Abstract
We investigated the interactions between nickel oxide and silica–alumina supports, which were applied to the catalytic oligomerization of ethylene by powder X-ray diffraction, UV diffuse reflectance spectroscopy, H2 temperature-programmed reduction, and X-ray photoelectron spectroscopy. The catalytic activity was also correlated with the acidity of catalysts determined by NH3 temperature-programmed desorption and pyridine FT-IR spectroscopy. Although all the catalysts had similar Ni contents, their catalytic performances were strongly influenced by the strength of the metal oxide–support interaction. Strong interaction promoted the formation of nickel aluminate on the catalyst surface, and resulted in low catalytic activity due to reducing the amount of nickel oxide active sites. However, weak interaction favored the aggregation of nickel oxide species into larger particles, and thus resulted in low ethylene conversion and selectivity to oligomers. Eventually, the optimal activity was realized at the medium interaction strength, preserving a high amount of both active nickel oxides and acid sites.
1. Introduction
Biofuels and biochemicals have a great deal of interest because of global warming. Among them, bioethanol is one of the most abundant sustainable raw materials of biocarbon sources today [1]. Bioethanol-derived ethylene could be widely used in the syntheses of transportation fuels, chemicals, polymer derivatives, etc. [1,2,3]. In particular, the oligomerization of bioethanol-derived ethylene over heterogeneous catalysts has been extensively investigated as part of green chemistry processes [4,5,6]. Even though heterogeneous catalysis afford low product yields due to suffering from mass transfer limitations, they do not feature the inherent drawbacks of homogeneous catalysis, such as difficulty in handling and separation from products, poor result reproducibility, and high cost, and thus being a subject of intensive research.
The heterogeneous oligomerization of ethylene has usually been attempted using Ni-based solid acid catalysts supported on several zeolites such as ZSM-5 [7,8,9,10], Y [11,12,13,14], beta [15], MCM-22 [13,16,17], and MCM-36 [16,17], and ordered mesoporous Al-SBA-15 [18,19], Al-MCM-48, and Al-MCM-41 [13,18,20,21,22,23,24]. In addition, various non-crystalline amorphous materials, i.e., silica–alumina (SA) [25,26,27,28,29,30], sulfated alumina [31,32,33,34], B2O3-Al2O3 [35], ZrO2/WO3 [36,37], ZrO2/MoO3 [38], ZrO2/SO42− [39], and TiO2/SO42− [40], have been studied as a support for the ethylene oligomerization. Since both Brønsted (B.A) and Lewis acid (L.A) sites are also crucial for ethylene oligomerization, numerous reports have demonstrated the dependence of catalytic activity on the acidity of support materials (reflected by the Si/Al ratio in case of SAs) and the nature and content of transition metals [7,18,25,28,29,36,37,41,42].
The interaction between metal oxide and support has been demonstrated in a redox process as a representative phenomenon using an iron or vanadium oxide supported on silica, zirconia, alumina, ceria, niobia, titania, etc. via Møssbauer, Raman, IR, and temperature-programmed reduction (TPR) [43,44,45]. Moreover, metal oxide–support interaction or surface oxide–support interaction has been reported to exhibit a pattern similar to metal–support interaction [43,45]. The metal–support interaction has been well established theoretically in various catalytic reactions such as the water–gas shift reaction [46], hydrogenation [47], and Fischer–Tropsch synthesis [48], and specifically divided into three types according to interaction strength, i.e., strong (SMSI), medium (MMSI), and weak metal–support interaction (WMSI). These usually depend on the loaded metal amount, calcination conditions, and surface species of support, including additives [49]. For example, SMSI can be explained from three representative viewpoints. The first explanation assumes that support ions such as Ti4+ are partially reduced by hydrogen spillover in adjacent metal particles, which causes the formation of species such as Ti4O7 [50]. According to the second explanation, SMSI changes the shape of supported metal particles to promote their dispersion [50], whereas the third explanation suggests that the reduced titanium oxide represented as TiOx migrates to surfaces of metal such as Pt, Rh, or Ni [51,52].
Herein, we performed ethylene oligomerization over heterogeneous catalysts comprising nickel oxide supported on SAs (NiOx/SA) with different Si/Al ratios to produce fuel grade hydrocarbons. In our previous study, the Ni/Siral-30 with 4 wt % of Ni (NiOx/SA-028 in this study, see below) had showed a good catalytic activity for ethylene oligomerization in a continuous fixed-bed reactor [53]. This catalyst gave almost complete ethylene conversion and stability over 100 h at 200 °C, 10 bar, and a weight hourly space velocity (WHSV) of 0.375 h−1. In a series of previous research, in this study, we investigated the effects of support acidity, Ni oxidation state, and particle size of Ni-containing species, and thus the metal oxide–support interaction on the catalytic reaction. To the best of our knowledge, this is the first study of the metal oxide–support interaction for the ethylene oligomerization. Similar to the metal–support interaction, the strength of the metal oxide–support interaction was classified with three stages of strong, medium, and weak. The electronic properties and acidity of catalysts were determined by UV diffuse reflectance spectroscopy (UV-DRS), H2-TPR, X-ray photoelectron spectroscopy (XPS), NH3-temperature programmed desorption (NH3-TPD), and pyridine-FT-IR (py-FT-IR).
2. Results and Discussion
2.1. Structural and Electronic Properties of NiOx/SA Catalysts
The chemical composition and textural properties of the catalysts prepared in this study are summarized in Table 1. Five NiOx/SA catalysts with different Si/Al ratios but nearly identical Ni contents (3.4–3.9 wt %) were synthesized by an incipient wetness impregnation method. The prepared catalysts were designated as NiOx/SA-001, -007, -028, -047, and -386, respectively, according to their Si/Al ratios. The textural properties did not show any trends according to the Si/Al ratios. Although the activity and stability of oligomerization are most affected by mass transfer (diffusion), the large pore sizes in several nanometers of these NiOx/SA catalysts may have no diffusion limitation problem.
Table 1.
Chemical composition and textural properties of the catalysts prepared in this study.
Figure 1 shows their powder XRD patterns. For comparison, some reference patterns of the Inorganic Crystal Structure Database (ICSD) are also given in Figure 1. All the NiOx/SA catalysts featured the presence of spinel and trigonal alumina phases described by Fm3m (ICSD #30267) and R3CH (ICSD #30025) space groups, respectively. In addition, trigonal and monoclinic nickel oxides phases represented by Fm3m (NiO; ICSD #24018) and C12/m1 (NiO2; ICSD #88720) space groups were also detected. The increasing alumina content upon going from NiOx/SA-386 to NiOx/SA-001 favored a spinel structure, whereas the trigonal structure was dominant in the catalysts with low alumina content. Since the nickel oxide phase contained both NiO and NiO2 phases, we suggested the non-stoichiometric nickel oxide as the nickel oxide phase (NiOx). This can also be confirmed by H2-TPR and Ni 2p of XPS spectra (see below). NiO2 was the only nickel oxide species observed together with NiO, but other species such as Ni2O3 were absent.
