Next Article in Journal
Exploring Intermetallic Compounds: Properties and Applications in Catalysis
Next Article in Special Issue
Upgrading of Rice Straw Bio-Oil Using 1-Butanol over ZrO2-Fe3O4 Bimetallic Nanocatalyst Supported on Activated Rice Straw Biochar to Butyl Esters
Previous Article in Journal
α-L-Arabinofuranosidases of Glycoside Hydrolase Families 43, 51 and 62: Differences in Enzyme Substrate and Positional Specificity between and within the GH Families
 
 
Font Type:
Arial Georgia Verdana
Font Size:
Aa Aa Aa
Line Spacing:
Column Width:
Background:
Article

Catalytic Effect of Alkali Metal Ions on the Generation of CO and CO2 during Lignin Pyrolysis: A Theoretical Study

by
Xiaoyan Jiang
1,*,
Yiming Han
1,
Baojiang Li
1,
Ji Liu
2,
Guanzheng Zhou
2,
Xiaojiao Du
1,
Shougang Wei
2,
Hanxian Meng
2 and
Bin Hu
2,*
1
School of Photoelectric Engineering, Changzhou Institute of Technology, Changzhou 213032, China
2
National Engineering Research Center of New Energy Power Generation, North China Electric Power University, Beijing 102206, China
*
Authors to whom correspondence should be addressed.
Catalysts 2024, 14(8), 537; https://doi.org/10.3390/catal14080537
Submission received: 31 July 2024 / Revised: 16 August 2024 / Accepted: 16 August 2024 / Published: 18 August 2024
(This article belongs to the Collection Catalytic Conversion of Biomass to Bioenergy)

Abstract

A density functional theory method was employed to conduct theoretical calculations on the pyrolysis reaction pathways of lignin monomer model compounds with an aldehyde or carboxyl group under the catalytic effect of alkali metal ions Na+ and K+, exploring their influence on the formation of the small molecular gaseous products CO and CO2. The results indicate that Na+ and K+ can easily bind with the oxygen-containing functional groups of the lignin monomer model compounds to form stable and low-energy complexes. Except for benzaldehyde and p-hydroxybenzaldehyde, Na+ and K+ can facilitate the decarbonylation reactions of other benzaldehyde-based and phenylacetaldehyde-based lignin monomer model compounds during the pyrolysis process, thereby enhancing the generation of CO. When the characteristic functional groups on the benzene rings of benzaldehyde-based and phenylacetaldehyde-based lignin monomer model compounds are the same, the phenylacetaldehyde-based ones are more prone to undergo decarbonylation than the benzaldehyde-based ones. Additionally, both Na+ and K+ can inhibit the decarboxylation reactions of benzoic acid-based and phenylacetic acid-based lignin monomer model compounds, thereby restraining the formation of CO2. When the characteristic functional groups on the benzene rings of benzoic acid-based and phenylacetic acid-based lignin monomer model compounds are the same, the phenylacetic acid-based ones are more difficult to undergo decarboxylation than the benzoic acid-based ones.

1. Introduction

Lignin, one of the three major components of biomass, is primarily composed of three basic structural units of phenylpropane, which serves as the primary source of aromatic ring-containing products in biomass pyrolysis, encompassing phenols, guaiacols, syringols, and polycyclic aromatic hydrocarbons (PAHs) [1,2]. These products undergo secondary pyrolysis at high temperatures to generate small molecular gases, mainly including carbon monoxide (CO), carbon dioxide (CO2), and methane (CH4) [3,4,5]. Ding et al. [6] conducted pyrolysis experiments on beech wood with a thermogravimetric analysis coupled with Fourier transform infrared spectrometry analysis. They found that the amount of the five components, in the order of most to least, produced was formaldehyde > CO2 or methanol > CH4 > CO. The generation of CO2 was attributed to the cracking and reforming of carboxyl functional groups, whereas the release of CO was mainly from the cracking of carbonyl functional groups [7]. Additionally, CH4 was primarily formed through the dissociation of methoxyl functional groups [6].
Due to the complexity of lignin’s structure, various model compounds, such as lignin monomers, dimers, and trimers, were typically used to simulate the microscopic lignin pyrolysis mechanisms [8,9,10,11,12]. Some scholars have conducted theoretical and experimental research on the formation mechanisms of small molecular gases (such as CO, CO2, and CH4) during the lignin pyrolysis process. Eskay et al. [13] argued that the decarboxylation of benzoic acid proceeded through an intramolecular hydrogen transfer concerted reaction process rather than through a radical reaction during pyrolysis. If it were a radical reaction, it would inevitably produce highly reactive aryl radicals, leading to the formation of cross-linked products. However, experimental results showed that only a small amount of cross-linked products were formed. Similarly, Huang et al. [14] also selected the lignin monomer model compounds and conducted density functional theory (DFT) calculations on the formation mechanism of CO, CO2, and CH4 in lignin pyrolysis. They discovered that CO and CO2 were generated through the decarbonylation and decarboxylation reactions of the aldehyde and carboxyl groups on the side chains of the benzene rings via concerted reactions during lignin pyrolysis. As found in our previous research [8], the crucial step in the formation of CH4 involved the homolytic scission of the O–CH3 bond within the methoxyl functional group, resulting in the generation of methyl radicals that abstracted hydrogen radicals from lignin and its pyrolytic derivatives via bimolecular reactions to form CH4.
However, the current theoretical research is limited to the study of the simple pyrolysis mechanism of lignin, with little consideration given to the influence of alkali metal ions in the biomass on its pyrolysis mechanism. Potassium and sodium are the two main alkali metal elements in biomass, with potassium being particularly noteworthy due to its essential role as a nutrient for plant growth and its abundant presence [15]. Although sodium is generally not regarded as an essential element for plant growth and its content is typically much lower than that of potassium, sodium and potassium exhibit highly analogous occurrence forms in biomass, along with similar release and transformation characteristics during their pyrolysis process [16]. Furthermore, alkali metal species have a significant influence on the actual pyrolysis process of biomass and act as catalysts [15,17,18,19]. Peng et al. [20] investigated the influence of alkaline additives on lignin pyrolysis and found that the addition of NaOH, KOH, Na2CO3, or K2CO3 could facilitate the decarboxylation or decarbonylation reaction. Fang et al. [21] discovered that the presence of potassium salts (such as KOH and K2CO3) could facilitate the conversion of pyrolysis intermediates into phenol, while concurrently enhancing the production of CO2. Currently, the microscopic catalytic reaction mechanism of alkali metal elements on the production of small molecular gases during lignin pyrolysis remains unclear and requires further in-depth study. Based on these, this study will utilize the DFT method and select sixteen types of phenyl, p-hydroxyphenyl, guaiacyl, and syringyl lignin monomer model compounds, as shown in Figure 1, with an aldehyde or carboxyl group at the Cα and Cβ positions. It aims to investigate the effects of alkali metal ions Na+ and K+ on the formation of CO and CO2 during lignin pyrolysis and to reveal the catalytic pyrolysis mechanism of alkali metal ions on the cleavage of aldehyde and carboxyl groups during lignin pyrolysis.

