High-Speed and High-Power 940 nm Flip-Chip VCSEL Array for LiDAR Application
Abstract
:1. Introduction
2. Device Structure Design and Fabrication
3. Comparison of Vertical and Flip-Chip VCSEL
3.1. Numerical Analysis
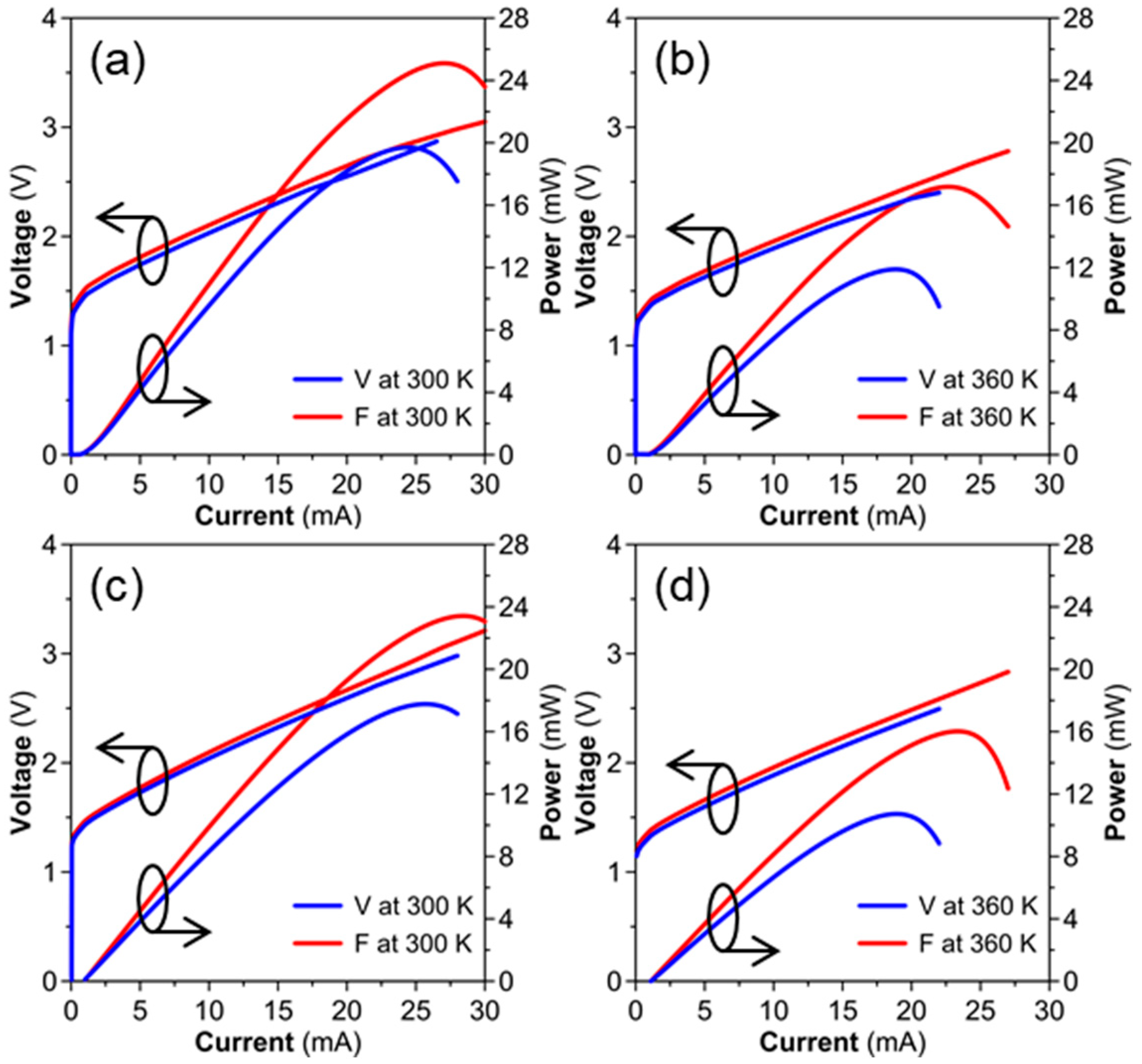
3.2. L-I-V Characteristics
3.3. Modulation Response
4. Simulation of VCSEL with Tunnel Junction
5. Conclusions
Author Contributions
Funding
Data Availability Statement
Acknowledgments
Conflicts of Interest
References
- Pan, G.; Xu, C.; Xie, Y.; Dong, Y.; Wang, Q.; Deng, J.; Xun, M.; Chen, H. Enhancing beam quality and optical intensity of partially coherent VCSEL array by on-chip integrating micro optical phase modulators. Jpn. J. Appl. Phys. 2019, 58, 080905. [Google Scholar] [CrossRef]
- Pan, G.; Xie, Y.; Xu, C.; Xun, M.; Dong, Y.; Deng, J.; Chen, H.; Sun, J. Dependence of Beam Quality on Optical Intensity Asymmetry in In-Phase Coherently Coupled VCSEL Array. IEEE J. Quantum Electron. 2018, 54, 1–6. [Google Scholar] [CrossRef]
- Koyama, F. Recent Advances of VCSEL Photonics. J. Light. Technol. 2006, 24, 4502–4513. [Google Scholar] [CrossRef]
- Moser, P.; Lott, J.A.; Larisch, G.; Bimberg, D. Impact of the Oxide-Aperture Diameter on the Energy Efficiency, Bandwidth, and Temperature Stability of 980-nm VCSELs. J. Light. Technol. 2015, 33, 825–831. [Google Scholar] [CrossRef]
- Robertson, J.; Hejda, M.; Bueno, J.; Hurtado, A. Ultrafast optical integration and pattern classification for neuromorphic photonics based on spiking VCSEL neurons. Sci. Rep. 2020, 10, 1–8. [Google Scholar] [CrossRef] [Green Version]
- Khaldi, A.; Daniel, E.; Massin, L.; Kärnfelt, C.; Ferranti, F.; Lahuec, C.; Seguin, F.; Nourrit, V.; Tocnaye, J.-L.D.B.D.L. A laser emitting contact lens for eye tracking. Sci. Rep. 2020, 10, 1–8. [Google Scholar] [CrossRef]
- Lindemann, M.; Jung, N.; Stadler, P.; Pusch, T.; Michalzik, R.; Hofmann, M.R.; Gerhardt, N.C. Bias current and temperature dependence of polarization dynamics in spin-lasers with electrically tunable birefringence. AIP Adv. 2020, 10, 035211. [Google Scholar] [CrossRef]
- Michalzik, R. VCSEL Fundamentals. In VCSELs: Fundamentals, Technology and Applications of Vertical-Cavity Surface-Emitting Lasers; Michalzik, R., Ed.; Springer: Berlin/Heidelberg, Germany, 2013; pp. 19–75. [Google Scholar]
- Hu, J.; Liu, B.; Ma, R.; Liu, M.; Zhu, Z. A 32x 32-Pixel Flash LiDAR Sensor With Noise Filtering for High-Background Noise Applications. IEEE Trans. Circuits Syst. I. Regul. Pap. 2021, PP, 1–12. [Google Scholar] [CrossRef]
