You are currently viewing a new version of our website. To view the old version click .
Catalysts
  • Article
  • Open Access

3 December 2024

Co-Ce Clay-Based Materials: Their Feasibility as Catalysts for Soot and CO Oxidation Reactions

,
,
,
,
and
1
Instituto de Investigaciones en Catálisis y Petroquímica (INCAPE, UNL-CONICET), Santiago del Estero 2829, Santa Fe 3000, Argentina
2
Instituto de Tecnologías del Hidrógeno y Energías Sostenibles (ITHES, CONICET-UBA), Intendente Guiraldes 2160, Capital Federal, Buenos Aires 1428, Argentina
*
Author to whom correspondence should be addressed.
This article belongs to the Special Issue Catalysts for Water and Air Pollution Control: Present and Future, 2nd Edition

Abstract

A series of Co-Ce clay-based catalysts were prepared via the wet impregnation method and tested for the catalytic combustion of diesel soot and carbon monoxide. The objective of this work was to find a suitable catalyst with an optimized active phase composition in order to structure this system using a 3D-printing technique. The physicochemical characterization indicated that the support was mainly composed of kaolinite and quartz. When supported on commercial clay, the mixture of oxides (Co3O4 spinel and CeO2 fluorite) had higher activity than the individual oxides. The formation of a solid Co-Ce solution was verified along with a synergistic effect between these two selected metal oxides. The optimal molar composition was Co:Ce = 90:10. The corresponding catalyst showed the highest catalytic activity for soot combustion, with 335 °C being the temperature of the maximum combustion rate. Also, it produced the best system for CO oxidation. This formulation showed a balanced proportion of Co3+ and Co2+ on the surface and had the highest content of Ce3+ surface species among the catalysts prepared, which played a key role in the oxidation reactions studied.

1. Introduction

Natural clays or hydrous-layer aluminosilicates are environmentally benign materials that have several applications, mainly due to their low cost and abundance. The term clay refers to a naturally occurring material composed primarily of fine-grained minerals, which is generally plastic at appropriate water contents and hardens with drying or firing [1]. A wide variety of clays can be found, which are classified such as kaolinite [2], smectite [3], illite [4] and chlorite [5] groups [6].
Different clays have a wide range of beneficial features such as tunable surface area and porosity, as well as swelling, hydration, and ion exchange abilities, among others. These aspects can be exploited in order to function as catalyst supports with advantageous characteristics. Hence, catalysts prepared from clays are more sustainable and bio-based materials [6]. They have been studied in a variety of processes and applications such as organic synthesis [7], the removal of contaminants by adsorption [8], catalytic oxidation [9,10], photocatalytic oxidation [11,12], catalytic wet peroxide oxidation (CWPO) [13], or microbial inactivation [14]. The catalytic ones included cyclization [15], degradation [16], reforming [17] and oxidation [18], among others. Similarly, the oxidation of diesel soot is an application of these clays that is receiving significant environmental interest, which involves a solid reactant (particulate matter) and gas-phase compounds (oxygen and/or nitrogen oxide). Diesel engines are widely employed both light and heavy vehicles because of their durability, reliability, and fuel economy, although their exhaust gases contain high amounts of soot particles that must be removed before their release to the atmosphere [19]. Diesel particulate filter (DPF) technology is the most accepted after-treatment technique. It promotes soot trapping and then burning with a suitable catalyst. Several catalysts have been developed for this reaction [20,21,22]. The reported active phases include formulations with noble and alkaline metals, rare earth elements, transition metals, and mixed oxides with perovskite and spinel structures [23,24]. Particularly, cobalt- and cerium-oxide-based catalysts have been widely studied due to their oxidizing ability and their oxygen storage and release capacities [25,26]. They have also been studied when supported on clays, displaying good durability and a high conversion of toluene. In this case, the addition of CeO2 to the structure enhanced the oxygen storage/transport capacity and improved the dispersion of cobalt oxide [27].
In addition to being active in soot combustion, these materials are also effective in the oxidation of carbon monoxide, which has usually been studied as a model environmental reaction [28,29,30]. Within this frame of reference, the goal of this work was to develop suitable low-cost clay-supported catalysts with cobalt-cerium oxides as the active phases, optimizing their composition for soot and carbon monoxide oxidation reactions. This study was precisely performed to build structured catalytic systems using a 3D-printing technique, taking advantage of the rheology and plasticity of the aluminosilicate layer. Both a commercial clay used as support and the prepared catalysts were thoroughly characterized by N2 adsorption (BET), thermogravimetric analysis (TGA), X-ray diffraction (XRD) and fluorescence (XRF), temperature-programmed reduction (H2-TPR), as well as Fourier transform infrared (FTIR), Raman (R), and X-ray photoelectron (XP) spectroscopies. Then, they were tested in soot and carbon monoxide oxidation reactions (TPO).