Figure 1.
XRD patterns of (A) NiOx/SA-001, (B) NiOx/SA-007, (C) NiOx/SA-028, (D) NiOx/SA-047, and (E) NiOx/SA-386. Inorganic Crystal Structure Database (ICSD) reference patterns of (a) Al2O3 (#30267, Fm3m), (b) Al2O3 (#30025,R3CH), (c) NiO2 (#88720, C12/m1), and (d) NiO (#24018, Fm3m).
It is well known that Ni2+ can migrate into the alumina lattice by solid-state diffusion during impregnation when the alumina surface is dissolved in Ni(NO3)2 solution and calcination is carried out above 550 °C [49,54,55]. For example, γ-alumina is well known to have a cation-deficient spinel structure featuring mixed tetrahedral and octahedral sites that can accommodate divalent metal cations such as Ni2+ to achieve structural stabilization [49,55]. However, in this study, even though some Ni ions were accommodated in the alumina lattice, no bulk NiAl2O4 phase was observed in the XRD pattern, which was probably due to the small Ni loading (3.4–3.9 wt %) and the well-dispersed amorphous structure of the support surface (Figure 1). In addition, only small particles of NiOx well dispersed on SAs were observed especially in NiOx/SA-001, -007, and -028, while NiOx/SA-047 and -386 exhibited aggregated NiOx particles in specific regions of supports, as revealed by high-angle-annular dark-field (HAADF)-transmission electron microscope (TEM) images and energy-dispersive X-ray (EDS) elemental maps (Figure S1).
The symmetry and coordination of catalyst surface species were investigated by UV-DRS (Figure 2). According to the literature, the reflectance spectra of NiO and NiAl2O4 exhibited distinct bands ascribed to different d-d transitions. Specifically, the bands at 377 and 715 nm were assigned to octahedral Ni2+ in the NiO lattice, with the 3A2g → 3T1g (F) transition being a fingerprint of NiO [49,56,57,58]. In addition, the band at 510 nm was ascribed to charge transfer in NiO [57]. NiO in Al2O3 exhibited significantly different absorption bands at 555 and 600–645 nm (doublet), which were attributed to 3T1 → 1T2 and 3T1 → 3T1 (P) transitions of tetrahedrally coordinated Ni2+ in the Al2O3 lattice, respectively, with the band at 416–430 nm ascribed to the 3A2g → 3T1g (P) transition of octahedrally coordinated Ni2+ in the Al2O3 lattice [49,56,57,58]. Thus, Ni2+ ions were accommodated in both octahedral and tetrahedral sites of the Al2O3 oxygen lattice, which led to nickel aluminate as a surface spinel phase [58]. Furthermore, NiO bands at 377 and 715 nm observed in NiOx/SA-386 and that at 715 nm observed in NiOx/SA-047 were in agreement with the results of EDS mapping and HAADF-TEM imaging, which revealed that NiOx/SA-386 featured aggregated NiO particles on the SA surface (Figure S1).
Figure 2.
UV-DRS spectra of (A) NiOx/SA-001, (B) NiOx/SA-007, (C) NiOx/SA-028, (D) NiOx/SA-047, and (E) NiOx/SA-386.
H2-TPR profiles were obtained to investigate the correlation between the reducibility from NiOx–SA support interaction and activity (Figure 3 and Table 2). Any distinct peaks were not detected from bare SA-007, while Ni-loaded SA catalysts showed several reduction peaks, especially in NiOx/SA-386. The observed peaks were assigned to the reduction of Ni2O3 [59], allowing the reduction of Niδ+ species to be classified into three steps based on the XRD pattern of NiOx/SA-386: (i) NiOx (1< x ≤2) to NiO at ~391 °C; (ii) the fragmentation of large NiO particles into smaller ones at ~544 °C; and (iii) a reduction of small NiO particles to Ni at ~623 °C. However, except for NiOx/SA-386, the other Al-rich NiOx/SA catalysts only exhibited a broad NiO reduction peak that appeared around 700–850 °C, which was shifted to higher temperature with increasing alumina fraction [60,61,62,63]. The peak above 800 °C was attributed to the reduction of the least reactive Ni2+ species in the surface spinel structure of NiAl2O4, i.e., nickel ions coordinated in octahedral and tetrahedral sites of alumina and strongly interacting with the support [56,58,59,64]. The formation of surface NiAl2O4 by nickel ion incorporation accounted for the high dispersion of NiO particles [65].
Figure 3.
H2-TPR profiles of (A) NiOx/SA-001, (B) NiOx/SA-007, (C) NiOx/SA-028, (D) NiOx/SA-047, (E) NiOx/SA-386, and (F) SA-007.
Table 2.
The amount of reducible Ni species determined by H2-TPR.
Reduction patterns of NiOx on different SAs depended on the strength of NiOx–SA interactions, being influenced by the alumina content and phase. The H2-TPR profile of NiOx/SA-386 showed three main peaks, corresponding to (in the order of increasing temperature) the reduction of large (bulk-like) NiO particles, the reduction of NiO weakly interacting with alumina (Al–O–Ni moieties), and the reduction of Ni species incorporated into alumina (crystalline NiAl2O4) [66,67,68,69]. Thus, the reduction peak shifted to lower temperatures with the decreasing strength of the NiOx–support interaction. Based on the obtained H2-TPR profiles, the above interaction was the strongest for NiOx/SA-001 and NiOx/SA-007, resulting in the formation of surface NiAl2O4 species and highly dispersed small and poorly reducible NiO particles [49,70]. On the other hand, NiOx/SA-386 exhibited a weak metal oxide–support interaction leading to the formation of larger NiO particles, and NiOx/SA-028 and NiOx/SA-047 exhibited a medium-strength metal oxide–support interaction.
Figure 4 shows the Ni 2p XPS spectra of the NiOx/SA catalysts prepared in this study. The Ni 2p species can be deconvoluted in three different states, corresponding to interfacial phases of NiO, NiOx, and NiAl2O4, the Ni 2p3/2 peaks of which were located at 854–856, 856–857, and 857–858 eV, respectively (Table 3). Niδ+ by NiOx was correlated with the higher binding-energy changes of Ni2+ due to the adjacent nickel oxide, silica, and alumina structures [58]. NiOx/SA-386 exhibited lower binding energies of Ni2+ (from NiO) and Niδ+ (from NiOx) due to the increased extent of electron transfer from neighboring silica in the SA structure to nickel species observed with increasing silica content. Moreover, the binding energy of Ni2+ in NiAl2O4 was increased due to electron transfer from nickel species to the neighboring alumina in the SA structure, which was promoted by the strong interaction between the surface nickel and the alumina support. The proportion of Ni2+ present as NiAl2O4 decreased from NiOx/SA-001 to NiOx/SA-386 due to the concomitantly increasing Si/Al ratio (Table 3), implying a simultaneous decrease in the surface nickel oxide–support alumina interaction strength.
