion/SiO2 catalyst was poor. The color of the catalyst’s surface changed from light yellow to brown after the recycling. It was inferred that the polymerization of formaldehyde on the catalyst surface led to severe deactivation during recycling.
Therefore, as a subsequent work, supports with a high surface area were employed to disperse Nafion in order to enhance the number of accessible acid sites and reinforce the surface interaction on the catalyst, hoping to improve the activity and cycling performance of supported Nafion catalysts. Herein, an H-type MFI zeolite (denoted as ZEO) with a SiO2/Al2O3 ratio of 200 and modified ZEO (denoted as m-ZEO) were employed to synthesize supported catalyst with the same Nafion loading as the SO2-supported catalyst (45%Nafion/SiO2). The as-synthesized catalysts were denoted as 45%Nafion/ZEO and 45%Nafion/m-ZEO, respectively. The catalytic performance of the above catalysts was evaluated at the same reaction condition, as shown in Table 6. Both zeolite and modified zeolite-supported catalysts are more active (higher conversion of formaldehyde) than the SiO2-supported ones. As for product selectivity, the as-synthesized 45%Nafion/m-ZEO catalyst shows the highest selectivity of target product MG as well as extremely low production of by-product MF. 
 
       
    
    Table 6.
    Catalytic performance of different supported Nafion catalysts.
  
The properties of the above catalysts are summarized in Table 7. It can be seen that the modified zeolite-supported catalyst 45%Nafion/m-ZEO has the highest acid site concentration (0.55 mmol/g) as well as the highest BET surface area (314.3 m2/g). Since the loadings of Nafion are the same, it is reasonable to infer that both the silica or zeolite support and Nafion resin contribute to the final acid site concentration of supported Nafion catalysts. Theoretically, zeolites with higher SiO2/Al2O3 ratios will show higher carbonylation rates. Al centers and the surface species adsorbed on them were separate from each other because there are fewer Al atoms inside the zeolite framework when the SiO2/Al2O3 ratio increases. The separation avoids repulsive electrostatic interactions between surface species and decreases activation energies in the cationic transition state of the CO insertion step. The as-synthesized zeolite (ZEO) and modified zeolite (m-ZEO) show a high BET surface area of 414.1 m2/g and 402.3 m2/g, respectively. After Nafion impregnation, the surface area of zeolite decreased to some extent due to the blockage of pores caused by Nafion resin. 
 
       
    
    Table 7.
    Properties of supported Nafion catalysts.
  
The morphology (Figure 6) of ZEO and m-ZEO reveal a high ratio of external surface in total surface area, which could, in principle, lead to high dispersion of Nafion supported on zeolites. The SEM images indicate that Nafion resin is highly dispersed within and throughout the porous silica or zeolite network. The microstructure may be regarded as a porous network that contains “pockets” of acid sites. These sites are accessible to reactants via the interconnected porous channels instead of blocked in the dense bulk phase of Nafion resin. In addition, due to the limited thermal stability of Nafion resin (<200 °C), conventional characterization methods for surface acid such as NH3-TPD are not applicable here. The acid–base titration method was employed to evaluate the acid concentrations of catalysts, which mainly reveals the apparent and accessible acid sites in the supported Nafion catalyst. Therefore, 45%Nafion/m-ZEO catalysts show better catalytic performance, mainly due to the increased effective surface area and higher accessibility to active acid sites on the solid acid catalyst.
 
      
    
    Figure 6.
      SEM images of the catalysts (a) 45%Nafion/SiO2 (b) 45%Nafion/ZEO (c) 45%Nafion/m-ZEO.
  
Likewise, the cycling performance of the 45%Nafion/m-ZEO catalyst was investigated. At complete conversion of formaldehyde, the yields of MG in the first, second, and third recycle were 87.1%, 86.0%, and 85.5%, respectively, indicating that the cycling performance of this catalyst was relatively stable. This is possibly due to the higher BET surface area and stronger active phase-support interaction of the modified zeolite.
On the other hand, the acid site concentrations of 45%Nafion/ZEO and 45%Nafion/m-ZEO are not that different, but the product selectivities, especially the selectivity of MF, are of vital difference (Table 6). Pyridine infrared spectroscopy was used to investigate the difference between the two supports, i.e., ZEO and modified ZEO. The Brönsted acid and Lewis acid centers on the two zeolites were quantitatively and qualitatively analyzed. Alkaline pyridine molecules can be chemically adsorbed on the acidic side of zeolite. In principle, stronger adsorption of pyridine molecules requires a higher temperature of desorption, representing a stronger acid strength. The desorption of pyridine at 150 °C, 250 °C, and 350 °C represents the amount of total acid, medium strong acid, and strong acid, respectively. The acid concentration was calculated by combining the peak area of the characteristic peak of the measured infrared spectrogram with the extinction coefficient, and the calculated data are listed in Table 8.
 