2. Results and Discussion

2.1. Bare Clay Characterization

Silicon, aluminum, and calcium were the main constituents of the clay according to X-ray fluorescence analysis (Table 1). When their oxide forms were considered, these three elements represented more than 93 wt.% of the composition. The Si/Al molar ratio of the studied clay was 1.3. Other elements such as Mg, K, Fe, Ti, Ba, Zr, and S were also identified, but they were present in minor amounts.
Table 1. Clay composition expressed as oxide forms obtained by XRF analysis.
In order to determine the phases in the clay and their transformation steps, different samples of the clay were calcined at different temperatures. Also, a thermogravimetric analysis was performed up to 900 °C. The specific aim of these two tests was to establish the minimum temperature that obtained a balance between the stability of the structure while minimizing the loss of its textural properties. From the nitrogen adsorption–desorption curves, a specific surface area of 17 m2/g was determined through the BET method for the uncalcined sample (bare clay, BC).
Figure 1 shows the corresponding TGA profile with three stages of weight loss, with onset temperatures of around 50, 400, and 600 °C. In the first stage, a weight loss below ~1 wt.% occurred at temperatures up to 150 °C. The second region of weight loss of ~4.3 wt.% was located between ~410 and 570 °C, while the next stage ranged from around 570 to 740 °C, with an additional loss of 5.4 wt.%. From the DTA curve, it was verified that these were endothermic processes. The loss on ignition (LOI, Table 1) at 900 °C showed a mass loss of 10.6 wt.%, which was in line with the total mass loss observed from the thermogravimetric analysis (Figure 1).
Figure 1. Thermogravimetric analysis of the bare clay (BC).
To identify crystalline phases before and after the different thermal treatments, the X-ray diffraction technique was employed (Figure 2). The diffractograms obtained for the bare clay (BC) showed the characteristic kaolinite peaks (JCPDS N° 00-029-1488) and the signals of quartz (JCPDS N° 01-083-2465), calcite (JCPDS N° 01-085-1108), and dolomite (JCPDS N° 00-036-0426), which can be found in clay-type samples. In addition, very-low-intensity peaks at 27.4° and 36.0° that corresponded to the titanium dioxide phase (JCPDS N° 00-034-0180) were observed.
Figure 2. X-ray diffractograms of bare clay (BC) treated at different temperatures.
Despite being detected with XRF analysis, no distinctive signals from iron-containing crystalline phases were identified, which indicated that iron was present as single or mixed oxides, whose signals overlapped with the characteristic peaks of kaolinite, titanium oxide, and quartz. Also, the presence of crystalline domains with small crystallites (smaller than 4 nm) or amorphous forms was possible.
For the 80 °C-treated sample (uncalcined), the peak at 2θ = 12.3° (001 plane) indicated the presence of 7.1 Å kaolinite [31]. When the corresponding reflections of the kaolinite phase disappeared. The diffractogram of the sample treated at 900 °C was somewhat different from that at 750 °C, with barely visible new peaks, which could be ascribed to the presence of incipient crystalline phases. Nevertheless, they were difficult to elucidate due to the partial overlapping and very low intensities of these reflections.
In addition, the characteristic signals of quartz were intense and clear in the untreated sample, which suggested that it was present in considerable amounts (Table 1). The intensities of these peaks diminished markedly when the calcination temperature rose from 80 °C to 1100 °C. Also, a sharp peak at 2θ = 21.6° appeared in the diffractogram of the sample treated at the highest temperature. Both findings indicated that the quartz phase changed its crystalline arrangement, finally showing the presence of SiO2 in its cristobalite form (JCPDS N° 01-077-1317).
For kaolinite-type clays, thermal treatments eliminate the water from the structure, collapsing and reconstructing the layered arrangement [32]. Fabbri et al. reported that a thermal treatment at around 700 °C of kaolinite-type clays produced metakaolin, which exhibited a similar or higher specific surface area compared to its untreated counterpart [33]. High-temperature treatments of clays tend to induce the formation of micro-cracks or the widening of the current pores on the surface. Sun et al. reported that at temperatures higher than 500 °C, the number of pores and porosity of the material increased, showing the effect of the treatments on the physical properties of mineral clays [34]. Hence, a controlled thermal treatment applied to bare clay could make it a suitable catalyst support due to its pore volume and surface area as well as its capability to disperse active phases on its surface.
The TGA results (Figure 1) show an initial mass loss of 1 wt.% up to 150 °C, which could be ascribed to the loss of the adsorbed water at the surface. Moreover, the more important weight loss that occurred between 400 and 570 °C was associated with metakaolinite phase formation through the dehydroxylation of the structure as follows: Al2Si2O5(OH)4 → Al2Si2O7 + 2 H2O. This modification could not be properly detected by X-ray diffraction because of the amorphous nature of this new phase (Figure 2). The position of the temperature range in which kaolinite is dehydroxylated and transformed into metakaolinite mainly depends on the type of structure and the binding of the hydroxyl groups. Additionally, its shape and range are mainly affected by the crystallinity and particle size distribution [35].
In the case of the sample treated at 750 °C, the XRD signals corresponding to calcite and dolomite were not detected (Figure 2). These results could be linked to the partial decomposition of calcium and magnesium carbonates [36], which was verified with the corresponding mass loss in the TGA profile in the temperature range of 550–740 °C (Figure 1).
According to the above TGA and XRD results, a major constituent of the bare clay was kaolinite, which presented characteristic FTIR absorption bands [37]. Kaolinite with mostly Al in the octahedral positions had four absorption bands in the OH-stretching region. The inner hydroxyl groups, lying between the tetrahedral and octahedral sheets, produced an absorption signal near 3620 cm−1. The other three OH groups were located at the octahedral surface of the layers and form weak hydrogen bonds with the oxygens of the Si–O–Si bonds in the next layer. The strong band around 3695 cm−1 is related to the in-phase symmetric stretching vibration, and the other two weak absorptions at 3670 and 3654 cm−1 were assigned to out-of-plane stretching vibrations [38]. The group of these stretching bands and the signals at ~1033 (stretching vibrations of silicate tetrahedron Si-O) and 914 cm−1 (Al-OH) in the spectrum of the bare clay (BC) confirmed the presence of kaolinite in an ordered arrangement (Figure 3) [39,40]. The spectrum also showed a broad absorption band around at 3440 cm−1 and another one positioned at ~1637 cm−1, which indicated the presence of absorbed water (H-O-H) [39,41].
Figure 3. FTIR spectra of the bare clay (BC) and clay calcined at 750 °C (CC).
Quartz can be identified through the presence of symmetrical stretching vibrations at around 780 and 796 cm−1, while Si-O symmetrical bending vibrations are located around 694 cm−1. The position of this band at this wavenumber can be linked to the presence of small particles of these phases [42]. Additionally, the absorption signal centered at 535 cm−1 is assigned to the Si-O-Al bond in kaolinite, although it could be also related to the hematite phase [43], while the signal around at 468 cm−1 is associated to Si-O-Si bending vibration [44]. Moreover, the band at ~1431 cm−1 and the very weak band located at ~870 cm−1 are both linked to the presence of carbonates [45].
The spectrum corresponding to calcined clay (CC) showed differences compared with the spectrum corresponding to the untreated sample (BC) (Figure 3). Some characteristic bands of kaolinite in the OH-stretching region (3700–3600 cm−1) and in the OH-bending region (signals at 936 and 914 cm−1) were absent. Also, the broad band at 1000–1100 cm−1 region is associated with the presence of the metakaolinite phase (Si-O bonds in amorphous silica) [40].
The low-intensity band assigned to carbonates at ~870 cm−1 is sensitive to changes in the chemical environments of these phases, e.g., amorphous to crystalline forms. In the CC spectrum, this band slightly changed compared with that in the BC spectrum, which could suggest some modifications to the carbonate-type phases after the thermal treatment [45]. All the observations stated were in complete agreement with the TGA and XRD results.
In summary and based on the above results, the bare clay underwent important changes in its structure after calcination at high temperature (Figure 2 and Figure 3). In addition, after the thermal treatment at 750 °C, the specific surface area measured through the BET method revealed practically the same value as that of the uncalcined sample (17 and 16 m2/g, respectively). Thus, considering the thermal stability of the structure from 740 °C (Figure 1) and the almost-constant values of the specific surface area for BC and CC, the temperature chosen for the thermal treatment of the bare clay was 750 °C, aiming to support catalytic active phases.

