Tin Complexes Derived from the Acids Ph2C(X)CO2H (X = OH, NH2): Structure and ROP Capability
Abstract
1. Introduction
2. Results and Discussion
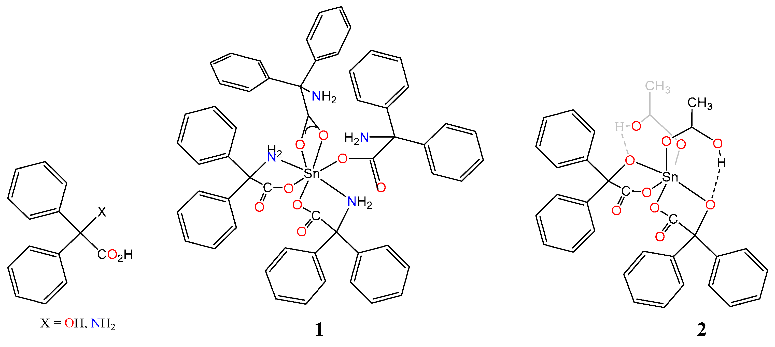
2.1. Diphenylglycine
2.2. Benzilic Acid
3. Ring Opening Polymerization (ROP)
3.1. Ring Opening Polymerization of ε-Caprolactone (ε-CL)
3.2. Ring Opening Polymerization of δ-Valerolactone (δ-VL)
4. TGA Measurements
5. Materials and Methods
5.1. Synthesis of {Sn[Ph2C(NH2)(CO2)]4}∙2MeCN (1∙2MeCN)
5.2. Synthesis of {Sn[Ph2C(O)(CO2)]2(CH3CO2H)2} (2)
5.3. ROP of ɛ-Caprolactone (ε-CL) and δ-Valerolactone (δ-VL)
5.4. Kinetic Studies
5.5. X-Ray Crystallography
6. Conclusions
Supplementary Materials
Author Contributions
Funding
Data Availability Statement
Acknowledgments
Conflicts of Interest
References
- Labet, M.; Thielemans, W. Synthesis of polycaprolactone: A review. Chem. Soc. Rev. 2009, 38, 3484–3504. [Google Scholar] [CrossRef] [PubMed]
- Iwata, T. Biodegradable and Bio-Based Polymers: Future Prospects of Eco-Friendly Plastics. Angew. Chem. Int. Ed. 2015, 54, 3210–3215. [Google Scholar] [CrossRef] [PubMed]
- Woodruff, M.A.; Hutmacher, D.W. The return of a forgotten polymer—Polycaprolactone in the 21st century. Prog. Polym. Sci. 2010, 35, 1217–1256. [Google Scholar] [CrossRef]
- Thomas, C.M. Stereocontrolled ring-opening polymerization of cyclic esters: Synthesis of new polyester microstructures. Chem. Soc. Rev. 2010, 39, 165–173. [Google Scholar] [CrossRef]
- Arbaoui, A.; Redshaw, C. Metal Catalysts for ε-caprolactone polymerisation. Polym. Chem. 2010, 1, 801–826. [Google Scholar] [CrossRef]
- Sarazin, Y.; Carpentier, J.-F. Discrete Cationic Complexes for Ring-Opening Polymerization Catalysis of Cyclic Esters and Epoxides. Chem. Rev. 2015, 115, 3564–3614. [Google Scholar] [CrossRef]
- Redshaw, C. Use of Metal Catalysts Bearing Schiff Base Macrocycles for the Ring Opening Polymerization (ROP) of Cyclic Esters. Catalysts 2017, 7, 165. [Google Scholar] [CrossRef]
- Gao, J.; Zhu, D.; Zhang, W.; Solan, G.A.; Ma, Y.; Sun, W.-H. Recent progress in the application of group 1, 2 & 13 metal complexes as catalysts for the ring opening polymerization of cyclic esters. Inorg. Chem. Front. 2019, 6, 2619–2652. [Google Scholar] [CrossRef]
- Lyubov, D.M.; Tolpygin, A.O.; Trifonov, A.A. Rare-earth metal complexes as catalysts for ring-opening polymerization of cyclic esters. Coord. Chem. Rev. 2019, 392, 83–145. [Google Scholar] [CrossRef]
- Santoro, O.; Redshaw, C. Use of Titanium Complexes Bearing Diphenolate or Calix[n]arene Ligands in α-Olefin Polymerization and the ROP of Cyclic Esters. Catalysts 2020, 10, 210. [Google Scholar] [CrossRef]
- Santoro, O.; Zhang, X.; Redshaw, C. Synthesis of biodegradable polymers: A review on the use of Schiff-base metal complexes as catalysts for the Ring Opening Polymerization (ROP) of cyclic esters. Catalysts 2020, 10, 800. [Google Scholar] [CrossRef]
- Munzeiwa, W.A.; Omondi, B.O.; Nyamori, V.O. Perspective into ring-opening polymerization of ε-caprolactone and lactides: Effect of, ligand, catalyst structure and system dynamics, on catalytic activity and polymer properties. Polym. Bull. 2024, 81, 9419–9464. [Google Scholar] [CrossRef]
- Available online: https://www.chemicalbook.com/ChemicalProductProperty_EN_CB0308694.htm (accessed on 14 January 2025).