2. Results and Discussion

2.1. Analysis of Binding Sites between Na+/K+ and Lignin Monomer Model Compounds

Before conducting the computational studies on the pyrolysis mechanism of lignin model compounds catalyzed by alkali metal ions, it is crucial to identify the optimal binding sites of the alkali metal ions (Na+ and K+) with the lignin monomer model compounds, where the complexes exhibit the lowest energy. The structures of the lignin monomer model compounds catalyzed by alkali metal ions (Na+ and K+) were optimized, and the optimal configurations with the lowest energy for the complexes are illustrated in Figure 2 and Figure 3. The results show that Na+ and K+ tend to bind with the oxygen-containing functional groups of lignin model compounds, such as aldehyde, carboxyl, hydroxyl, and methoxyl groups, which aligns with the findings of Jeong et al. [22] and Kim et al. [23]. In the presence of the aldehyde–carboxyl group, phenolic hydroxyl group, and methoxyl group simultaneously, the optimal binding site for Na+ and K+ is O(phenolic hydroxyl group)–Na+/K+–O(methoxyl group), where the energy of the complex is minimized, except for the complexes Na-M43, K-M43, and K-M44.

2.2. Catalytic Influence of Na+ and K+ on the Formation of CO during Lignin Pyrolysis

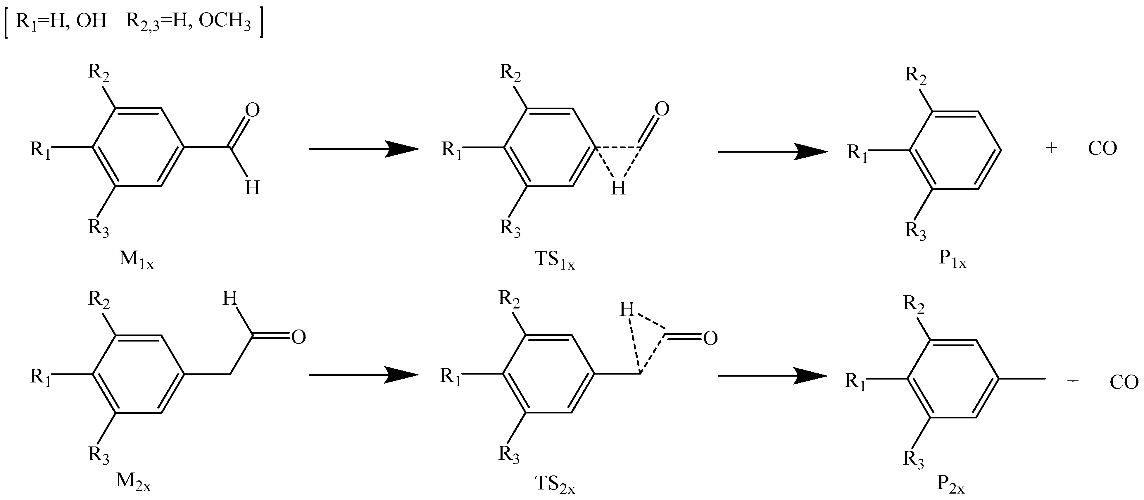
According to the study conducted by Huang et al. [14], the lignin monomer model compounds M1x and M2x underwent a decarbonylation reaction, in which the hydrogen atom on the aldehyde group was transferred to the adjacent carbon atom through a three-membered ring transition state TS1x or TS2x, resulting in the elimination of CO and the production of aromatic compounds P1x or P2x, such as benzene, toluene, phenol, p-cresol, and so on. Most of them are high-value-added chemicals or important chemical raw materials. The pyrolysis pathways are illustrated in Figure 4, which considered the decarbonylation reactions of aldehyde groups at the Cα and Cβ positions in four different kinds of lignin monomer model compounds, such as phenyl, p-hydroxyphenyl, guaiacyl, and syringyl. Their corresponding reaction energy barriers for decarbonylation under non-catalytic and alkali metal ion-catalytic conditions are presented in Table 1.