2.2. Catalyst Characterization

The prepared catalysts were characterized in order to elucidate their physicochemical features, aiming to obtain efficient oxidation systems. The catalyst compositions were determined by the XRF technique and are shown in Table 2. As expected, the weight percentage ratios of the main bare clay components (SiO2, Al2O3, and CaO) were preserved (Table 1). After the active- phase incorporation, the Co/(Co + Ce) ratios obtained (exp) were very close to the nominal ones (nom).
Table 2. Catalyst compositions (weight percentages obtained from XRF).
Depending on the corresponding cobalt and cerium loadings, the diffractograms obtained (Figure 4) showed the reflections of cobalt oxide (spinel form, JCPDS N° 43-1003) and cerium oxide (fluorite-like phase, JCPDS N° 34-0394). The characteristic reflections were weak, thus suggesting the high dispersion of this phase in the cobalt-containing formulations. Additionally, the possibility presence of mixed oxides containing cobalt as spinel CoAl2O4 could not be ignored. The crystallite sizes for cerium oxide, calculated using Scherrer’s equation, ranged from 5.9 to 7.4 nm for Co75Ce25-CC and Ce100-CC, respectively. The corresponding crystallites sizes of the cobalt oxide could not be properly calculated since some signals of the clay overlapped with the main signals of the Co3O4 phase.
Figure 4. XRD patterns of the cobalt- and cerium-clay-based catalysts.
Raman spectroscopy was also utilized to characterize the support and catalysts (Figure 5). The spectrum of the calcined clay presented bands at 126, 205, and 465 cm−1, which were related to the presence of quartz. The first one was associated with the E(LO+TO) mode of the Si-O tetrahedra, while the second one was characteristic of the A1 mode of vibration. The last one corresponded to the symmetrical stretching–bending vibration [46,47].
Figure 5. Raman spectra of the calcined bare clay (CC) and cobalt-cerium catalysts.
Cobalt oxide has five active Raman modes (A1g + Eg + 3 F2g), with bands appearing at 196, 482, 521, 618, and 687 cm−1, corresponding to the Co3O4 phase in a spinel-type structure [48]. In agreement with the XRD results, the spectra of the cobalt-containing catalysts showed a band at ~688 cm−1, which was assigned to the symmetric stretching vibration of Co3+-O (Co octahedral sites) of the A1g mode, while the signal located at 520 cm−1 corresponded to the F2g mode (Co tetrahedral sites), thus corroborating the presence of Co3O4. Also, the spectra of the cerium-containing catalysts showed a band located at ~462 cm−1 that corresponded to cerium oxide in the fluorite-type structure [49]. As was expected, the intensity of this band was the highest for the solid, which contained more amounts of Ce, while it was much weaker for the samples with lower loadings.
A careful analysis of the main band assigned to cobalt oxide showed that it slightly shifted in position when cerium was present in the formulation. This could be associated with a more distorted structure of the spinel because of the formation of a solid solution, CoxCe1-xOy [48,50,51]. This change was visible in the main signal of cobalt oxide (~688 cm−1) and less perceptible in the main band of cerium oxide (~462 cm−1).
Reduction properties are important for the catalytic activity of solids applied in oxidation reactions. Therefore, the prepared catalysts were characterized by H2-TPR, and the results are shown in Figure 6. The profile of the calcined (CC) presented a broad reduction zone between 400 and 700 °C, which was probably related to the reduction of the single or mixed iron oxides present in the treated sample (Table 1). This could be indicative of various steps associated with the reduction of Fe3+ to Fe0 involving the formation of different intermediates [52].
Figure 6. Temperature-programmed reduction profiles of calcined clay (CC) and cobalt-cerium catalysts.
The profile of the cobalt-free catalyst (Ce100-CC) showed two reduction peaks: one at a higher temperature, associated with the reduction of bulk oxygen in cerium oxide (maximum at 830 °C), and another one at a lower temperature, attributed to the reduction of surface oxygen (maximum at 550 °C). These temperature values are somewhat higher than others reported, probably linked to the interaction of the ceria with the support [53,54].
Some researchers observed one step for cobalt oxide reduction [55], while others confirmed two stages [56,57]. Nevertheless, previous studies demonstrated that cobalt in different environments is reduced at different temperatures, which is strongly influenced not only by the oxidation state of the element but also by the nature of the neighboring metal cations and metal oxide phases. Also, the particle sizes affect the reducibility process. For example, in the case of cobalt supported on alumina, four different temperatures have been reported: (a) Co3O4 crystallite reduction at ~330 °C; (b) dispersed surface Co3+ ions at ~480 °C; (c) surface Co2+ ions at ~630 °C, and (d) subsurface Co2+ ions or aluminate-like phases with reduction at >850 °C [58].
For the prepared catalysts, the peak located at lower temperature (around 350 °C) of the cobalt-containing profiles was ascribed to the first reduction step of cobalt (Co3+ to Co2+); accordingly, its area increased with the Co content (Figure 6). In addition, the modified reducibility of the cobalt-cerium catalysts compared to the single oxides was noticed. The interaction between Co and Ce and with the clay support modified the reduction behavior of these species. Also, the reduction of the surface oxygen species on CeO2 was overlapped by the reduction of cobalt species (Co2+ to Co0). As reported, the presence of cobalt promotes ceria reduction [59]. Therefore, the bulk reduction of ceria would overlap in the region below 800 °C (Figure 6).
In order to obtain insights into the surfaces of the catalysts, XPS spectra were acquired. Figure 7 shows the Co 2p spectra, where the regions corresponding to Co 2p1/2 and Co 2p3/2 can be observed (Figure 7a). The ΔBE of the spin-orbital splitting of Co 2p1/2–2p3/2 was around 15.4 eV. Each region was deconvoluted, with the two components corresponding to Co3+ and Co2+ species, along with a satellite peak located at a higher binding energy (~6 eV), which was characteristic of the latter. This was in concordance with the previous characterization results (XRD, TPR, Raman), which showed the presence of spinel cobalt. Table 3 shows that the relative amount of Co2+ (Isat/Imp) decreased as the cobalt content in the samples increased. This ratio was close to the unity when all cobalt was under the 2+ oxidation state (CoO), for which the values reported in Table 3 indicate the presence of both species, Co2+ and Co3+ (Co2+Co23+O4).
Figure 7. XPS spectra of the cobalt-cerium catalysts: (a) Co 2p and (b) Ce 3d regions.
Table 3. Surface characteristics of Co-Ce catalysts.
The spectra corresponding to Ce 3d regions are shown in Figure 7b. All spectra were deconvoluted with ten peaks, which are characteristic of Ce3+ and Ce4+ species [60,61]. The Ce3+/CeT ratios were calculated from the deconvoluted peaks, showing that as cerium loadings increased, the Ce3+ amounts decreased (Table 3). The O 1s region was deconvoluted with two components: The first one was located at a lower BE (529.6 eV), which was ascribed to lattice oxygen species [62]. The second one, situated at approximately 531.9 eV, was related to low coordinated oxygen in different chemical environments such as hydroxyl groups, adsorbed water, carbonates, and Si-O bonds [63].