Figure 4.
XPS spectra of Ni 2p obtained from (A) NiOx/SA-001, (B) NiOx/SA-007, (C) NiOx/SA-028, (D) NiOx/SA-047, and (E) NiOx/SA-386.
Table 3.
Relative intensities of XPS spectra of Ni 2p3/2.
As the metal oxide–support interaction changed, the number of aggregated nickel oxides also changed. The Ni2+/Niδ+ ratio was controlled in the following order: NiOx/SA-386 < NiOx/SA-001 < NiOx/SA-007 < NiOx/SA-047 < NiOx/SA-028. The Ni2+/Niδ+ ratio can be correlated with catalytic performance (see below) because Ni2+ derived from NiO as the lowest binding energy in the nickel oxidation states can be most advantageous for the catalytic performance as one of active sites in this study. The weakened metal oxide–support interaction was also confirmed by the presence of aggregated nickel oxides on the SA surface in NiOx/SA-047 and NiOx/SA-386, as determined by EDS maps (Figure S1).
2.2. Acid Site Properties of NiOx/SA Catalysts
According to the plausible mechanism, L.A sites formed by nickel oxides and SA derived B.A sites can catalyze ethylene oligomerization [22,24,71]. To be specific, ethylene is believed to be activated by L.A by nickel ion species such as Ni2+ and Niδ+, with isomerization (including hydrogen transfer) propagating and terminating at B.A sites. Since both of the above sites were thought to be involved in ethylene oligomerization, the number of acid sites can be considered to produce the oligomers as decreasing in the order of NiOx/SA-047 > NiOx/SA-028 > NiOx/SA-386 > NiOx/SA-007 > NiOx/SA-001 and NiOx/SA-047 > NiOx/SA-028 > NiOx/SA-386 ~ NiOx/SA-007 > NiOx/SA-001 determined by NH3-TPD and py-FT-IR, respectively (Figure 5 and Table 4). To investigate the effect of specific acid sites, we also compared the B.A/L.A ratios of NiOx/SA catalysts characterized by py-FT-IR, which revealed that the B.A/L.A ratio increased in the order of Ni/SA-001 ~ Ni/SA-007 < Ni/SA-028 < Ni/SA-386 < Ni/SA-047 (Table 4).
Figure 5.
(a) NH3-TPD profiles and (b) py-FT-IR spectra of (A) NiOx/SA-001, (B) NiOx/SA-007, (C) NiOx/SA-028, (D) NiOx/SA-047, and (E) NiOx/SA-386.
Table 4.
Acid site properties determined by NH3-TPD and pyridine-FT-IR (py-FT-IR).
2.3. Ethylene Oligomerization over NiOx/SA Catalysts
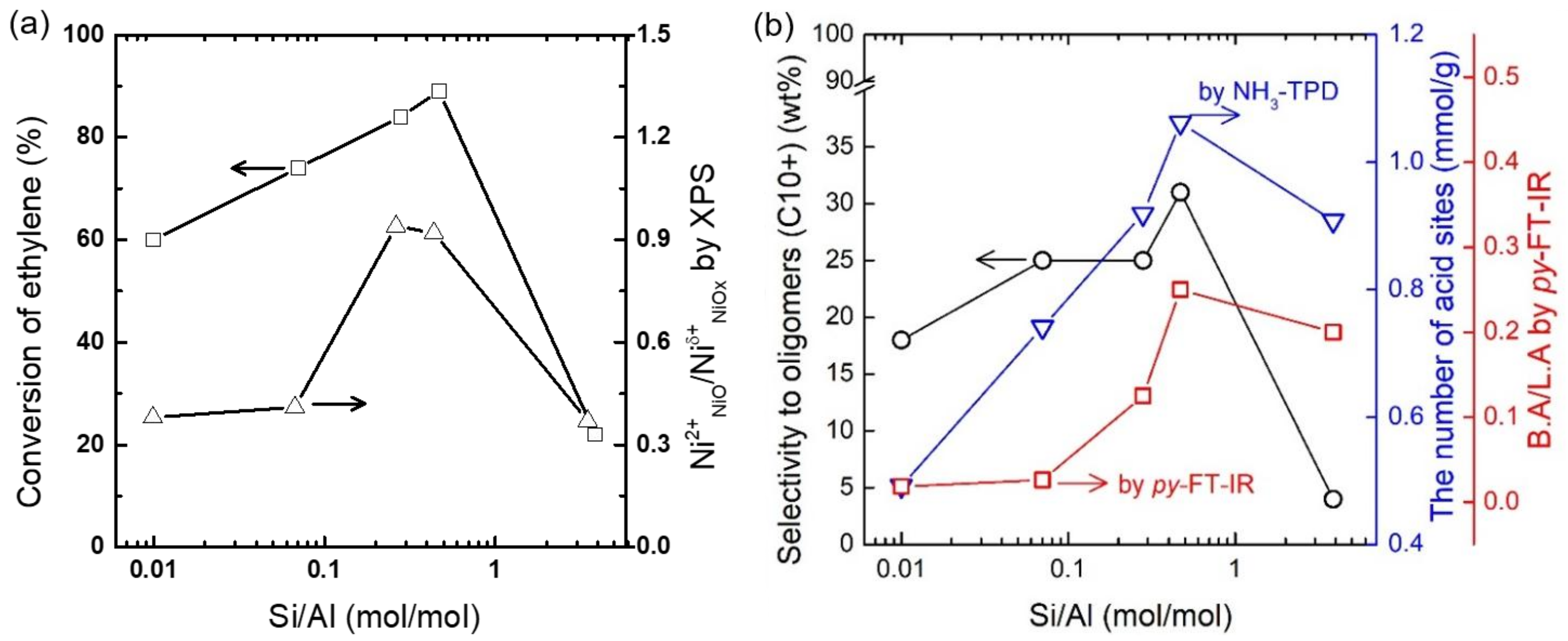
Ethylene oligomerization was performed on the five NiOx/SA catalysts with different Si/Al ratios (0.01–3.86) at 200 °C, 10 bar, and 0.375 h−1 WHSV, which are identical to those in our previous study [2,53]. Figure 6 shows the ethylene conversion and selectivity to products. The average ethylene conversion and selectivity to C10+ are compared with the characterization results of XPS, NH3-TPD, and py-FT-IR in Figure 7. After the entire reaction time of 16 h, the average ethylene conversion decreased in the order of NiOx/SA-047 (89%) > NiOx/SA-028 (84%) > NiOx/SA-007 (74%) > NiOx/SA-001 (60%) > NiOx/SA-386 (22%). NiOx/SA-386 achieved not only the lowest ethylene conversion but also the lowest selectivity to C10+. As discussed above, despite the acid site density of NiOx/SA-386 not being the lowest, it showed weak metal oxide–support interaction, which induced nickel oxide aggregation to produce large particles. Therefore, reduced NiOx active sites should lead to the lower catalytic activity. On the other hand, NiOx/SA-001 and NiOx/SA-007 exhibited the medium level of ethylene conversion among the five catalysts. Those catalysts featured highly dispersed nickel oxides species on SA support determined by H2-TPR (Figure 3) and EDS mapping images of HAADF-TEM (Figure S1). This indicates a strong metal oxide–support (especially alumina species because of its relatively large amount) interaction that incorporated Ni species into the alumina structure, leading to producing a large amount of deactivated nickel oxide species for ethylene activation by the formation of surface NiAl2O4. In other words, ethylene can be activated by a nickel oxide, especially Ni2+ from NiO. We should note here that NiOx/SA-028 and NiOx/SA-047 exhibiting a medium metal oxide–support interaction resulted in the best catalytic performance among the catalysts. As shown in Figure 7, Ni2+ from NiO/Niδ+ from the NiOx ratio of those two catalysts were the highest and second highest, respectively. In addition, NiOx/SA-047 had the highest acid site density and B.A/L.A ratio. From the overall results, it can be concluded that the ethylene oligomerization performance can be strongly influenced by the metal oxide–support interaction strength as well as acid site properties.