- Kowalski, A.; Duda, A.; Penczek, S. Kinetics and mechanism of cyclic esters polymerization initiated with Tin(II) Octoate, 1. Polymerization of ε-caprolactone. Macromol. Rapid Commun. 1998, 19, 567–572. [Google Scholar] [CrossRef]
- Kricheldof, H.R.; Kreiser-Saunder, I.; Sticker, A. Polylactones 48. SnOct2-initiated polymerizations of lactide: A mechanistic study. Macromolecules 2000, 33, 702–709. [Google Scholar] [CrossRef]
- Duda, A.; Penczek, S.; Kowalski, A.; Libiszowski, J. Polymerizations of ε-caprolactone and L,L-dilactide initiated with tin octoate and tin butoxide a comparison. Macromol. Symp. 2000, 153, 41–53. [Google Scholar] [CrossRef]
- Byers, J.A.; Biernesser, A.B.; Delle Chiaie, K.R.; Kaur, A.; Kehl, J.A. Catalytic Systems for the Production of Poly(lactic acid). In Synthesis, Structure and Properties of Poly(lactic acid); Springer: Cham, Switzerland, 2017; p. 67. [Google Scholar]
- Kricheldorf, H.R.; Lee, S.R. Polylactones. 35. Macrocyclic and Stereoselective Polymerization of .beta.-D,L-Butyrolactone with Cyclic Dibutyltin Initiators. Macromolecules 1995, 28, 6718–6725. [Google Scholar] [CrossRef]
- Finne, A.; Albertsson, A.C. Controlled Synthesis of Star-Shaped l-Lactide Polymers Using New Spirocyclic Tin Initiators. Biomacromolecules 2002, 3, 684–690. [Google Scholar] [CrossRef]
- Kricheldorf, H.R.; Fechner, B. Polylactones. 59. Biodegradable Networks via Ring-Expansion Polymerization of Lactones and Lactides with a Spirocyclic Tin Initiator. Biomacromolecules 2002, 3, 691–695. [Google Scholar] [CrossRef]
- Storey, R.F.; Mullen, B.D.; Dsai, G.S.; Sherman, J.W.; Tang, C.N. Soluble tin(II) macroinitiator adducts for the controlled ring-opening polymerization of lactones and cyclic carbonates. J. Polym. Sci. Part A Polym. Chem. 2002, 40, 3434–3442. [Google Scholar] [CrossRef]
- Kricheldorf, H.R.; Fechner, B. Polylactones. LVIII. Star-Shaped Polylactones with Functional End Groups via Ring-Expansion Polymerization with a Spiro initiator. J. Polym. Sci. Part A Polym. Chem. 2002, 40, 1047–1057. [Google Scholar] [CrossRef]
- Odelius, K.; Finne, A.; Albertsson, A.C. Versatile and controlled synthesis of resorbable star-shaped polymers using a spirocyclic tin initiator—Reaction optimization and kinetics. J. Polym. Sci. Part A Polym. Chem. 2006, 44, 596–605. [Google Scholar] [CrossRef]
- Odelius, K.; Albertsson, A.C. Precision synthesis of microstructures in star-shaped copolymers of ϵ-caprolactone, L-lactide, and 1,5-dioxepan-2-one. J. Polym. Sci. Part A Polym. Chem. 2008, 46, 1249–1264. [Google Scholar] [CrossRef]
- Ma, W.-A.; Wang, Z.-X. Synthesis and characterisation of aluminium (III) and tin (II) complexes bearing quinoline-based N,N,O-tridentate ligands and their catalysis in the ring-opening polymerisation of ε-caprolactone. Dalton Trans. 2011, 40, 1778–1786. [Google Scholar] [CrossRef] [PubMed]