       
    
    Table 8.
    Pyridine infrared data of high-silica zeolite before and after modification.
  
Generally speaking, Brönsted acid sites come from skeleton aluminum in zeolite, and Lewis acid sites mainly come from non-skeleton aluminum. However, it has been proved that non-skeleton aluminum can also produce Brönsted acid in some cases []. According to Table 8, the acidity distribution of modified ZEO has changed greatly, especially the proportion of Brönsted acid sites in the total acid sites. This is due to the removal of aluminum, causing the total acid amount to be greatly reduced, but the non-skeleton aluminum produced by the dealuminization process can also generate Brönsted acid. In addition, the interaction of non-skeleton aluminum with adjacent protic acids may produce even stronger Brönsted acid sites. Research shows that further modification of ZnO also increased the acid strength of m-ZEO. The increased Brönsted acid sites of m-ZEO were related to zinc hydroxyls of subnanomeric ZnO clusters located in zeolite pores, while the formation of zinc hydroxyls groups is possibly due to the transfer of protons from the silanols of zeolite to the subnanomeric ZnO clusters.
Based on the above characterization and extensive experiments, the relationship between catalytic performance (mainly product selectivity) and acid site types was determined and further verified. The effects of zeolites with different Brönsted acid/Lewis acid ratios as catalysts on the performance of carbonylation were compared (Table 9). The high yield of MF for MOR is ascribed to the small pores, which facilitate a critical initial step in the by-product formation. It is speculated that the lower rate of MF formation on ZSM-5 is due to repulsive interactions occurring between adsorbed species located within the same channel intersection. It is worth pointing out that the order of by-product MF yield is MOR>Beta>ZSM-5. This is consistent with the sequence of Lewis acid content in the three zeolites. This inspired us to compare the catalytic performance of formaldehyde to MF on a series of common catalysts, such as ZrO2, resins, and zeolites (Table 10). According to the results, typical Brönsted acid catalysts, such as Amberlyst-15 resin and SiO2, produce the least (barely 0) methyl formate. The literature [,,] shows that Lewis acid collaborates with lattice oxygen to catalyze the Tishchenko reaction of formaldehyde and produce MF. In conclusion, for carbonylation of formaldehyde reaction, it is proposed that Lewis acid sites are beneficial to the formation of by-product MF, while catalysts with more Brönsted acid sites will be, in principle, beneficial to increase the selectivity of MG.
 
       
    
    Table 9.
    Effect of different zeolites on the carbonylation of formaldehyde.
  
 
       
    
    Table 10.
    Comparison of MF formation on different catalysts.
  
