Abstract
In this study, we prepared the SnO2/ZnFe2O4 (SZ) composite magnetic photocatalyst via a two-step hydrothermal method. Structural and performance analyses revealed that SZ-5 with a ZnFe2O4 mass ratio of 5% (SZ-5) exhibited optimal photocatalytic activity, achieving a 72.6% degradation rate of Rhodamine B (RhB) solution within 120 min. SZ-5 consisted of irregular nano blocks of SnO2 combined with spherical nanoparticles of ZnFe2O4, with a saturated magnetization intensity of 1.27 emu/g. Moreover, the specific surface area of SnO2 loaded with ZnFe2O4 increased, resulting in a decreased forbidden bandwidth and expanded light absorption range. The construction of a Z-type heterojunction structure between SnO2 and ZnFe2O4 facilitated the migration of photogenerated charges, reduced the recombination rate of electron-hole pairs, and enhanced electrical conductivity. During the photocatalytic reaction, RhB was degraded by·OH, O2−, and h+, in which O2− played a major role.
1. Introduction
Dye wastewater is a significant source of water pollution, containing a large amount of harmful macromolecular organic pollutants. These complex and chemically stable macromolecules are not easily degraded in water [1]. Currently, various methods have been attempted to treat dye wastewater, including biodegradation [2], chemical precipitation [3], and physical adsorption [4] et al. However, these methods often face challenges in achieving large-scale utilization in practical production due to issues such as high cost, high energy consumption, and secondary pollution [5]. In recent years, photocatalysis technology has been considered the most promising method for water pollution treatment due to its low energy consumption, simple preparation process, low cost, fast degradation rates, and the possibility of recycling [6,7,8].
Recently, the research topic of preparing effective and stable photocatalysts has gained attention. The tetragonal crystal structure of SnO2 is a stable wide-bandgap n-type semiconductor material [9], characterized by excellent photoelectric performance, high stability, corrosion resistance, no secondary pollution, and low cost [10,11,12]. It is widely used in photocatalytic materials [13], gas sensors [14], solar cells [15], electrode materials [16], etc. However, SnO2 has a large bandgap (approximately 3.6 eV), responding only to about 4% of ultraviolet light [17], resulting in low utilization of visible light, which, to some extent, inhibits the photocatalytic performance of SnO2. To address these issues, researchers have attempted to modify SnO2 materials using methods such as compositing and doping, including ZnO/SnO2 [18], Cu2O/SnO2 [19], SnO2/SnS2 [20], and Bi2O3/SnO2 [21]. However, SnO2 nanomaterials have small particle sizes and are not easily recoverable in practical applications, leading to potential waste and secondary pollution [22,23,24]. Therefore, how to achieve effective recovery and utilization of photocatalysts is one of the urgent issues to be solved in photocatalysis research.
ZnFe2O4 is a spinel-type n-type semiconductor material that has a narrow bandgap (1.9 eV) and excellent visible light absorption capability and possesses outstanding magnetic properties, making it attracted the attention of domestic and foreign researchers [25,26,27]. ZnFe2O4 can effectively absorb visible light and effectively compound with TiO2 [28], ZnO [29], Ag nanoparticles [30], and BiOCl [31] et al., which can achieve full coverage of ultraviolet and visible wavelengths. In recent years, the composite of tin oxide materials with magnetic substrates has also been widely studied. Said et al. [32] prepared SnO2-Fe3O4 nanocomposites through hydrothermal and co-precipitation methods, showing excellent photocatalytic performance with 50.76% degradation of Congo Red in 90 min. Li et al. [33] prepared MnFe2O4/SnO2 core-shell composite materials using a spray pyrolysis process, achieving a degradation rate of 98% for methyl orange, higher than pure SnO2. Studies have shown that it has good photocatalytic performance. The magnetized composite material is easy to recover and its activity remains almost unchanged after four reaction cycles. Therefore, combining ZnFe2O4 with SnO2 nanomaterials is feasible to improve photocatalytic performance and achieve green magnetic recovery.
In this paper, we synthesized the SnO2/ZnFe2O4 composite photocatalyst. The photocatalytic performance of these materials was evaluated by assessing their efficiency in degrading RhB solutions. The optimal sample was selected and its structural morphology, photoelectrochemical properties, and magnetic properties were characterized. Finally, the active substances were determined through capture experiments and the possible photocatalytic mechanism was analyzed, aiming to provide basic information for applying magnetic SnO2 photocatalysts.
2. Results and Discussion
2.1. Photocatalytic Performance
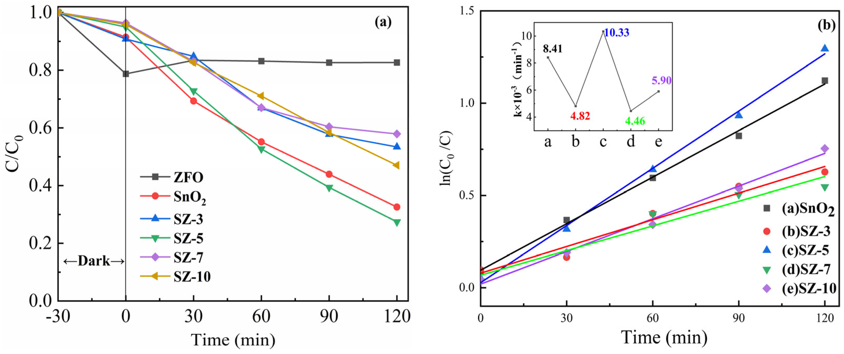
The photocatalysts SnO2 and ZnFe2O4 as well as a series of composite samples SnO2/ZnFe2O4 were prepared using a hydrothermal method, as illustrated in Figure 1. The specific details of the preparation method are shown in Section 3.1. Figure 2a displays the photocatalytic degradation curves of different ratios of SnO2/ZFO samples in Xe-lamp irradiation conditions for RhB solution. The absorption of RhB before the light was 8.6% and 21.3% for single samples SnO2 and ZnFe2O4 and 9.2%, 5.1%, 3.7%, and 4.2% for composite samples SZ-3, SZ-5, SZ-7, and SZ-10, respectively. The sample SZ-5 with a ZFO composite ratio of 5% exhibited the optimal photocatalytic degradation efficiency (72.6%), surpassing pure-phase SnO2 (67.4%) and other ratio composites. The TOC results displayed that the removal efficiency of SnO2, ZFO, and SZ-5 for RhB were 54.7%, 32.5%, and 63.1%, respectively, which demonstrated the organic or molecule removal of the RhB, further confirming that the SZ-5 has the better catalytic performance compared with single samples.