- Phomphrai, K.; Pongchan-o, C.; Thumrongpatanaraks, W.; Sangtrirutnugul, P.; Kongsaeree, P.; Pohmakotr, M. Synthesis of high-molecular-weight poly(ε-caprolactone) catalyzed by highly active bis(amidinate) tin(II) complexes. Dalton Trans. 2011, 40, 2157–2159. [Google Scholar] [CrossRef]
- Piromjitpong, P.; Ratanapanee, P.; Thumrongpatanaraks, W.; Kongsaeree, P.; Phomphrai, K. Synthesis of cyclic polylactide catalysed by bis(salicylaldiminato)tin(II) complexes. Dalton Trans. 2012, 41, 12704–12710. [Google Scholar] [CrossRef]
- Lee, E.J.; Lee, K.M.; Jang, J.; Kim, E.; Chung, J.S.; Do, Y.; Yoon, S.C.; Park, S.Y. Characteristics of silica-supported tin(II) methoxide catalysts for ring-opening polymerization (ROP) of L-lactide. J. Mol. Cat. A Chem. 2014, 385, 68–72. [Google Scholar] [CrossRef]
- Limwanich, W.; Khunmanee, S.; Kungwan, N.; Punyodom, W.; Meepowpan, P. Effect of tributyltin alkoxides chain length on the ring-opening polymerization of ε-caprolactone: Kinetics studies by non-isothermal DSC. Thermochim. Acta 2015, 599, 1–7. [Google Scholar] [CrossRef]
- Punyodom, W.; Limwanich, W.; Meepowpan, P. Tin(II) n-butyl L-lactate as novel initiator for the ring-opening polymerization of epsilon-caprolactone: Kinetics and aggregation equilibrium analysis by non-isothermal DSC. Thermochim. Acta 2017, 655, 337–343. [Google Scholar] [CrossRef]
- Praban, S.; Yimthachote, S.; Kiriratnikom, J.; Chotchatchawankul, S.; Tantirungrotechai, J.; Phomphrai, K. Synthesis and characterizations of bis(phenoxy)-amine tin(II) complexes for ring-opening polymerization of lactide. J. Polym. Sci. Part A Polym. Chem. 2019, 57, 2104–2112. [Google Scholar] [CrossRef]
- Sriyai, M.; Chaiwon, T.; Molloy, R.; Meepowpan, P.; Punyodom, W. Efficiency of liquid tin(II) n-alkoxide initiators in the ring-opening polymerization of l-lactide: Kinetic studies by non-isothermal differential scanning calorimetry. RSC Adv. 2020, 10, 43566–43578. [Google Scholar] [CrossRef]
- Kricheldorf, H.R.; Weidner, S.M. ROP of L-lactide and ε-caprolactone catalyzed by tin(ii) and tin(iv) acetates–switching from COOH terminated linear chains to cycles. J. Polym. Sci. 2021, 59, 439–450. [Google Scholar] [CrossRef]
- Kricheldorf, H.R.; Weidner, S.M. Syntheses of polylactides by means of tin catalysts. Polym. Chem. 2022, 13, 1618–1647. [Google Scholar] [CrossRef]
- Novák, M.; Milasheuskaya, Y.; Srb, M.; Podzimek, S.; Bouška, M.; Jambor, R. Synthesis of star-shaped poly(lactide)s, poly(valerolactone)s and poly(caprolactone)s via ROP catalysed by N-donor tin(II) cations and comparison of their wetting properties with linear analogues. RSC Adv. 2024, 14, 23273–23285. [Google Scholar] [CrossRef] [PubMed]