Figure 6.
(a) Ethylene conversion as a function of time on stream (TOS) over NiOx/SA-001, NiOx/SA-007, NiOx/SA-028, NiOx/SA-047, and NiOx/SA-386 at 00 °C, 10 bar, and 0.375 h−1 WHSV and (b) selectivity to products of gas (C2–C6) and liquid phases (C4–C10+) obtained after 16 h on stream.
Figure 7.
Comparisons between (a) ethylene conversion and Ni2+/Niδ+ ratio determined by XPS and (b) selectivity to C10+ oligomers and total number of acid sites and B.A/L.A ratio determined by NH3-TPD and py-FT-IR, respectively. Conversion and selectivity are the average values obtained after the entire reaction time of 16 h performed at 200 °C, 10 bar, and 0.375 h−1 WHSV. The Ni2+/Niδ+ ratio was derived from the deconvoluted area ratio of NiO and NiOx Ni 2p3/2 XPS spectra.
3. Materials and Methods
3.1. Preparation of NiOx/SA Catalysts
Four Siral series (Siral-1, -10, -30, and -40) silica–aluminas and one other silica–alumina were purchased from Sasol and Aldrich, respectively. Those were calcined at 550 °C for 5 h in an air flow, ground, and sieved to smaller than 150 μm, being subsequently impregnated with 4 wt % of Ni by an incipient wetness method using Ni(NO3)2·6H2O (Samchun, 98%) as a precursor. The obtained catalysts were dried for 5–6 h at 120 °C, and calcined at 550 °C for 5 h under flowing air.
3.2. Analytical Methods
Powder XRD patterns were recorded at 40 kV and 40 mA using a diffractometer equipped with a multipurpose high-temperature probe (D/MAX-2500PC, Rigaku) and a Cu Kα1 source (λ = 1.54056 Å). Scanning was performed in a 2θ range of 20–80° at a rate of 1.5 deg/min. Elemental analysis and N2 sorption experiments of all the catalysts were carried out by a Thermo Fisher Scientific iCAP 7400 duo inductively coupled plasma–atomic emission spectrometer and a Micromeritics ASAP 2020 analyzer, respectively. The N2 sorption isotherms and pore size distribution curves are described in Figure S2.
UV-DRS spectra were obtained in the range of 300–800 nm with a step of 1 nm using a Lambda 1050 (Perkin Elmer) UV-vis spectrophotometer. The oxidation states of catalyst components were evaluated by XPS (PHI 5000 VersaProbe, Ulvac-PHI) using a monochromated Al Kα source (1486.6 eV), with calibration performed using the C 1s binding energy at 284.6 eV.
H2-TPR and NH3-TPD were carried out using a BELCAT-B instrument equipped with a thermal conductivity detector (TCD) at a ramping rate of 5 °C/min in temperature ranges of 50–950 °C using H2 (99.999%) and Ar (99.999%), and 100–550 °C using NH3 (29.8% with He balance) and He (99.999%), respectively.
py-FT-IR spectra were obtained by pyridine (Janssen Chimica, 99%) and a Thermo Scientific Nicolet 6700 FT-IR spectrometer equipped with an MCT-A detector. Each spectrum represented the average of 100 scans performed in the range of 1400–1700 cm−1 with a resolution of 4 cm−1, as described previously [72]. A self-pelletized catalyst (16–25 mg and 1.3 cm diameter) was evacuated at 300 °C and pressures below 1 mbar for 1 h in an IR cell equipped with a CaF2 window connected to a Schlenk line for removing any physisorbed moisture. Prior to pyridine adsorption, a background spectrum was collected with the evacuated pellet. Excess pyridine physisorbed on the catalyst surface at room temperature was removed by 1 h evacuation at room temperature and pressure below 1 mbar. The treated pellet was further evacuated at 200 °C below 1 mbar for 1 h and then cooled to room temperature for recording the FT-IR spectra. Densities of the B.A and L.A sites were calculated using distinct peaks at around 1550 and 1450 cm−1, respectively, using the equations of Emeis [73].
HAADF images and EDS elemental maps and the spectra of nickel oxide particles were obtained using an FEI Titan double Cs-corrected TEM (Titan Cubed G2 60–300, FEI) operating at 300 kV. Z-contrast conditions were achieved using a probe semi-angle of 19.3 mrad and an inner collection angle of the detector of 40 mrad. The EDS maps and spectra were obtained by an FEI Super-X detector equipped with four silicon drift detectors.
