A Highly Efficient Tribocatalysis of La/ZnO Powders for Degradation of Rhodamine B
Abstract
1. Introduction
2. Results and Discussion
2.1. Catalyst Properties
2.2. Tribocatalytic Efficiency of ZnO and La/ZnO Powders
2.3. Tribocatalytic Efficiency of La/ZnO Powders Annealed at Different Temperatures
2.4. Tribocatalytic Effect of Recycle Times of La/ZnO Powders
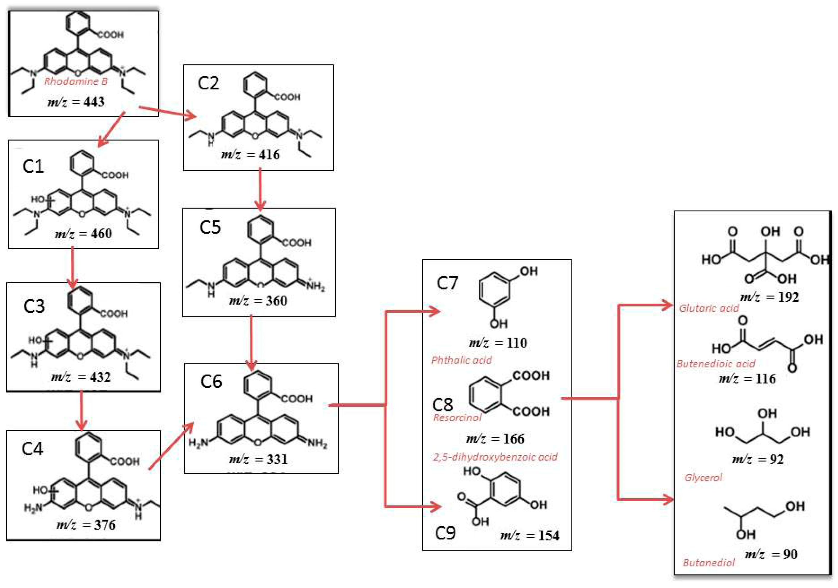
2.5. The Reaction Pathway for the Degradation of Rhodamine
3. Materials and Methods
4. Conclusions
Author Contributions
Funding
Data Availability Statement
Conflicts of Interest
Correction Statement
References
- Jamil, T. Role of advance oxidation processes (AOPs) in textile wastewater treatment: A critical review. Desalin. Water Treat. 2024, 318, 100387. [Google Scholar] [CrossRef]
- Ewuzie, U.; Saliu, O.; Dulta, K.; Ogunniyi, S.; Bajeh, A.; Iwuozor, K.; Ighalo, J. A review on treatment technologies for printing and dyeing wastewater (PDW). J. Water Process. Eng. 2022, 50, 103273. [Google Scholar] [CrossRef]
- Dong, H.; Zhou, Y.; Wang, L.; Chen, L.; Zhu, M. Oxygen vacancies in piezocatalysis: A critical review. Chem. Eng. J. 2024, 487, 150480. [Google Scholar] [CrossRef]
- Zhong, S.; Wang, Y.; Chen, Y.; Jiang, X.; Lin, M.; Lin, C.; Lin, T.; Gao, M.; Zhao, C.; Wu, X. Improved piezo-photocatalysis for aquatic multi-pollutant removal via BiOBr/BaTiO3 heterojunction construction. Chem. Eng. J. 2024, 488, 151002. [Google Scholar] [CrossRef]
- Liu, X.; Wang, T.; Li, G.; Liu, G.; Qiu, J.; Guo, Z.; Hao, H.; Dong, J.; Liu, H.; Xing, J. Cooperation or competition between piezocatalysis and photocatalysis of Bi4Ti3O12 nanoflakes. J. Alloys Compd. 2023, 936, 168367. [Google Scholar] [CrossRef]
- Kumar, M.; Kebaili, I.; Vaish, R.; El Ghoul, J.; Khandaker, M. Ball mill-induced piezocatalysis assessment for dye degradation using BiVO4. Mater. Today Commun. 2023, 37, 107306. [Google Scholar] [CrossRef]
- Djilani, C.; Zaghdoudi, R.; Djazi, F.; Bouchekima, B.; Lallam, A.; Modarressi, A.; Rogalski, M. Adsorption of dyes on activated carbon prepared from apricot stones and commercial activated carbon. J. Taiwan Inst. Chem. Eng. 2015, 53, 112–121. [Google Scholar] [CrossRef]
- Singh, A.; Pal, D.B.; Mohammad, A.; Alhazmi, A.; Haque, S.; Yoon, T.; Srivastava, N.; Gupta, V.K. Biological remediation technologies for dyes and heavy metals in wastewater treatment: New insight. Bioresour. Technol. 2022, 343, 126154. [Google Scholar] [CrossRef] [PubMed]
- Li, Z.; Zhang, Q.; Wang, L.; Yang, J.; Wu, Y.; He, Y. Novel application of Ag/PbBiO2I nanocomposite in piezocatalytic degradation of rhodamine B via harvesting ultrasonic vibration energy. Ultrason. Sonochem. 2021, 78, 105729. [Google Scholar] [CrossRef]