- Funfuenha, W.; Punyodom, W.; Meepowpan, P.; Limwanich, W. Microwave-assisted solvent-free ring-opening polymerization of ε-caprolactone initiated by n-butyltin(IV) chlorides. Polym. Bull. 2024, 81, 475–490. [Google Scholar] [CrossRef]
- Prior, T.J.; Burke, B.P.; Roberts, D.P.; Archibald, S.J.; Stasiuk, G.; Higham, L.J.; Redshaw, C. Water-Soluble Rhenium Phosphine Complexes Incorporating the Ph2C(X) Motif (X = O−, NH−): Structural and Cytotoxicity Studies. Inorg. Chem. 2020, 59, 2367–2378. [Google Scholar] [CrossRef]
- Al-Khafaji, Y.F.; Elsegood, M.R.J.; Frese, J.W.A.; Redshaw, C. Ring opening polymerization of lactides and lactones by multimetallic alkyl zinc complexes derived from the acids Ph2C(X)CO2H (X = OH, NH2). RSC Adv. 2017, 7, 4510–4517. [Google Scholar] [CrossRef]
- Wang, X.; Zhao, K.-Q.; Al-Khafaji, Y.F.; Mo, S.; Prior, T.J.; Elsegood, M.R.J.; Redshaw, C. Organoaluminium complexes derived from anilines or Schiff bases for the ring-opening polymerization of ε-caprolactone, δ-valerolactone and rac-lactide. Eur. J. Inorg. Chem. 2017, 2017, 1951–1965. [Google Scholar] [CrossRef]
- Al-Khafaji, Y.F.; Prior, T.J.; Horsburgh, L.; Elsegood, M.R.J.; Redshaw, C. Ring opening polymerization of lactides and lactones by multimetallic lithium complexes derived from the acids Ph2C(X)CO2H (X = OH, NH2). Chem. Select 2017, 2, 759–768. [Google Scholar] [CrossRef]
- Collins, J.; Santoro, O.; Prior, T.J.; Chen, K.; Redshaw, C. Rare-earth metal complexes derived from the acids Ph2C(X)CO2H (X = OH, NH2): Structural and ring opening polymerization (ROP) studies. J. Mol. Struct. 2021, 1224, 129083. [Google Scholar] [CrossRef]
- Alshamrani, A.F.A.; Santoro, O.; Ounsworth, S.; Prior, T.J.; Stasiuk, G.J.; Redshaw, C. Synthesis, characterisation and ROP catalytic evaluation of Cu(II) complexes bearing 2,2′-diphenylglycine-derived moieties. Polyhedron 2021, 195, 114977. [Google Scholar] [CrossRef]
- Zhang, X.; Prior, T.J.; Chen, K.; Santoro, O.; Redshaw, C. Ring opening polymerization of lactides and lactones by multimetallic titanium complexes derived from the acids Ph2C(X)CO2H (X = OH, NH2). Catalysts 2022, 12, 935. [Google Scholar] [CrossRef]
- Zhang, X.; Prior, T.J.; Redshaw, C. Niobium and Tantalum complexes derived from the acids Ph2C(X)CO2H (X = OH, NH2): Synthesis, structure and ROP capability. New J. Chem. 2022, 46, 14146–14154. [Google Scholar] [CrossRef]
- Glenister, M.A.; Frese, J.W.A.; Elsegood, M.R.J.; Canaj, A.B.; Brechin, E.; Redshaw, C. Reaction of Ph2C(X)(CO2H) (X = OH, NH2) with [VO(OR)3] (R = Et, nPr): Structure, magnetic susceptibility and ROP capability. Dalton Trans. 2024, 53, 5351–5355. [Google Scholar] [CrossRef]
- Braun, M. The “Magic” Diarylhydroxymethyl Group. Angew. Chem. 1996, 35, 519–522. [Google Scholar] [CrossRef]