2.2.1. Catalytic Influence of Na+ on the Formation of CO

According to Table 1, under the catalytic effect of Na+, the reaction energy barriers for the decarbonylation of the benzaldehyde-based lignin monomer model compounds M11 and M12 increase from 383.8 and 388.7 kJ/mol under the non-catalytic condition to 417.3 and 396.1 kJ/mol, respectively. Conversely, the reaction energy barriers for the decarbonylation of the benzaldehyde-based lignin monomer model compounds M13 and M14 decrease from 389.2 and 387.9 kJ/mol under the non-catalytic condition to 361.2 and 361.9 kJ/mol, respectively. It is indicated that Na+ can inhibit the decarbonylation reactions of the benzaldehyde-based lignin monomer model compounds M11 and M12 but promote the decarbonylation reactions of model compounds M13 and M14, which is in alignment with the outcomes reported by Peng et al. [20]. They conducted the pyrolysis experiments on lignin with the inclusion of alkaline additives and found that the incorporation of an alkaline additive led to a reduction in the yields of aldoketones, including vanillin (M13), potentially being attributable to the facilitation of decarbonylation reactions. Compared to model compounds M11 and M12, model compounds M13 and M14 have the additional methoxyl functional group on their benzene rings, which suggests that Na+ has a promotion effect on the decarbonylation reaction of benzaldehyde-based lignin monomer model compounds in the existence of the methoxyl group. As shown in Figure 2, when the methoxyl functional group is present on the benzene ring of lignin model compounds, the binding sites of Na+ in the complexes Na-M13 and Na-M14 will change compared to Na-M11 and Na-M12. Na+ is more likely to bind with the oxygen atom on the methoxyl group to form complexes with the lowest energy and the most stable structure, which is consistent with the conclusion obtained by Khanh Tran et al. [24].
As shown in Table 1, under the catalysis of Na+, the reaction energy barriers for the decarbonylation of the phenylacetaldehyde-based lignin monomer model compounds M21, M22, M23, and M24 decrease from 329.9, 332.2, 336.4, and 332.7 kJ/mol under the non-catalytic condition to 305.0, 308.0, 306.4 and 316.6 kJ/mol, respectively. It indicates that Na+ promotes the decarbonylation reaction of the phenylacetaldehyde-based lignin monomer model compounds. Additionally, when the characteristic functional groups at the R1, R2, and R3 positions on the benzene rings of both phenylacetaldehyde-based and benzaldehyde-based lignin monomer model compounds are the same, the energy barriers for the decarbonylation reaction of phenylacetaldehyde-based lignin monomer model compounds are lower than those of benzaldehyde-based lignin monomer model compounds under both the non-catalytic and Na+-catalyzed condition. It is suggested that the aldehyde group at the Cβ position is more prone to undergo decarbonylation than that at the Cα position.