3.3. Ethylene Oligomerization
Ethylene oligomerization was performed in a fixed bed reactor filled with a catalyst (1 g, 150–250 μm) pretreated at 550 °C under He (99.9%) gas flow for 8 h. Subsequently, the reactor was filled with ethylene (99.95%, 5 mL/min, 10 bar, room temperature) and the oligomerization was performed at 200 °C and 0.375 h−1 WHSV for 16 h. Ethylene conversion and gas phase products (≤C6) were quantified online in a Younglin YL6500 gas chromatograph (GC) equipped with a TCD connected to a 60/80 Carboxene 1000 packed column (15 ft × 1/8 in × 2.1 mm, Supelco) with Ar (99.9%, 2 mL/min) as an internal standard and a flame ionization detector (FID) using an Rt–Alumina BOND/Na2SO4 capillary column (50 m × 0.53 mm × 10 μm, RESTEK), respectively. Liquid products (≥C4) were collected at −2.5 °C using a separator and quantified by another GC-FID (YL6500 GC, Younglin) equipped with capillary columns connected in series (RTX-5 DHA (5% diphenyl, 5 m × 0.25 mm × 0.5 μm, RESTEK) + RTX-100 DHA (100 m × 0.25 mm × 0.5 μm, RESTEK)). The liquid product was analyzed in an offline mode right after the reaction every 16 h. Ethylene conversion and selectivity to product i were determined using the following equations. Conversion (%) = (Fi − Ff)/Fi × 100 where Fi and Ff are the mass flow rate of ethylene inlet and outlet stream, respectively. Selectivity (%) = Pi/(Fi − Ff) × 100 where Pi is the mass flow rate of product i.
4. Conclusions
In this study, five NiOx/SA catalysts with different Si/Al ratios but similar Ni contents were prepared, characterized, especially for the interaction strength between NiOx and the SA support, and their activity for oligomerization of ethylene under identical reaction conditions was investigated. The strong interaction observed in NiOx/SA-001 and NiOx/SA-007 induced the formation of surface nickel aluminate and the reduction of active NiOx species, and thus hindered the catalytic conversion of ethylene. NiOx/SA-386, featuring a weak metal oxide–support interaction, showed low catalytic activity due to the aggregation of NiOx particles on the surface, despite the relatively large number of acid sites and high B.A/L.A ratio. In the case of NiOx/SA-028 and NiOx/SA-047, their medium metal oxide–support interaction resulted in optimal catalytic performance due to the increasing Ni2+/Niδ+ ratio and acid site density. The overall results demonstrate that the activity of NiOx/SA catalysts in ethylene oligomerization depends on electronic property of nickel oxide as well as their acidity. The high performance of ethylene oligomerization requires high amount of both active nickel oxides and acid sites at the medium interaction strength between nickel oxide and silica–alumina support.
Supplementary Materials
The following are available online at https://www.mdpi.com/2073-4344/9/11/933/s1, Figure S1: HAADF-TEM images, EDS maps, and EDS spectra of NiOx/SA-001, NiOx/SA-007, NiOx/SA-028, NiOx/SA-047, and NiOx/SA-386, Figure S2: N2 adsorption–desorption isotherms of NiOx/SA-001, -007, -028, -047, and -386 and pore size distribution curves of the corresponding catalysts calculated using the BJH formalism from the N2 desorption branch isotherm.
Author Contributions
Conceptualization, D.W.H. and H.-J.C.; Experiment, J.S.Y. and Y.K.; Data analysis, J.S.Y., M.B.P., and H.-J.C.; Writing-original draft preparation, J.S.Y.; Writing-review and editing, M.B.P.; Supervision, H.-J.C.; Project administration, Y.K.; Funding acquisition, D.W.H. and H.-J.C.
Funding
This work was supported by the research programs of the Korea Institute of Energy Technology Evaluation and Planning (KETEP) funded by Ministry of Trade, Industry and Energy (20153010092090 and 20181110200060) and Basic Science Research Program through the National Research Foundation of Korea (NRF) funded by the Ministry of Science & ICT (2019R1F1A1061214).
Conflicts of Interest
The authors declare no conflict of interest.
References
- Chae, H.-J.; Kim, T.-W.; Moon, Y.-K.; Kim, H.-K.; Jeong, K.-E.; Kim, C.-U.; Jeong, S.-Y. Butadiene production from bioethanol and acetaldehyde over tantalum oxide-supported ordered mesoporous silica catalysts. Appl. Catal. B Environ. 2014, 150–151, 596–604. [Google Scholar] [CrossRef]
- Babu, B.H.; Lee, M.; Hwang, D.W.; Kim, Y.; Chae, H.-J. An integrated process for production of jet-fuel range olefins from ethylene Ni-AlSBA-15 and Amberlyst-35 catalysts. Appl. Catal. A Gen. 2017, 530, 48–55. [Google Scholar] [CrossRef]
- Jiang, P.; Wu, X.; Zhu, L.; Jin, F.; Liu, J.; Xia, T.; Wang, T.; Li, Q. Production of jet fuel range paraffins by low temperature polymerization of gaseous light olefins using ionic liquid. Energy Convers. Manag. 2016, 120, 338–345. [Google Scholar] [CrossRef]
- Zhang, H.; Li, X.; Zhang, Y.; Lin, S.; Li, G.; Chen, L.; Fang, Y.; Xin, H.; Li, X. Ethylene oligomerization over heterogeneous catalysts. Energy Environ. Focus 2014, 3, 246–256. [Google Scholar] [CrossRef]
- Breuil, P.-A.R.; Magna, L.; Olivier-Bourbigou, H. Role of homogeneous catalysis in oligomerization of olefins: Focus on selected examples based on group 4 to group 10 transition metal complexes. Catal. Lett. 2015, 145, 173–192. [Google Scholar] [CrossRef]
- Huang, W.; Gong, F.; Fan, M.; Zhai, Q.; Hong, C.; Li, Q. Production of light olefins by catalytic conversion of lignocellulosic biomass with HZSM-5 zeolite impregnated with 6wt% lanthanum. Bioresour. Technol. 2012, 121, 248–255. [Google Scholar] [CrossRef]