Figure 1.
Preparation process of ZnFe2O4 and SnO2/ZFO composite.
Figure 2.
(a) The degradation curve of RhB under different catalysts in the Xe-lamp irradiation conditions; (b) kinetic linear simulation curve.
This optimal performance is attributed to the efficient formation of a heterojunction, which enhances photocatalytic activity. In contrast, a lower ZFO load on SnO2 hinders the formation of an efficient heterojunction, thereby reducing photocatalytic efficiency [34]. Additionally, a higher ZFO mass ratio (10%) can introduce two significant adverse effects. Firstly, excessive ZFO can cover the active sites on the SnO2 surface, inhibiting the photoexcitation process [35]. Secondly, a higher ZFO mass ratio means a relatively lower mass of SnO2, which has stronger photocatalytic activity. This imbalance limits the generation of photogenerated carriers necessary for effective photocatalysis [35]. The efficiency of the pure ZFO sample was lower and the degradation efficiency of RhB was only 17.3% in 120 min. This is due to the narrow forbidden band of ZFO and the internal photogenerated electron-hole pairs are straightforward to compound; thus, the performance of monomer ZFO was not ideal [36]. It is worth mentioning that the photocatalytic degradation efficiency of the pure phase ZFO had a certain decrease after the completion of the dark reaction. This decrease might be attributed to the RhB adsorbed in the dark reaction stage being desorbed in the photocatalytic reaction stage, further proving that the photocatalytic degradation ability of the pure-phase ZFO sample was weak.
Figure 2b illustrates the first-order kinetics fitting curve. It can be observed that the sample SZ-5 had the highest reaction rate constant k (10.33 × 10−3 min−1). From the kinetic point of view, the SZ-5 sample was optimal and 5% was the best ratio for the SnO2/ZFO composite sample. Therefore, SZ-5 was selected for further investigations. In addition, Table 1 shows the degradation effects of a 5% ratio of photocatalyst SnO2/ZFO and different photocatalysts previously reported on RhB, from which it can be seen that the composite magnetic photocatalysts prepared in this study performed better than the previously reported photocatalysts.
Table 1.
Comparison of photocatalytic efficiency between SnO2/ZnFe2O4 and other reported SnO2-composited photocatalysts.
In addition, by conducting four cyclic degradation experiments on SZ-5 under the Xe-lamp irradiation conditions, the results are shown in Figure 3, which shows that the photodegradation effect of the composite photocatalysts after four runs did not change significantly and could still reach more than 67%, indicating that the SnO2/ZnFe2O4 composite magnetic photocatalysts have excellent stability and reusable value.
Figure 3.
The recycling experiment of the SZ-5 sample.
2.2. Structural Characterization
Figure 4 shows the X-ray diffraction (XRD) patterns of ZFO, SnO2, and SZ-5. The ZnFe2O4 sample exhibited diffraction peaks at (220), (311), (222), (400), (422), (511), (440), and (622) crystal planes with corresponding 2θ angles of 29.9°, 35.2°, 36.8°, 42.8°, 53.1°, 56.6°, 62.1°, and 74.4°, following the standard PDF card (JCPDS NO.79-1150) [40,41]. The SnO2 sample showed diffraction peaks at 2θ angles of 26.6°, 33.9°, 37.9°, 51.8°, 54.7°, 57.8°, and 65.9° corresponding to (110), (101), (200), (211), (002), and (301) crystal planes, consistent with the standard PDF card (JCPDS NO.99-0024) [42,43]. The composite SZ-5 exhibited diffraction peaks corresponding to SnO2 and ZFO, with peak positions matching those of pure-phase SnO2 and ZFO. This confirmed the successful incorporation of ZFO into the composite photocatalyst without significantly altering the crystal structure of SnO2.
Figure 4.
XRD patterns of SnO2, ZFO, and SZ-5.
Figure 5 depicts the SEM images of SnO2, ZFO, and SZ-5 samples. It can be observed that the individual nano blocks of SnO2 were formed by densely packed particles of varying sizes and thicknesses. ZFO consists of uniformly distributed spherical particles. In the composite sample, dense spherical ZFO particles adhere to the irregular nano blocks of SnO2, contributing to form a rougher surface of the SnO2 nano block aggregates. This confirmed the successful incorporation of ZFO into SnO2.
Figure 5.
SEM images and of SnO2, ZFO, and SZ-5.
EDS characterization obtained the chemical composition of the SZ-5 sample and the results are shown in Figure 6 and Table 2. The results show that the SZ-5 sample consisted of four elements: O, Fe, Zn, and Sn. These elements were uniformly distributed in the sample, with atomic percentages of approximately 74.7%, 1.3%, 0.9%, and 23.2%, respectively. The results indicated that the experimentally obtained SZ-5 samples have high purity and are consistent with the above XRD characterization results.
Figure 6.
(a) EDS spectrum of SZ-5 and (b–e) EDS elemental mapping of O, Fe, Zn, and Sn.
Table 2.
EDS results of the SZ-5.
The XPS survey spectrum of the SZ-5 sample is illustrated in Figure 7. According to the XPS survey spectrum (Figure 7a), the elements include Sn, O, Zn, and Fe. The spectra were corrected with a Shirley background and the peaks were fitted using a Gauss–Lorentz shape. Two distinctive peaks, Sn 3d5/2 and Sn 3d3/2, emerge in Figure 7b at 486 eV and 495 eV, respectively. The spin-orbit splitting between the two characteristic peaks was caused by the binding energy of Sn4+ [44], which was about 8.4 eV. This suggests that elemental Sn was present in the sample as Sn4+. The high-resolution energy spectrum of O 1s can be seen in Figure 7c. The shape of the spectrum is not completely symmetrical, indicating two chemotactic states present in it, where the distinctive peak at 530.1 eV was linked with Sn-O in SnO2. The peak located at 531.4 eV can be attributed to the hydroxyl group adsorbed on the surface of the sample [45]. In the Zn 2p XPS spectrum of Figure 7d, the characteristic peak corresponding to Zn 2p1/2 appeared at 1044 eV, indicating the presence of Zn2+ in the sample [46], which proved that ZFO was successfully composited with SnO2. The photoelectron spectrum of Fe 2p is shown in Figure 7e and it can be seen that the fitted curve agrees well with the experimental results and the peak located at 716 eV is the satellite peak of Fe 2p3/2, proving the presence of Fe3+ in the sample, which is consistent with reports in the literature [47].