2.2.2. Catalytic Influence of K+ on the Formation of CO

As listed in Table 1, under the K+-catalyzed condition, the reaction energy barriers for the decarbonylation of the benzaldehyde-based lignin monomer model compounds M11 and M12 increase from 383.8 and 388.7 kJ/mol under the non-catalyzed condition to 412.9 and 403.2 kJ/mol, respectively, which is consistent with the calculation results obtained by Fang et al. [21]. They found that K+ would bind to the oxygen atom on the aldehyde group of p-hydroxybenzaldehyde (M12) and then raise the energy barrier for the decarbonylation reaction to further restrain the formation of CO. Meanwhile, the reaction energy barriers for the decarbonylation of the benzaldehyde-based lignin monomer model compounds M13 and M14 decrease from 389.2 and 387.9 kJ/mol under the non-catalyzed condition to 364.3 and 364.3 kJ/mol, respectively. It demonstrates that, akin to the catalytic effect exhibited by Na+, K+ can also inhibit the decarbonylation reaction of the benzaldehyde-based lignin monomer model compounds M11 and M12 while promoting the decarbonylation reaction of model compounds M13 and M14, which is also consistent with the results obtained by Peng et al. [20]. In contrast to the model compounds M11 and M12, the model compounds M13 and M14 possess the methoxyl functional group attached to their benzene rings, which implies that K+ also has the capability to facilitate the decarbonylation reaction of benzaldehyde-based lignin monomer model compounds with the methoxyl group. As depicted in Figure 2, when the methoxy functional group is present on the benzene ring of the lignin model compounds, the binding sites of K+ in the complexes K-M13 and K-M14 will change in comparison to K-M11 and K-M12. Notably, K+ also exhibits a preference for binding with the oxygen atom of the methoxyl group, resulting in the formation of complexes with the lowest energy and the most stable structure. It is also consistent with the findings reported by Khanh Tran et al. [24].
According to Table 1, under the catalysis of K+, the reaction energy barriers for the decarbonylation of the phenylacetaldehyde-based lignin monomer model compounds M21, M22, M23, and M24 decrease from 329.9, 332.2, 336.4, and 332.7 kJ/mol under the non-catalyzed condition to 316.4, 318.0, 309.2, and 318.8 kJ/mol, respectively. The results indicate that K+ can also promote the decarbonylation reaction of the phenylacetaldehyde-based lignin monomer model compounds like Na+. Furthermore, when the phenylacetaldehyde-based and benzaldehyde-based lignin monomer model compounds possess the same characteristic functional groups at positions R1, R2, and R3 on the benzene rings, the reaction energy barriers for the decarbonylation of the phenylacetaldehyde-based lignin monomer model compounds are also lower than those of the benzaldehyde-based lignin monomer model compounds under both the non-catalyzed and K+-catalyzed condition. It is implied that the aldehyde group located at the Cβ position exhibits a greater tendency to undergo decarbonylation than that at the Cα position.

2.2.3. Summary

When the methoxyl group is present in the benzaldehyde-based and phenylacetaldehyde-based lignin monomer model compounds, Na+ and K+ tend to bind with the oxygen atom of the methoxyl group easily, forming complexes with the lowest energy and the most stable structure. Both Na+ and K+ can inhibit the decarbonylation reaction of benzaldehyde and p-hydroxybenzaldehyde but enhance the decarbonylation reaction of other benzaldehyde-based and phenylacetaldehyde-based lignin monomer model compounds. Furthermore, when the characteristic functional groups on the benzene rings of benzaldehyde-based and phenylacetaldehyde-based lignin monomer model compounds are identical, the phenylacetaldehyde-based lignin monomer model compounds are more prone to undergo decarbonylation to produce CO under both the non-catalyzed and alkali metal ion-catalyzed condition. It is indicated that the aldehyde group at the Cβ position is more likely to undergo decarbonylation than that at the Cα position during the pyrolysis of lignin monomer model compounds.

2.3. Catalytic Influence of Na+ and K+ on the Formation of CO2 during Lignin Pyrolysis

Based on the research conducted by Huang et al. [14], the lignin monomer model compounds M3x and M4x underwent decarboxylation by transferring the hydrogen atom from the carboxyl group to the adjacent carbon atom through a four-membered ring transition state TS3x or TS4x, resulting in the elimination of CO2 and the same production of the aromatic compounds P1x or P2x. The reaction pathways are illustrated in Figure 5, which considered the decarboxylation reactions of the carboxyl groups at the Cα and Cβ positions in four different types of lignin monomer structures, namely phenyl, p-hydroxyphenyl, guaiacyl, and syringyl. Furthermore, the reaction energy barriers for decarboxylation of these eight lignin monomer model compounds under both the non-catalytic and alkali metal ion-catalyzed conditions are systematically quantified and tabulated in Table 2.

2.3.1. Catalytic Influence of Na+ on the Formation of CO2

As indicated in Table 2, under the catalysis of Na+, the reaction energy barriers for the decarboxylation of benzoic acid-based lignin monomer model compounds M31, M32, M33, and M34 increase from 299.9, 299.1, 288.6, and 287.2 kJ/mol under the non-catalyzed condition to 321.8, 320.2, 316.3 and 314.4 kJ/mol, respectively. Similarly, the reaction energy barriers for the decarboxylation of the phenylacetic acid-based lignin monomer model compounds M41, M42, M43, and M44 rise from 294.4, 296.4, 297.8, and 295.9 kJ/mol under the non-catalyzed condition to 332.2, 332.9, 330.3, and 330.5 kJ/mol, respectively. These findings suggest that Na+ can inhibit the decarboxylation reactions at the Cα and Cβ positions of both benzoic acid-based and phenylacetic acid-based lignin monomer model compounds. Furthermore, when the characteristic functional groups at positions R1, R2, and R3 on the benzene rings of the phenylacetic acid-based and benzoic acid-based lignin monomer model compounds are the same, the reaction energy barriers for the decarboxylation of the phenylacetic acid-based lignin monomer model compounds are higher than those of the benzoic acid-based lignin monomer model compounds under the catalytic effect of Na+. It is indicated that the carboxyl group at the Cβ position undergoes decarboxylation in a more difficult manner than that at the Cα position in the presence of Na+.