In general, the supported Nafion catalyst synthesized here, i.e., 45%Nafion/m-ZEO, presents high total acid content and, more importantly, a high Brönsted/Lewis acid ratio due to the characteristics of support, thus leading to high reactivity and very low by-product selectivity.
2.2.3. Possible Reaction Mechanism
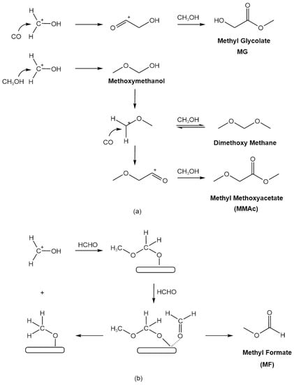
The possible reaction mechanism is proposed and shown in Figure 7. In the first step, formaldehyde is protonated to generate hydroxycarbocation or methylol carbocation intermediates. The hydroxycarbocation intermediates undergo CO insertion to yield acyl carbocations, which could be stabilized by H2O and subsequently deprotonate as GA and then esterified to produce MG (main reaction). Meanwhile, a small amount of methoxymethanol is present by methanol insertion of hydroxycarbocation intermediates. Protonation of methoxymethanol produces either hydroxycarbocation via loss of methanol or methoxycarbocation via loss of H2O. Further methanol insertion leads to the formation of dimethoxy methane. The as-synthesized dimethoxy methane and methoxymethanol can also generate the hydroxycarbocation and methoxycarbocation intermediates that were mentioned before, undergoing carbonylation as well. In addition, the interconversion between two carbocations via methoxymethanol is proved with both the existence of H2O and methanol. During this process, formaldehyde, dimethoxy methane, and methoxymethanol are assumed to reach equilibrium. The carbonylation of methoxycarbocation intermediates leads to MMAc after methanol addition. It can be predicted that the rate of product formation would be enhanced if CO dissolved more (high CO pressure) or incorporation into products occurred at faster rates. Excessive methanol would lead to more dimethoxy methane and MMAc, and keeping the intermediate GA stable by including a mixed solvent such as sulfolane-acetic acid helps to reduce the formation of by-products.
 
      
    
    Figure 7.
      Possible reaction mechanism for the carbonylation of formaldehyde: (a) target product, (b) by-product.
  
