Abstract
Due to their unique chemical structure, MXenes have been recognized as a potential material, having a high surface area, high thermal and electrical conductivity, and a tunable band gap, showing great hydrophilicity and stability. The adsorption and reducing properties of MXene-based 2D nanomaterials make them efficient photocatalysts for degrading organic pollutants. Silver nanoparticles were synthesized over the exfoliated MXene sheets (1:50 and 1:20 by weight to silver salt) using polyvinyl pyrrolidone as a dispersant. The elemental composition and morphology of the nanocatalysts Ag20@Ti3C2Tx and Ag50@Ti3C2Tx were analyzed by X-ray diffraction (XRD) analysis, X-ray photoelectron spectroscopy (XPS), energy-dispersive X-ray (EDX) spectroscopy, and field-emission scanning electron microscopy (FESEM). FESEM micrographs reveal porous exfoliated Ti3C2Tx sheets obtained by continuously stirring Ti3AlC2 for 44 h at 60 °C, providing a platform for the growth of Ag nanoparticles. Diffused reflectance spectroscopy (DRS) indicates that the bare silver nanoparticles show a decrease in the band gap value from 2.4 to 1.35 and 1.41 eV in Ag50@Ti3C2Tx and Ag20@Ti3C2Tx, respectively, which enables the nanocomposites to show excellent catalytic performance and degrade around 99% of safranin dye within 15 min at a concentration of 5 mg Ag50@Ti3C2Tx.
1. Introduction
MXene (2D titanium carbide) is a promising candidate with many applications due to its high conductivity, inherent structural stability, high hydrophilicity, high tribological characteristics, excellent thermal conductivity, tunable band gap, and functionalization characteristics [1,2,3]. MXene is expressed by the general formula Mn+1XnTx (n = 1 to 3), where “M” is the respective transition metal, “X” can be the carbon atom or nitrogen atom joined by hydrogen bonding or Van der Waals interactions, while Tx represents the corresponding surface functionality, i.e., F−, O−, OH− [4,5,6]. The hydrophilic functionalities provide active sites on the surface of sheets and enable the structure to interact with the other functional groups. In contrast to other carbon-based materials (graphene, carbon nanotube), MXene materials exhibit a high reduction capacity [7,8,9]. The unique 2D structure of MXene-coupled hybrid materials with robust redox ability and anisotropic charge transfer performance make it high-potential material that is widely used as an electrocatalytic sensor material and photocatalyst for the degradation of pollutants present in the environment [10,11,12,13].
Ti3C2-based MXene possesses terminal metals exposed to the other functionalities and has high redox properties which helps in the degradation of hazardous environmental organic pollutants. The photocatalytic application of Ti3C2Tx has been widely studied due to its narrow tunable band gap ranges between 0.92 and 1.75 eV [14,15,16]. Density functional theory (DFT) calculations reveal that Ti3C2 exhibits metallic conductivity with a Fermi level value of −0.05 V. This is more positive than the conduction band of most n-type semiconductors, indicating the potential of Ti3C2 as a co-catalyst for the transfer and assembly of photogenerated electrons [17]. The absorption of visible light results in the production of photogenerated electrons that are excited from the valence band (VB) to the conduction band (CB), leaving holes in the valence band. The transfer of these excited charge carriers coupled with the co-catalyst is accelerated by the presence of Ti3C2-derived 2D carbon layers. Electrons transferred to MXenes are trapped in the sheets and generate H2 by reducing H+ [18], CO, and CH4 by reducing CO2 [19], or NH3 by reducing N2 [20]. On the other hand, the transfer of holes to MXenes results in the production of OH• radicals, which could carry out organic degradation, while OH• radicals can also be produced through electrons for organic degradation [4].
The rapid industrialization has resulted in excessive hazardous wastes, including organic pollutants such as antioxidants, benzenes, tetracycline hydrochlorides, and sulfonamides [21], industrial dyes including cationic dyes (methylene blue, rhodamine B [22,23], crystal violet, safranin, malachite green, neutral red), anionic dyes (Congo red, methyl orange, and Eriochrome black T, acid red 1, acid blue 80 [6]), antibiotics (such as sulfadiazine SMZ, erythromycin, azithromycin, tetracycline [24], penicillin, chloramphenicol, rifampicin, ciprofloxacin) and carbamazepine used in in the medical industry [25], bisphenol A [26,27], and many pesticides used in agriculture. These toxic substances, especially the persistent organic pollutants (POP) such as dioxin, oxole, chlordane, and dichlorodiphenyltrichloroethane, are a serious threat to the global environment affecting both terrestrial and aquatic life [10]. These environmental effects lead to the significant need for organic pollution degradation strategies to treat wastewater to remove these hazardous substances [11]. Air, soil, wastewater, river water, etc., can be decontaminated by converting the toxic organic compounds to environmentally friendly byproducts. The methods for eliminating organic pollutants include electrochemical conversion/combustion, chemical oxidation, biodegradation, etc. However, the abovementioned methods cannot remove low-level harmful organic pollutants, which may result in secondary pollutants too. To remove these harmful organic pollutants, a new type of advanced oxidation technology needs to be developed that is low-cost, high-efficiency, and environmentally friendly. Hence, photocatalytic degradation technology is an efficient solution for the degradation of these harmful toxic pollutants. Amid different kinds of photocatalysts, MXene, being a semiconductor material, possesses a tunable bandgap and has gained practical applications in the photocatalytic degradation of organic pollutants.