2.3.2. Catalytic Influence of K+ on the Formation of CO2

According to Table 2, under the catalysis of K+, the reaction energy barriers for the decarboxylation of the benzoic acid-based lignin monomer model compounds M31, M32, M33, and M34 increase from 299.9, 299.1, 288.6, and 287.2 kJ/mol under the non-catalyzed condition to 323.7, 320.2, 314.4, and 313.2 kJ/mol, respectively. Similarly, for the phenylacetic acid-based lignin monomer model compounds M41, M42, M43, and M44, the reaction energy barriers for decarboxylation rise from 294.4, 296.4, 297.8, and 295.9 kJ/mol under the non-catalytic condition to 326.1, 326.6, 326.4 and 324.2 kJ/mol, respectively. These results indicate that K+ can also inhibit the decarboxylation reactions of both benzoic acid-based and phenylacetic acid-based lignin monomer model compounds with a similar catalytic effect to Na+. Meanwhile, when the benzoic acid-based and phenylacetic acid-based lignin monomer model compounds possess the same characteristic functional groups at positions R1, R2, and R3 on their benzene rings, the reaction energy barriers for the decarboxylation of the phenylacetic acid-based lignin monomer model compounds are higher than those of the benzoic acid-based lignin monomer model compounds under the catalytic effect of K+. It is suggested that the decarboxylation reaction at the Cβ position occurs in a more difficult manner than that at the Cα position in the presence of K+.

2.3.3. Discussion

For both benzoic acid-based and phenylacetic acid-based lignin monomer model compounds, the energy barriers for the decarboxylation reactions at the Cα and Cβ positions are elevated under the catalysis of the alkali metal ions Na+ and K+, which inhibits the occurrence of decarboxylation reactions and, thus, suppresses the generation of CO2. However, Peng et al. [20] found that the addition of KOH could decrease the CO2 content because of the adsorption of CO2. Therefore, it is impossible to determine whether K+ has an inhibitory effect on the decarboxylation reaction. During the catalytic pyrolysis process of lignin or biomass, the generation of CO2 may be related to the type of anions, reaction temperatures, and other factors [20,25,26], which can be taken as a research direction for future exploration. Furthermore, when benzoic acid-based and phenylacetic acid-based lignin monomer model compounds possess the same characteristic functional groups at the benzene rings, the reaction energy barriers for the decarboxylation of the phenylacetic acid-based lignin monomer model compounds are higher than those of the benzoic acid-based lignin monomer model compounds with the catalysis of Na+ or K+. It is illustrated that the carboxyl group located at the Cβ position is more resistant to decarboxylation than that at the Cα position in the presence of Na+ or K+.

3. Calculation Methods

All the DFT calculations in this study were completed in the Gaussian 09W program [27]. The geometric configurations of each stable molecule and transition state were fully optimized by using the M06-2X functional with the 6-31+G(d,p) basis set [28]. The M06-2X functional boasts superior computational precision in determining thermodynamic parameters like reaction energy, thereby earning widespread adoption in studies exploring the pyrolysis mechanisms of organic systems [8,9,29]. The basis set of 6-31+G(d,p) is added to the standard M06-2X functional, which can ensure accuracy and also save resources for the calculation. Their standard thermodynamic parameters at 298.15 K and 101.325 kPa were obtained through frequency analyses at the same computational level, and zero-point energy (ZPE) corrections were applied. The TS method was used to search for the transition state, and the intrinsic reaction coordinate (IRC) calculation [30] was employed to verify whether the transition state was correct. The activation energy (reaction energy barrier) of each concerted reaction was calculated as the energy difference between the transition state and the reactant. The thermodynamic parameters used in this study are the enthalpies.

4. Conclusions

DFT calculations were adopted to explore the catalytic influence of alkali metal ions Na+ and K+ on the generation of CO and CO2 during the pyrolysis of four different types of benzaldehyde-based, phenylacetaldehyde-based, benzoic acid-based, and phenylacetic acid-based lignin monomer model compounds. The results indicate that Na+ and K+ readily bind to the oxygen-containing functional groups of the lignin monomer model compounds to form stable complexes. In particular, when the methoxyl group is present in benzaldehyde-based and phenylacetaldehyde-based lignin monomer model compounds, Na+ and K+ prefer to bind to the methoxyl group. Apart from benzaldehyde and p-hydroxybenzaldehyde, Na+ and K+ will facilitate the decarbonylation reactions of other benzaldehyde-based and phenylacetaldehyde-based lignin monomer model compounds during the pyrolysis process, thereby promoting the generation of CO. When the characteristic functional groups on the benzene rings of the benzaldehyde-based and phenylacetaldehyde-based lignin monomer model compounds are identical, the aldehyde group located at the Cβ position is more prone to undergo decarbonylation than that at the Cα position. Conversely, Na+ and K+ will inhibit the decarboxylation reactions of benzoic acid-based and phenylacetic acid-based lignin monomer model compounds, thus suppressing the formation of CO2. When the characteristic functional groups on the benzene rings of benzoic acid-based and phenylacetic acid-based lignin monomer model compounds are the same, the carboxyl group at the Cβ position is more resistant to decarboxylation than that at the Cα position.

Author Contributions

Conceptualization, X.J.; methodology, Y.H., G.Z. and H.M.; validation, J.L., G.Z. and X.D.; investigation, Y.H. and H.M.; resources, B.L.; data curation, B.L. and S.W.; writing—original draft preparation, X.J. and B.H.; writing—review and editing, X.J., J.L. and B.H; supervision, X.J.; funding acquisition, X.J. and X.D. All authors have read and agreed to the published version of the manuscript.