Figure 7.
X-ray photoelectron spectra of SZ-5 (a) survey spectra; (b) Sn 3d region; (c) O 1s region (orange) and OH (violet), Sn-O (blue); (d) Zn 2p region; and (e) Fe 2p region (orange represents the fitted curve and green represents the baseline in the all XPS peak-splitting spectrum).
Both isotherms exhibited Type IV characteristics, indicating that SnO2 and SnO2/ZFO were mesoporous materials (in Figure 8). The calculated most probable pore sizes for SnO2 and SnO2/ZFO were approximately 3.13 nm and 3.46 nm, respectively. BET model calculations revealed that the composite of ZFO increased the specific surface area of SnO2 from 112.6 m2/g for pure-phase SnO2 to 144.7 m2/g for the SnO2/ZFO composite. The increased surface area facilitated the exposure of active sites during the photocatalytic reaction, promoting redox reactions and enhancing the efficiency of photocatalytic degradation. In addition, the SZ-5 composite’s total pore volume (0.075 cm3/g) was greater than that of SnO2 in the pure phase (0.152 cm3/g). Furthermore, in comparison to pure-phase SnO2, the average adsorption pore size of SZ-5 increased from 2.67 Å to 4.2 Å. The porous structure ensured sufficient pathways for the transfer of photogenerated electron-hole pairs and the increased average adsorption pore size contributed to the progress of the photocatalytic reaction, ultimately improving the photocatalytic performance of the SnO2/ZFO composite catalyst.
Figure 8.
N2 adsorption–desorption isotherm of the sample.
2.3. Photoelectronic Property Characterization
The UV–Vis DRS of SnO2, SZ-5, and ZFO samples are depicted in Figure 8. In Figure 9a, the absorption edge wavelength of the SZ-5 sample was 362.9 nm, indicating a redshift compared to the absorption edge wavelength of pure-phase SnO2 (348.8 nm). This suggested that the introduction of ZFO particles successfully extended the light absorption range of the sample into the visible region, enhancing its utilization of sunlight. Utilizing the Tauc plot (Figure 9b) and the formula for calculating the bandgap width , the calculated bandgap widths (Eg) for ZFO, SnO2, and SZ-5 were found to be 2.19, 3.93, and 3.84 eV, respectively. This indicated that the addition of ZFO made the sample more easily excited under the same external conditions, leading to the generation of photogenerated electron-hole pairs and facilitating the progress of photocatalytic reactions.
Figure 9.
(a) UV–vis DRS spectra and (b) corresponding band gap.
Figure 10a displays the photoluminescence (PL) spectra of SnO2 and SZ-5 samples. The PL curves for the composite ZFO before and after the addition of ZFO were similar, showing a prominent fluorescence emission peak in the range of 450 nm–500 nm. This indicated that the addition of ZFO did not significantly alter the fluorescence peak position of SnO2. However, the peak intensity of the fluorescence emission in SZ-5 was significantly reduced compared to pure-phase SnO2, indicating that SZ-5 had a reduced rate of photogenerated carrier recombination. As demonstrated by the results of photocatalytic degradation performance tests, the synergistic impact of ZFO and SnO2 decreased the recombination rate of photogenerated electrons and holes, resulting in better photocatalytic performance in SZ-5.
Figure 10.
(a) PL spectra, (b) TPR, and (c) EIS of SnO2 and SZ-5 samples.
Figure 10b demonstrates the transient photocurrent response (TPR) curve of SnO2 and SZ-5 samples. The test process was five photocurrent response cycles and each cycle lasted for 20 s. It can be obtained that the photocurrent response trends of SnO2 and SZ-5 samples showed a consistent state under the condition of keeping the same simulated light intensity and the same light switching frequency. Comparing the photocurrent response densities of SnO2 and SZ-5 samples, it was easy to find that the photocurrent density of the SZ-5 complex electrode loaded with ZFO particles was significantly larger than that of the single-sample electrode, which showed better photoelectric performance. It is proved that the heterojunction structure constructed between SnO2 and ZFO promoted the separation of photogenerated electron-hole pairs, enhanced the photoelectron migration rate of the samples, and reduced the energy loss of the system, which is also consistent with the PL characterization results.
The results of the electrochemical impedance spectroscopy (EIS) characterization for SnO2 and SZ-5 samples are illustrated in Figure 10c. Compared with pure-phase SnO2, the curvature radius of the SZ-5 composite was smaller, suggesting superior conductivity and faster charge transfer rates for the SZ-5 composite [48]. This was advantageous for the separation and migration of photogenerated charge carriers in photocatalysis and promoting the progress of photocatalytic reactions.
2.4. Magnetic Property Analysis
Figure 11 displays the hysteresis loops of ZFO and SZ-5 samples. The hysteresis loop of pure-phase ZFO exhibited an S-shaped curve passing through the origin, characterized by a typical superparamagnetic soft magnetic material, with a saturation magnetization of 38.3 emu/g [49]. The hysteresis loop of the SZ-5 sample followed a similar trend to pure-phase ZFO, with a saturation magnetization of 1.27 emu/g. Despite the lower saturation magnetization, the magnetic properties of SZ-5 were sufficient to enable the magnetic separation and recovery of the photocatalyst in aqueous solutions. The significant magnetic responsiveness of SZ-5 (right) compared to the single sample of SnO2 (left) intuitively revealed the excellent recyclability of the SZ-5 composite samples.
Figure 11.
The magnetic hysteresis loops of ZFO and SZ-5 samples.