- Ding, X.; Li, C.; Yang, C. Study on the oligomerization of ethylene in fluidized catalytic cracking (FCC) dry gas over metal-loaded HZSM-5 catalysts. Energy Fuels 2010, 24, 3760–3763. [Google Scholar] [CrossRef]
- Yamamura, M.; Chaki, K.; Wakatsuki, T.; Okado, H.; Fujimoto, K. Synthesis of ZSM-5 zeolite with small crystal size and its catalytic performance for ethylene oligomerization. Zeolites 1994, 14, 643–649. [Google Scholar] [CrossRef]
- Ying, L.; Zhu, J.; Cheng, Y.; Wang, L.; Li, X. Kinetic modeling of C2-C7 olefins interconversion over ZSM-5 catalyst. J. Ind. Eng. Chem. 2016, 33, 80–90. [Google Scholar] [CrossRef]
- Chen, C.S.H.; Bridger, R.F. Shape-selective oligomerization of alkenes to near-linear hydrocarbons by zeolite catalysis. J. Catal. 1996, 161, 687–693. [Google Scholar] [CrossRef]
- de Souza, M.O.; Mendes, F.M.T.; de Souza, R.F.; dos Santos, J.H.Z. XPS characterization of nickel-acetylacetonate impregnated in NaX and NaY zeolites. Microporous Mesoporous Mater. 2004, 69, 217–221. [Google Scholar] [CrossRef]
- Lallemand, M.; Finiels, A.; Fajula, F.; Hulea, V. Catalytic oligomerization of ethylene on Ni-containing dealuminated Y zeolites. Appl. Catal. A Gen. 2006, 301, 196–201. [Google Scholar] [CrossRef]
- Hulea, V.; Lallemand, M.; Finiels, A.; Fajula, F. Catalytic oligomerization of ethylene over Ni-containing MCM-22, MCM-41 and USY. Stud. Surf. Sci. Catal. 2005, 158, 1621–1628. [Google Scholar]
- Ng, F.T.T.; Creaser, D.C. Ethylene dimerization over modified nickel exchanged Y-zeolite. Appl. Catal. A Gen. 1994, 119, 327–339. [Google Scholar] [CrossRef]
- Martínez, A.; Arribas, M.A.; Concepción, P.; Moussa, S. New bifunctional Ni-H-beta catalysts for the heterogeneous oligomerization of ethylene. Appl. Catal. A Gen. 2013, 467, 509–518. [Google Scholar] [CrossRef]
- Lallemand, M.; Rusu, O.A.; Dumitriu, E.; Finiels, A.; Fajula, F.; Hulea, V. NiMCM-36 and NiMCM-22 catalysts for the ethylene oligomerization effect of zeolite texture and nickel cations/acid sites ratio. Appl. Catal. A Gen. 2008, 338, 37–43. [Google Scholar] [CrossRef]
- Lallemand, M.; Rusu, O.A.; Dumitriu, E.; Finiels, A.; Fajula, F.; Hulea, V. Ni-MCM-36 and Ni-MCM-22 catalysts for the ethylene oligomerization. Stud. Surf. Sci. Catal. 2008, 174, 1139–1142. [Google Scholar]
- Andrei, R.D.; Popa, M.I.; Fajula, F.; Hulea, V. Heterogeneous oligomerization of ethylene over highly active and stable Ni-AlSBA-15 mesoporous catalysts. J. Catal. 2015, 323, 76–84. [Google Scholar] [CrossRef]
- Lin, S.; Shi, L.; Zhang, H.; Zhang, N.; Yi, X.; Zheng, A.; Li, X. Tuning the pore structure of plug-containing Al-SBA-15 by post-treatment and its selectivity for C16 olefin in ethylene oligomerization. Microporous Mesoporous Mater. 2014, 184, 151–161. [Google Scholar] [CrossRef]
- de Souza, M.O.; Rodrigues, L.R.; Gauvin, R.M.; de Souza, R.F.; Pastore, H.O.; Gengembre, L.; Ruiz, J.A.C.; Gallo, J.M.R.; Milanesi, T.S.; Milani, M.A. Support effect in ethylene oligomerization mediated by heterogenized nickel catalysts. Catal. Commun. 2010, 11, 597–600. [Google Scholar] [CrossRef]
- Lallemand, M.; Finiels, A.; Fajula, F.; Hulea, V. Nature of the active sites in ethylene oligomerization catalyzed by Ni-containing molecular sieves: Chemical and IR spectral investigation. J. Phys. Chem. C 2009, 113, 20360–20364. [Google Scholar] [CrossRef]
- de Souza, M.O.; Rodrigues, L.R.; Pastore, H.O.; Ruiz, J.A.C.; Gengembre, L.; Gauvin, R.M.; de Souza, R.F. A nano-organized ethylene oligomerization catalyst: Characterization and reactivity of the Ni(MeCN)6(BF4)2/[Al]-MCM-41/AlEt3 system. Microporous Mesoporous Mater. 2006, 96, 109–114. [Google Scholar] [CrossRef]
- Hulea, V.; Fajula, F. Ni-exchanged AlMCM-41-An efficient bifunctional catalyst for ethylene oligomerization. J. Catal. 2004, 225, 213–222. [Google Scholar] [CrossRef]
- Moussa, S.; Arribas, M.A.; Concepción, P.; Martínez, A. Heterogeneous oligomerization of ethylene to liquids on bifunctional Ni-based catalysts: The influence of support properties on nickel speciation and catalytic performance. Catal. Today 2016, 277, 78–88. [Google Scholar] [CrossRef]
- Nicolaides, C.P.; Scurrell, M.S.; Semano, P.M. Nickel silica-alumina catalysts for ethene oligomerization-control of the selectivity to 1-alkene products. Appl. Catal. A Gen. 2003, 245, 43–53. [Google Scholar] [CrossRef]
- Heveling, J.; Nicolaides, C.P. Chain-length distributions obtained over nickel(II)-exchanged or impregnated silica-alumina catalysts for the oligomerization of lower alkenes. Catal. Lett. 2006, 107, 117–121. [Google Scholar] [CrossRef]
- Heveling, J.; Nicolaides, C.P.; Scurrell, M.S. Catalysts and conditions for the highly efficient, selective and stable heterogeneous oligomerization of ethylene. Appl. Catal. A Gen. 1998, 173, 1–9. [Google Scholar] [CrossRef]
- Espinoza, R.L.; Snel, R.; Korf, C.J.; Nicolaides, C.P. Catalytic oligomerization of ethene over nickel-exchanged amorphous silica-aluminas; effect of the acid strength of the support. Appl. Catal. 1987, 29, 295–303. [Google Scholar] [CrossRef]
- Espinoza, R.L.; Nicolaides, C.P.; Korf, C.J.; Snel, R. Catalytic oligomerization of ethene over nickel-exchanged amorphous silica-alumina; effect of the nickel concentration. Appl. Catal. 1987, 31, 259–266. [Google Scholar] [CrossRef]
