Thermodynamic, Kinetic and Strength Calculation of High Zinc Containing Al-Zn-Mg-Cu Alloys
Abstract
:1. Introduction
2. Methodology
2.1. Thermodynamic Method of Calphad
2.2. Model for Precipitation Kinetics
2.3. Strengthening Mechanism and Model
2.4. Experimental Procedure
3. Results
3.1. Thermodynamic Calculations
3.2. Kinetic Calculations
3.3. Strength Calculations
4. Conclusions
- (1)
- From the thermodynamic calculations, three groups of composition are acquired: Al-10.5Zn-2Mg-1.5Cu, Al-11Zn-2Mg-1.5Cu and Al-12Zn-2Mg-1.5Cu;
- (2)
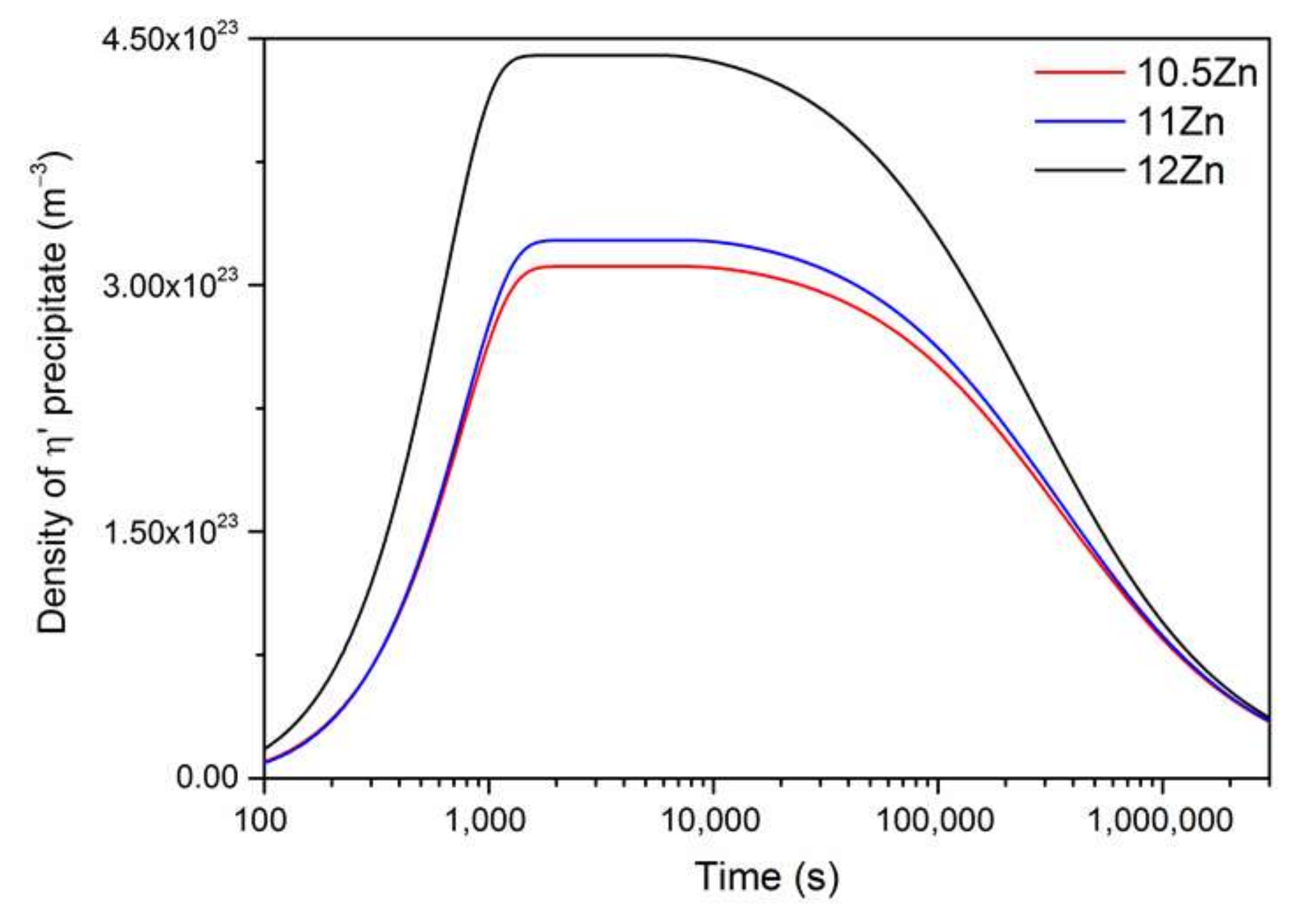
- Using the kinetic calculations, the precipitation parameters of these three alloys in the whole ageing process, which is density, radius and volume fraction of η’ precipitate, are obtained;
- (3)
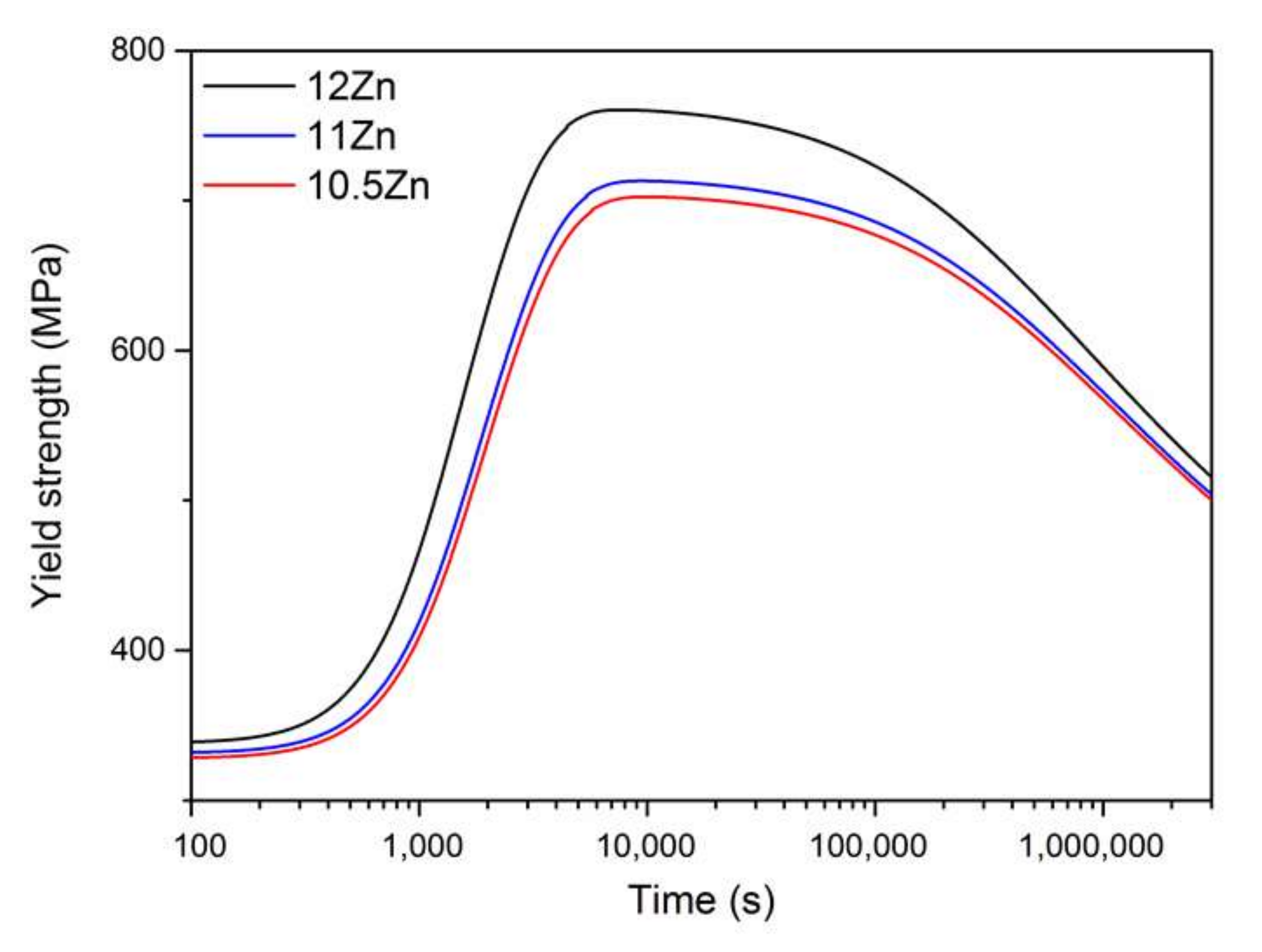
- Based on the strength model, the curves of yield stress at ageing are calculated and listed from high to low as follows: 12Zn > 11Zn > 10.5Zn. The peak strength of alloys accords with the experiment results.