Funding

This research was funded by the National Natural Science Foundation of China, grant number: 52206232, the Qing Lan Project, the Youth Scientific and Technological Talent Supporting Project of Changzhou, the Jiangsu Agricultural Science and Technology Innovation Fund, grant number: CX(23)3049, and the Natural Science Foundation of the Jiangsu Higher Education Institutions of China Funded Major Project, grant number: 21KJA610001.

Data Availability Statement

All data generated or analyzed during this study are included in this published article.

Conflicts of Interest

There are no conflicting interests declared by the authors.

References

  1. Chen, W.-H.; Farooq, W.; Shahbaz, M.; Naqvi, S.R.; Ali, I.; Al-Ansari, T.; Saidina Amin, N.A. Current status of biohydrogen production from lignocellulosic biomass, technical challenges and commercial potential through pyrolysis process. Energy 2021, 226, 120433. [Google Scholar] [CrossRef]
  2. Kulik, T.; Nastasiienko, N.; Palianytsia, B.; Ilchenko, M.; Larsson, M. Catalytic pyrolysis of lignin model compound (ferulic acid) over alumina: Surface complexes, kinetics, and mechanisms. Catalysts 2021, 11, 1508. [Google Scholar] [CrossRef]
  3. Yang, H.M.; Appari, S.; Kudo, S.; Hayashi, J.; Norinaga, K. Detailed chemical kinetic modeling of vapor-phase reactions of volatiles derived from fast pyrolysis of lignin. Ind. Eng. Chem. Res. 2015, 54, 6855–6864. [Google Scholar] [CrossRef]
  4. Zhang, L.; Choi, C.; Machida, H.; Norinaga, K. Production of light hydrocarbons from organosolv lignin through catalytic hydrogenation and subsequent fast pyrolysis. J. Anal. Appl. Pyrol. 2021, 156, 105096. [Google Scholar] [CrossRef]
  5. Neves, D.; Thunman, H.; Matos, A.; Tarelho, L.; Gómez-Barea, A. Characterization and prediction of biomass pyrolysis products. Prog. Energy Combust. Sci. 2011, 37, 611–630. [Google Scholar] [CrossRef]
  6. Ding, Y.; Ezekoye, O.A.; Lu, S.; Wang, C. Thermal degradation of beech wood with thermogravimetry/Fourier transform infrared analysis. Energ. Convers. Manag. 2016, 120, 370–377. [Google Scholar] [CrossRef]
  7. Yang, H.; Yan, R.; Chen, H.; Lee, D.H.; Zheng, C. Characteristics of hemicellulose, cellulose and lignin pyrolysis. Fuel 2007, 86, 1781–1788. [Google Scholar] [CrossRef]
  8. Jiang, X.; Wang, W.; Hu, B.; Zhang, B.; Li, K. Formation mechanism of CH4 during lignin pyrolysis: A theoretical study. J. Energy Inst. 2022, 100, 237–244. [Google Scholar] [CrossRef]
  9. Xie, W.L.; Hu, B.; Liu, Y.; Fu, H.; Liu, J.; Zhang, B.; Lu, Q. Unraveling the radical chain mechanism in the pyrolysis of β-O-4 linked lignin: The role of aliphatic substituents. Proc. Combust. Inst. 2023, 39, 3303–3311. [Google Scholar] [CrossRef]
  10. Liu, C.; Lei, M.; Fan, Y.; Kong, X.; Zhang, H.; Xiao, R. Mechanism insights into enol ether intermediate formation during β-O-4-type lignin pyrolysis. J. Anal. Appl. Pyrol. 2023, 176, 106262. [Google Scholar] [CrossRef]
  11. Wang, L.; Yin, J.; Jiang, J.; Zhang, Y.; Song, M.; Zhang, R.; Dong, Z.; Yang, H.; Yu, H. Revealing G-lignin model compounds pyrolysis behavior: β-O-4 and 5-5′ dimer and trimer. Fuel 2022, 317, 123531. [Google Scholar] [CrossRef]
  12. Li, L.; Ouyang, X.; Qian, Y. Exploring factors affecting the dissociation energies of C–O and C–C bonds in lignin oligomers. Chem. Eng. Sci. 2024, 297, 120296. [Google Scholar] [CrossRef]
  13. Eskay, T.P.; Britt, P.F.; Buchanan, A.C. Does decarboxylation lead to cross-linking in low-rank coals? Energy Fuels 1996, 10, 1257–1261. [Google Scholar] [CrossRef]
  14. Huang, J.; Liu, C.; Tong, H.; Li, W.; Wu, D. A density functional theory study on formation mechanism of CO, CO2 and CH4 in pyrolysis of lignin. Comput. Theor. Chem. 2014, 1045, 1–9. [Google Scholar] [CrossRef]
  15. Nowakowski, D.J.; Jones, J.M.; Brydson, R.M.D.; Ross, A.B. Potassium catalysis in the pyrolysis behaviour of short rotation willow coppice. Fuel 2007, 86, 2389–2402. [Google Scholar] [CrossRef]
  16. Lane, D.J.; van Eyk, P.J.; Ashman, P.J.; Kwong, C.W.; de Nys, R.; Roberts, D.A.; Cole, A.J.; Lewis, D.M. Release of Cl, S, P, K, and Na during thermal conversion of algal biomass. Energy Fuels 2015, 29, 2542–2554. [Google Scholar] [CrossRef]
  17. Hu, B.; Zhang, B.; Xie, W.; Jiang, X.; Liu, J.; Lu, Q. Recent progress in quantum chemistry modeling on the pyrolysis mechanisms of lignocellulosic biomass. Energy Fuels 2020, 34, 10384–10440. [Google Scholar] [CrossRef]
  18. Jiang, X.; Lu, Q.; Hu, B.; Chen, D.; Liu, J.; Dong, C. Influence of inherent alkali metal chlorides on pyrolysis mechanism of a lignin model dimer based on DFT study. J. Therm. Anal. Calorim. 2018, 137, 151–160. [Google Scholar] [CrossRef]
  19. Cen, K.; Cao, X.; Chen, D.; Zhou, J.; Chen, F.; Li, M. Leaching of alkali and alkaline earth metallic species (AAEMs) with phenolic substances in bio-oil and its effect on pyrolysis characteristics of moso bamboo. Fuel Process. Technol. 2020, 200, 106332. [Google Scholar] [CrossRef]
  20. Peng, C.; Zhang, G.; Yue, J.; Xu, G. Pyrolysis of lignin for phenols with alkaline additive. Fuel Process. Technol. 2014, 124, 212–221. [Google Scholar] [CrossRef]
  21. Fang, Y.; Yin, L.; Yang, H.; Gong, X.; Chen, Y.; Chen, H. Catalytic mechanisms of potassium salts on pyrolysis of β-O-4 type lignin model polymer based on DFT study. Proc. Combust. Inst. 2021, 38, 3969–3976. [Google Scholar] [CrossRef]