2.5. Photocatalytic Mechanism
As shown in Figure 12, isopropanol (IPA) was used to capture hydroxyl radical (-OH) [50], triethanolamine (TEOA) to capture hole (h+) [51], and benzoquinone (BQ) to capture superoxide radical (·O2−) [52] and the importance of the participation of each reactive group in the reaction was analyzed by the magnitude of the decrease in the photocatalytic degradation efficiency of the samples after the addition of the trapping agent [53]. SZ-5 degraded 72.6% of RhB without adding any capture agent in 120 min. After the addition of BQ, the photodegradation efficiency of SZ-5 appeared to be significantly reduced and the degradation rate was only 26.4% after 120 min, which was a decrease of 46.2% compared with that without the addition of the capture agent, indicating that superoxide radicals participated significantly in the reaction of photocatalytic degradation. With the addition of IPA and TEOA, the degradation rates were 45.1% and 40.2% after 120 min, respectively. The results indicated that hydroxyl radicals and holes also assumed important roles. In conclusion, all three active substances were involved in the photodegradation of the RhB solution by the SZ-5 composite photocatalyst but the superoxide radical acted as the most dominant active substance.
Figure 12.
Degradation curve of the SZ-5 sample in the free radical capture experiment.
The calculations reveal that the valence band potential (EVB) and conduction band potential (ECB) of SnO2 are 3.71 eV and −0.22 eV, respectively. Simultaneously, the EVB and ECB of ZnFe2O4 are 0.98 eV and −1.21 eV, respectively. This indicates that SnO2 and ZFO exhibit a staggered band structure, following the Z-scheme heterojunction mechanism [54].
If the heterojunction formed between the two is a type-II structure, the electrons on the CB of ZnFe2O4 will be transferred to the CB of SnO2, while the holes on the VB of SnO2 will divert to the VB of ZnFe2O4. Contrary to the conclusion that hydroxyl radicals were involved in the degradation reaction in the capture tests, ZnFe2O4’s VB potential energy of 0.98 eV was weaker than that of OH−/·OH (2.38 eV vs. NHE) and could not produce hydroxyl radicals [55]. Because of this, the heterojunction structure between SnO2 and ZnFe2O4 follows the Z-type heterojunction mechanism rather than the traditional type-II type.
The photocatalytic degradation mechanism model of the SZ-5 composite can be represented in Figure 13. The electrons transfer from the CB of SnO2 to the VB of ZnFe2O4 combined with holes in the valence band of ZnFe2O4, which led to the concentration of photogenerated electrons in the conduction band of ZnFe2O4. Due to the more negative CB potential of ZnFe2O4 (−1.21 eV) compared to the reduction potential of O2/·O2− (−0.046 eV vs. NHE) [56,57], electrons on the ZnFe2O4 CB reduce the adsorbed oxygen on the material surface to form. At the same time, h+ was aggregated on the VB of tin dioxide. Because its VB was higher than OH−/OH (2.38 eV), h+ reacted with hydroxide ions to form ·OH [58]. Unreacted h+ does not participate in the reaction with hydroxide ions and can also directly react with RhB, leading to its degradation. In the formed Z-scheme heterojunction, the photo-generated electrons on the ZnFe2O4 conduction band and holes on the SnO2 VB are separated, increasing the difficulty of recombination.
Figure 13.
Mechanism diagram of the photocatalytic reaction of the SnO2/ZFO complex.
3. Materials and Methods
3.1. Sample Preparation
All the reagents used were analytically pure. The preparation process is shown in Figure 1. The preparation of ZnFe2O4 (ZFO) involved 0.6585 g of zinc acetate and 2.424 g of ferric nitrate was dissolved in 75 mL of ethylene glycol, and sodium acetate was added slowly under magnetic stirring. The pH was adjusted to 6.25 to obtain a reddish-brown suspension. After stirring for 30 min, the suspension was transferred to a 100 mL PTFE-lined reaction vessel and reacted at 220 °C for 12 h. After the reaction vessel was cooled to room temperature, the sample was washed with distilled water and anhydrous ethanol until it was neutral and then dried at 80 °C for 24 h to give a brownish-black ZnFe2O4.
The preparation of SnO2/ZnFe2O4 entailed dissolving 1.2271 g of tin tetrachloride in 25 mL of distilled water. Different masses of ZnFe2O4 were added to the distilled water according to the mass ratio of ZnFe2O4 to SnO2 of 3–10:100. After mechanical stirring for 30 min, the pH value of the solution was adjusted to 11.0 by adding 2 mol/L NaOH solution dropwise and then 35 mL of anhydrous ethanol was added after stirring for another 30 min to obtain the precursor solution of SnO2/ZnFe2O4. After stirring the precursor solution for 4 h, it was transferred to a 100 mL PTFE-lined reaction vessel and reacted at 200 °C for 24 h. The reaction vessel was cooled to room temperature after the hydrothermal treatment and the resulting product was washed by suction filtration with distilled water and anhydrous ethanol. The products were dried at 80 °C for 24 h and then ground in a mortar to obtain SnO2/ZnFe2O4 composite magnetic photocatalysts. The samples obtained were named SZ-3, SZ-5, SZ-7, and SZ-10, representing 3%, 5%, 7%, and 10% ZFO composite ratios, respectively. The preparation process for SnO2 was the same as the above method, except for the addition of ZnFe2O4.
3.2. Structural Characterization
The sample’s phase structure was characterized using the D8 X-ray diffractometer (XRD) (Bruker, Berlin, German). The XRD analysis employed Cu Kα radiation with a voltage of 40 kV and a current of 40 mA. The diffraction patterns were recorded over a 2θ range from 5° to 90°. The microscopic morphology and energy-dispersive spectrum (EDS) of the samples were analyzed using the S4800 scanning electron microscope (SEM) (Hitachi, Tokyo, Japan) and the test materials were treated with gold spray and employed in the high vacuum mode. The ESCALAB250Xi X-ray photoelectron spectrometer (XPS) (Thermo Fisher Scientific, Norristown, PA, USA) was employed to analyze the types of elements and their oxidation states. XPS detection uses Al Kα rays as an excitation light source and the spot size is set to 500 μm. The Quadrasorb 2MP fully automatic multi-station surface area and pore size analyzer was used to test the adsorption–desorption curves of semiconductor materials for N2 at relative pressures. The isothermal adsorption and desorption curves of the material were measured at −195 °C under liquid nitrogen. The magnetic properties of the materials were assessed using the 7404-VSM vibrating sample magnetometer (Lake Shore, Woburn, MA, USA) at room temperature 25 °C and humidity 40%. The surface photogenerated carriers (photoelectrons–hole pairs) of the samples were characterized through photoluminescence spectroscopy (fls980); the excitation wavelength is 300 nm and the wavelength scanning range is 300~600 nm, respectively. The UV–visible diffuse reflectance spectra (UV–VIS DRS) of the samples were analyzed using the TU-1901 UV–visible spectrophotometer (Beijing Purkinje General Instrument Co., Ltd., Beijing, China), setting the scanning interval as 200~800 nm and the scanning rate as 200 nm/min. The materials were subjected to electrochemical impedance spectroscopy (EIS) testing using the CHI1660E electrochemical workstation (Chenhua, Shanghai, China). The test was performed at a frequency of 10−2~105 HZ and an amplitude of 5 mV.