In comparison to other carbonaceous materials (like graphene and carbon nanotubes), the large surface area, high hydrophilicity, and functionalized (OH−, F−) accordion-like structure of MXene enable the sheets to reduce organic as well as inorganic pollutants and convert them to less toxic forms [10,11]. Fluoride-based etching of Ti3AlC2 results in the appearance of negative surface charges (F−, O−, and OH− functional groups). However, a positive charge is more likely to appear on the metal atom due to incomplete bonding at the outer edges. The appearance of charge on the surface of the MXene sheet is also pH-dependent. At a low pH, the edges remain positively charged and are rarely affected by protons, while the negative terminal functionality such as O− accepts a proton to form hydroxyl ions and eventually maintain negative charges. In contrast, a high pH leads to the neutralization of OH− by the positively charged Ti atoms. The self-reduction properties of MXene facilitate the growth of silver (Ag) nanoparticles on exfoliated Ti3C2Tx sheets. Moreover, Ti3C2-based MXene exhibits a negative charge with a zeta potential of −30 mV at pH 7.0, which shows that these materials are susceptible to fabricating the metal ions on its surface [28].
Silver nanoparticles deposited on MXene show efficient photocatalytic and electrocatalytic activity due to the charge transfer mechanism [29]. However, the effect of MXene concentration on the synthesis of silver nanoparticles on a large scale, on exfoliated MXene sheets, with a tremendous decrease in the band gap was still unclear and worth exploring. The band gap of silver nanoparticles by the addition of MXene sheets makes the composite an efficient photocatalyst [13]. To investigate the reducing nature of MXene, two different concentrations (i.e., 1:20 and 1:50 wt % MXene to AgNO3) were synthesized in the present study. The nanocomposite with 1:20 wt % MXene shows excellent photocatalytic activity for the degradation of safranin dye. This efficient strategy provides a basis for the fabrication of nanoparticles used for photocatalysis.
2. Results and Discussion
XRD analysis of pristine Ti3AlC2 exhibits the diffraction peaks at 2θ of 9.50°, 19.19°, 34.08°, 38.81°, 41.79°, 48.49°, 52.32°, 56.42°, 60.29°, 65.5°, 70.3°, and 73.8°, indexed to (002), (004), (101), (103), (104), (105), (107), (108), (109), (110), (201), and (202) planes that correspond to the crystal structure of the Ti3AlC2 MAX phase matching with the JCPDS card 98-010-5483 [15]. The XRD pattern of exfoliated Ti3AlC2 is given in Figure 1a, showing characteristic peaks at 5.98°, 9.11°, 18.22°, 27.65°, 35.99°, 41.89°, and 60.63°, which correspond to (002), (004), (101), (103), (105), and (110) planes of Ti3C2Tx. During the etching of aluminum metal, the peaks at 9.50° and 19.19° shifted the (002) and (004) planes slightly to a lower 2θ with a decrease in the peak intensity owing to the loss of the crystalline nature of the MAX phase. The strength of the peak at 9.50° 2θ did not change but decreased significantly in intensity because of the appearance of F− and OH− groups, which were further confirmed by XPS. However, the peak intensity of characteristic planes (103), (104), and (105) decreased more prominently along with the broadened (002) plane [16]. The characteristic peak at 38.81° decreased with the appearance of a peak at 27.65°, depicting the etching of Ti3AlC2 and conversion into the MXene phase. No representative peaks of AlF3 were present at 25.3°, 35.2°, 43.5°, 52.1°, and 57.3° (JCPDS card no 750450) in Ti3C2Tx which was further confirmed by EDX and XPS analyses [17].
Figure 1.
XRD analysis of (a) Ti3AlC2, Ti3C2Tx and (b) Ag20@Ti3C2Tx, Ag50@Ti3C2Tx.
In addition, three diffraction peaks appeared in the XRD pattern of Ag20@Ti3C2Tx and Ag50@Ti3C2Tx at 38.21°, 44.41°, 64.63°, and 77.43° 2θ, with planes (111), (200), (220), and (311), respectively, as shown in Figure 1b. This represents the cubic, single silver crystals [13]. The sharpness of the peaks depends upon the crystal structure of silver and the amount embedded in the MXene substrate. Due to the presence of the high loading of silver on the surface of MXene, the peak due to the (108) plane of MXene shows a relatively small intensity.
The surface elemental valance composition of Ti3AlC2, Ti3C2Tx, and Ag50@Ti3C2Tx were analyzed by XPS, as shown in Figure 2. The survey spectrum presents the presence of the required elements in the form of Ag, Ti, O, and C, along with a small amount of fluorine coming from the etchant. By comparing the full-range (200–1200 eV) XPS spectrum of the pristine MAX phase, exfoliated MXene, and MXene-silver nanocomposites, the Ti 2p region consists of three asymmetric doublets at 455.1, 458.5, and 464 eV that were attributed to Ti (II) (2p1/2), Ti (III) (2p3/2), and Ti (III) (2p1/2), respectively (Figure 3a). These peaks correspond to the MXene structure where C−Ti−C is the core layer, and the bonding of C−Ti−X, (X = F, O, OH) corresponds to the bonding of Ti atoms to the C-atom and terminal group [18,30]. The peak at 456.8 eV represents the Ti (II) to Ti (III) oxidation of titanium, and Ti (IV) 2p3/2 peak (~457 eV) correspond to titanium oxide (TiO2) formation. However, the peak appearing at 460.6 eV is labelled as TiF3, resulting from the etching process of HF. The low-valent distinctive Ti species are responsible for the deposition of metallic silver on the MXene surface [30,31].
Figure 2.
XPS Survey of Ti3AlC2, Ti3C2Tx, Ag50@Ti3C2Tx.
Figure 3.
XPS analysis of silver-doped MXene (a) Ti 2p (b) Ag 3d (c) O 1s (d) C 1s.
The O 1s core levels showed peaks at 529.9 eV and 531.8 eV, representing the formation of C−Ti−O bonds. However, the hydroxyl terminal groups on the surface of MXene bonded to titanium atoms appeared at 531.8 eV. Finally, the hydrophilic nature of the MXene structure appeared when water molecules were inserted into the layer structure of the exfoliated structure using ultrasonication. The XPS survey spectrum of C 1s MXene-silver nanoparticles showed the signal peaks of C=C at 284.8, C−C at 285.9, and C=O at 286.8 eV [19].