In this assumption, formaldehyde is carbonylated and stabilized by its coordination with the Brönsted acid sites. After the reaction, it releases the product MG and regenerates the acidic proton. The function of the catalyst is purely as a Brönsted acid []. CO has no sites to coordinate with prior to the reaction with protonated formaldehyde, and CO insertion occurs by an Eley-Rideal mechanism. The selectivities to MG and MMAc in this mechanism depend on the relative amount of Brönsted acid sites of the catalysts, as shown in Figure 7a. 
While on the Lewis acid sites, as illustrated in Figure 7b, methanol in the reactor contacts with the Lewis acidic protons on the surface and forms methoxy species, which react with hydroxy carbocation or methylol carbocation intermediates to methoxy-methoxy species. Further insertion of HCHO forms methoxy-acetyl species, which then decompose to release MF and regenerate the methoxy species on the Lewis acid sites. In addition, the disproportionation of dimethoxy methane also proceeds via the reaction with methoxy-methoxy species to form MMAc []. In most cases, methoxy species are hard to form on the surface due to the relatively high activation barrier []. However, for specific acid catalysts (such as MOR zeolite), surface methoxyl groups are more prevalent than others [], leading to a higher yield of MF, which is consistent with the experimental results in Table 9.
3. Materials and Methods
3.1. Materials
Homogeneous acid such as trifluoromethanesulfonic acid (AR, Sigma-Aldrich, St Louis, MO, USA), resins such as Amberlyst-15/36 (DuPont, Wilmington, DE, USA), zeolites such as MOR (Aladdin Holdings Group Co., Ltd., Shanghai, China), Nafion solution D2020CS (20 wt%, Sigma-Aldrich, St Louis, MO, USA), tetraethyl orthosilicate (TEOS, AR, Aladdin Holdings Group Co., Ltd., Shanghai, China), and tetrapropylammonium hydroxide (C12H29NO, AR, Sinopharm Chemical Reagent Co., Ltd., Shanghai, China) were all purchased from commercial sources.
3.2. Catalyst Synthesis
SiO2-supported Nafion catalyst: A series of supported Nafion catalysts with different loadings were prepared by the sol–gel method. TEOS and a certain amount of HCl solution were mixed and stirred for 1 h to form solution A, while 20 wt% Nafion was mixed with a certain amount of NaOH solution to form solution B. Clear solution A was rapidly added to solution B under vigorous stirring. After aging at ambient temperature overnight, the solid gel was dried in nitrogen at 80 °C and then treated with 25 wt% nitric acid solution. Finally, the composite was dried at 80 °C overnight. The loading of Nafion resin in the catalysts can be adjusted by varying the amounts of Nafion resin solution. The obtained samples were denoted as nNafion/SiO2, where n refers to the percentage of Nafion loading.
Synthesis of zeolite: TEOS, NaAlO2, NaOH, TPAOH, and deionized water were mixed and stirred to prepare a colloidal liquid with a molar ratio SiO2:Al2O3:Na2O:TPAOH:H2O = 200:1:20:10:4000. After stirring at 60 °C for 3h, the glue was transferred to a stainless steel reactor with a polytetrafluoroidal lining and crystallized at 175 °C for 48 h. The crystallization products were extracted, filtered under vacuum, and washed to neutral, then dried at 110 °C and calcined at 550 °C for 4h to obtain Na-high-silica zeolite. Ammonium exchange was performed as a conventional procedure to obtain H-type high-silica zeolite. The as-synthesized zeolite is denoted as ZEO.
Modification of zeolite: The above-obtained zeolite was treated in low-concentration acid. In a typical synthesis procedure, 100 g zeolite powder was treated in 0.3 mol/L acetic acid at 80 °C for 2 h with a solid/liquid ratio of 1/10. After drying at 120 °C overnight, the composite was then placed in an aqueous solution of Zn (NO3)2·6H2O stirred for 3 h. The modified zeolite was obtained by drying the sample under reduced pressure at 110 °C for 12 h and calcined at 550 °C for 4 h. The as-synthesized sample is denoted as m-ZEO.
Zeolite-supported Nafion catalyst: The as-synthesized ZEO and m-ZEO were used as supports to synthesize supported Nafion catalyst by conventional impregnation procedure and denoted as 45%Nafion/ZEO and 45%Nafion/m-ZEO, respectively. The Nafion loading is the same as that of 45%Nafion/SiO2.
3.3. Characterizations