- Espinoza, R.L.; Korf, C.J.; Nicolaides, C.P.; Snel, R. Catalytic oligomerization of ethene over nickel-exchanged amorphous silica-alumina; effect of the reaction conditions and modelling of the reaction. Appl. Catal. 1987, 29, 175–184. [Google Scholar] [CrossRef]
- Davydov, A.A.; Kantcheva, M.; Chepotko, M.L. FTIR spectroscopic study on nickel(II)-exchanged sulfated alumina: Nature of the active sites in the catalytic oligomerization of ethene. Catal. Lett. 2002, 83, 97–108. [Google Scholar] [CrossRef]
- Zhang, Q.; Kantcheva, M.; Lana, I.G.D. Oligomerization of ethylene in a slurry reactor using a nickel/sulfated alumina catalyst. Ind. Eng. Chem. Res. 1997, 36, 3433–3438. [Google Scholar] [CrossRef]
- Zhang, Q.; Lana, I.G.D. An analysis of mass transfer and kinetics during ethylene oligomerization over nickel/sulfated alumina catalyst in a slurry reactor. Chem. Eng. Sci. 1997, 52, 4187–4195. [Google Scholar] [CrossRef]
- Cai, T.; Zang, L.; Qi, A.; Wang, D.; Cao, D.; Li, L. Propene oligomerization catalyst derived from nickel sulfate supported on γ-alumina. Appl. Catal. 1991, 69, 1–13. [Google Scholar] [CrossRef]
- Lavrenov, A.V.; Buluchevskii, E.A.; Moiseenko, M.A.; Drozdov, V.A.; Arbuzov, A.B.; Gulyaeva, T.I.; Likholobov, V.A.; Duplyakin, V.K. Chemical composition optimization and characterization of the NiO/B2O3-Al2O3 system as a catalyst for ethylene oligomerization. Kinet. Catal. 2010, 51, 404–409. [Google Scholar] [CrossRef]
- Sohn, J.R.; Lee, S.Y. High catalytic activity of NiO-ZrO2 modified with WO3 for ethylene dimerization. Appl. Catal. A Gen. 1997, 164, 127–140. [Google Scholar] [CrossRef]
- Sohn, J.R.; Shin, D.C. New catalyst of NiO-ZrO2/WO3 for ethylene dimerization. J. Catal. 1996, 160, 314–316. [Google Scholar] [CrossRef]
- Sohn, J.R.; Kwon, S.H.; Shin, D.C. Spectroscopic studies on NiO supported on ZrO2 modified with MoO3 for ethylene dimerization. Appl. Catal. A Gen. 2007, 317, 216–225. [Google Scholar] [CrossRef]
- Sohn, J.R.; Kim, H.W.; Park, M.Y.; Park, E.H.; Kim, J.T.; Park, S.E. Highly active catalyst of NiO-ZrO2 modified with H2SO4 for ethylene dimerization. Appl. Catal. A Gen. 1995, 128, 127–141. [Google Scholar] [CrossRef]
- Sohn, J.R.; Kim, H.J. High catalytic activity of NiO-TiO2/SO42- for ethylene dimerization. J. Catal. 1986, 101, 428–433. [Google Scholar] [CrossRef]
- Al-Jarallah, A.M.; Anabtawi, J.A.; Siddiqui, M.A.B.; Aitani, A.M.; Al-Sa’doun, A.W. Part1 dimerization of ethylene to butane-1. Catal. Today 1992, 14, 1–121. [Google Scholar] [CrossRef]
- Brogaard, R.Y.; Olsbye, U. Ethene oligomerization in Ni-containing zeolites: Theoretical discrimination of reaction mechanisms. ACS Catal. 2016, 6, 1205–1214. [Google Scholar] [CrossRef]
- Yuen, S.; Kubsh, J.E.; Dumesic, J.A.; Topsoee, N.; Topsoee, H.; Chen, Y. Metal oxide-support interactions in silica-supported iron oxide catalysts probed by nitric oxide adsorption. J. Phys. Chem. 1982, 86, 3022–3032. [Google Scholar] [CrossRef]
- Okamoto, Y.; Kubota, T.; Ohto, Y.; Nasu, S. Metal-oxide-support interactions in Fe/ZrO2 catalysts. J. Phys. Chem. B 2000, 104, 8462–8470. [Google Scholar] [CrossRef]
- Deo, G.; Wachs, I.E. Surface oxide-support interaction (SOSI) for surface redox sites. J. Catal. 1991, 129, 307–312. [Google Scholar] [CrossRef]
- Xu, M.; He, S.; Chen, H.; Cui, G.; Zheng, L.; Wang, B.; Wei, M. TiO2-x-modified Ni nanocatalyst with tunable metal-support interaction for water-gas shift reaction. ACS Catal. 2017, 7, 7600–7609. [Google Scholar] [CrossRef]
- Chen, P.; Khetan, A.; Yang, F.; Migunov, V.; Weide, P.; Stürmer, S.P.; Guo, P.; Kähler, K.; Xia, W.; Mayer, J.; et al. Experimental and theoretical understanding of nitrogen-doping-induced strong metal-support interactions in Pd/TiO2 catalysts for nitrobenzene hydrogenation. ACS Catal. 2017, 7, 1197–1206. [Google Scholar] [CrossRef]
- Wan, H.; Wu, B.; Xiang, H.; Li, Y. Fischer-Tropsch synthesis: Influence of support incorporation manner on metal dispersion, metal-support interaction, and activities of iron catalysts. ACS Catal. 2012, 2, 1877–1883. [Google Scholar] [CrossRef]
- Kim, P.; Kim, Y.; Kim, H.; Song, I.K.; Yi, J. Synthesis and characterization of mesoporous alumina with nickel incorporated for use in the partial oxidation of methane into synthesis gas. Appl. Catal. A Gen. 2004, 272, 157–166. [Google Scholar] [CrossRef]
- Delmon, B.; Delmon, B.; Thomas, J.M.; Bell, R.G.; Catlow, C.R.A.; Delmon, B.; Feijen, E.J.P.; Martens, J.A.; Jacobs, P.A.; Souverijns, W.; et al. Preparation of Solid Catalysts: Sections 2.2.2–2.3.3. In Handbook of Heterogeneous Catalysis; Wiley-VCH Verlag GmbH: Weinheim, Germany, 2008; pp. 264–365. [Google Scholar]
- Rao, G.R.; Rao, C.N.R. A study of strong metal-support interaction based on an electron spectroscopic investigation of nitrogen adsorption on simulated nickel/titania, nickel/alumina and related catalyst surfaces. J. Phys. Chem. 1990, 94, 7986–7991. [Google Scholar] [CrossRef]
- Tauster, S.J. Strong metal-support interactions. Acc. Chem. Res. 1987, 20, 389–394. [Google Scholar] [CrossRef]
- Lee, M.; Yoon, J.W.; Kim, Y.; Yoon, J.S.; Chae, H.-J.; Han, Y.-H.; Hwang, D.W. Ni/SIRAL-30 as a heterogeneous catalyst for ethylene oligomerization. Appl. Catal. A Gen. 2018, 562, 87–93. [Google Scholar] [CrossRef]