The Ag 3d spectra (Figure 3b) of Ag@Ti3C2Tx represent a double peak of Ag 3d5/2 at 365.9 eV and 3d3/2 centered at 371.9 eV, which shows the Ag reduction due to the functional groups present on the MXene surface. The absence of higher-valence Ag atoms could be confirmed by the apparent difference of ~6 eV in the binding energy of Ag 3d doublets. All Ag(0) peaks appear in the XPS survey fit using software confirming the strong reducing ability of Ti species. The mechanism of reduction of silver was similar to that of the low-valance titanium species that are responsible for the reduction of silver ions into their elemental form [11].
The surface morphology of the two-dimensional stacked layered structure of Ti3AlC2, Ti3C2Tx, Ag20@ Ti3C2Tx, and Ag50@ Ti3C2Tx are shown in Figure 4. The ternary layered structure of the MAX phase is shown in Figure 4a, while HF-etched MXene shows an accordion-like structure. Removal of aluminum from the MAX phase generates pores on the surface of the MXene sheet, which provides a platform to capture and reduce the metal nanoparticles. Silver nanoparticles are uniformly grown on the MXene sheets’ surface, represented in Figure 4c,d. The average particle size of silver nanoparticles ranged from 70 to 80 nm. The elemental mapping of the MAX phase reveals the presence of C (61.17%), O (11.88%), Ti (17.54%), and Al (9.41%). After etching with HF for 40 h at 60 °C the percentage of aluminum remained only 1%, while the percentage of other elements were C, 61.18%; O, 16.07%; Ti, 13.04%; and F, 9.71%. The EDX spectrum in Figure 4e of Ag50@ Ti3C2Tx shows the presence of Ag, Ti, and C elements at their respective positions, verifying the purity of samples. The elemental mapping in Figure S1 (Supporting Information) shows the homogenous distribution of elements.
Figure 4.
FESEM micrograph of (a) Ti3AlC2, (b) Ti3C2Tx, (c) Ag20@Ti3C2Tx, (d) Ag50@Ti3C2Tx, (e) EDX spectrum of Ag50@Ti3C2Tx.
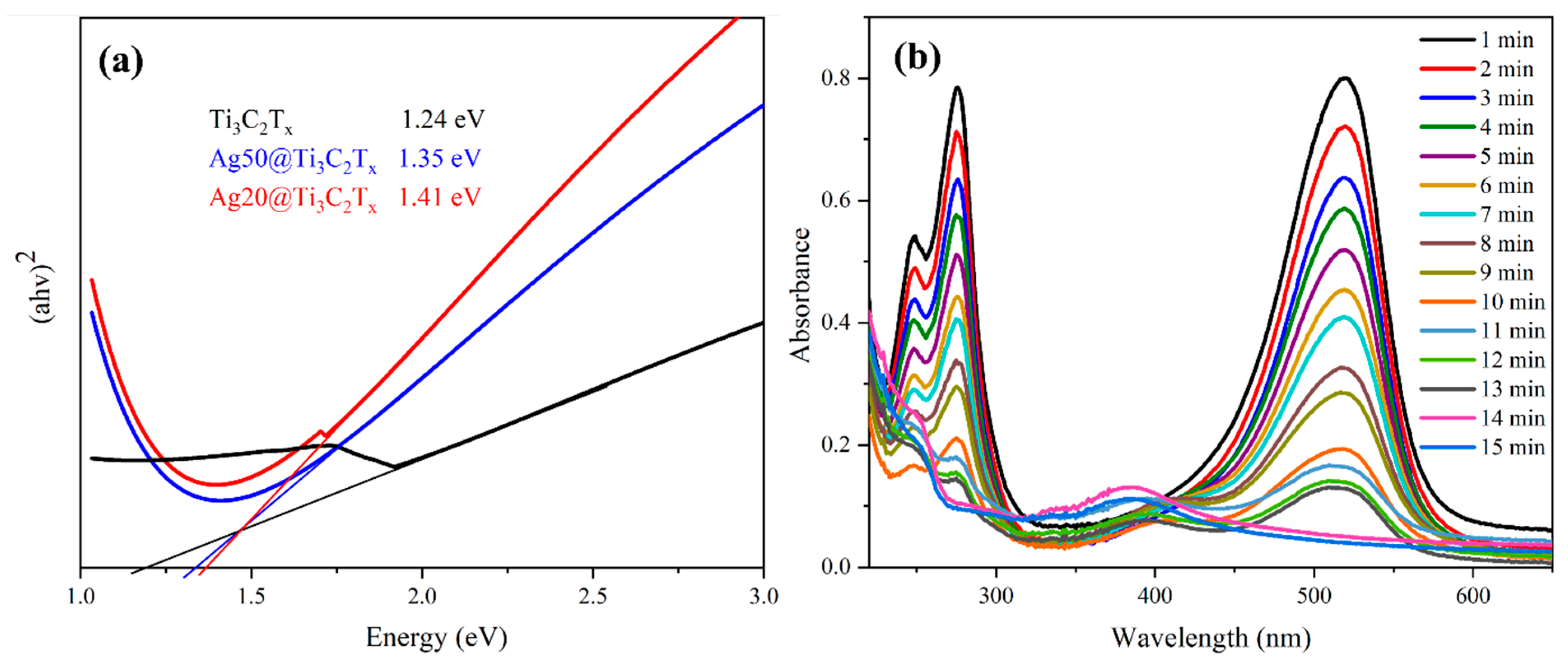
The Brunauer–Emmett–Teller (BET) and Langmuir surface areas of the photocatalysts Ag20@Ti3C2Tx and Ag50@Ti3C2Tx were found to be 174.6 and 206.7 m2g−1, respectively, as shown in Figure S2 (Supporting Information). Due to the uniform distribution of the silver nanoparticles on the surface of exfoliated MXene sheets, the surface area increased as compared to MXene sheets, thereby increasing the interaction of the safranin dye with the silver nanoparticles, which ultimately degraded the dye in 15 min for Ag50@Ti3C2Tx. The optical properties of the MXene-based Ag-nanoparticles were investigated using DRS from 1200 to 250 nm, as shown in Figure 5a. The band gap of exfoliated MXene and MXene silver nanocomposites was calculated using a Tauc plot using the following equation:
where A is a constant, α is the absorbance of light, ν is the frequency of irradiated light, h is Planck’s constant, and Eg is the band gap energy. The plot between (αhν)2 along the y-axis and the band gap energy on the x-axis gave the band gap of hybrid samples. Exfoliated MXene showed a band gap value of 1.24 eV; however, the value shifted to 1.35 eV after a 1:50 deposition of Ag nanoparticles, while 1:20 showed a band gap of 1.41 eV. Bare silver nanoparticles have a band gap value of 2.4 eV. This decrease in the Ag nanoparticle band gap is attributed to the incorporation of porous and stacked MXene sheets with embedded Ag nanoparticles, resulting in the intermediate state in valence and conduction bands of the MXene Ag nanocomposite along the interface, eventually causing a decrease in the band gap [16].