Author Contributions
Funding
Data Availability Statement
Conflicts of Interest
References
- Lukasak, D.A.; Hart, R.M. Strong aluminum alloy shaves airframe weight. Adv. Mater. Processes 1991, 140, 46–49. [Google Scholar]
- Huang, L.P.; Chen, K.H.; Li, S. Influence of high-temperature pre-precipitationon local corrosion behaviors of Al-Zn-Mg alloy. Scripta Mater. 2007, 56, 305–310. [Google Scholar] [CrossRef]
- Polmear, I.J. A trace element effect in alloys based on the Aluminium-Zinc-Magnesium system. Nature 1960, 186, 303–306. [Google Scholar] [CrossRef]
- Kikuchi, S.; Yamazaki, H.; Otsuka, T. Peripheral-recrystallized structures formed in Al-Zn-Mg-Cu-Zr alloy materials during extrusion and their quenchingsensitivity. J. Mater. Process. Technol. 1993, 38, 689–690. [Google Scholar] [CrossRef]
- Fang, H.C.; Chen, K.H.; Chen, X. Effect of Cr, Yb and Zr additions on localized corrosion of Al-Zn-Mg-Cu alloy. Corros. Sci. 2009, 51, 2872–2875. [Google Scholar] [CrossRef]
- Ayer, R.; Koo, J.Y.; Steeds, J.W. Microanalytical study of the heterogeneous phases in commercial Al-Zn-Mg-Cu alloys. Metall. Trans. A 1985, 16, 1925–1927. [Google Scholar] [CrossRef]
- Meijering, J.L. Retrograde solubility curves especially in alloy solid solutions. Philips Res. Rep. 1948, 3, 281–285. [Google Scholar]
- Sundmann, B.; Jansson, B.; Anderson, J.O. Thermo-Calc database. Calphad 1985, 9, 153–190. [Google Scholar] [CrossRef]
- Dinsdale, A.T. SGTE data for pure elements. Calphad 1991, 15, 317–320. [Google Scholar] [CrossRef]
- Redlich, O.; Kister, A.T. Algebraic representation of thermodynamic properties and the classification of solutions. Ind. Eng. Chem. 1948, 40, 345–347. [Google Scholar] [CrossRef]
- Chen, S.L.; Daniel, S.; Zhang, F. The Pandat software package and its applications. Calphad 2002, 26, 175–188. [Google Scholar] [CrossRef]
- Phillips, H.W.L. Equilibrium Diagrams of Aluminum Alloy Systems, The Aluminum Development Association; Information Bulletin: London, UK, 1961; Volume 2, pp. 105–106. [Google Scholar]
- Liang, P.; Tarfa, T.; Robinson, J.A.; Wagner, S.; Ochin, P.; Harmelin, M.G.; Seifert, H.J.; Lukas, H.L.; Aldinger, F. Experimental investigation and thermodynamic calculation of the Al-Mg-Zn system. Thermochim. Acta 1998, 314, 87–90. [Google Scholar] [CrossRef]
- Langer, J.S.; Schwartz, A.J. Kinetics of nucleation in near-critical fluids. Phys. Rev. 1980, 21, 948–950. [Google Scholar] [CrossRef]
- Wagner, R.; Kampman, R. Materials Science and Technology, A Comprehensive Treatment; VCH: Weinheim, Germany, 1991; Volume 5, pp. 213–215. [Google Scholar]
- Kampmann, R.; Wagner, R. In Decomposition of Alloys: The Early Stages; Pergamon Press: Oxford, UK, 1984; pp. 91–92. [Google Scholar]