2.3. Catalytic Activity

2.3.1. Soot Combustion

The TPO profiles of the soot combustion of the Co-Ce clay-based catalysts are shown in Figure 8. All catalysts presented a main peak with different temperatures producing the maximum combustion rate (TM) depending on the cobalt and cerium amounts. The Ce100 catalyst performed worse for this reaction than the Co100 catalyst. Thus, it suggested that under the same loadings of active element (molar amount) and experimental conditions studied, cobalt oxide showed better oxidation capacity than cerium oxide. When mixed Co-Ce catalysts were evaluated, they performed better than the Co or Ce catalysts alone. This is in agreement with previous reports on bulk Co-Ce catalysts [64]. The best catalytic performance was achieved with the Co90Ce10 catalyst, verifying a synergistic effect between Co and Ce and that the proportion of these elements play a key role in the catalytic properties (Figure 8 and Table 4). The higher activity of this catalyst could be related to the presence of the solid CoxCe1-xOy solution as detected by Raman spectroscopy. In addition, this catalyst showed the highest Ce3+/CeT surface ratio along with a balanced ratio between Co2+ and Co3+ species (Co2+/CoT ratio = 0.42, close to 0.5).
Figure 8. Temperature-programmed oxidation of soot with cobalt-cerium catalysts.
Table 4. Representative temperatures of soot combustion and CO oxidation tests.
The TPO curves of the best above-mentioned catalytic formulation regarding soot combustion performed under tight or loose contact regimes are shown in Figure 9. As expected, the temperature of the maximum rate of soot combustion shifted to higher values (around 100 °C) under loose contact, which was related to the reduced interaction between the soot particles and the active sites of the catalyst.
Figure 9. Temperature-programmed oxidation of soot with Co90Ce10 catalyst under loose and tight contact conditions.

2.3.2. CO Oxidation

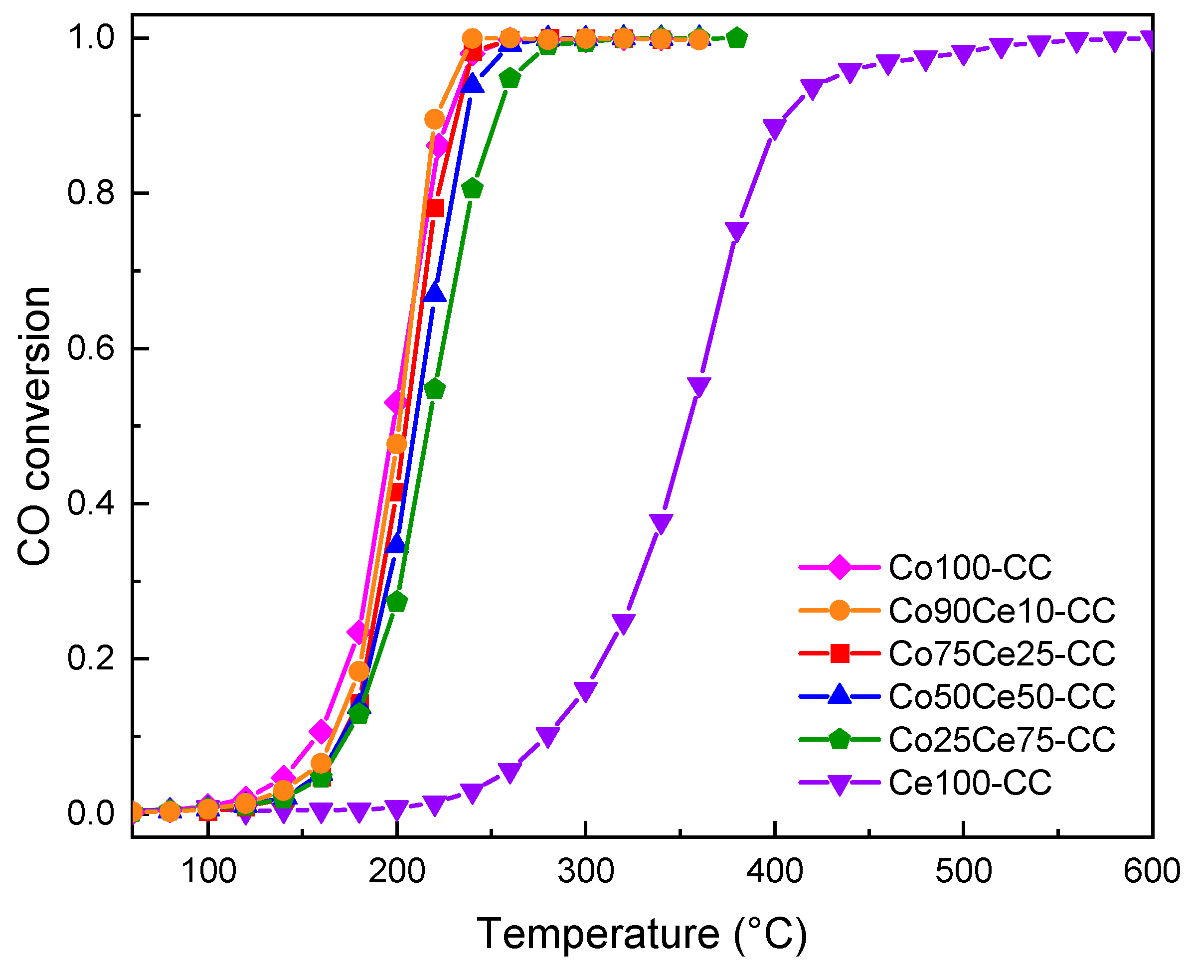
Carbon monoxide oxidation is considered a model reaction that causes environmental concern. It was employed as a test reaction for the prepared clay-based catalysts. The CO conversion profiles are shown in Figure 10, while Table 4 summarizes the T50 and T90 values for the CO oxidation reaction. The cobalt-free catalyst produced the worst performance, while the cerium-free one had the best catalytic activity. This behavior was similar to that displayed in the soot oxidation reaction, suggesting cobalt has better oxidation capacity than cerium when the same amount of these elements is used in each formulation. In addition, there were slight differences among the mixed cobalt-cerium catalysts. The Co90Ce10-CC sample performed the best. This evidenced the same trend as observed for soot oxidation, demonstrating that this formulation was optimal for obtaining the best activity. The soot ignition temperature with this catalyst (Co90Ce10-CC) was close to 220 °C. At this temperature, all catalysts achieved a conversion of CO to CO2 of around 90% (except Ce100-CC), suggesting that soot combustion is mainly CO2-selective.
Figure 10. Temperature-programmed oxidation of CO with cobalt-cerium catalysts.
In the TPR profiles (Figure 6) of the cobalt-containing samples, the low-temperature peak corresponded to the reduction of Co3+ to Co2+. Its proportion with respect to the total area of the profile increased with the cobalt content, especially for the Co100-CC formulation. At higher temperatures, especially around 800 °C, the reduction of Co2+ (coming from CoO or CoAl2O4) to Co0 occurred, along with the reduction of other mixed phases such as iron-containing oxides or spinels (Fe2TiO4 or FeAl2O4). A similar behavior was observed with XPS (Figure 7): the higher the cobalt bulk content, the higher the Co3+ surface concentration. Here, the higher proportion of Co3+ (Table 3) on the surface of the catalysts implied larger amounts of Ce3+ species (Co2+ + Ce4+ → Co3+ + Ce3+) and consequently a higher concentration of oxygen vacancies, which plays a key role in the studied oxidation reactions.