  22. Jeong, K.; Jeong, H.J.; Lee, G.; Kim, S.H.; Kim, K.H.; Yoo, C.G. Catalytic effect of alkali and alkaline earth metals in lignin pyrolysis: A density function theory study. Energy Fuels 2020, 34, 9734–9740. [Google Scholar] [CrossRef]
  23. Kim, K.H.; Jeong, K.; Kim, S.-S.; Brown, R.C. Kinetic understanding of the effect of Na and Mg on pyrolytic behavior of lignin using a distributed activation energy model and density functional theory modeling. Green Chem. 2019, 21, 1099–1107. [Google Scholar] [CrossRef]
  24. Tran, Q.K.; Ly, H.V.; Hwang, H.T.; Kim, J.; Kim, S.S. Study on pyrolysis of Organosolv lignin impregnated with alkali and alkaline earth metals: Kinetics, thermodynamics, and product characterization. Fuel 2022, 329, 125472. [Google Scholar] [CrossRef]
  25. Mahadevan, R.; Adhikari, S.; Shakya, R.; Wang, K.; Dayton, D.; Lehrich, M.; Taylor, S.E. Effect of alkali and alkaline earth metals on in-situ catalytic fast pyrolysis of lignocellulosic biomass: A microreactor study. Energy Fuels 2016, 30, 3045–3056. [Google Scholar] [CrossRef]
  26. Li, J.; Burra, K.G.; Wang, Z.; Liu, X.; Gupta, A.K. Effect of alkali and alkaline metals on gas formation behavior and kinetics during pyrolysis of pine wood. Fuel 2021, 290, 120081. [Google Scholar] [CrossRef]
  27. Frisch, M.J.; Trucks, G.W.; Schlegel, H.B.; Scuseria, G.E.; Robb, M.A.; Cheeseman, J.R.; Scalmani, G.; Barone, V.; Mennucci, B.; Petersson, G.A.; et al. Gaussian 09; Revision D.01; Gaussian, Inc.: Wallingford, CT, USA, 2013. [Google Scholar]
  28. Karton, A.; O’Reilly, R.J.; Random, L. Assessment of theoretical procedures for calculating barrier heights for a diverse set of water-catalyzed proton-transfer reactions. J. Phys. Chem. A. 2012, 116, 4211–4221. [Google Scholar] [CrossRef]
  29. Yu, H.; Wang, S.; Sun, Y.; Zhang, W.; Li, R.; Kang, X. Pyrolysis mechanism law of β-O-4 lignin dimer model compounds: A density functional theory study. Ind. Crop. Prod. 2022, 180, 114746. [Google Scholar] [CrossRef]
  30. Gonzalez, C.; Schlegel, H.B. An improved algorithm for reaction path following. J. Chem. Phys. 1989, 90, 2154–2161. [Google Scholar] [CrossRef]
Figure 1. Lignin monomer model compounds containing aldehyde and carboxyl groups at the Cα and Cβ sites.
Figure 1. Lignin monomer model compounds containing aldehyde and carboxyl groups at the Cα and Cβ sites.
Catalysts 14 00537 g001
Figure 2. The optimal geometric configurations of the lignin monomer model compounds M1x and M2x catalyzed by alkali metal ions. (unit: nm).
Figure 2. The optimal geometric configurations of the lignin monomer model compounds M1x and M2x catalyzed by alkali metal ions. (unit: nm).
Catalysts 14 00537 g002aCatalysts 14 00537 g002b
Figure 3. The optimal geometric configurations of the lignin monomer model compounds M3x and M4x catalyzed by alkali metal ions. (unit: nm).
Figure 3. The optimal geometric configurations of the lignin monomer model compounds M3x and M4x catalyzed by alkali metal ions. (unit: nm).
Catalysts 14 00537 g003
Figure 4. Decarbonylation reaction pathways of lignin monomer model compounds M1x and M2x.
Figure 4. Decarbonylation reaction pathways of lignin monomer model compounds M1x and M2x.
Catalysts 14 00537 g004
Figure 5. Decarboxylation reaction pathways of lignin monomer model compounds M3x and M4x.
Figure 5. Decarboxylation reaction pathways of lignin monomer model compounds M3x and M4x.
Catalysts 14 00537 g005
Table 1. Reaction energy barriers for decarbonylation of lignin monomer model compounds M1x and M2x under non-catalytic and alkali metal ion-catalytic conditions.
Table 1. Reaction energy barriers for decarbonylation of lignin monomer model compounds M1x and M2x under non-catalytic and alkali metal ion-catalytic conditions.
TypesSubstituentUncatalyzed (kJ/mol)Catalyzed (kJ/mol)Numerical Difference (kJ/mol)
R1R2R3Na+K+Na+K+
Benzaldehyde-based lignin monomersM11HHH383.8417.3412.933.529.1
M12OHHH388.7396.1403.27.414.5
M13OHOCH3H389.2361.2364.3−28.0−24.9
M14OHOCH3OCH3387.9361.9364.3−26.0−23.6
phenylacetaldehyde-based lignin monomerM21HHH329.9305.0316.4−24.9−13.5
M22OHHH332.2308.0318.0−24.2−14.2
M23OHOCH3H336.4306.4309.2−30.0−27.2
M24OHOCH3OCH3332.7316.6318.8−16.1−13.9
Table 2. Reaction energy barriers for decarboxylation of lignin monomer model compounds M3x and M4x under non-catalytic and alkali metal ion-catalytic conditions.
Table 2. Reaction energy barriers for decarboxylation of lignin monomer model compounds M3x and M4x under non-catalytic and alkali metal ion-catalytic conditions.
TypesSubstituentUncatalyzed (kJ/mol)Catalyzed (kJ/mol)Numerical Difference (kJ/mol)
R1R2R3Na+K+Na+K+
Benzoic acid-based lignin monomersM31HHH299.9321.8323.721.923.8
M32OHHH299.1320.2320.221.121.1
M33OHOCH3H288.6316.3314.427.725.8
M34OHOCH3OCH3287.2314.4313.227.226.0
Phenylacetic acid-based lignin monomersM41HHH294.4332.2326.137.831.7
M42OHHH296.4332.9326.636.530.2
M43OHOCH3H297.8330.3326.432.528.6
M44OHOCH3OCH3295.9330.5324.234.628.3
Disclaimer/Publisher’s Note: The statements, opinions and data contained in all publications are solely those of the individual author(s) and contributor(s) and not of MDPI and/or the editor(s). MDPI and/or the editor(s) disclaim responsibility for any injury to people or property resulting from any ideas, methods, instructions or products referred to in the content.