- Coxall, R.A.; Harris, S.G.; Henderson, D.K.; Parsons, S.; Tasker, P.A.; Winpenny, R.E.P. Inter-ligand reactions: In situ formation of new polydentate ligands. J. Chem. Soc. Dalton Trans. 2000, 2349–2356. [Google Scholar] [CrossRef]
- Etter, M.C.; MacDonald, J.C. Graph-Set Analysis of Hydrogen-Bond Patterns in Organic Crystals. Acta Cryst. 1990, B46, 256–262. [Google Scholar] [CrossRef]
- Delgado, G.E.; Mora, A.J.; Ramírez, B.; Díaz de Delgado, G.; Cisterna, J.; Cádenas, A.; Brito, I. Synthesis, Crystal Structure and Hirshfeld Surface Analysis of a new Coordination Polymer: Strontium Benzilate. J. Chil. Chem. Soc. 2021, 66, 5081–5085. [Google Scholar] [CrossRef]
- March, J. Advanced Organic Chemistry: Reactions, Mechanisms, and Structure, 2nd ed.; McGraw-Hill, Inc.: New York, NY, USA, 1977. [Google Scholar]
- Parris, C.L.; Christenson, R.M. N-Alkylation of Nitriles with Benzyl Alcohol, Related Alcohols, and Glycols. J. Org. Chem. 1960, 25, 331. [Google Scholar] [CrossRef]
- Mo, J.; Zhang, X.; Zhao, N.; Xiao, F.; Wei, W.; Sun, Y. Mechanism of TBD-catalyzed hydrolysis of acetonitrile. J. Mol. Struct Theochem. 2009, 911, 40–45. [Google Scholar] [CrossRef]
- Huang, C.-H.; Wang, F.-C.; Ko, B.-T.; Yu, T.-L.; Lin, C.-C. Ring-Opening Polymerization of ε-Caprolactone and L-Lactide Using Aluminum Thiolates as Initiator. Macromolecules 2001, 34, 356–361. [Google Scholar] [CrossRef]
- Save, M.; Schappacher, M.; Soum, A. Controlled Ring-Opening Polymerization of Lactones and Lactides Initiated by Lanthanum Isopropoxide, 1. General Aspects and Kinetics. Macromol. Chem. Phys. 2002, 203, 889–899. [Google Scholar] [CrossRef]
- Dubois, P.; Coulembier, O.; Raquez, J.-M. (Eds.) Handbook of Ring Opening Polymerization; Wiley-VCH: Hoboken, NJ, USA, 2009; p. 594. [Google Scholar] [CrossRef]
- Sheldrick, G.M. Crystal structure refinement with SHELXL. Acta Cryst. 2015, C71, 3–8. [Google Scholar] [CrossRef]
- Sheldrick, G.M. SHELXT—Integrated space-group and crystal-structure determination. Acta Cryst. 2015, A71, 3–8. [Google Scholar] [CrossRef]
- Palatinus, L.; Chapuis, G. SUPERFLIP—A computer program for the solution of crystal structures by charge flipping in arbitrary dimensions. J. Appl. Cryst. 2007, 40, 786–790. [Google Scholar] [CrossRef]













| Entry | Cat. | [CL]:[Cat] | T/°C | Conv a (%) | Mn(obsv) b | Mn Corrected c | Mn,Cal d | Ð b |
|---|---|---|---|---|---|---|---|---|
| 1 | 1 | 500:1 | 130 | >99 | 19,330 | 10,840 | 56,520 | 4.95 |
| 2 e | 1 | 500:1 | 130 | >99 | 9150 | 5140 | 56,250 | 1.84 |
| 3 | 1 | 1000:1 | 130 | 91 | 87,060 | 48,750 | 103,890 | 3.81 |
| 4 e | 1 | 1000:1 | 130 | 81 | 16,300 | 9130 | 92,470 | 1.64 |
| 5 | 1 | 100:1 | 130 | 97 | 20,210 | 11,320 | 11,090 | 2.28 |
| 6 e | 1 | 100:1 | 130 | 99 | 7460 | 4180 | 11,320 | 1.87 |