The BET surface area and pore size distribution of the samples were measured by nitrogen adsorption using a Micromeritics ASAP-2020 analyzer (Norcross, GA, USA). Before the analysis, the samples were degassed for sample preparation at 120 °C in a vacuum for 1 h. The specific surface area was calculated according to the Brunauer–Emmett–Teller (BET) model. The total pore volume and pore size distribution were evaluated using the Barrett–Joyner–Halenda (BJH) method.
The acid concentrations of samples were determined by the acid–base titration method. In a typical experiment, 1 g of solid acid catalyst was added to 30 mL of NaCl (2 M) solution and vigorously stirred. After removing the solids by centrifugation, the obtained solution was titrated by a dropwise addition of 0.05 M NaOH solution.
An FT–IR–8400 Shimadzu Fourier transform infrared spectrometer (Kyoto, Japan) was used to obtain IR spectra to analyze the acidity of zeolite. A 20 mg sample was pressed into thin sheets and activated for 2 h in a high-vacuum infrared pool at 350 °C, then cooled to 150 °C to adsorb saturated pyridine, and desorbed at 150 °C, 250 °C, and 350 °C, respectively, for 30 min (10 °C/min). Spectra of desorbed pyridine at three different temperatures were recorded by infrared spectroscopy. The amount of Brönsted acid and Lewis acid was calculated according to the peak area at the wavelength of 1545 cm−1 and 1454 cm−1, respectively.
Scanning electron microscopy (SEM) was performed with a Hitachi S-4800 microscope (Tokyo, Japan) under an accelerated voltage of 3.0 kV.
ICP-AES measurements were performed using a Thermo IRIS Intrepid II XSP atomic emission spectrometer (Waltham, MA, USA).
3.4. Catalytic Test
The carbonylation of the formaldehyde reaction was carried out in a 100 mL stainless steel reactor with intermittent operation. A certain amount of polyformaldehyde, catalyst, and solvent was added to the reaction, and then the air in the system was replaced by CO. The reaction was carried out at a certain temperature (90–120 °C), pressure (6–9 MPa), and time (1–6 h). After the carbonylation reaction, excess methanol was added for esterification at 100 °C. The conversion of formaldehyde was determined by Agilent GC-7890B gas chromatography, and the yield of the target product (MG, MMAc) and main by-products MF was determined by Shimadzu LC-20A liquid chromatography.
4. Conclusions
The production of EG from methanol and its derivatives, such as formaldehyde, is attractive as a cheaper carbon source than petroleum-derived ethylene. This study reports an investigation of formaldehyde carbonylation using liquid acid and different solid acids (e.g., resins and zeolites) as catalysts. MG and MMAc, both precursors to EG, were formed along with DMM and MF, the primary by-products. The effect of the solvent was examined, based on which carboxylic acid protection strategy is proposed. With sulfolane and acetic acid as the mixed solvent, the rapid reaction between acetic acid and GA inhibits GA polymerization and pulls the reaction balance to promote the carbonylation reaction rate. Under a molar ratio of acetic acid to sulfolane of 1:5, the selectivity of MG is higher than 85%. Considering the complicated separation process of liquid acid catalysts and the serious corrosion, it is necessary to develop a solid acid with strong acidity and low corrosion instead of liquid acid. Based on extensive experiments, solid acid catalysts with −SO3H or −CF2SO3H functional groups are supposed to be efficient in the carbonylation of formaldehyde. Resins, especially Nafion resin, were employed as catalysts. Consequently, supported Nafion catalysts with high surface areas and total acid content were synthesized. The novel solid acid catalyst shows high reactivity (in close proximity to liquid acid), very low selectivity of by-products, and good performance in recycling and reuse. A possible reaction mechanism is proposed to explain the product’s distribution by ascribing the formation of different products to different types of acid sites. The study proves that novel supported Nafion catalysts have potential application in the synthesis of precursors to EG via carbonylation.
Author Contributions
Conceptualization, D.W.; methodology, D.W. and J.L.; resources, J.L.; data curation, D.W.; writing—original draft preparation, D.W.; writing—review and editing, D.W. and J.L.; supervision, J.L. All authors have read and agreed to the published version of the manuscript.