- Tudor, M.; Borlan, R.; Maniu, D.; Astilean, S.; de la Chapelle, M.L.; Focsan, M. Plasmon-enhanced photocatalysis: New horizons in carbon dioxide reduction technologies. Sci. Total Environ. 2024, 932, 172792. [Google Scholar] [CrossRef]
- Yang, F.; Wang, P.; Hao, J.; Qu, J.; Cai, Y.; Yang, X.; Li, C.; Hu, J. Ultrasound-assisted piezoelectric photocatalysis: An effective strategy for enhancing hydrogen evolution from water splitting. Nano Energy 2023, 118, 108993. [Google Scholar] [CrossRef]
- Jabbar, Z.; Graimed, B.; Ammar, S.; Sabit, D.; Najim, A.; Radeef, A.; Taher, A. The latest progress in the design and application of semiconductor photocatalysis systems for degradation of environmental pollutants in wastewater: Mechanism insight and theoretical calculations. Mater. Sci. Semicond. Process 2024, 173, 108153. [Google Scholar] [CrossRef]
- Lee, D.; Kim, M.; Danish, M.; Jo, M. State-of-the-art review on photocatalysis for efficient wastewater treatment: Attractive approach in photocatalyst design and parameters affecting the photocatalytic degradation. Catal. Commun. 2023, 183, 106764. [Google Scholar] [CrossRef]
- Wang, J.; Hu, J.; Lu, X.; Jiang, X.; Li, J.; Liu, A.; Lu, Z.; Xie, J.; Cao, Y. Molecular scale influence mechanism of reaction raw materials on catalyst particle size and its piezoelectric catalytic performance. Ceram. Int. 2024, 50, 5285–5292. [Google Scholar] [CrossRef]
- Yue, J.; Wu, R.; Zhang, Y.; Zhang, N.; Jing, H.; Wei, S.; Ouyang, F. The piezoelectric field-induced rearrangement of free carriers unlocks the high redox ability of 1T@2H-MoS2/Bi2S3 piezoelectric catalyst. Appl. Surf. Sci. 2023, 623, 157033. [Google Scholar] [CrossRef]
- Liang, Z.; Yan, C.F.; Rtimi, S.M.; Bandara, J. Piezoelectric materials for catalytic/photocatalytic removal of pollutants: Recent advances and outlook. Appl. Catal. B Environ. 2019, 241, 256–269. [Google Scholar] [CrossRef]
- Lin, E.Z.; Kang, Z.H.; Wu, J.; Huang, R.; Qin, N.; Bao, D.H. BaTiO3 nanocubes/cuboids with selectively deposited Ag nanoparticles: Efficient piezocatalytic degradation and mechanism. Appl. Catal. B Environ. 2021, 285, 119823. [Google Scholar] [CrossRef]
- Liu, N.; Wang, R.; Gao, S.; Zhang, R.; Fan, F.; Ma, Y.; Luo, X.; Ding, D.; Wu, W. High-Performance Piezo-Electrocatalytic Sensing of Ascorbic Acid with Nanostructured Wurtzite Zinc Oxide. Adv. Mat. 2021, 33, 2105697. [Google Scholar] [CrossRef] [PubMed]
- Ning, X.; Hao, A.; Cao, Y.; Hu, J.; Xie, J.; Jia, D. Effective promoting piezocatalytic property of zinc oxide for degradation of organic pollutants and insight into piezocatalytic mechanism. J. Coll. Int. Sci. 2020, 577, 290–299. [Google Scholar] [CrossRef]