- Rynkowski, J.M.; Paryjczak, T.; Lenik, M. On the nature of oxidic nickel phases in NiO/γ-Al2O3 catalysts. Appl. Catal. A Gen. 1993, 106, 73–82. [Google Scholar] [CrossRef]
- Kim, P.; Kim, Y.; Kim, H.; Song, I.K.; Yi, J. Synthesis and characterization of mesoporous alumina for use as a catalyst support in the hydrodechlorination of 1,2-dichloropropane: Effect of preparation condition of mesoporous alumina. J. Mol. Catal. A Chem. 2004, 219, 87–95. [Google Scholar] [CrossRef]
- Boukha, Z.; Jiménez-González, C.; de Rivas, B.; González-Velasco, J.R.; Gutiérrez-Ortiz, J.I.; López-Fonseca, R. Synthesis, characterization and performance evaluation of spinel-derived Ni/Al2O3 catalysts for various methane reforming reactions. Appl. Catal. B Environ. 2014, 158–159, 190–201. [Google Scholar] [CrossRef]
- Kathiraser, Y.; Thitsartarn, W.; Sutthiumporn, K.; Kawi, S. Inverse NiAl2O4 on LaAlO3-Al2O3: Unique catalytic structure for stable CO2 reforming of methane. J. Phys. Chem. C 2013, 117, 8120–8130. [Google Scholar] [CrossRef]
- Heracleous, E.; Lee, A.F.; Wilson, K.; Lemonidou, A.A. Investigation of Ni-based alumina-supported catalysts for the oxidative dehydrogenation of ethane to ethylene: Structural characterization and reactivity studies. J. Catal. 2005, 231, 159–171. [Google Scholar] [CrossRef]
- Mile, B.; Stirling, D.; Zammitt, M.A.; Lovell, A.; Webb, M. The location of nickel oxide and nickel in silica-supported catalysts: Two forms of “NiO” and the assignment of temperature-programmed reduction profiles. J. Catal. 1988, 114, 217–229. [Google Scholar] [CrossRef]
- Jiménez-González, C.; Boukha, Z.; de Rivas, B.; González-Velasco, J.R.; Gutiérrez-Ortiz, J.I.; López-Fonseca, R. Behavior of coprecipitated NiAl2O4/Al2O3 catalysts for low-temperature methane steam reforming. Energy Fuels 2014, 28, 7109–7121. [Google Scholar] [CrossRef]
- Zhao, A.; Ying, W.; Zhang, H.; Ma, H.; Fang, D. Ni-Al2O3 catalysts prepared by solution combustion method for syngas methnation. Catal. Commun. 2012, 17, 34–38. [Google Scholar] [CrossRef]
- Gayán, P.; Dueso, C.; Abad, A.; Adanez, J.; de Diego, L.F.; García-Labiano, F. NiO/Al2O3 oxygen carriers for chemical-looping combustion prepared by impregnation and deposition-precipitation methods. Fuel 2009, 88, 1016–1023. [Google Scholar]
- Zou, X.; Wang, X.; Li, L.; Shen, K.; Lu, X.; Ding, W. Development of highly effective supported nickel catalysts for pre-reforming of liquefied petroleum gas under low steam to carbon molar ratios. Int. J. Hydrogen Energy 2010, 35, 12191–12200. [Google Scholar] [CrossRef]
- Wu, H.; Pantaleo, G.; La Parola, V.; Venezia, A.M.; Collard, X.; Aprile, C.; Liotta, L.F. Bi- and trimetallic Ni catalysts over Al2O3 and Al2O3-MOx (M = Ce or Mg) oxides for methane dry reforming: Au and Pt additive effects. Appl. Catal. B Environ. 2014, 156–157, 350–361. [Google Scholar] [CrossRef]
- Le Valant, A.; Bion, N.; Can, F.; Duprez, D.; Epron, F. Preparation and characterization of bimetallic Rh-Ni/Y2O3-Al2O3 for hydrogen production by raw bioethanol steam reforming: Influence of the addition of nickel on the catalyst performances and stability. Appl. Catal. B Environ. 2010, 97, 72–81. [Google Scholar] [CrossRef]
- Diskin, A.M.; Cunningham, R.H.; Ormerod, R.M. The oxidative chemistry of methane over supported nickel catalysts. Catal. Today 1998, 46, 147–154. [Google Scholar] [CrossRef]
- Al-Dalama, K.; Stanislaus, A. Temperature programmed reduction of SiO2-Al2O3 supported Ni, Mo and NiMo catalysts prepared with EDTA. Thermochim. Acta 2011, 520, 67–74. [Google Scholar] [CrossRef]
- Li, G.; Hu, L.; Hill, J.M. Comparison of reducibility and stability of alumina-supported Ni catalysts prepared by impregnation and co-precipitation. Appl. Catal. A Gen. 2006, 301, 16–24. [Google Scholar] [CrossRef]
- Le Page, J.F.; Avnir, D.; Taglauer, E.; Guisnet, M.; Moretti, G.; Che, M.; Bozon-Verduraz, F.; Anpo, M.; Roduner, E.; Knözinger, H. Characterization of Solid Catalysts: Sections 3.1.4–3.2.2. In Handbook of Heterogeneous Catalysis; Wiley-VCH Verlag GmbH: Weinheim, Germany, 2008; pp. 582–689. [Google Scholar]
- Singh, K.S.W.; Rouquerol, J.; Bergeret, G.; Gallezot, P.; Vaarkamp, M.; Koningsberger, D.C.; Datye, A.K.; Niemantsverdriet, J.W.; Butz, T.; Engelhardt, G.; et al. Characterization of Solid Catalysts: Sections 3.1.1–3.1.3. In Handbook of Heterogeneous Catalysis; Wiley-VCH Verlag GmbH: Weinheim, Germany, 2008; pp. 427–582. [Google Scholar]
- Metzger, E.D.; Brozek, C.K.; Comito, R.J.; Dincă, M. Selective dimerization of ethylene to 1-butene with a porous catalyst. ACS Cent. Sci. 2016, 2, 148–153. [Google Scholar] [CrossRef]
- Yoon, J.S.; Lee, Y.; Ryu, J.; Kim, Y.-A.; Park, E.D.; Choi, J.-W.; Ha, J.-M.; Suh, D.J.; Lee, H. Production of high carbon number hydrocarbon fuels from a lignin-derived α-O-4 phenolic dimer, benzyl phenyl ether, via isomerization of ether to alcohols on high-surface-area silica-alumina aerogel catalysts. Appl. Catal. B Environ. 2013, 142–143, 668–676. [Google Scholar] [CrossRef]
- Emeis, C.A. Determination of integrated molar extinction coefficients for infrared absorption bands of pyridine adsorbed on solid acid catalysts. J. Catal. 1993, 141, 347–354. [Google Scholar] [CrossRef]
© 2019 by the authors. Licensee MDPI, Basel, Switzerland. This article is an open access article distributed under the terms and conditions of the Creative Commons Attribution (CC BY) license (http://creativecommons.org/licenses/by/4.0/).