3.3. Photocatalytic Activity Test
In total, 100 mg of the sample was added to a 100 mL solution of RhB (as a test compound) with a concentration of 5 mg/L. After mechanically stirring in the dark for 30 min, the xenon lamp light source (power 300 W) was turned on, maintaining the stirring speed the same as in the dark experiment. Every 30 min, 3 mL of the combined solution was collected and centrifuged for 5 min at 4000 rpm and its absorbance was determined with a UV–visible spectrophotometer. The photocatalytic degradation rate was calculated after converting the absorbance to the RhB solution concentration. To investigate the mechanism of photocatalysis, a free radical trapping experiment was conducted using specific scavengers to capture different reactive species. In this experiment, 0.1 mM isopropanol (IPA), 0.1 mM TEOA, and 0.01 mM benzoquinone were employed to capture -OH, hole (h+), and O2−, respectively.
4. Conclusions
In this work, a hydrothermal method successfully prepared a SnO2/ZnFe2O4 composite magnetic photocatalyst with reliable recoverability and stability. The optimal photocatalytic degradation efficiency was achieved when the ZnFe2O4 (ZFO) composite ratio was 5%, resulting in the SZ-5 composite. After simulating solar light irradiation for 120 min, the degradation efficiency of RhB was 72.6%, surpassing SnO2 (67.4%). The specific surface area (144.7 m2/g) was significantly increased compared to pure-phase SnO2 (112.6 m2/g), providing more abundant reaction sites for photocatalytic reactions. The photocurrent performance test results showed that the absorption edge wavelength of the SZ-5 composite was extended to visible light compared with that of the pure phase tin dioxide and the Z-type heterojunction structure formed between the complexes increased the mobility of photogenerated electron-hole pairs, which led to the improvement in photocatalytic performance. During the photocatalytic reaction, three active substances, ·OH, ·O2−, and h+, were involved in the degradation of RhB, among which ·O2− played a major role. The magnetic performance test showed that SZ-5 had a remarkable magnetic recycling ability (the saturation magnetization intensity was 1.27 emu/g).
Author Contributions
Y.H. (Yu Hao): Writing—Review and Editing, Writing—Original Draft, Visualization, Software, Methodology, Data Curation, and Conceptualization. Y.X.: Visualization and Writing—Review and Editing. X.L.: Visualization and Data curation. J.M.: Visualization and Data Curation. Y.L.: Visualization and Data Curation. Z.C.: Visualization and Data Curation. D.L.: Data Curation. L.L.: Software, Methodology, and Data Curation. Q.F.: Writing—Review and Editing, Supervision, and Resources. L.X.: Writing—Review and Editing, Supervision, and Resources. Y.H. (Yongkui Huang): Writing—Review and Editing, Supervision, and Project administration. All authors have read and agreed to the published version of the manuscript.
Funding
We are grateful for the financial support from the scientific research project of Chongqing Engineering Vocational College (grant number KJB202323), the Chongqing Natural Science Foundation General Project (grant number cstc2021jcyj-msxmX1083), the Science and Technology Research Project of Chongqing Education Commission (grant number KJQN202103408), the National Natural Science Foundation of China (No. 52174157), the Natural Science Foundation of Xinjiang Uygur Autonomous Region (2022D01B76), the Research Foundation of China University of Petroleum-Beijing at Karamay (No. XQZX20210006), the Open Research Grant of Joint National-Local Engineering Research Centre for Safe and Precise Coal Mining (No. EC2022016), and the Special project for performance incentive and guidance of Chongqing institutions (grant number cstc2021jxjl20024).
Data Availability Statement
Data will be made available on request.
Conflicts of Interest
Author Lin Li was employed by the company Science & Technology Branch of Chongqing Yuanda Air Pollution Control Franchise Co., Ltd. The remaining authors declare that the research was conducted in the absence of any commercial or financial relationships that could be construed as a potential conflict of interest.
References
- Li, Z.; Meng, X.; Zhang, Z. Equilibrium and kinetic modelling of adsorption of Rhodamine B on MoS2. Mater. Res. Bull. 2019, 111, 238–244. [Google Scholar] [CrossRef]
- Liang, B.; Yao, Q.; Cheng, H.; Gao, S.; Kong, F.; Cui, D.; Guo, Y.; Ren, N.; Lee, D.J.; Wang, A. Enhanced degradation of azo dye alizarin yellow R in a combined process of iron-carbon microelectrolysis and aerobic bio-contact oxidation. Environ. Sci. Pollut. Res. Int. 2012, 19, 1385–1391. [Google Scholar] [CrossRef] [PubMed]
- Kleineidam, S.; Schüth, C.; Grathwohl, P. Solubility-normalized combined adsorption-partitioning sorption isotherms for organic pollutants. Environ. Sci. Technol. 2002, 36, 4689–4697. [Google Scholar] [CrossRef] [PubMed]