3. Material and Methods

3.1. Preparation of Supported Catalysts

The catalysts were prepared by the wet impregnation method. Firstly, a bare commercial clay (BC) (Chimak 3D, DAFESE SRL, Buenos Aires, Argentina) was treated at 750 °C for 2 h and then ground softly in an agate mortar. Separately, adequate amounts of cobalt and/or cerium nitrate precursors (Merck, Boston, MA, USA, reagent-grade purity) were dissolved in deionized water, heated to 80 °C, and kept under magnetic stirring. Once completely dissolved, the clay was added and left until the complete evaporation of water. The formed paste was dried in a stove at 120 °C until a constant weight was verified and then ground again in an agate mortar. Finally, the solids obtained were calcined at 600 °C for 2 h and sieved to obtain a particle size below 100 mesh. A catalyst series with different Co:Ce molar percentages (100:0, 90:10, 75:25, 50:50, 25:75, 0:100) was prepared with a total metal loading of 4 mmol/g, which was selected according to our previous studies [64]. Catalysts were designated as CoXCeY-CC, where Co and Ce are cobalt and cerium, X and Y are the molar proportions of these elements, and CC corresponds to calcined clay.

3.2. Characterization

3.2.1. Specific Surface Area

N2 adsorption isotherms were obtained with a Micromeritics (Norcross, GA, USA) ASAP 2020 instrument. The specific surface area (Sg) was obtained through the BET method. The samples were degassed at 250 °C for 3 h prior to the analysis.

3.2.2. Thermogravimetric Analysis (TGA, DTA)

Thermogravimetric analysis was carried out with a Mettler Toledo (Columbus, OH, USA) STAR with a TGA/STDA 851 module. The analysis was performed from 25 °C to 900 °C with a 10 °C/min heating rate under air flow (30 mL/min).

3.2.3. X-Ray Fluorescence (XRF)

The element atomic contents in the catalyst formulations were estimated by analysis with X-ray fluorescence using a Shimadzu (Kyoto, Japan) EDX-720. Several zones of the samples were studied to obtain average element contents.

3.2.4. X-Ray Diffraction (XRD)

The diffractograms were obtained with PanAnalytical (Worcestershire, UK) equipment with Cu Kα radiation. Powder samples were analyzed adequately, and the scanning was from 10° to 90° corresponding to 2θ at 2°/min.

3.2.5. Fourier Transform Infrared Spectroscopy (FTIR)

A Shimadzu IR (Kyoto, Japan) Prestige-21 spectrometer was used to obtain the infrared spectra. Samples were prepared in the form of wafers (ca. 1% in potassium bromide). All spectra were obtained with 40 scans at an 8 cm−1 resolution.

3.2.6. Raman Spectroscopy (RS)

A Horiba Jobin (Glasgow, UK) Yvon LabRam HR instrument with a charge coupled device (CCD) detector cooled to −70 °C using the Peltier effect was employed to obtain the spectra. The excitation wavelength was 532.13 nm in all cases (Spectra Physics diode pumped solid-state laser). The laser power was set at 30 mW. Several spectra were acquired for each sample.

3.2.7. H2 Temperature-Programmed Reduction (H2-TPR)

A Micromeritics AutoChem II 2920 (Norcross, GA, USA) was used to obtain the reduction profiles, using a mixture of H2/Ar (2%) as the reducing gas. The heating rate was 10 °C/min from room temperature to 900 °C. The samples were pretreated in argon at 100 °C for 30 min.

3.2.8. X-Ray Photoelectron Spectroscopy (XPS)

Measurements were performed with SPECS (Houston, TX, USA) multitechnique equipment with a dual Mg/Al X-ray source and a hemispherical PHOIBOS 150 analyzer operating in fixed analyzer transmission (FAT) mode. The spectra were obtained with a pass energy of 30 eV and a Mg-Kα X-ray source power of 200 W. The pressure in the analyzing chamber was less than 2 × 10−9 mbar. The spectral regions corresponding to the Co 2p, Ce 3d, Si 2p, Al 2p, O 1s, and C 1s core levels were recorded for each sample. The C 1s signal at 284.6 eV was considered as the reference. Peak fitting was performed with CASAXPS software (2.3.14 Version). The peak areas were determined by integration, employing a Shirley-type background. Peaks were considered as a mixture of Gaussian and Lorentzian functions.

3.3. Catalytic Tests

The activity of the prepared catalysts were studied in both soot combustion and CO oxidation reactions. To this end, a continuous-flow system with a quartz reactor was used to perform both reactions in temperature-programmed tests. Reagents and products were quantified by gas chromatography with a Shimadzu GC-2014 instrument with a Porapak Q column and a TCD detector. The conversions of soot and carbon monoxide were determined.

3.3.1. Soot Combustion

Soot (particulate matter, PM) was obtained after burning diesel fuel (YPF, Buenos Aires, Argentina). After drying at 120 °C overnight, the soot was mixed with the catalyst in a 1:20 weight ratio with two different procedures: (i) tight contact (TC), where the mixing of PM and catalyst was performed in a mortar for 3 min, and (ii) loose contact (LC), which was mixed with a spatula for 15 s. The reactor was loaded with 50 mg of the mixture catalyst and soot. The reaction was performed at atmospheric pressure under a temperature-programmed operation from room temperature to 600 °C at a heating rate of 5 °C/min. The reagent stream was fed with 0.1% NO and 18% O2 and He as the balance (20 mL/min total flow).

3.3.2. CO Oxidation

In this case, 50 mg of catalyst was loaded into the reactor. The reaction inlet flux was 30 mL/min with 1% CO, 2% O2, and He as the balance. The reaction temperature was raised from 25 to 600 °C (5 °C/min rate).

4. Conclusions

The studied commercial clay was mainly composed of kaolinite and quartz. Minor amounts of calcite, dolomite and titanium dioxide were also identified. Taking into account the thermal stability of the structure and its textural properties, the thermal treatment temperature adopted to guarantee the support had suitable properties prior to the catalyst incorporation was 750 °C.
After those studies, powder-clay-based Co-Ce catalysts were prepared, which were very active in the soot combustion and carbon monoxide oxidation reactions. As non-noble metals, active Co and Ce elements were identified in their Co3O4 and CeO2 oxide forms.
A synergistic effect between Co and Ce was observed, with the Co:Ce atomic ratio of 90:10 being the optimal proportion studied. The balanced proportion of the surface concentrations of Co3+ and Co2+ and the high content of Ce3+ played a key role in the oxidation reactions studied.
The presented powder-clay-based catalysts have attractive properties for further developing structured catalysts by means of 3D-printing technology.

Author Contributions

Conceptualization, N.L.C., E.D.B. and J.P.B.; methodology, N.L.C. and M.L.D.; formal analysis, N.L.C., E.D.B. and J.P.B.; investigation, N.L.C.; resources, V.G.M. and E.E.M.; writing—original draft preparation, N.L.C., J.P.B. and V.G.M.; writing—review and editing, V.G.M., J.P.B. and E.E.M.; supervision, V.G.M. and E.E.M.; project administration, E.D.B., V.G.M. and J.P.B.; funding acquisition, V.G.M. and E.E.M. All authors have read and agreed to the published version of the manuscript.