- Khan, Z.; Shih, J.-C.; Chao, R.-L.; Tsai, T.-L.; Wang, H.-C.; Fan, G.-W.; Lin, Y.-C.; Shi, J.-W. High-brightness and high-speed vertical-cavity surface-emitting laser arrays. Optica 2020, 7, 267. [Google Scholar] [CrossRef]
- Safaisini, R.; Joseph, J.R.; Lear, K.L. Scalable High-CW-Power High-Speed 980-nm VCSEL Arrays. IEEE J. Quantum Electron. 2010, 46, 1590–1596. [Google Scholar] [CrossRef]
- Zhang, J.; Ning, Y.; Zhang, X.; Hofmann, W.; Liu, K.; Zhang, J.; Qiu, J.; Zeng, Y.; Fu, X.; Huang, Y.; et al. 910 nm vertical-cavity surface-emitting laser arrays with 100 W output power level and low driving current. Jpn. J. Appl. Phys. 2018, 57, 100302. [Google Scholar] [CrossRef]
- Bowers, J. High speed semiconductor laser design and performance. Solid-State Electron. 1987, 30, 1–11. [Google Scholar] [CrossRef]
- Arslan, S.; Shah, S.A.A.; Kim, H. Power Efficient Current Driver Based on Negative Boosting for High-Speed Lasers. Electronics 2019, 8, 1309. [Google Scholar] [CrossRef] [Green Version]
- Mehandru, R.; Dang, G.; Kim, S.; Ren, F.; Hobson, W.; Lopata, J.; Pearton, S.; Chang, W.; Shen, H. Finite difference analysis of thermal characteristics of CW operation 850 nm lateral current injection and implant-apertured VCSEL with flip-chip bond design. Solid-State Electron. 2002, 46, 699–704. [Google Scholar] [CrossRef]
- Al-Omari, A.N.; Lear, K.L. Fabrication and performance of bottom-emitting flip-chip bonded 980 nm vertical-cavity lasers with copper- and indium-plated heat-sinks. Semicond. Sci. Technol. 2011, 26, 125020. [Google Scholar] [CrossRef]
- Matsuo, S.; Kakitsuka, T. Low-operating-energy directly modulated lasers for short-distance optical interconnects. Adv. Opt. Photonics 2018, 10, 567–643. [Google Scholar] [CrossRef]
- Tiwari, S. Compound Semiconductor Device Physics; Elsevier BV: Amsterdam, The Netherlands, 1992. [Google Scholar]
- Roshan, L.; Aggarwal, A.K.R. Physical Properties of Diamond and Sapphire, 1st ed.; CRC Press: Boca Raton, FL, USA, 2019. [Google Scholar] [CrossRef]
- Danesh Kaftroudi, Z.; Rajaei, E. The Electron Stopper Layer Effect on Long-Wavelength VCSEL with AsSb-Based DBR Tem-perature Distribution. Int. J. Opt. Photonics 2017, 11, 25–38. [Google Scholar]
- Chang, Y.-A.; Ko, T.-S.; Chen, J.-R.; Lai, F.-I.; Yu, C.-L.; Wu, I.-T.; Kuo, H.-C.; Kuo, Y.-K.; Laih, L.-W.; Lu, T.-C.; et al. The carrier blocking effect on 850 nm InAlGaAs/AlGaAs vertical-cavity surface-emitting lasers. Semicond. Sci. Technol. 2006, 21, 1488–1494. [Google Scholar] [CrossRef] [Green Version]