- Sun, J.; Li, X.; Quan, Y.; Yin, Y.; Zheng, S. Effect of long-term organic removal on ion exchange properties and performance during sewage tertiary treatment by conventional anion exchange resins. Chemosphere 2015, 136, 181–189. [Google Scholar] [CrossRef] [PubMed]
- Saiyad, M.; Shah, N.; Joshipura, M.; Dwivedi, A.; Pillai, S. Modified biopolymers in wastewater treatment: A review. Mater. Today Proc. 2024, in press. [Google Scholar] [CrossRef]
- Hong, W.; Li, C.; Tang, T.; Xu, H.; Yu, Y.; Liu, G.; Wang, F.; Lei, C.; Zhu, H. The photocatalytic activity of the SnO2/TiO2/PVDF composite membrane in rhodamine B degradation. New J. Chem. 2021, 45, 2631–2642. [Google Scholar] [CrossRef]
- Ravelli, D.; Dondi, D.; Fagnoni, M.; Albini, A. Photocatalysis. A multi-faceted concept for green chemistry. Chem. Soc. Rev. 2009, 38, 1999–2011. [Google Scholar] [CrossRef] [PubMed]
- Feng, Q.; Zhang, Q.; Meng, L.; Liu, C.; Gong, S.; Zhang, R.; Ma, J.; Xu, L. A novel magnetic photocatalyst BiOBr/BiOCl/MnxZn1−xFe2O4: Highly photocatalytic activity and excellent stability. J. Sol-Gel Sci. Technol. 2023, 108, 490–501. [Google Scholar] [CrossRef]
- Xue, J.; Liu, K.; Liu, B.; Dai, B.; Yang, L.; Han, J.; Zhu, J. Modulation of carrier transport in bipolar response BDD/SnO2 p+-n heterojunction UV photodetectors. Appl. Surf. Sci. 2023, 640, 158246. [Google Scholar] [CrossRef]
- Paek, S.-M.; Yoo, E.; Honma, I. Enhanced Cyclic Performance and Lithium Storage Capacity of SnO2/Graphene Nanoporous Electrodes with Three-Dimensionally Delaminated Flexible Structure. Nano Lett. 2009, 9, 72–75. [Google Scholar] [CrossRef]
- Jiang, Z.; Xiao, C.; Yin, X.; Xu, L.; Liu, C.; Wang, H. Facile preparation of a novel Bi24O31Br10/nano-ZnO composite photocatalyst with enhanced visible light photocatalytic ability. Ceram. Int. 2020, 46, 10771–10778. [Google Scholar] [CrossRef]
- Maruthupandy, M.; Muneeswaran, T.; Chackaravarthi, G.; Vennila, T.; Anand, M.; Cho, W.-S.; Quero, F. Synthesis of chitosan/SnO2 nanocomposites by chemical precipitation for enhanced visible light photocatalytic degradation efficiency of congo red and rhodamine-B dye molecules. J. Photochem. Photobiol. A Chem. 2022, 430, 113972. [Google Scholar] [CrossRef]
- Wang, S.; Li, G.; Leng, Z.; Wang, Y.; Fang, S.; Wang, J.; Wei, Y.; Li, L. Systematic optimization of promoters in trace SnS2 coating SnO2 nano-heterostructure for high performance Cr(VI) photoreduction. Appl. Surf. Sci. 2019, 471, 813–821. [Google Scholar] [CrossRef]
- Law, M.; Kind, H.; Messer, B.; Kim, F.; Yang, P.D. Photochemical sensing of NO2 with SnO2 nanoribbon nanosensors at room temperature. Angew. Chem. Int. Ed. 2002, 41, 2405–2408. [Google Scholar] [CrossRef]
- Hossain, M.A.; Jennings, J.R.; Koh, Z.Y.; Wang, Q. Carrier Generation and Collection in CdS/CdSe-Sensitized SnO2 Solar Cells Exhibiting Unprecedented Photocurrent Densities. ACS Nano 2011, 5, 3172–3181. [Google Scholar] [CrossRef] [PubMed]
- Goebbert, C.; Aegerter, M.A.; Burgard, D.; Nass, R.; Schmidt, H. Ultrafiltration conducting membranes and coatings from redispersable, nanoscaled, crystalline SnO2:Sb particles. J. Mater. Chem. 1999, 9, 253–258. [Google Scholar] [CrossRef]
- Ahmed, S.; Rasul, M.G.; Martens, W.N.; Brown, R.; Hashib, M.A. Advances in Heterogeneous Photocatalytic Degradation of Phenols and Dyes in Wastewater: A Review. Water Air Soil Pollut. 2011, 215, 3–29. [Google Scholar] [CrossRef]
- Sayadi, M.H.; Ghollasimood, S.; Ahmadpour, N.; Homaeigohar, S. Biosynthesis of the ZnO/SnO2 nanoparticles and characterization of their photocatalytic potential for removal of organic water pollutants. J. Photochem. Photobiol. A-Chem. 2022, 425, 113662. [Google Scholar] [CrossRef]
- Etacheri, V.; Di Valentin, C.; Schneider, J.; Bahnemann, D.; Pillai, S.C. Visible-light activation of TiO2 photocatalysts: Advances in theory and experiments. J. Photochem. Photobiol. C-Photochem. Rev. 2015, 25, 1–29. [Google Scholar] [CrossRef]
- Wu, W.; Jiang, C.; Roy, V.A.L. Recent progress in magnetic iron oxide-semiconductor composite nanomaterials as promising photocatalysts. Nanoscale 2015, 7, 38–58. [Google Scholar] [CrossRef]
- Chu, L.; Zhang, J.; Wu, Z.; Wang, C.; Sun, Y.; Dong, S.; Sun, J. Solar-driven photocatalytic removal of organic pollutants over direct Z-scheme coral-branch shape Bi2O3/SnO2 composites. Mater. Charact. 2020, 159, 110036. [Google Scholar] [CrossRef]
- Zhang, Q.; Yang, Z.; Zhang, R.; Hao, Y.; Xu, L.; Liu, C. A novel recyclable BiOCl/BiOI/MnxZn1-xFe2O4 photocatalyst with enhanced Rhodamine B removal under visible light. J. Phys. Chem. Solids 2022, 170, 110892. [Google Scholar] [CrossRef]
- Ma, C.M.; Hong, G.B.; Wang, Y.K. Performance Evaluation and Optimization of Dyes Removal using Rice Bran-Based Magnetic Composite Adsorbent. Materials 2020, 13, 2764. [Google Scholar] [CrossRef]