| 7 f | 1 | 500:1 | 130 | >99 | 18,300 | 10,250 | 56,520 | 2.15 |
| 8 e,f | 1 | 500:1 | 130 | 98 | 14,020 | 7850 | 55,950 | 1.80 |
| 9 | 1 | 250:1 | 130 | 90 | 39,410 | 22,070 | 25,700 | 2.01 |
| 10 e,f | 1 | 250:1 | 130 | >99 | 13,840 | 7750 | 28,270 | 3.44 |
| 11 f | 1 | 250:1 | 130 | >99 | 70,370 | 39,410 | 28,270 | 2.01 |
| 12 | 1 | 500:1 | 15 | 0 | - | - | - | - |
| 13 e | 1 | 500:1 | 15 | 0 | - | - | - | - |
| 14 | 2 | 500:1 | 130 | >99 | 47,700 | 26,710 | 56,520 | 1.75 |
| 15 e | 2 | 500:1 | 130 | >99 | 38,880 | 21,770 | 56,520 | 1.48 |
| 16 f | 2 | 500:1 | 130 | 91 | 27,580 | 15,440 | 51,950 | 2.02 |
| 17 e,f | 2 | 500:1 | 130 | 99 | 9570 | 5360 | 56,520 | 2.00 |
| 18 | 2 | 500:1 | 15 | 44 | - | - | - | - |
| 19 e | 2 | 500:1 | 15 | 18 | - | - | - | - |
| 20 | Sn(Oct)2 | 500:1 | 130 | 99 | 55,530 | 31,100 | 56,520 | 1.91 |
| 21 e | Sn(Oct)2 | 500:1 | 130 | 56 | 10,730/3440 | 6010/1930 | 31,980 | 1.21/1.11 |
| 22 | Sn(Oct)2 | 500:1 | 130 | 92 | 21,120 | 11,830 | 52,520 | 2.31 |
| 23 e,f | Sn(Oct)2 | 500:1 | 130 | >99 | 10,920 | 6120 | 56,520 | 1.64 |
| 24 | Sn(Oct)2 | 500:1 | 15 | 0 | - | - | - | - |
| 25 e | Sn(Oct)2 | 500:1 | 15 | 2 | - | - | - | - |
| 26 | Sn(OtBu)4 | 500:1 | 15 | 0 | - | - | - | - |
| 27 e | Sn(OtBu)4 | 500:1 | 15 | 0 | - | - | - | - |
| 28 | Sn(OtBu)4 | 500:1 | 130 | >99 | 57,940 | 32,450 | 56,520 | 7.81 |
| 29 f | Sn(OtBu)4 | 500:1 | 130 | 99 | 124,070 | 69,480 | 56,520 | 23.9 |
| Entry | Cat. | [VL]:[Cat] | T/°C | Conv a (%) | Mnb | Mn corrected | Mn,Calc | Ð d |
|---|---|---|---|---|---|---|---|---|
| 1 | 1 | 500:1 | 15 | 81 | 4400 | 2510 | 40,570 | 1.60 |
| 2 e | 1 | 500:1 | 15 | 80 | 3540 | 2020 | 40,070 | 2.57 |
| 3 | 1 | 500:1 | 130 | >99 | 7190 | 4100 | 49,580 | 3.24 |
| 4 e | 1 | 500:1 | 130 | >99 | 13240 | 7540 | 49,580 | 1.07 |
| 5 f | 1 | 500:1 | 130 | 93 | 17,390/3200 | 9910/1820 | 46,570 | 1.29/1.39 |
| 6 e,f | 1 | 500:1 | 130 | >99 | 5210 | 2970 | 49,580 | 1.61 |
| 7 | 2 | 500:1 | 130 | 88 | 16,060/3560 | 9150/2050 | 44,070 | 1.17/1.38 |
| 8 e | 2 | 500:1 | 130 | >99 | 13,540 | 7720 | 49,580 | 1.60 |
| 9 f | 2 | 500:1 | 130 | 94 | 6040 | 3380 | 47,070 | 2.20 |
| 10 e,f | 2 | 500:1 | 130 | 99 | 9560 | 5450 | 49,580 | 2.14 |
| 11 | 2 | 500:1 | 15 | 78 | 3660 | 2090 | 39,060 | 2.39 |
| 12 e | 2 | 500:1 | 15 | 77 | 2860 | 1630 | 38,560 | 2.15 |
| 13 | Sn(Oct)2 | 500:1 | 130 | >99 | 8710 | 4960 | 49,580 | 1.99 |
| 14 e | Sn(Oct)2 | 500:1 | 130 | >99 | 8040 | 4580 | 49,580 | 1.65 |
| 15 f | Sn(Oct)2 | 500:1 | 130 | 90 | 4130 | 2350 | 45,070 | 9.78 |
| 16 e,f | Sn(Oct)2 | 500:1 | 130 | >99 | 6620 | 3770 | 49,580 | 2.15 |
| 17 | Sn(Oct)2 | 500:1 | 15 | 89 | 2740 | 1560 | 44,570 | 1.89 |
| 18 e | Sn(Oct)2 | 500:1 | 15 | 88 | 2450 | 1400 | 44,070 | 1.47 |