- Deschamps, A.; Brechet, Y. Influence of predeformation and aging of an Al-Zn-Mg alloy—II. Modeling of precipitation kinetics and yield stress. Acta Mater. 1998, 47, 93–95. [Google Scholar] [CrossRef]
- Russell, K.C. Nucleation in solid: The induction and steady state effects. Adv. Colloid Interface Sci. 1980, 13, 205–208. [Google Scholar] [CrossRef]
- Wagner, C. Theorie der alterung von niederschlagendurchumlosen (ostwald-reifung). Z. Electrochem. 1961, 65, 581–583. [Google Scholar]
- Hoyt, J.J. On the coarsening of precipitates located on grain boundaries and dislocations. Acta Metal. 1991, 39, 2091–2092. [Google Scholar] [CrossRef]
- Allen, R.M.; Vander, S.J.B. The oriented growth of precipitates on dislocations in Al-Zn-Mg-Part II. A model. Acta Metal. 1980, 28, 1197–1200. [Google Scholar] [CrossRef]
- Poole, W.J.; Shercliff, H.R.; Castillo, T. Process model for two step age hardening of 7475 aluminum alloy. Mater. Sci. Technol. 1997, 13, 897–904. [Google Scholar] [CrossRef]
- Kreye, H. Einflus von versetzungen auf die umlosung von teilchen. Z. Metallk. 1970, 61, 108–110. [Google Scholar]
- Ardell, A.J. On the coarsening of grain boundary precipitates zurvergroberung von korngrenzen-ausscheidungen. Acta Metall. 1972, 20, 601–602. [Google Scholar] [CrossRef]
- Ardell, A.J. Precipitation hardening. Metall. Trans. 1985, 16, 2131–2133. [Google Scholar] [CrossRef]










| Alloy | Alloy Element (wt.%) | Al | Strength (MPa) | |||
|---|---|---|---|---|---|---|
| Zn | Mg | Cu | ||||
| 10.5Zn | Calculate | 10.5 | 2 | 1.5 | Bal. | 710 |
| Experiment | 10.2 | 1.9 | 1.9 | 714 | ||
| 11Zn | Calculate | 11 | 2 | 1.5 | Bal. | 720 |
| Experiment | 11.1 | 2.4 | 1.4 | 727 | ||
| 12Zn | Calculate | 12 | 2 | 1.5 | Bal. | 760 |
| Experiment | 11.6 | 2.9 | 1.9 | 748 | ||
Publisher’s Note: MDPI stays neutral with regard to jurisdictional claims in published maps and institutional affiliations. |
© 2022 by the authors. Licensee MDPI, Basel, Switzerland. This article is an open access article distributed under the terms and conditions of the Creative Commons Attribution (CC BY) license (https://creativecommons.org/licenses/by/4.0/).
Share and Cite
Wang, J.; Xiao, X. Thermodynamic, Kinetic and Strength Calculation of High Zinc Containing Al-Zn-Mg-Cu Alloys. Crystals 2022, 12, 181. https://doi.org/10.3390/cryst12020181
Wang J, Xiao X. Thermodynamic, Kinetic and Strength Calculation of High Zinc Containing Al-Zn-Mg-Cu Alloys. Crystals. 2022; 12(2):181. https://doi.org/10.3390/cryst12020181
Chicago/Turabian StyleWang, Jinsan, and Xiang Xiao. 2022. "Thermodynamic, Kinetic and Strength Calculation of High Zinc Containing Al-Zn-Mg-Cu Alloys" Crystals 12, no. 2: 181. https://doi.org/10.3390/cryst12020181
APA StyleWang, J., & Xiao, X. (2022). Thermodynamic, Kinetic and Strength Calculation of High Zinc Containing Al-Zn-Mg-Cu Alloys. Crystals, 12(2), 181. https://doi.org/10.3390/cryst12020181