Figure 5.
(a) Band gap of Ti3C2Tx, Ag20@Ti3C2Tx, Ag50@Ti3C2Tx; (b) photocatalytic degradation of safranin dye using 5 mg of Ag50@Ti3C2Tx catalyst at different time intervals.
The catalytic degradation activities of MXene-reduced Ag nanoparticles were investigated using safranin dye under dark and visible light conditions. In the absence of light, no degradation of safranin takes place due to the absence of electrons and holes that are generally produced in the presence of light. However, a decrease in the concentration of dye in the dark is attributed to the adsorption–desorption phenomenon that is also taken into account. During exfoliation, negative charges are developed on the surface of Ti3C2Tx, which acts as an active site for the receptor cationic dyes. Safranin is a water-soluble cationic dye that exhibits a strong attraction with the exfoliated MXene sheets. The electron transport mechanism in the silver-doped MXene nanocomposite plays an important role in the degradation of safranin dye effectively.
Visible-light-driven photocatalysis was carried out using 1, 2, and 5 mg catalyst quantities for both Ag20@Ti3C2Tx and Ag50@Ti3C2Tx in the range of 200–700 nm, as given in Figure 5b. The concentration of safranin dye was 30 ppm in all the degradation experiments. The catalyst was added to the dye solution and stirred for 5 min for complete interaction of dye molecules with the catalyst. Eventually, 5 mL of the suspension was centrifuged at 6000 rpm and the supernatant was analyzed under a UV–visible spectrophotometer. The decrease in the intensity at 520 nm with a peak shift to 385 nm shows the degradation of azo bonds present in the dye molecule.
The degradation efficiency of the dye is determined using the following equation:
where ‘C0’ is the initial concentration of dye, while ‘C’ is the concentration of safranin at any time ‘t’.
The reduction in the absorbance of the dye due to its adsorption on the catalyst surface in the solution is linked to the adsorption–desorption mechanism that leads to the degradation as indicated by the UV–visible spectrum. Ag nanoparticles synthesized by the addition of 50 mg MXene in Ag50@Ti3C2Tx reduces the band gap of Ag nanoparticles, which led to the degradation of safranin dye earlier, as compared to Ag20@Ti3C2Tx. Increasing the concentration of the catalyst to 5 mg resulted in 99% degradation of the dye in 15 min, while 1 mg and 2 mg catalyst loading showed 90% and 93% degradation in 20 and 30 min, respectively, as shown in Figure 6a–c. A comparison of our study with the reported nanocomposites used for the degradation of safranin dye is given in Table 1 [32,33,34,35,36,37,38]. Similarly, a comparison of our study with the reported P25 commercial TiO2 catalyst used for the degradation of safranin dye is given in Table 2 [39,40,41,42], where the prepared catalysts have performed better than the commercial TiO2 catalyst under sunlight. To check the stability of the photocatalysts after the degradation experiments, XRD measurements were performed, and the results are shown in Figure S3 (Supporting Information). It was found that most of the peaks due to the catalyst remained highly intact, guaranteeing the high stability of the photocatalysts.
Figure 6.
(a) Photocatalytic activity of Ag20@Ti3C2Tx and (b) Ag50@Ti3C2Tx; (c) percentage degradation efficiency of prepared catalysts.
Table 1.
Comparison of our study with the reported nanocomposites used for the degradation of safranin dye.
Table 2.
Comparison of our study with the reported P25 commercial TiO2 catalyst used for degradation of safranin dye.
The photocatalytic performance of the nanocomposites was determined by the degradation of safranin dye under sunlight and the recyclability tests were carried out for five successive runs for both catalyst systems. The process was performed by the separation of the photocatalyst after centrifugation at 6000 rpm, thereby washing with deionized water several times. The results are displayed in Figure S4 (Supporting Information).
Proposed Photocatalytic Mechanism
The photodegradation of safranin dye is mainly governed by the redox reactions that occur on the surface of silver nanoparticles embedded in MXene sheets in the presence of electrons and holes (Figure 7). Photogenerated electrons and holes are produced due to the interaction of visible light with the catalyst surface, which ultimately produces radical ions. The resulting radicals •OH and •O2− are produced where electrons reduce adsorbed O2 molecules to form •O2−, while holes oxidize water molecules into hydroxyl radicals. Being the most reactive species, these radicals interact with the dye molecules and convert them into less toxic byproducts [16]. The mechanism of safranin degradation is illustrated in the Equations (3)–(8). Equation (3) shows the visible light charge generation when light interacts with the silver-embedded MXene sheets. The layered structure of the MXene sheets traps the electrons due to their high receptive behavior and enhances the separation of charge carriers due to the large surface area of the catalyst (Equation (4)). These electrons thereby react with the adsorbed oxygen, which ultimately converts the oxides into their respective superoxide radicals, •O2−; on the other hand, holes (bearing the positive charge) react with water molecules to form hydroxyl radicals, as shown in Equations (5) and (6) [16,43,44,45].