- Kang, Z.; Liu, X.; Tan, W.; Wang, J.; Zhang, R.; Feng, Q.; Xu, L. Facile construction novel SnO2/NiFe2O4 Z-scheme heterojunctions with largely enhanced photocatalytic activities. J. Sol-Gel Sci. Technol. 2023, 109, 449–460. [Google Scholar] [CrossRef]
- Sonu; Sharma, S.; Dutta, V.; Raizada, P.; Hosseini-Bandegharaei, A.; Thakur, V.; Nguyen, V.-H.; VanLe, Q.; Singh, P. An overview of heterojunctioned ZnFe2O4 photocatalyst for enhanced oxidative water purification. J. Environ. Chem. Eng. 2021, 9, 105812. [Google Scholar] [CrossRef]
- Ren, X.; Chen, R.; Ding, S.; Fu, N. Preparation and photocatalytic performance of a magnetically recyclable ZnFe2O4@TiO2@Ag2O p-n/Z-type tandem heterojunction photocatalyst: Degradation pathway and mechanism. Colloids Surf. A Physicochem. Eng. Asp. 2023, 658, 130604. [Google Scholar] [CrossRef]
- Gao, F.; Guo, X.; Cui, H.; Wang, J.; Liu, J.; Wu, Y.; Wan, L.; Zhang, C.; Xu, G. Preparation of magnetic ZnFe2O4 nanosphere photocatalyst for high concentration ammonia nitrogen wastewater treatment. J. Environ. Chem. Eng. 2023, 11, 110894. [Google Scholar] [CrossRef]
- Chen, R.; Ding, S.; Wang, B.; Ren, X. Preparation of ZnFe2O4@TiO2 Novel Core-Shell Photocatalyst by Ultrasonic Method and Its Photocatalytic Degradation Activity. Coatings 2022, 12, 1407. [Google Scholar] [CrossRef]
- Zhang, J.; Kuang, M.; Cao, Y.; Ji, Z. Environment-friendly ternary ZnO/ZnFe2O4/TiO2 composite photocatalyst with synergistic enhanced photocatalytic activity under visible-light irradiation. Solid State Sci. 2022, 129, 106913. [Google Scholar] [CrossRef]
- Huerta-Aguilar, C.A.; Diaz-Puerto, Z.J.; Tecuapa-Flores, E.D.; Thangarasu, P. Crystal Plane Impact of ZnFe2O4-Ag Nanoparticles Influencing Photocatalytical and Antibacterial Properties: Experimental and Theoretical Studies. ACS Omega 2022, 7, 33985–34001. [Google Scholar] [CrossRef]
- Alzahrani, F.M.A.; Anwar, M.; Farooq, A.; Alrowaili, Z.A.; Al-Buriahi, M.S.; Warsi, M.F. A new BiOCl–ZnFe2O4/CNTs ternary composite for remarkable photocatalytic degradation studies of a herbicide and a diazo dye. Opt. Mater. 2024, 148, 114876. [Google Scholar] [CrossRef]
- Said, M.; Rizki, W.T.; Asri, W.R.; Desnelli, D.; Rachmat, A.; Hariani, P.L. SnO2-Fe3O4 nanocomposites for the photodegradation of the Congo red dye. Heliyon 2022, 8, e09204. [Google Scholar] [CrossRef] [PubMed]
- Li, Y.; Li, L.; Hu, J.; Yan, L. A spray pyrolysis synthesis of MnFe2O4/SnO2 yolk/shell composites for magnetically recyclable photocatalyst. Mater. Lett. 2017, 199, 135–138. [Google Scholar] [CrossRef]
- Liu, X.Y.; Shu, J.H.; Wang, H.Y.; Jiang, Z.; Xu, L.J.; Liu, C.L. One-pot preparation of a novel CoWO4ZnWO4 p-n heterojunction photocatalyst for enhanced photocatalytic activity under visible light irradiation. J. Phys. Chem. Solids 2023, 172, 8. [Google Scholar] [CrossRef]
- Jiang, Z.; Hao, Y.; Wu, T.Z.; Xu, L.J.; Liu, C.L.; Liu, X.Y. Carbon-coated MnxZn1-x Fe2O4 as a magnetic substrate for Zn0.8 Cd0.2S applied in photocatalytic rhodamine B. Opt. Mater. 2021, 112, 9. [Google Scholar] [CrossRef]
- Soltani, N.; Tavakkoli, N.; Eslami, E.; Mirmohammadi, L.S. Electrochemical measurement of naproxen in the presence of diclofenac and ascorbic acid using Gr/ZnFe2O4/CPE. Diam. Relat. Mater. 2024, 141, 110569. [Google Scholar] [CrossRef]
- Davis, M.; Hung-Low, F.; Hikal, W.; Hope-Weeks, L. Enhanced photocatalytic performance of Fe-doped SnO2 nanoarchitectures under UV irradiation: Synthesis and activity. J. Mater. Sci. 2013, 48, 6404–6409. [Google Scholar] [CrossRef]
- Huang, M.; Li, J.; Huang, Y.; Zhou, X.; Qin, Z.; Tong, Z.; Fan, M.; Li, B.; Dong, L. Construction of g-C3N4 based heterojunction photocatalyst by coupling TiO2-SnO2 solid solution for efficient multipurpose photocatalysis. J. Alloys Compd. 2021, 864, 158132. [Google Scholar] [CrossRef]
- Pascariu, P.; Airinei, A.; Olaru, N.; Olaru, L.; Nica, V. Photocatalytic degradation of Rhodamine B dye using ZnO–SnO2 electrospun ceramic nanofibers. Ceram. Int. 2016, 42, 6775–6781. [Google Scholar] [CrossRef]
- Lys, A.; Zabolotnii, V.; Čaplovičová, M.; Tepliakova, I.; Berzins, A.; Sahul, M.; Čaplovič, Ľ.; Pogrebnjak, A.; Iatsunskyi, I.; Viter, R. Core-shell nanofibers of ZnFe2O4/ZnO for enhanced visible-light photoelectrochemical performance. J. Alloys Compd. 2024, 984, 173885. [Google Scholar] [CrossRef]
- Ravichandran, D.; Abdullah, M.M.S.; Vasanthakumar, V.; Ranjith, R.; Suganya, S.; Meena, R.; Murugesan, S. Ulva lactuca L. extract bio-templated fabrication of CuO/ZnFe2O4 nanocomposites for photodegradation organic dye pollutants and in vitro biological activities. Colloids Surf. A Physicochem. Eng. Asp. 2024, 689, 133701. [Google Scholar]
- Luque, P.A.; Garrafa-Gálvez, H.E.; Nava, O.; Olivas, A.; Martínez-Rosas, M.E.; Vilchis-Nestor, A.R.; Villegas-Fuentes, A.; Chinchillas-Chinchillas, M.J. Efficient sunlight and UV photocatalytic degradation of Methyl Orange, Methylene Blue and Rhodamine B, using Citrus×paradisi synthesized SnO2 semiconductor nanoparticles. Ceram. Int. 2021, 47, 23861–23874. [Google Scholar] [CrossRef]