Share and Cite

MDPI and ACS Style

Jiang, X.; Han, Y.; Li, B.; Liu, J.; Zhou, G.; Du, X.; Wei, S.; Meng, H.; Hu, B. Catalytic Effect of Alkali Metal Ions on the Generation of CO and CO2 during Lignin Pyrolysis: A Theoretical Study. Catalysts 2024, 14, 537. https://doi.org/10.3390/catal14080537

AMA Style

Jiang X, Han Y, Li B, Liu J, Zhou G, Du X, Wei S, Meng H, Hu B. Catalytic Effect of Alkali Metal Ions on the Generation of CO and CO2 during Lignin Pyrolysis: A Theoretical Study. Catalysts. 2024; 14(8):537. https://doi.org/10.3390/catal14080537

Chicago/Turabian Style

Jiang, Xiaoyan, Yiming Han, Baojiang Li, Ji Liu, Guanzheng Zhou, Xiaojiao Du, Shougang Wei, Hanxian Meng, and Bin Hu. 2024. "Catalytic Effect of Alkali Metal Ions on the Generation of CO and CO2 during Lignin Pyrolysis: A Theoretical Study" Catalysts 14, no. 8: 537. https://doi.org/10.3390/catal14080537

APA Style

Jiang, X., Han, Y., Li, B., Liu, J., Zhou, G., Du, X., Wei, S., Meng, H., & Hu, B. (2024). Catalytic Effect of Alkali Metal Ions on the Generation of CO and CO2 during Lignin Pyrolysis: A Theoretical Study. Catalysts, 14(8), 537. https://doi.org/10.3390/catal14080537

Note that from the first issue of 2016, this journal uses article numbers instead of page numbers. See further details here.

Article Metrics

Back to TopTop