Funding
This research received no external funding.
Data Availability Statement
Not applicable.
Conflicts of Interest
The authors declare no conflict of interest.
References
- Salusjärvi, L.; Havukainen, S.; Koivistoinen, O.; Toivari, M. Biotechnological production of glycolic acid and ethylene glycol: Current state and perspectives. Appl. Microbiol. Biotechnol. 2019, 103, 2525–2535. [Google Scholar] [CrossRef] [PubMed]
- Zhu, J.; Ye, Y.; Tang, Y.; Chen, L.; Tang, K. Efficient hydrogenation of dimethyl oxalate to ethylene glycol via nickel stabilized copper catalysts. RSC Adv. 2016, 112, 111415–111420. [Google Scholar] [CrossRef]
- Shen, Z.; Xie, S.; Fan, W.; Zhang, O.; Xie, Z.; Yang, W.; Wang, Y.; Lin, J.; Wu, X.; Wan, H.; et al. Direct conversion of formaldehyde to ethylene glycol via photocatalytic carbon–carbon coupling over bismuth vanadate. Catal. Sci. Technol. 2016, 6, 6485–6489. [Google Scholar] [CrossRef]
- Fan, Y.; Bao, J.; Shi, L.; Li, S.; Lu, Y.; Liu, H.; Wang, H.; Zhong, L.; Sun, Y. Photocatalytic Coupling of Methanol and Formaldehyde into Ethylene Glycol with High Atomic Efficiency. Catal. Lett. 2018, 148, 2274–2282. [Google Scholar] [CrossRef]
- Novoselov, A.I.; Silaev, M.M.; Bugaenko, L.T. γ-Induced single-step synthesis of ethylene glycol from methanol-formaldehyde solutions. Theor. Found. Chem. Eng. 2010, 44, 432–435. [Google Scholar] [CrossRef]
- Zhang, J.; Yuan, Q.; Zhang, J.; Li, T.; Guo, H. Direct synthesis of ethylene glycol from methanol by dielectric barrier discharge. Chem. Commun. 2013, 49, 10106–10108. [Google Scholar] [CrossRef]
- Song, H.; Jin, R.; Kang, M.; Chen, J. Progress in synthesis of ethylene glycol through C1 chemical industry routes. Chin. J. Catal. 2013, 34, 1035–1050. [Google Scholar] [CrossRef]
- Lee, S.Y.; Kim, J.C.; Lee, J.S.; Kim, Y.G. Carbonylation of formaldehyde over ion exchange resin catalysts. 1. Batch reactor studies. Ind. Eng. Chem. Res. 1993, 32, 253–259. [Google Scholar] [CrossRef]
- E. I. du Pont de Nemours and Company. Process for Manufacture of Glycolic Acid. U.S. Patent 2152852, 4 April 1939. [Google Scholar]
- Chevron Research Company. Process for the Production of Glycolic Acid and Oxydiacetic Acid. U.S. Patent 3911003, 7 October 1975. [Google Scholar]
- Barri, S.A.I.; Chadwick, D. Carbonylation of Formaldehyde with Zeolite Catalysts. Catal. Lett. 2011, 141, 749–753. [Google Scholar] [CrossRef]
- Shapovalov, V.; Bell, T.A. Theoretical Study of Zeolite-Catalyzed Dimethoxymethane Carbonylation to Methyl Methoxyacetate. J. Phys. Chem. C 2010, 114, 17753–17760. [Google Scholar] [CrossRef]
- Liu, S.; Zhu, W.; Shi, L.; Liu, H.; Liu, Y.; Ni, Y.; Li, L.; Zhou, H.; Xu, S.; Liu, Z. A highly efficient Nafion-H catalyst for vapour phase carbonylation of dimethoxymethane. RSC Adv. 2014, 4, 40999–41002. [Google Scholar] [CrossRef]
- Wang, Z.; Shimada, T.; Takagi, H.; Ahn, C.; Sano, T.; Soga, K.; Takahashi, I.; Masuda, T. Carbonylation of formaldehyde with carbon monoxide over cation-exchange resin catalysts. Bull. Chem. Soc. Jpn. 1999, 72, 1935–1940. [Google Scholar] [CrossRef]
- Celik, F.E.; Lawrence, H.; Bell, A.T. Synthesis of precursors to ethylene glycol from formaldehyde and methyl formate catalyzed by heteropoly acids. J. Mol. Catal. A Chem. 2008, 288, 87–96. [Google Scholar] [CrossRef]
- Sun, Y.; Wang, H.; Shen, J.; Liu, H.; Liu, Z. Highly effective synthesis of methyl glycolate with heteropolyacids as catalysts. Catal. Commun. 2009, 10, 678–681. [Google Scholar] [CrossRef]
- Badmaev, S.D.; Potemkin, D.I.; Pechenkin, A.A.; Volkova, G.G.; Sobyanin, V.A.; Parmon, V.N. Gas-phase carbonylation of dimethoxymethane to methyl methoxyacetate over the Cs2.5H0.5PW12O40 catalyst. Dokl. Phys. Chem. 2016, 468, 85–88. [Google Scholar] [CrossRef]
- Wang, J.; Liu, J.; Song, H.; Chen, J. Heteropolyacids as Efficient Catalysts for the Synthesis of Precursors to Ethylene Glycol by the Liquid-phase Carbonylation of Dimethoxymethane. Catal. Lett. 2015, 44, 806–808. [Google Scholar] [CrossRef]
- Song, H.; Jing, F.; Jin, R.; Chen, J. Novel Functional Ionic Liquids as Metal-Free, Efficient and Recyclable Catalysts for the Carbonylation of Formaldehyde. Catal. Lett. 2014, 144, 711–716. [Google Scholar] [CrossRef]
- Lapidus, A.L.; Eliseev, O.L. Catalytic carbonylation in ionic liquids. Solid Fuel Chem. 2010, 44, 197–202. [Google Scholar] [CrossRef]