Ag50@Ti3C2Tx + hν→Ag50@Ti3C2Tx (e− + h+)
e− + Ti3C2Tx→e− (Ti3C2Tx trapped electrons)
e− (Ti3C2Tx trapped electrons) + O2→O2 −
h+ + H2O→OH + H+
•OH + safranin→less toxic degradation products
•O2− + safranin→less toxic degradation products
Figure 7.
Proposed photocatalytic mechanism for the degradation of safranin dye using Ag@Ti3C2Tx nanocomposite.
3. Experimental Details
3.1. Materials
Titanium aluminum carbide, (Ti3AlC2, 312 MAX phase, ≥90%, particle size ≤ 40 μm) was provided by Sigma-Aldrich Silver nitrate (AgNO3, ≥99%) and hydrofluoric acid (HF, 48%) were purchased from Sigma-Aldrich. Polyvinyl pyrrolidone from Sigma-Aldrich was used as a dispersant. Safranin dye (C20H19N4+•Cl−, 99%) was provided by Merck Chemicals.
3.2. Synthesis of MXene
Ti3C2Tx exfoliation was carried out by adding 50 mL hydrofluoric acid (48%) in a polytetrafluoroethylene conical flask with the gradual addition of 1 g Ti3AlC2 and the solution was continuously stirred at 60 °C for 45 h. The resultant suspension of exfoliated Ti3C2Tx sheets was centrifuged and washed with ethanol and water at 6000 rpm for 10 min until the liquid achieved a pH of ≥7. To peel off the delaminated sheets, the suspension was again dissolved in water, sonicated for 2 h, and separated through vacuum filtration. After the ultrasonic treatment, the solution was centrifuged at 5000 rpm for 10 min. The resultant product obtained was vacuum dried at 60 °C for 4 h.
3.3. Synthesis of MXene-Reduced Silver Nanoparticles
MXene-reduced silver nanoparticles were synthesized by sonicating 20 mg and 50 mg of hydrofluoric-acid-etched MXene in 50 mL of water separately for 30 min. After uniform dispersion, 30 mL of 0.2 M AgNO3 in 0.2 M polyvinyl pyrrolidone was added dropwise in the above two different MXene concentrations and stirred at 60 °C for 1 h. The suspension was centrifuged at 6000 rpm and washed several times with deionized water using a vacuum filtration assembly equipped with 0.25-micron PTFE filter paper so that the pH of the solution became neutral (pH = 7). Finally, the powder was dried under vacuum at 50–60 °C for 24 h and labelled as Ag20@Ti3C2Tx (1:20 MXene to AgNO3) and Ag50@Ti3C2Tx (1:50 MXene to Ag NO3). Figure 8 represents the schematic diagram of the procedure.
Figure 8.
Schematic representation for the synthesis of Ag@Ti3C2Tx.
3.4. The Catalytic Activity of Ag@Ti3C2Tx Nanocomposite for Dye Degradation
The catalytic performance of Ag20@Ti3C2Tx and Ag50@Ti3C2Tx nanocomposites were studied using safranin dye in visible light. To investigate the degradation efficiency of the catalyst, 50 mL of freshly prepared safranin solution with an initial concentration (C0) of 30 mg/L was used. The catalyst concentration was varied from 1 to 5 mg/L to study the impact of catalyst loading on safranin degradation. At first, the catalyst was stirred with the standard safranin solution to equilibrate the safranin solution on the surface of the nanocatalyst through the adsorption–desorption mechanism of safranin molecules at room temperature. Later, the suspension was irradiated with visible light for a specific interval of time. The degradation rate of the dye was studied using a UV–visible spectrophotometer in the range of 200–800 nm using a quartz cuvette. To test recyclability, the nanocomposite was separated by centrifuging the sample at 6000 rpm and the resultant supernatant was washed with deionized water several times.
3.5. Characterizations
The X-ray diffraction (XRD) pattern of samples was determined using a Bruker Advance D8 X-ray diffractometer, Germany, which was operated at 40 kV with a current of 40 mA and Cu Kα (λ = 1.54059 ˚A) radiation source. A TESCAN MIRA (USA) field-emission scanning electron microscope (FESEM) equipped with an energy-dispersive X-ray (EDX) analyzer operated at 15 kV was used to examine the 2D structure and morphology of the samples. X-ray photoelectron spectroscopy (XPS) measurements were performed using a Scienta Omicron (Germany) equipped with a microfocused monochromatic Al Kα (1486.7 eV) X-ray source with a spot size of 700 μm and an Argus analyzer. The source was operated at 15 keV with constant analyzer energy (CAE) of 100 eV for survey scans and 20 eV for high-resolution scans. The analysis of optical properties of the silver (Ag) deposited on MXene was obtained by UV–Vis DRS, Lambda 950 (USA). Catalytic efficiency was carried out by an Agilent Cary 60 UV–visible spectrophotometer (USA).
4. Conclusions
MXene-doped Ag nanocomposites (1:20 and 1:50 wt %) were synthesized by the self-reduced property of exfoliated MXene sheets using 1:20 and 1:50 wt % MXene to silver nanoparticles. The incorporation of exfoliated Ti3C2Tx not only reduced silver salts but also decreased the band gap of silver nanoparticles from 2.5 to 1.35 eV and 1.41 eV. The decrease in band gap value is attributed to the porosity introduced by the removal of aluminum during HF etching and trapping the charged silver nanoparticles among the MXene sheets. FESEM images confirm the generation of porosity in the MXene sheets. Conducting surfaces of the MXene sheet also enable a reduction in the band gap value, which is clear from the Tauc plot. The XPS results showed that the nanohybrid materials are formed instead of simple chemical interactions. The efficiency of safranin degradation is enhanced by the addition of 5 mg of Ag50@Ti3C2Tx (1:20 wt % MXene to silver salt) which degrades in 15 min. However, using 1 mg of the same catalyst, it takes 30 min to degrade 88% of the dye. Similarly, using Ag20@Ti3C2Tx (1:50 wt % MXene to silver salt), ~90% of the dye degrades in 65 min. Hence, Ag50@Ti3C2Tx shows efficient photocatalytic properties and degrades the cationic dye within 15 min using 5 mg of the catalyst, which is cost-effective and can be used for environmental remediation.