Funding

The authors acknowledge the financial support received from ANPCyT (PICT 2019-0976 and PICT 2021-0161), CONICET (PIP 2022-0561), and UNL (CAI+D projects). Thanks are also given to ANPCyT for the purchase of the SPECS multitechnique analysis instrument (PME8-2003) and for grant PME 87-PAE 36985 to purchase the Raman Instrument.

Data Availability Statement

Data will be made available upon request.

Conflicts of Interest

The authors declare no conflicts of interest.

References

  1. Guggenheim, S.; Martin, R.T. Definition of Clay and Clay Mineral: Joint Report of the Aipea Nomenclature and CMS Nomenclature Committees. Clays Clay Miner. 1995, 43, 255–256. [Google Scholar] [CrossRef]
  2. Ma, G.; Xiao, Y.; He, X.; Li, J.; Chu, J.; Liu, H. Kaolin-Nucleation-Based Biotreated Calcareous Sand through Unsaturated Percolation Method. Acta Geotech. 2022, 17, 3181–3193. [Google Scholar] [CrossRef]
  3. Zhang, J.; Mallants, D.; Brady, P.V. Molecular Dynamics Study of Uranyl Adsorption from Aqueous Solution to Smectite. Appl. Clay Sci. 2022, 218, 106361. [Google Scholar] [CrossRef]
  4. Liu, L.; Wang, X.; Fang, W.; Li, X.; Shan, D.; Dai, Y. Adsorption of Metolachlor by a Novel Magnetic Illite–Biochar and Recovery from Soil. Environ. Res. 2022, 204, 111919. [Google Scholar] [CrossRef] [PubMed]
  5. Feng, Y.; Chu, G.; Xiao, B.; Li, R.; Deng, C.; Li, G.; Shi, H. Chlorite Mineralogy, Geochemistry and Exploration Implications: A Case Study of the Xiaokelehe Porphyry Cu-Mo Deposit in NE China. Ore Geol. Rev. 2022, 140, 104568. [Google Scholar] [CrossRef]
  6. Fan, W.K.; Tahir, M. Structured Clay Minerals-Based Nanomaterials for Sustainable Photo/Thermal Carbon Dioxide Conversion to Cleaner Fuels: A Critical Review. Sci. Total Environ. 2022, 845, 157206. [Google Scholar] [CrossRef]
  7. Nagendrappa, G. Organic Synthesis Using Clay and Clay-Supported Catalysts. Appl. Clay Sci. 2011, 53, 106–138. [Google Scholar] [CrossRef]
  8. Ismail, U.M.; Vohra, M.S.; Onaizi, S.A. Adsorptive Removal of Heavy Metals from Aqueous Solutions: Progress of Adsorbents Development and Their Effectiveness. Environ. Res. 2024, 251, 118562. [Google Scholar] [CrossRef] [PubMed]
  9. Huang, J.; Zhang, Y.; Hao, Z.; Zhang, Y. Preparation of Rare Earth Metal Ions Promoted MnOx@halloysite Catalyst for Highly Efficient Catalytic Oxidation of Toluene. Appl. Clay Sci. 2023, 244, 107081. [Google Scholar] [CrossRef]
  10. Torres, M.; de los Santos, C.; Portugau, P.; Yeste, M.D.P.; Castiglioni, J. Utilization of a PILC-Al Obtained from Uruguayan Clay as Support of Mesoporous MnOx-Catalysts on the Combustion of Toluene. Appl. Clay Sci. 2021, 201, 105935. [Google Scholar] [CrossRef]
  11. Huang, A.; He, J.; Feng, J.; Huang, C.; Yang, J.; Mo, W.; Su, X.; Zou, B.; Ma, S.; Lin, H.; et al. A High-Efficiency Clay Mineral Based Organic Photocatalyst towards Photodegradation of Butyl Xanthate in Mineral Processing Wastewater. Sep. Purif. Technol. 2024, 349, 127880. [Google Scholar] [CrossRef]
  12. Zamisa, M.K.; Seadira, T.W.; Baloyi, S.J. Transforming Wastewater Treatment: Recent Advancements in Catalytic Wet Air Oxidation with Pillared Clay Catalysts for Phenol Remediation. Environ. Pollut. 2024, 361, 124842. [Google Scholar] [CrossRef] [PubMed]
  13. Ramírez, J.H.; Galeano, L.A. Natural Organic Matter Removal by Heterogeneous Catalytic Wet Peroxide Oxidation (CWPO). In Applications of Advanced Oxidation Processes (AOPs) in Drinking Water Treatment. The Handbook of Environmental Chemistry; Springer: Cham, Switzerland, 2017; pp. 69–98. [Google Scholar]
  14. Heidari, A.; Shahbazi, A.; Aminabhavi, T.M.; Barceló, D.; Rtimi, S. A Systematic Review of Clay-Based Photocatalysts for Emergent Micropollutants Removal and Microbial Inactivation from Aqueous Media: Status and Limitations. J. Environ. Chem. Eng. 2022, 10, 108813. [Google Scholar] [CrossRef]
  15. Vajglová, Z.; Simakova, I.L.; Eränen, K.; Mäki-Arvela, P.; Kumar, N.; Peurla, M.; Tolvanen, S.; Efimov, A.; Hupa, L.; Peltonen, J.; et al. The Physicochemical and Catalytic Properties of Clay Extrudates in Cyclization of Citronellal. Appl. Catal. A Gen. 2022, 629, 118426. [Google Scholar] [CrossRef]
  16. Boukhemkhem, A.; Bedia, J.; Belver, C.; Molina, C.B. Degradation of Pesticides by Heterogeneous Fenton Using Iron-Exchanged Clays. Catal. Commun. 2023, 183, 106771. [Google Scholar] [CrossRef]
  17. Liu, H.; Da Costa, P.; Hadj Taief, H.B.; Benzina, M.; Gálvez, M.E. Ceria and Zirconia Modified Natural Clay Based Nickel Catalysts for Dry Reforming of Methane. Int. J. Hydrogen Energy 2017, 42, 23508–23516. [Google Scholar] [CrossRef]
  18. Álvarez, A.; Moreno, S.; Molina, R.; Ivanova, S.; Centeno, M.A.; Odriozola, J.A. Gold Supported on Pillared Clays for CO Oxidation Reaction: Effect of the Clay Aggregate Size. Appl. Clay Sci. 2012, 69, 22–29. [Google Scholar] [CrossRef]
  19. Sacco, N.A.; Banús, E.D.; Bortolozzi, J.P.; Milt, V.G.; Miró, E.E. Ultrasound-Assisted Deposition of Co–CeO2 onto Ceramic Microfibers to Conform Catalytic Papers: Their Application in Engine Exhaust Treatment. ACS Omega 2018, 3, 18334–18342. [Google Scholar] [CrossRef]