- Jiang, B.; Xue, X.; Mu, Z.; Zhang, H.; Li, F.; Liu, K.; Wang, W.; Zhang, Y.; Li, W.; Yang, C.; et al. Contact-Piezoelectric Bi-Catalysis of an Electrospun ZnO@PVDF Composite Membrane for Dye Decomposition. Molecules 2022, 27, 8579. [Google Scholar] [CrossRef]
- Sharma, A.; Bhardwaja, U.; Kushwaha, H. ZnO hollow pitchfork: Coupled photo-piezocatalytic mechanism for antibiotic and pesticide elimination. Catal. Sci. Technol. 2022, 12, 812–822. [Google Scholar] [CrossRef]
- Porwal, C.; Sharma, M.; Vaish, R.; Chauhan, V.; Ahmed, S.; Hwang, W.; Park, H.; Sung, T.; Kumar, A. Piezocatalytic dye degradation using Bi2O3-ZnO-B2O3 glass-nanocomposites. J. Mater. Res. Technol. 2022, 21, 2028–2037. [Google Scholar] [CrossRef]
- Zhang, Q.; Jia, Y.; Chen, J.; Wang, X.; Zhang, L.; Chen, Z.; Wu, Z. Strongly enhanced piezocatalysis of BiFeO3/ZnO heterostructure nanomaterials. N. J. Chem. 2023, 47, 3471–3480. [Google Scholar] [CrossRef]
- Li, P.C.; Wu, J.; Wu, Z.; Jia, M.Y.; Ma, J.P.; Chen, W.P.; Zhang, L.H.; Yang, J.; Liu, Y.S. Strong tribocatalytic dye decomposition through utilizing triboelectric energy of barium strontium titanate nanoparticles. Nano Energy 2019, 63, 103832. [Google Scholar] [CrossRef]
- Zhao, B.; Chen, N.; Xue, Y.; Shi, H.; Xu, H.; Li, M.; Sun, C.; Xing, Y.; Gao, B.; Ma, B. Challenges and perspectives of tribocatalysis in the treatment for dye wastewater. J. Water Process Eng. 2024, 63, 105455. [Google Scholar] [CrossRef]
- Chong, J.; Tai, B.; Zhang, Y. Iridoparalysis effect based on ZnO with various specific surface areas for dye degradation. Chem. Phys. Lett. 2024, 835, 140998. [Google Scholar] [CrossRef]
- Huynh, K.; Tieu, A.; Lu, C.; Smillie, L.; Nguyen, C.; Pham, S. In-situ engineering catalytically active surfaces for tribocatalysis with layered double hydroxide nanoparticles. Carbon 2024, 228, 119324. [Google Scholar] [CrossRef]
- Gaur, A.; Moharana, A.; Porwal, C.; Chauhan, V.; Vaish, R. Degradation of organic dyes by utilizing CaCu3Ti4O12 (CCTO) nanoparticles via tribocatalysis process. J. Ind. Eng. Chem. 2024, 129, 341–351. [Google Scholar] [CrossRef]
- Li, X.; Tong, W.; Song, W.; Shi, J.; Zhang, Y. Performance of tribocatalysis and tribo-photocatalysis of pyrite under agitation. J. Clean. Prod. 2023, 414, 137566. [Google Scholar] [CrossRef]
- Henniker, J. Triboelectricity in Polymers. Nature 1962, 196, 474. [Google Scholar] [CrossRef]
- Zhao, J.; Chen, L.; Luo, W.; Li, H.; Wu, Z.; Xu, Z.; Zhang, Y.; Zhang, H.; Yuan, G.; Gao, J.; et al. Strong tribo-catalysis of zinc oxide nanorods via triboelectrically harvesting friction energy. Ceram. Int. 2020, 46, 25293–25298. [Google Scholar] [CrossRef]