Supplementary Materials
Supplementary data to this article can be found online at https://www.mdpi.com/article/10.3390/catal14030201/s1, Figure S1: Elemental mapping of showing the homogenous distribution of Ag, Ti and C elements. Figure S2: BET surface area of Ag20@Ti3C2Tx and Ag50@Ti3C2Tx. Figure S3: XRD pattern of Ag20@Ti3C2Tx and Ag50@Ti3C2Tx photocatalysts to check their stability after degradation experiments. Figure S4: (a) Reusability of Ag50@Ti3C2Tx catalyst having 5 mg concentration (b) Reusability of Ag20@Ti3C2Tx catalyst having 5 mg concentration.
Author Contributions
M.F., writing—original draft; data curation; investigation; A.R., writing—original draft; data curation; investigation; M.A. (Manawwer Alam), writing—review and editing; methodology; funding acquisition; F.W., writing—original draft; data curation; investigation; M.S., supervision; writing—review and editing; formal analysis; visualization; M.A. (Muhammad Alta), supervision; writing—review and editing; formal analysis; visualization; S.M.A., writing—review and editing; methodology; resources; validation; project administration. All authors have read and agreed to the published version of the manuscript.
Funding
The authors are thankful to the Researchers Supporting Project (RSP2024R113), King Saud University, Riyadh, Saudi Arabia.
Data Availability Statement
All data generated or analyzed during this study are included in this published article.
Conflicts of Interest
The authors declare that they have no known competing financial interests or personal relationships that could have appeared to influence the work reported in this paper.
References
- Bai, S.; Yang, M.; Jiang, J.; He, X.; Zou, J.; Xiong, Z.; Liao, G.; Liu, S. Recent advances of MXenes as electrocatalysts for hydrogen evolution reaction. NPJ 2D Mater. Appl. 2021, 5, 78. [Google Scholar] [CrossRef]
- Natu, V.; Pai, R.; Sokol, M.; Carey, M.; Kalra, V.; Barsoum, M.W. 2D Ti3C2Tz MXene synthesized by water-free etching of Ti3AlC2 in polar organic solvents. Chem 2020, 6, 616–630. [Google Scholar] [CrossRef]
- Anasori, B.; Lukatskaya, M.R.; Gogotsi, Y. 2D metal carbides and nitrides (MXenes) for energy storage. Nat. Rev. Mater. 2017, 2, 16098. [Google Scholar] [CrossRef]
- Tasleem, S.; Tahir, M.; Zakaria, Z.Y. Fabricating structured 2D Ti3AlC2 MAX dispersed TiO2 heterostructure with Ni2P as a cocatalyst for efficient photocatalytic H2 production. J. Alloys Compd. 2020, 842, 155752. [Google Scholar] [CrossRef]
- Husmann, S.; Budak, Ö.; Shim, H.; Liang, K.; Aslan, M.; Kruth, A.; Quade, A.; Naguib, M.; Presser, V. Ionic liquid-based synthesis of MXene. Chem. Commun. 2020, 56, 11082–11085. [Google Scholar] [CrossRef]
- Zhao, J.; Zhang, L.; Xie, X.-Y.; Li, X.; Ma, Y.; Liu, Q.; Fang, W.-H.; Shi, X.; Cui, G.; Sun, X. Ti3C2Tx (T = F, OH) MXene nanosheets: Conductive 2D catalysts for ambient electrohydrogenation of N2 to NH3. J. Mater. Chem. A 2018, 6, 24031–24035. [Google Scholar] [CrossRef]
- Feng, X.; Yu, Z.; Sun, Y.; Long, R.; Shan, M.; Li, X.; Liu, Y.; Liu, J. Review MXenes as a new type of nanomaterial for environmental applications in the photocatalytic degradation of water pollutants. Ceram. Int. 2021, 47, 7321–7343. [Google Scholar] [CrossRef]
- Wang, K.; Li, Y.; Li, J.; Zhang, G. Boosting interfacial charge separation of Ba5Nb4O15/g-C3N4 photocatalysts by 2D/2D nanojunction towards efficient visible-light driven H2 generation. Appl. Catal. B Environ. 2020, 263, 117730. [Google Scholar] [CrossRef]
- Jiang, L.; Li, J.; Wang, K.; Zhang, G.; Li, Y.; Wu, X. Low boiling point solvent mediated strategy to synthesize functionalized monolayer carbon nitride for superior photocatalytic hydrogen evolution. Appl. Catal. B Environ. 2020, 260, 118181. [Google Scholar] [CrossRef]
- Sun, Y.; Li, Y. Potential environmental applications of MXenes: A critical review. Chemosphere 2021, 271, 129578. [Google Scholar] [CrossRef]
- Tunesi, M.M.; Soomro, R.A.; Han, X.; Zhu, Q.; Wei, Y.; Xu, B. Application of MXenes in environmental remediation technologies. Nano Converg. 2021, 8, 5. [Google Scholar] [CrossRef]
- Jiang, X.; Kuklin, A.V.; Baev, A.; Ge, Y.; Ågren, H.; Zhang, H.; Prasad, P.N. Two-dimensional MXenes: From morphological to optical, electric, and magnetic properties and applications. Phys. Rep. 2020, 848, 1–58. [Google Scholar] [CrossRef]
- Im, J.K.; Sohn, E.J.; Kim, S.; Jang, M.; Son, A.; Zoh, K.-D.; Yoon, Y. Review of MXene-based nanocomposites for photocatalysis. Chemosphere 2021, 270, 129478. [Google Scholar] [CrossRef]