- Sreekanth, T.V.M.; Prasad, K.; Yoo, J.; Kim, J.; Yoo, K. CuO-SnO2 nanocomposites: Efficient and cost-effective electrocatalysts for urea oxidation. Mater. Lett. 2023, 353, 135243. [Google Scholar] [CrossRef]
- Babu, B.; Koutavarapu, R.; Shim, J.; Yoo, K. SnO2 quantum dots decorated NiFe2O4 nanoplates: 0D/2D heterojunction for enhanced visible-light-driven photocatalysis. Mater. Sci. Semicond. Process. 2020, 107, 104834. [Google Scholar] [CrossRef]
- Uddin, M.T.; Nicolas, Y.; Olivier, C.; Toupance, T.; Servant, L.; Mueller, M.M.; Kleebe, H.-J.; Ziegler, J.; Jaegermann, W. Nanostructured SnO2-ZnO Heterojunction Photocatalysts Showing Enhanced Photocatalytic Activity for the Degradation of Organic Dyes. Inorg. Chem. 2012, 51, 7764–7773. [Google Scholar] [CrossRef] [PubMed]
- Fan, G.; Gu, Z.; Yang, L.; Li, F. Nanocrystalline zinc ferrite photocatalysts formed using the colloid mill and hydrothermal technique. Chem. Eng. J. 2009, 155, 534–541. [Google Scholar] [CrossRef]
- Lv, H.; Ma, L.; Zeng, P.; Ke, D.; Peng, T. Synthesis of floriated ZnFe2O4 with porous nanorod structures and its photocatalytic hydrogen production under visible light. J. Mater. Chem. 2010, 20, 3665–3672. [Google Scholar] [CrossRef]
- Yang, Z.; Chen, Y.; Xu, L.; Liu, C.; Jiang, Z. A novel Z-scheme Bi4O5I2/NiFe2O4 heterojunction photocatalyst with reliable recyclability for Rhodamine B degradation. Adv. Powder Technol. 2021, 32, 4522–4532. [Google Scholar] [CrossRef]
- Wei, Y.; Zhu, Q.; Xie, W.; Wang, X.; Li, S.; Chen, Z. Biocatalytic enhancement of laccase immobilized on ZnFe2O4 nanoparticles and its application for degradation of textile dyes. Chin. J. Chem. Eng. 2024, 68, 216–223. [Google Scholar] [CrossRef]
- Zheng, X.; Yuan, J.; Shen, J.; Liang, J.; Che, J.; Tang, B.; He, G.; Chen, H. A carnation-like rGO/Bi2O2CO3/BiOCl composite: Efficient photocatalyst for the degradation of ciprofloxacin. J. Mater. Sci. Mater. Electron. 2019, 30, 5986–5994. [Google Scholar] [CrossRef]
- Jones, W.; Martin, D.J.; Caravaca, A.; Beale, A.M.; Bowker, M.; Maschmeyer, T.; Hartley, G.; Masters, A. A comparison of photocatalytic reforming reactions of methanol and triethanolamine with Pd supported on titania and graphitic carbon nitride. Appl. Catal. B Environ. 2019, 240, 373–379. [Google Scholar] [CrossRef]
- Zhang, X.; Sun, R.; Sun, S.; Ren, F.; Chen, X.; Wu, L.; Xing, R. Metal-Free Organic Optoelectronic Molecule as a Highly Efficient Photocatalyst for the Degradation of Organic Pollutants. ACS Omega 2019, 4, 6068–6076. [Google Scholar] [CrossRef] [PubMed]
- Zhang, R.; Liu, X.; Hao, Y.; Su, H.; Jiang, Z.; Xu, L.; Liu, C. A novel magnetic photocatalyst SnO2/SrFe12O19 applied in degradation for Rhodamine B. Int. J. Hydrog. Energy 2023, 48, 39360–39372. [Google Scholar] [CrossRef]
- Jiang, Z.; Yang, Z.; Shu, J.; Xu, L.; Liu, C.; Liu, X.; Zhang, T. Zn0.5Cd0.5S nanoparticle modified 2D BiOCl as solid-state Z-scheme photocatalyst for enhanced rhodamine B removal. Colloids Surf. A-Physicochem. Eng. Asp. 2022, 644, 128898. [Google Scholar] [CrossRef]
- Chang, N.; Chen, Y.-R.; Xie, F.; Liu, Y.-P.; Wang, H.-T. Facile construction of Z-scheme AgCl/Ag-doped-ZIF-8 heterojunction with narrow band gaps for efficient visible-light photocatalysis. Colloids Surf. A-Physicochem. Eng. Asp. 2021, 616, 126351. [Google Scholar] [CrossRef]
- Tian, J.; Wei, L.; Ren, Z.; Lu, J.; Ma, J. The facile fabrication of Z-scheme Bi2WO6-P25 heterojunction with enhanced photodegradation of antibiotics under visible light. J. Environ. Chem. Eng. 2021, 9, 106167. [Google Scholar] [CrossRef]
- Zhong, Z.; Xia, X.; Yang, X.; Li, N.; He, J.; Chen, D.; Gu, P.; Xu, Q.; Lu, J. Metal-free modification of porphyrin-based porous organic polymers for effective photocatalytic degradation of bisphenol A in water. Sep. Purif. Technol. 2022, 301, 121981. [Google Scholar] [CrossRef]
- Kuila, A.; Saravanan, P.; Bahnemann, D.; Wang, C. Novel Ag decorated, BiOCl surface doped AgVO3 nanobelt ternary composite with Z-scheme homojunction-heterojunction interface for high prolific photo switching, quantum efficiency and hole mediated photocatalysis. Appl. Catal. B Environ. 2021, 293, 120224. [Google Scholar] [CrossRef]
Disclaimer/Publisher’s Note: The statements, opinions and data contained in all publications are solely those of the individual author(s) and contributor(s) and not of MDPI and/or the editor(s). MDPI and/or the editor(s) disclaim responsibility for any injury to people or property resulting from any ideas, methods, instructions or products referred to in the content. |
© 2024 by the authors. Licensee MDPI, Basel, Switzerland. This article is an open access article distributed under the terms and conditions of the Creative Commons Attribution (CC BY) license (https://creativecommons.org/licenses/by/4.0/).