| 19 | Sn(OtBu)4 | 500:1 | 15 | 68 | 7540/4220 | 4300/2410 g | 34,060 | 1.03/1.02 |
| 20 e | Sn(OtBu)4 | 500:1 | 15 | 51 | 2810/1640 | 1600/930 | 25,550 | 1.03/1.03 |
| 21 | Sn(OtBu)4 | 500:1 | 130 | >99 | 77,970 | 44,440 | 49,580 | 4.27 |
| 22f | Sn(OtBu)4 | 500:1 | 130 | >99 | 38,890 | 22,170 | 49,580 | 2.96 |
| Compound | 1∙2MeCN | 2 |
|---|---|---|
| Formula | C64H54N6O8Sn | C32H28O10Sn |
| Formula weight | 1105.78 | 691.23 |
| Crystal system | Triclinic | Tetragonal |
| Space group | P1 | I-42d |
| Unit cell dimensions | ||
| a (Å) | 14.8890(3) | 21.0627(5) |
| b (Å) | 14.9289(3) | 21.0627(5) |
| c (Å) | 15.0152(3) | 14.9499(5) |
| α (°) | 114.697(2) | 90 |
| β (°) | 104.025(2) | 90 |
| γ (°) | 108.449(2) | 90 |
| V (Å3) | 2590.53(10) | 6632.3(4) |
| Z | 2 | 8 |
| Temperature (K) | 100(2) | 100(2) |
| Wavelength (Å) | 0.71075 | 1.54184 |
| Calculated density (gcm–3) | 1.418 | 1.385 |
| Absorption coefficient (mm–1) | 0.557 | 6.578 |
| Crystal size (mm3) | 0.10 × 0.07 × 0.03 | 0.25 × 0.20 × 0.12 |
| θ(max) (°) | 61.0 | 140.0 |
| Reflections measured | 66,619 | 43,429 |
| Unique reflections | 15,748 | 3162 |
| Rint | 0.056 | 0.086 |
| Number of parameters | 686 | 195 |
| R1 [F2 > 2σ(F2)] | 0.049 | 0.074 |
| wR2 (all data) | 0.131 | 0.16 |
| GOOF, S | 1.05 | 1.21 |
| Largest difference peak and hole (e Å−3) | 2.61 and −0.61 | 0.65 and −1.10 |
Disclaimer/Publisher’s Note: The statements, opinions and data contained in all publications are solely those of the individual author(s) and contributor(s) and not of MDPI and/or the editor(s). MDPI and/or the editor(s) disclaim responsibility for any injury to people or property resulting from any ideas, methods, instructions or products referred to in the content. |
© 2025 by the authors. Licensee MDPI, Basel, Switzerland. This article is an open access article distributed under the terms and conditions of the Creative Commons Attribution (CC BY) license (https://creativecommons.org/licenses/by/4.0/).
Share and Cite
Prior, T.J.; Redshaw, C. Tin Complexes Derived from the Acids Ph2C(X)CO2H (X = OH, NH2): Structure and ROP Capability. Catalysts 2025, 15, 261. https://doi.org/10.3390/catal15030261
Prior TJ, Redshaw C. Tin Complexes Derived from the Acids Ph2C(X)CO2H (X = OH, NH2): Structure and ROP Capability. Catalysts. 2025; 15(3):261. https://doi.org/10.3390/catal15030261
Chicago/Turabian StylePrior, Timothy J., and Carl Redshaw. 2025. "Tin Complexes Derived from the Acids Ph2C(X)CO2H (X = OH, NH2): Structure and ROP Capability" Catalysts 15, no. 3: 261. https://doi.org/10.3390/catal15030261
APA StylePrior, T. J., & Redshaw, C. (2025). Tin Complexes Derived from the Acids Ph2C(X)CO2H (X = OH, NH2): Structure and ROP Capability. Catalysts, 15(3), 261. https://doi.org/10.3390/catal15030261