- Othman, Z.; Sinopoli, A.; Mackey, H.R.; Mahmoud, K.A. Efficient Photocatalytic Degradation of Organic Dyes by AgNPs/TiO2/Ti3C2Tx MXene Composites under UV and Solar Light. ACS Omega 2021, 6, 33325–33338. [Google Scholar] [CrossRef]
- Luo, S.; Wang, R.; Yin, J.; Jiao, T.; Chen, K.; Zou, G.; Zhang, L.; Zhou, J.; Zhang, L.; Peng, Q. Preparation and dye degradation performances of self-assembled MXene-Co3O4 nanocomposites synthesized via solvothermal approach. ACS Omega 2019, 4, 3946–3953. [Google Scholar] [CrossRef]
- Tariq, A.; Ali, S.I.; Akinwande, D.; Rizwan, S. Efficient visible-light photocatalysis of 2D-MXene nanohybrids with Gd3+-and Sn4+-codoped bismuth ferrite. ACS Omega 2018, 3, 13828–13836. [Google Scholar] [CrossRef]
- Li, Y.; Yin, Z.; Ji, G.; Liang, Z.; Xue, Y.; Guo, Y.; Tian, J.; Wang, X.; Cui, H. 2D/2D/2D heterojunction of Ti3C2 MXene/MoS2 nanosheets/TiO2 nanosheets with exposed (001) facets toward enhanced photocatalytic hydrogen production activity. Appl. Catal. B Environ. 2019, 246, 12–20. [Google Scholar] [CrossRef]
- Tie, L.; Yang, S.; Yu, C.; Chen, H.; Liu, Y.; Dong, S.; Sun, J.; Sun, J. In situ decoration of ZnS nanoparticles with Ti3C2 MXene nanosheets for efficient photocatalytic hydrogen evolution. J. Colloid Interface Sci. 2019, 545, 63–70. [Google Scholar] [CrossRef]
- Low, J.; Zhang, L.; Tong, T.; Shen, B.; Yu, J. TiO2/MXene Ti3C2 composite with excellent photocatalytic CO2 reduction activity. J. Catal. 2018, 361, 255–266. [Google Scholar] [CrossRef]
- Liu, Q.; Ai, L.; Jiang, J. MXene-derived TiO2@C/gC3N4 heterojunctions for highly efficient nitrogen photofixation. J. Mater. Chem. A 2018, 6, 4102–4110. [Google Scholar] [CrossRef]
- Cao, Y.; Fang, Y.; Lei, X.; Tan, B.; Hu, X.; Liu, B.; Chen, Q. Fabrication of novel CuFe2O4/MXene hierarchical heterostructures for enhanced photocatalytic degradation of sulfonamides under visible light. J. Hazard. Mater. 2020, 387, 122021. [Google Scholar] [CrossRef]
- Fang, H.; Pan, Y.; Yan, H.; Qin, X.; Wang, C.; Xu, L.; Pan, C. Facile preparation of Yb3+/Tm3+ co-doped Ti3C2/Ag/Ag3VO4 composite with an efficient charge separation for boosting visible-light photocatalytic activity. Appl. Surf. Sci. 2020, 527, 146909. [Google Scholar] [CrossRef]
- Wang, Z.; Wang, K.; Li, Y.; Jiang, L.; Zhang, G. Novel BiSbO4/BiOBr nanoarchitecture with enhanced visible-light driven photocatalytic performance: Oxygen-induced pathway of activation and mechanism unveiling. Appl. Surf. Sci. 2019, 498, 143850. [Google Scholar] [CrossRef]
- Wu, Y.; Li, X.; Yang, Q.; Wang, D.; Yao, F.; Cao, J.; Chen, Z.; Huang, X.; Yang, Y.; Li, X. Mxene-modulated dual-heterojunction generation on a metal-organic framework (MOF) via surface constitution reconstruction for enhanced photocatalytic activity. Chem. Eng. J. 2020, 390, 124519. [Google Scholar] [CrossRef]
- Li, Z.K.; Wei, Y.; Gao, X.; Ding, L.; Lu, Z.; Deng, J.; Yang, X.; Caro, J.; Wang, H. Antibiotics separation with MXene membranes based on regularly stacked high-aspect-ratio nanosheets. Angew. Chem. Int. Ed. 2020, 59, 9751–9756. [Google Scholar] [CrossRef]
- Liu, Y.; Luo, R.; Li, Y.; Qi, J.; Wang, C.; Li, J.; Sun, X.; Wang, L. Sandwich-like Co3O4/MXene composite with enhanced catalytic performance for Bisphenol A degradation. Chem. Eng. J. 2018, 347, 731–740. [Google Scholar] [CrossRef]
- Iravani, S.; Varma, R.S. MXene-based photocatalysts in degradation of organic and pharmaceutical pollutants. Molecules 2022, 27, 6939. [Google Scholar] [CrossRef]
- Lorencova, L.; Gajdosova, V.; Hroncekova, S.; Bertok, T.; Jerigova, M.; Velic, D.; Sobolciak, P.; Krupa, I.; Kasak, P.; Tkac, J. Electrochemical Investigation of Interfacial Properties of Ti3C2Tx MXene Modified by Aryldiazonium Betaine Derivatives. Front. Chem. 2020, 8, 553. [Google Scholar] [CrossRef]
- Zhu, X.; Zhu, Y.; Jia, K.; Abraha, B.S.; Li, Y.; Peng, W.; Zhang, F.; Fan, X.; Zhang, L. A near-infrared light-mediated antimicrobial based on Ag/Ti3C2Tx for effective synergetic antibacterial applications. Nanoscale 2020, 12, 19129–19141. [Google Scholar] [CrossRef]
- Na, L.-Å.; Persson, P.O.; Rosen, J. X-ray Photoelectron Spectroscopy of Ti3AlC2, Ti3C2Tz, and TiC Provides Evidence for the Electrostatic Interaction between Laminated Layers in MAX-Phase Materials. J. Phys. Chem. C 2020, 124, 27732–27742. [Google Scholar]