- Yang, B.; Chen, H.; Guo, X.; Wang, L.; Xu, T.; Bian, J.; Yang, Y.; Liu, Q.; Du, Y.; Lou, X. Enhanced tribocatalytic degradation using piezoelectric CdS nanowires for efficient water remediation. J. Mater. Chem. C 2020, 8, 14845–14854. [Google Scholar] [CrossRef]
- Ruan, L.; Jia, Y.; Guan, J.; Xue, B.; Huang, S.; Wang, Z.; Fu, Y.; Wu, Z. Tribo-electro-catalytic dye degradation driven by mechanical friction using MOF-derived NiCo2O4 double-shelled nanocages. J. Clean. Prod. 2022, 345, 131060. [Google Scholar] [CrossRef]
- Xu, Y.; Yin, R.; Zhang, Y.; Zhou, B.; Sun, P.; Dong, X. Unveiling the mechanism of frictional catalysis in water by Bi12TiO20: A charge transfer and contaminant decomposition path study. Langmuir 2022, 38, 14153–14161. [Google Scholar] [CrossRef] [PubMed]
- Ada, K.; Gökgöz, M.; Önal, M.; Sarıkaya, Y. Preparation and characterization of a ZnO powder with the hexagonal plate particles. Powder Technol. 2008, 181, 285–291. [Google Scholar] [CrossRef]
- Kumar, S.; Kavitha, R. Lanthanide ions doped ZnO based photocatalysts. Sep. Purif. Technol. 2021, 274, 118853. [Google Scholar] [CrossRef]
- Tsuji, T.; Terai, Y.; Kamarudin, M.; Kawabata, M.; Fujiwara, Y. Photoluminescence properties of Sm-doped ZnO grown by sputtering-assisted metalorganic chemical vapor deposition. J. Non Cryst. Solids 2012, 358, 2443–2445. [Google Scholar] [CrossRef]
- Khatamian, M.; Khandar, A.; Divband, B.; Haghighi, M.; Ebrahimiasl, S. Heterogeneous photocatalytic degradation of 4-nitrophenol in aqueous suspension by Ln (La3+, Nd3+ or Sm3+) doped ZnO nanoparticles. J. Mol. Catal. A Chem. 2012, 365, 120–127. [Google Scholar] [CrossRef]
- Anandan, S.; Vinu, A.; Lovely, K.; Gokulakrishnan, N.; Srinivasu, P.; Mori, T.; Murugesan, V.; Sivamurugan, V.; Ariga, K. Photocatalytic activity of La-doped ZnO for the degradation of monocrotophos in aqueous suspension. J. Mol. Catal. A Chem. 2007, 266, 149–157. [Google Scholar] [CrossRef]
- Duan, L.; Wang, B.; Heck, K.; Clark, C.; Wei, J.; Wang, M.; Metz, J.; Wu, G.; Tsai, A.; Guo, S.; et al. Titanium oxide improves boron nitride photocatalytic degradation of perfluorooctanoic acid. Chem. Eng. J. 2022, 448, 137735. [Google Scholar] [CrossRef]
- Korake, P.; Dhabbe, R.; Kadam, A.; Gaikwad, Y.; Garadkar, K. Highly active lanthanum doped ZnO nanorods for photodegradation of metasystox. J. Photochem. Photobiol. B Biol. 2014, 130, 11–19. [Google Scholar] [CrossRef] [PubMed]
- Lei, H.; Cui, X.; Jia, X.; Qi, J.; Wang, Z.; Chen, W. Enhanced Tribocatalytic Degradation of Organic Pollutants by ZnO Nanoparticles of High Crystallinity. Nanomaterials 2023, 13, 46. [Google Scholar] [CrossRef] [PubMed]