  20. Zhai, G.; Wang, J.; Chen, Z.; An, W.; Men, Y. Boosting Soot Combustion Efficiency of Co3O4 Nanocrystals via Tailoring Crystal Facets. Chem. Eng. J. 2018, 337, 488–498. [Google Scholar] [CrossRef]
  21. Leonardi, S.A.; Zanuttini, M.A.; Miró, E.E.; Milt, V.G. Catalytic Paper Made from Ceramic Fibres and Natural Ulexite. Application to Diesel Particulate Removal. Chem. Eng. J. 2017, 317, 394–403. [Google Scholar] [CrossRef]
  22. Nascimento, L.F.; Lima, J.F.; de Sousa Filho, P.C.; Serra, O.A. Effect of Lanthanum Loading on Nanosized CeO2-ZnO Solid Catalysts Supported on Cordierite for Diesel Soot Oxidation. J. Environ. Sci. 2018, 73, 58–68. [Google Scholar] [CrossRef] [PubMed]
  23. Gao, Y.; Wu, X.; Liu, S.; Weng, D.; Ran, R. MnOx–CeO2 Mixed Oxides for Diesel Soot Oxidation: A Review. Catal. Surv. Asia 2018, 22, 230–240. [Google Scholar] [CrossRef]
  24. Zhang, S.; Zhu, X.; Zheng, C.; Hu, D.; Zhang, J.; Gao, X. Study on Catalytic Soot Oxidation over Spinel Type ACo2O4 (A = Co, Ni, Cu, Zn) Catalysts. Aerosol Air Qual. Res. 2017, 17, 2317–2327. [Google Scholar] [CrossRef]
  25. Liu, S.; Wu, X.; Weng, D.; Ran, R. Ceria-Based Catalysts for Soot Oxidation: A Review. J. Rare Earths 2015, 33, 567–590. [Google Scholar] [CrossRef]
  26. Bensaid, S.; Russo, N.; Fino, D. CeO2 Catalysts with Fibrous Morphology for Soot Oxidation: The Importance of the Soot–Catalyst Contact Conditions. Catal. Today 2013, 216, 57–63. [Google Scholar] [CrossRef]
  27. Cheng, Z.; Chen, Z.; Li, J.; Zuo, S.; Yang, P. Mesoporous Silica-Pillared Clays Supported Nanosized Co3O4-CeO2 for Catalytic Combustion of Toluene. Appl. Surf. Sci. 2018, 459, 32–39. [Google Scholar] [CrossRef]
  28. Tuler, F.E.; Portela, R.; Ávila, P.; Bortolozzi, J.P.; Miró, E.E.; Milt, V.G. Development of Sepiolite/SiC Porous Catalytic Filters for Diesel Soot Abatement. Microporous Mesoporous Mater. 2016, 230, 11–19. [Google Scholar] [CrossRef]
  29. Meng, Z.; Chen, C.; Li, J.; Fang, J.; Tan, J.; Qin, Y.; Jiang, Y.; Qin, Z.; Bai, W.; Liang, K. Particle Emission Characteristics of DPF Regeneration from DPF Regeneration Bench and Diesel Engine Bench Measurements. Fuel 2020, 262, 116589. [Google Scholar] [CrossRef]
  30. Chen, C.; Yao, A.; Yao, C.; Qu, G. Experimental Study of the Active and Passive Regeneration Procedures of a Diesel Particulate Filter in a Diesel Methanol Dual Fuel Engine. Fuel 2020, 264, 116801. [Google Scholar] [CrossRef]
  31. Makó, É.; Kristóf, J.; Horváth, E.; Vágvölgyi, V. Kaolinite–Urea Complexes Obtained by Mechanochemical and Aqueous Suspension Techniques—A Comparative Study. J. Colloid Interface Sci. 2009, 330, 367–373. [Google Scholar] [CrossRef]
  32. Ilic, B.; Mitrovic, A.; Milicic, L. Thermal Treatment of Kaolin Clay to Obtain Metakaolin. Hem. Ind. 2010, 64, 351–356. [Google Scholar] [CrossRef]
  33. Fabbri, B.; Gualtieri, S.; Leonardi, C. Modifications Induced by the Thermal Treatment of Kaolin and Determination of Reactivity of Metakaolin. Appl. Clay Sci. 2013, 73, 2–10. [Google Scholar] [CrossRef]
  34. Sun, Q.; Zhang, W.; Qian, H. Effects of High Temperature Thermal Treatment on the Physical Properties of Clay. Environ. Earth Sci. 2016, 75, 610. [Google Scholar] [CrossRef]
  35. Fernandez, R.; Martirena, F.; Scrivener, K.L. The Origin of the Pozzolanic Activity of Calcined Clay Minerals: A Comparison between Kaolinite, Illite and Montmorillonite. Cem. Concr. Res. 2011, 41, 113–122. [Google Scholar] [CrossRef]
  36. Elimbi, A.; Tchakoute, H.K.; Njopwouo, D. Effects of Calcination Temperature of Kaolinite Clays on the Properties of Geopolymer Cements. Constr. Build. Mater. 2011, 25, 2805–2812. [Google Scholar] [CrossRef]
  37. Manoharan, C.; Sutharsan, P.; Dhanapandian, S.; Venkatachalapathy, R. Spectroscopic and Thermal Analysis of Red Clay for Industrial Applications from Tamilnadu, India. J. Mol. Struct. 2012, 1027, 99–103. [Google Scholar] [CrossRef]
  38. Madejová, J. FTIR Techniques in Clay Mineral Studies. Vib. Spectrosc. 2003, 31, 1–10. [Google Scholar] [CrossRef]
  39. Franco, F.; Cecila, J.A.; Pérez-Maqueda, L.A.; Pérez-Rodríguez, J.L.; Gomes, C.S.F. Particle-Size Reduction of Dickite by Ultrasound Treatments: Effect on the Structure, Shape and Particle-Size Distribution. Appl. Clay Sci. 2007, 35, 119–127. [Google Scholar] [CrossRef]
  40. Zhang, Z.; Qiao, X.; Yu, J. Microwave Selective Heating-Enhanced Reaction Rates for Mullite Preparation from Kaolinite. RSC Adv. 2014, 4, 2640–2647. [Google Scholar] [CrossRef]
  41. Venkatachalapathy, R.; Sridharan, T.; Dhanapandian, S.; Manoharan, C. Determination of Firing Temperature of Ancient Potteries by Means of Infrared and Mossbauer Studies. Spectrosc. Lett. 2002, 35, 769–779. [Google Scholar] [CrossRef]
  42. Elsass, F.; Olivier, D. Infra Red and Electron Spin Resonance Studies of Clays Representative of the Sedimentary Evolution of the Basin of Autun. Clay Miner. 1978, 13, 299–308. [Google Scholar] [CrossRef]
  43. Russell, J.D.; Fraser, A.R. Infrared Methods. In Clay Mineralogy: Spectroscopic and Chemical Determinative Methods; Springer: Dordrecht, The Netherlands, 1994; pp. 11–67. [Google Scholar]
  44. Kodama, H. Infrared Spectra of Minerals: Reference Guide to Identification and Characterization of Minerals for the Study of Soils; Agriculture Canada Research Branch: Ottawa, ON, Canada, 1985; Volume 1, p. 198. [Google Scholar]