- Lv, Y.; Wang, K.; Li, D.; Li, P.; Chen, X.; Han, W. Rare Ag nanoparticles loading induced surface-enhanced pollutant adsorption and photocatalytic degradation on Ti3C2Tx MXene-based nanosheets. Chem. Phys. 2022, 560, 111591. [Google Scholar] [CrossRef]
- Ahmad, K.S.; Jaffri, S.B. Phytosynthetic Ag doped ZnO nanoparticles: Semiconducting green remediators: Photocatalytic and antimicrobial potential of green nanoparticles. Open Chem. 2018, 16, 556–570. [Google Scholar] [CrossRef]
- Saraffin, R.S.; Kapuria, A.; Saha, S.K.; Dutta, K. Eco-friendly hetero-system silver decorated nanocomposite zinc oxide/reduced graphene oxide: Improved broad-ranged absorptivity and enhanced photocatalytic performance under white-light irradiation. React. Kinet. Mech. Catal. 2022, 135, 2827–2850. [Google Scholar] [CrossRef]
- Nenavathu, B.P.; Kandula, S.; Verma, S. Visible-light-driven photocatalytic degradation of safranin-T dye using functionalized graphene oxide nanosheet (FGS)/ZnO nanocomposites. RSC Adv. 2018, 8, 19659–19667. [Google Scholar] [CrossRef]
- El-Berry, M.F.; Sadeek, S.A.; Abdalla, A.M.; Nassar, M.Y. Microwave-assisted fabrication of copper nanoparticles utilizing different counter ions: An efficient photocatalyst for photocatalytic degradation of safranin dye from aqueous media. Mater. Res. Bull. 2021, 133, 111048. [Google Scholar] [CrossRef]
- Oh, W.-C.; Fatema, K.N.; Liu, Y.; Lim, C.S.; Cho, K.Y.; Jung, C.-H.; Biswas, M.R.U.D. Sonochemical synthesis of quaternary LaNiSbWO4-G-PANI polymer nanocomposite for photocatalytic degradation of Safranin-O and gallic acid under visible light irradiation. J. Photochem. Photobiol. A Chem. 2020, 394, 112484. [Google Scholar] [CrossRef]
- Boudraa, R.; Talantikite-Touati, D.; Souici, A.; Djermoune, A.; Saidani, A.; Fendi, K.; Amrane, A.; Bollinger, J.-C.; Tran, H.N.; Hadadi, A. Optical and photocatalytic properties of TiO2–Bi2O3–CuO supported on natural zeolite for removing Safranin-O dye from water and wastewater. J. Photochem. Photobiol. A Chem. 2023, 443, 114845. [Google Scholar] [CrossRef]
- Sadiq, M.U.; Shah, A.; Nisar, J.; Shah, I. Photoelectrocatalytic Detection and Degradation Studies of a Hazardous Textile Dye Safranin T. Nanomaterials 2023, 13, 2218. [Google Scholar] [CrossRef]
- Bendjama, M.; Hamdaoui, O.; Ferkous, H.; Alghyamah, A. Degradation of Safranin O in Water by UV/TiO2/IO4− Process: Effect of Operating Conditions and Mineralization. Catalysts 2022, 12, 1460. [Google Scholar] [CrossRef]
- Ekka, B.; Sahu, M.K.; Patel, R.K.; Dash, P. Titania coated silica nanocomposite prepared via encapsulation method for the degradation of Safranin-O dye from aqueous solution: Optimization using statistical design. Water Resour. Ind. 2019, 22, 100071. [Google Scholar] [CrossRef]
- Ge, M.; Hu, Z.; Wei, J.; He, Q.; He, Z. Recent advances in persulfate-assisted TiO2-based photocatalysis for wastewater treatment: Performances, mechanism and perspectives. J. Alloys Compd. 2021, 888, 161625. [Google Scholar] [CrossRef]
- Hayat, K.; Gondal, M.; Khaled, M.; Yamani, Z.; Ahmed, S. Laser induced photocatalytic degradation of hazardous dye (Safranin-O) using self synthesized nanocrystalline WO3. J. Hazard. Mater. 2011, 186, 1226–1233. [Google Scholar] [CrossRef] [PubMed]
- Iqbal, M.A.; Ali, S.I.; Amin, F.; Tariq, A.; Iqbal, M.Z.; Rizwan, S. La-and Mn-codoped Bismuth Ferrite/Ti3C2 MXene composites for efficient photocatalytic degradation of Congo Red dye. ACS Omega 2019, 4, 8661–8668. [Google Scholar] [CrossRef] [PubMed]
- Irfan, S.; Shen, Y.; Rizwan, S.; Wang, H.C.; Khan, S.B.; Nan, C.W. Band-gap engineering and enhanced photocatalytic activity of Sm and Mn doped BiFeO3 nanoparticles. J. Am. Ceram. Soc. 2017, 100, 31–40. [Google Scholar] [CrossRef]
- Li, X.; Yu, J.; Jaroniec, M.; Chen, X. Cocatalysts for selective photoreduction of CO2 into solar fuels. Chem. Rev. 2019, 119, 3962–4179. [Google Scholar] [CrossRef]
Disclaimer/Publisher’s Note: The statements, opinions and data contained in all publications are solely those of the individual author(s) and contributor(s) and not of MDPI and/or the editor(s). MDPI and/or the editor(s) disclaim responsibility for any injury to people or property resulting from any ideas, methods, instructions or products referred to in the content. |
© 2024 by the authors. Licensee MDPI, Basel, Switzerland. This article is an open access article distributed under the terms and conditions of the Creative Commons Attribution (CC BY) license (https://creativecommons.org/licenses/by/4.0/).