- Sydorchuk, V.; Poddubnaya, O.I.; Tsyba, M.M.; Zakutevskyy, O.; Khyzhun, O.; Khalameida, S.; Puziy, A.M. Activated carbons with adsorbed cations as photocatalysts for pollutants degradation in aqueous medium. Adsorption 2019, 25, 267–278. [Google Scholar] [CrossRef]
- Gan, P.P.; Li, S.F.Y. Efficient removal of Rhodamine B using a rice hull-based silica supported iron catalyst by Fenton-like process. Chem. Eng. J. 2013, 229, 351–363. [Google Scholar] [CrossRef]
- Wu, M.; Xu, Y.; He, Q.; Sun, P.; Weng, X.; Dong, X. Tribocatalysis of homogeneous material with multi-size granular distribution for degradation of organic pollutants. J. Colloid Int. Sci. 2022, 622, 602–611. [Google Scholar] [CrossRef] [PubMed]










| Sample Powders | Crystallite Size, nm | Parameters of the Crystalline Lattice, Å | Microstrains, a.u. |
|---|---|---|---|
| ZnO | 36.9 | a, b: 3.250 c: 5.207 | 8.27 × 10−4 |
| La/ZnO, 100 °C | 42.3 | a, b: 3.249 c: 5.205 | 8.32 × 10−4 |
| La/ZnO, 300 °C | 63.9 | a, b: 3.248 c: 5.204 | 1.87 × 10−4 |
| La/ZnO, 500 °C | 78.0 | a, b: 3.248 c: 5.204 | 3.58 × 10−4 |
Disclaimer/Publisher’s Note: The statements, opinions and data contained in all publications are solely those of the individual author(s) and contributor(s) and not of MDPI and/or the editor(s). MDPI and/or the editor(s) disclaim responsibility for any injury to people or property resulting from any ideas, methods, instructions or products referred to in the content. |
© 2024 by the authors. Licensee MDPI, Basel, Switzerland. This article is an open access article distributed under the terms and conditions of the Creative Commons Attribution (CC BY) license (https://creativecommons.org/licenses/by/4.0/).
Share and Cite
Ivanova, D.K.; Stefanov, B.I.; Kaneva, N.V. A Highly Efficient Tribocatalysis of La/ZnO Powders for Degradation of Rhodamine B. Catalysts 2024, 14, 527. https://doi.org/10.3390/catal14080527
Ivanova DK, Stefanov BI, Kaneva NV. A Highly Efficient Tribocatalysis of La/ZnO Powders for Degradation of Rhodamine B. Catalysts. 2024; 14(8):527. https://doi.org/10.3390/catal14080527
Chicago/Turabian StyleIvanova, Dobrina K., Bozhidar I. Stefanov, and Nina V. Kaneva. 2024. "A Highly Efficient Tribocatalysis of La/ZnO Powders for Degradation of Rhodamine B" Catalysts 14, no. 8: 527. https://doi.org/10.3390/catal14080527
APA StyleIvanova, D. K., Stefanov, B. I., & Kaneva, N. V. (2024). A Highly Efficient Tribocatalysis of La/ZnO Powders for Degradation of Rhodamine B. Catalysts, 14(8), 527. https://doi.org/10.3390/catal14080527