- Danesh kaftroudi, Z.; Rajaei, E. Thermal simulation of InP-based 1.3μm vertical cavity surface emitting laser with AsSb-based DBRs. Opt. Commun. 2011, 284, 330–340. [Google Scholar] [CrossRef]
- Wang, J.; Savidis, I.; Friedman, E.G. Thermal analysis of oxide-confined VCSEL arrays. Microelectron. J. 2011, 42, 820–825. [Google Scholar] [CrossRef]
- Wipiejewski, T.; Young, D.; Thibeault, B.; Coldren, L. Thermal crosstalk in 4 × 4 vertical-cavity surface-emitting laser arrays. IEEE Photon. Technol. Lett. 1996, 8, 980–982. [Google Scholar] [CrossRef]
- Park, M.; Baek, Y.; Dinare, M.; Lee, D.; Park, K.-H.; Ahn, J.; Kim, D.; Medina, J.; Choi, W.-J.; Kim, S.; et al. Hetero-integration enables fast switching time-of-flight sensors for light detection and ranging. Sci. Rep. 2020, 10, 1–8. [Google Scholar] [CrossRef] [PubMed]
- Larry, A.; Coldren, S.W.C.; Mashanovitch, M.L. Diode Lasers and Photonic Integrated Circuits; John Wiley & Sons: Hoboken, NJ, USA, 2012. [Google Scholar]
- Baveja, P.P.; Kögel, B.; Westbergh, P.; Gustavsson, J.S.; Haglund, Å.; Maywar, D.; Agrawal, G.; Larsson, A. Assessment of VCSEL thermal rollover mechanisms from measurements and empirical modeling. Opt. Express 2011, 19, 15490–15505. [Google Scholar] [CrossRef]





Publisher’s Note: MDPI stays neutral with regard to jurisdictional claims in published maps and institutional affiliations. |
© 2021 by the authors. Licensee MDPI, Basel, Switzerland. This article is an open access article distributed under the terms and conditions of the Creative Commons Attribution (CC BY) license (https://creativecommons.org/licenses/by/4.0/).
Share and Cite
Hong, K.-B.; Huang, W.-T.; Chung, H.-C.; Chang, G.-H.; Yang, D.; Lu, Z.-K.; Chen, S.-L.; Kuo, H.-C. High-Speed and High-Power 940 nm Flip-Chip VCSEL Array for LiDAR Application. Crystals 2021, 11, 1237. https://doi.org/10.3390/cryst11101237
Hong K-B, Huang W-T, Chung H-C, Chang G-H, Yang D, Lu Z-K, Chen S-L, Kuo H-C. High-Speed and High-Power 940 nm Flip-Chip VCSEL Array for LiDAR Application. Crystals. 2021; 11(10):1237. https://doi.org/10.3390/cryst11101237
Chicago/Turabian StyleHong, Kuo-Bin, Wei-Ta Huang, Hsin-Chan Chung, Guan-Hao Chang, Dong Yang, Zhi-Kuang Lu, Shou-Lung Chen, and Hao-Chung Kuo. 2021. "High-Speed and High-Power 940 nm Flip-Chip VCSEL Array for LiDAR Application" Crystals 11, no. 10: 1237. https://doi.org/10.3390/cryst11101237
APA StyleHong, K.-B., Huang, W.-T., Chung, H.-C., Chang, G.-H., Yang, D., Lu, Z.-K., Chen, S.-L., & Kuo, H.-C. (2021). High-Speed and High-Power 940 nm Flip-Chip VCSEL Array for LiDAR Application. Crystals, 11(10), 1237. https://doi.org/10.3390/cryst11101237