  45. Mehta, N.; Gaëtan, J.; Giura, P.; Azaïs, T.; Benzerara, K. Detection of Biogenic Amorphous Calcium Carbonate (ACC) Formed by Bacteria Using FTIR Spectroscopy. Spectrochim. Acta Part A Mol. Biomol. Spectrosc. 2022, 278, 121262. [Google Scholar] [CrossRef] [PubMed]
  46. Enríquez, E.; del Campo, A.; Reinosa, J.J.; Konstantopoulos, G.; Charitidis, C.; Fernández, J.F. Correlation between Structure and Mechanical Properties in α-Quartz Single Crystal by Nanoindentation, AFM and Confocal Raman Microscopy. J. Mater. Res. Technol. 2023, 26, 2655–2666. [Google Scholar] [CrossRef]
  47. Kingma, K.J.; Hemley, R.J. Raman Spectroscopic Study of Microcrystalline Silica. Am. Mineral. 1994, 79, 269–273. [Google Scholar]
  48. Cardenas-Flechas, L.J.; Freire, P.T.C.; Paris, E.C.; Moreno, L.C.; Joya, M.R. Temperature-Induced Structural Phase Transformation in Samples of Co3O4 and Co3-XNixO4 for CoO. Materialia 2021, 18, 101155. [Google Scholar] [CrossRef]
  49. Vauchy, R.; Hirooka, S.; Watanabe, M.; Yokoyama, K.; Sunaoshi, T.; Yamada, T.; Nakamichi, S.; Murakami, T. Liquid Phase Sintering of Alumina–Silica Co-Doped Cerium Dioxide CeO2 Ceramics. Ceram. Int. 2023, 49, 3058–3065. [Google Scholar] [CrossRef]
  50. Kulal, N.; Bhat, S.S.; Hugar, V.; Mallannavar, C.N.; Lee, S.-C.; Bhattacharjee, S.; Vetrivel, R.; Shanbhag, G.V. Integrated DFT and Experimental Study on Co3O4/CeO2 Catalyst for Direct Synthesis of Dimethyl Carbonate from CO2. J. CO2 Util. 2023, 67, 102323. [Google Scholar] [CrossRef]
  51. Feng, X.; Luo, F.; Chen, Y.; Lin, D.; Luo, Y.; Xiao, L.; Liu, X.; Sun, X.; Qian, Q.; Chen, Q. Boosting Total Oxidation of Propane over CeO2@Co3O4 Nanofiber Catalysts Prepared by Multifluidic Coaxial Electrospinning with Continuous Grain Boundary and Fast Lattice Oxygen Mobility. J. Hazard. Mater. 2021, 406, 124695. [Google Scholar] [CrossRef]
  52. Jozwiak, W.K.; Kaczmarek, E.; Maniecki, T.P.; Ignaczak, W.; Maniukiewicz, W. Reduction Behavior of Iron Oxides in Hydrogen and Carbon Monoxide Atmospheres. Appl. Catal. A Gen. 2007, 326, 17–27. [Google Scholar] [CrossRef]
  53. Xu, J.; Lu, G.; Guo, Y.; Guo, Y.; Gong, X.-Q. A Highly Effective Catalyst of Co-CeO2 for the Oxidation of Diesel Soot: The Excellent NO Oxidation Activity and NOx Storage Capacity. Appl. Catal. A Gen. 2017, 535, 1–8. [Google Scholar] [CrossRef]
  54. Choya, A.; de Rivas, B.; González-Velasco, J.R.; Gutiérrez-Ortiz, J.I.; López-Fonseca, R. Oxidation of Lean Methane over Cobalt Catalysts Supported on Ceria/Alumina. Appl. Catal. A Gen. 2020, 591, 117381. [Google Scholar] [CrossRef]
  55. Aroldy, P. Temperature-Programmed Reduction of CoO/AI2O3 Catalysts. J. Catal. 1985, 93, 38–54. [Google Scholar] [CrossRef]
  56. Konsolakis, M.; Sgourakis, M.; Carabineiro, S.A.C. Surface and Redox Properties of Cobalt–Ceria Binary Oxides: On the Effect of Co Content and Pretreatment Conditions. Appl. Surf. Sci. 2015, 341, 48–54. [Google Scholar] [CrossRef]
  57. Tang, C.-W.; Wang, C.-B.; Chien, S.-H. Characterization of Cobalt Oxides Studied by FT-IR, Raman, TPR and TG-MS. Thermochim. Acta 2008, 473, 68–73. [Google Scholar] [CrossRef]
  58. Harrison, P.G.; Ball, I.K.; Daniell, W.; Lukinskas, P.; Céspedes, M.; Miró, E.E.; Ulla, M.A. Cobalt Catalysts for the Oxidation of Diesel Soot Particulate. Chem. Eng. J. 2003, 95, 47–55. [Google Scholar] [CrossRef]
  59. Xue, L.; Zhang, C.; He, H.; Teraoka, Y. Catalytic Decomposition of N2O over CeO2 Promoted Co3O4 Spinel Catalyst. Appl. Catal. B Environ. 2007, 75, 167–174. [Google Scholar] [CrossRef]
  60. Leppelt, R.; Schumacher, B.; Plzak, V.; Kinne, M.; Behm, R. Kinetics and Mechanism of the Low-Temperature Water–Gas Shift Reaction on Au/CeO2 Catalysts in an Idealized Reaction Atmosphere. J. Catal. 2006, 244, 137–152. [Google Scholar] [CrossRef]
  61. Paparazzo, E. On the Curve-Fitting of XPS Ce(3d) Spectra of Cerium Oxides. Mater. Res. Bull. 2011, 46, 323–326. [Google Scholar] [CrossRef]
  62. Li, C.; Yang, S.; Bian, R.; Tan, Y.; Zhang, X.; Zheng, S.; Sun, Z. Efficient Catalytic Degradation of Bisphenol A Coordinated with Peroxymonosulfate via Anchoring Monodispersed Zero-Valent Iron on Natural Kaolinite. Chem. Eng. J. 2022, 448, 137746. [Google Scholar] [CrossRef]
  63. Gómez, L.E.; Tiscornia, I.S.; Boix, A.V.; Miró, E.E. CO Preferential Oxidation on Cordierite Monoliths Coated with Co/CeO2 Catalysts. Int. J. Hydrogen Energy 2012, 37, 14812–14819. [Google Scholar] [CrossRef]
  64. Godoy, M.L.; Milt, V.G.; Miró, E.E.; Banús, E.D. Co,Ce Nanoparticles Supported on Stacked Wire Mesh Cartridges. Activity and Stability in Diesel Soot Combustion. Chemosphere 2024, 362, 142734. [Google Scholar] [CrossRef] [PubMed]
Disclaimer/Publisher’s Note: The statements, opinions and data contained in all publications are solely those of the individual author(s) and contributor(s) and not of MDPI and/or the editor(s). MDPI and/or the editor(s) disclaim responsibility for any injury to people or property resulting from any ideas, methods, instructions or products referred to in the content.

Article Metrics

Citations

Article Access Statistics

Multiple requests from the same IP address are counted as one view.