- Li, T.; Souma, Y.; Xu, Q. Carbonylation of formaldehyde catalyzed by p-toluenesulfonic acid. Catal. Today 2006, 111, 288–291. [Google Scholar] [CrossRef]
- Souma, Y.; Sano, H. Carbonylation of formaldehyde catalyzed by Copper(I), Silver carbonyls. Nippon. Kagaku Kaishi 1982, 2, 263–267. [Google Scholar] [CrossRef]
- Ayyoob, M.; Lee, D.H.; Kim, J.H.; Nam, S.W.; Kim, Y.J. Synthesis of poly(glycolic acids) via solution polycondensation and investigation of their thermal degradation behaviors. Fibers Polym. 2017, 18, 407–415. [Google Scholar] [CrossRef]
- Zhu, H.; Cao, H.; Li, T. A theoretical study on the decomposition mechanisms of deprotonated glycolic acid. Comput. Theor. Chem. 2013, 1008, 32–38. [Google Scholar] [CrossRef]
- Jo, H.J.; Kim, J.H.; Kim, Y.N. Glyoxylate carboligase-based whole-cell biotransformation of formaldehyde into ethylene glycol via glycolaldehyde. Green Chem. 2022, 24, 218–226. [Google Scholar] [CrossRef]
- Walker, J.F. Formaldehyde, American Chemical Society Monograph Series; Reinhold: London, UK, 1964. [Google Scholar]
- Ragazzini, M.; Modena, M.; Gallinella, E.; Cevidalli, G. Preparation and structure of some carbon monoxide-formaldehyde copolymers. J. Polym. Sci. 1964, 2, 5203. [Google Scholar] [CrossRef]
- Chevron Research Company. Process for Preparing Glycolic Acid from Formaldehyde Using Acetic Acid. U.S. Patent 4136112, 23 January 1979. [Google Scholar]
- Pirozhkov, S.; Stepanyan, A.; Myshenkova, T.N.; Ordyan, M.; Lapidus, A. Carbonylation of olefins and alcohols at atmospheric pressure in the presence of acid catalysts with added Ag2O or Cu2O. Russ. Chem. Bull. 1982, 31, 1852–1858. [Google Scholar] [CrossRef]
- Song, H.; Chen, J.; Xia, C. Brönsted acidic ionic liquids as efficient and recyclable catalysts for the carbonylation of formaldehyde. Catal. Lett. 2012, 142, 81–86. [Google Scholar] [CrossRef]
- Alexandratos, S.D. Ion-exchange resins: A retrospective from industrial and engineering chemistry research. Ind. Eng. Chem. Res. 2009, 48, 388–398. [Google Scholar] [CrossRef]
- Harmer, M.A.; Farneth, W.E.; Sun, Q. High surface area Nafion resin/silica nanocomposites: A new class of solid acid catalyst. J. Am. Chem. Soc. 1996, 118, 7708–7715. [Google Scholar] [CrossRef]
- Wang, Z.; Jiang, Y.; Lafon, O.; Trébosc, J.; Kim, K.D.; Stampfl, C.; Baiker, A.; Amoureus, J.; Huang, J. Brönsted acid sites based on penta-coordinated aluminum species. Nat. Commun. 2016, 7, 13820. [Google Scholar] [CrossRef]
- Marmoru, A. The reaction of formaldehyde on various metal oxide catalysts. J. Catal. 1983, 83, 141–150. [Google Scholar]
- Tanabe, K.; Saito, K. The conversion of benzaldehyde into benzyl benzoate with alkaline earth metal oxide catalysts. J. Catal. 1974, 35, 247–255. [Google Scholar] [CrossRef]
- Tsunetake, S.; Tetsuo, N.; Makoto, O. The Tishchenko Reaction: A classic and practical tool for ester synthesis. Chem. Lett. 2006, 35, 824–829. [Google Scholar]
- Timofeeva, M.N. Acid catalysis by heteropoly acids. Appl. Catal. A 2003, 256, 19–35. [Google Scholar] [CrossRef]
- Morooka, S.; Matubayasi, N.; Nakahara, M. Kinetic Study on Disproportionations of C1 Aldehydes in Supercritical Water: Methanol from Formaldehyde and Formic Acid. J. Phys. Chem. 2007, 111, 2697–2705. [Google Scholar] [CrossRef]
- Jiang, Y.; Hunger, M.; Wang, W. On the Reactivity of Surface Methoxy Species in Acidic Zeolites. J. Am. Chem. Soc. 2006, 128, 11679–11692. [Google Scholar] [CrossRef]
- Boronat, M.; Martinez-Sanchez, C.; Law, D.; Corma, A. Enzyme-like specificity in zeolites: A unique site position in mordenite for selective carbonylation of methanol and dimethyl ether with CO. J. Am. Chem. Soc. 2008, 130, 16316–16323. [Google Scholar] [CrossRef]
| Disclaimer/Publisher’s Note: The statements, opinions and data contained in all publications are solely those of the individual author(s) and contributor(s) and not of MDPI and/or the editor(s). MDPI and/or the editor(s) disclaim responsibility for any injury to people or property resulting from any ideas, methods, instructions or products referred to in the content. | 
© 2023 by the authors. Licensee MDPI, Basel, Switzerland. This article is an open access article distributed under the terms and conditions of the Creative Commons Attribution (CC BY) license (https://creativecommons.org/licenses/by/4.0/).
