Abstract
This work focused on the nonlinear seepage behaviors of flow in pore-fracture media. Natural sandstones were selected to prefabricate single-fracture specimens with different inclinations (0–90°). Seepage tests of combined media were performed under different confining pressures (8–10 MPa) and different water pressures (3–7 MPa) in a triaxial pressure chamber. The fitting analysis of experimental data showed that Forchheimer’s law described the nonlinear characteristics of flow in the pore-fracture media. Linear term coefficient a and nonlinear term coefficient b of the sandstone samples with different inclinations changed more obviously with the increased inclination. When the fracture inclination was greater than 30°, a and b values had a sudden jump. The nonlinear inertial-parameter equation of fluid flow in pore-fracture media was proposed based on non-Darcy flow coefficient β and inherent permeability k. The applicability of the following methods to evaluate Darcy’s law was discussed, including normalized hydraulic conductivity, pressure gradient ratio, and discharge ratio. The three methods were able to determine critical parameters and distinguish linear and nonlinear flow. Furthermore, it was specified for the first time that when β was negative, critical nonlinear effect E was −0.1, and Forchheimer’s coefficient F0 was −0.091. In the −∇P-Q relationship, the fitting curve was convex to the −∇P axis, and the increase of Q was higher than the linear increase, presenting the nonlinearity of overflow. On the one hand, the fractures and pores were compressed under the confining pressure due to the prefabricated fractures of different shapes and different inclinations. A higher seepage water pressure was needed to stabilize the seepage system with the excessive flow rate. On the other hand, the barrier effect of the fluid inside the rock was completely lost because the fluid expanded the seepage channel. Its permeability was changed, leading to seepage instability.
1. Introduction
In the 21st century, underground rock mass engineering has developed vigorously. The seepage of fluids in rock pores and fractions often occurs in the mining of mineral resources, underground tunnel excavation, geological storage of greenhouse gases, deep disposal of nuclear wastes, geothermal energy extraction, natural gas and oil extraction, and other processes. Therefore, the seepage characteristics of fluids in porous and fractured rock masses under hydro-mechanical coupling are of great significance to the engineering safety of underground rock masses. Many scholars have conducted extensive studies on the flow behaviors of fluids in pores and fractures based on Darcy’s law [1,2,3,4,5,6,7,8]. However, linear Darcy’s law is not sufficient to describe the seepage behaviors in pores and fractures with an increased flow rate, which exhibit significant nonlinear seepage characteristics.
There are many explanations for the causes of nonlinear seepage. Schrauf and Evans believed that inertia loss occurs along the inflow or outflow boundary of fractures. The shrinkage or obstruction of the fractures changes the flow velocity or direction along the flow path, and the formation of local vortices causes turbulence, which may produce nonlinear flow [9]. The study of Hassanizadeh and Gray showed that nonlinear seepage flow starts when the Reynolds number is around 10. Compared with microscopic viscous force, macroscopic viscous force and inertial force are negligible. Therefore, the increase in microscopic viscous force (resistance) causes nonlinear effects at high flow rates [10]. Ma and Ruth studied the flow behaviors in porous media. Numerical calculations quantitatively prove that the micro-inertia phenomenon is the root cause of the nonlinear effect [11]. Zimmerman and Bodvarsson believed that the non-uniform fracture geometry causes nonlinear effects, rather than turbulence [12]. Panfilov et al. studied the nonlinear seepage behaviors in porous media. Nonlinear flow can be caused by the coupling of viscous and inertial effects at low Reynolds numbers. At higher Reynolds numbers, it is mainly caused by pure inertial effects and partly by inertial-viscous crossover effects [13]. Javadi believed that the deviation of the linear relationship between the flow rate and pressure drop is caused by the inertial loss with the increased flow rate instead of turbulence [14].
Forchheimer and Izbash equations are widely used in studying nonlinear flow behaviors in pore-fracture media [15,16,17,18], expressed as
where −∇P is the pressure gradient along the flow direction; Q is the volume flow rate; a and b are the linear and nonlinear coefficients, respectively; and λ and m are the empirical coefficients.
Equations (1) and (2), widely used to describe the nonlinear flow behaviors in porous media [19,20,21,22,23], can describe the fractured media macroscopically [9,14,15,17,24,25]. The Forchheimer equation is usually obtained by simplifying the N-S equation. The equation has a clear theoretical basis and can describe the nonlinear seepage characteristics in pore-fracture media due to the inertial effect of flow. The difference between the Izbash equation and the Forchheimer equation is that the theoretical background has not been determined; however, the Izbash equation is considered to be more suitable for describing the nonlinear flow behaviors in porous media [14,21].
Researchers have studied the seepage laws of pores and fractures in rock masses through laboratory tests. Porous rocks usually select natural rocks with good permeability or porous-media samples composed of rock materials of uniform size; fractured rocks mostly use artificial prefabricated fractures. Moutsopoulos et al. tested the hydraulic characteristics of porous media (rock materials with different particle sizes), proving that the Forchheimer and Izbash equations can describe the nonlinear flow process [21]. Zhou et al. conducted flow tests on granite and sandstone samples with prefabricated fractures to study the nonlinear flow characteristics of rough-wall fractures at low Reynolds numbers under different confining pressures. The test results were in good agreement with the Forchheimer equation. Furthermore, an empirical formula between the nonlinear coefficient and the hydraulic aperture was established for the first time [18]. Chen et al. explored the nonlinear seepage characteristics in granite deformed rough wall fractures through experiments and proposed two empirical equations of Forchheimer’s coefficients and a new standard for evaluating the applicability of Darcy’s law [26]. Li et al. conducted seepage tests on post-peak broken granites with low porosity and high strength and proposed the genetic mechanism of the nonlinear seepage phenomenon of broken granites [27]. Forchheimer and Izbash equations are used to analyze the law of nonlinear seepage flow. The objects of the above research are often regarded as porous media or fractured media. However, for the nonlinear flow characteristics of fluids in the rock combined with porous media and artificial prefabricated fractures, the research results obtained are not rich, and there are even few related studies.
This work focused on artificial-fracture prefabrication for porous-media sandstone samples. Single-fracture sandstone (pore-fracture media) samples were prepared for the seepage test, in which the inclinations of the artificial single fracture were 0–90°. Hydraulic tests were performed under different confining pressures (8–10 MPa) and different water pressures (3–7 MPa) in the triaxial pressure chamber. The influences of the inclinations of the artificial prefabricated single fracture on the seepage characteristics were analyzed by exploring the nonlinear seepage characteristics, physical causes, Forchheimer’s coefficients, and the critical parameters for distinguishing linear and nonlinear flow in pore-fracture media. The research results are expected to provide theoretical guidance for actual engineering.
2. Theoretical Background
2.1. Linear Darcy’s Law
The well-known linear Darcy’s law is used to describe fluid flow in porous media and fractured media at low flow rates [12,18,24,26], expressed as
where ∇P is the pressure gradient along the flow direction; Q is the volume flow; μ is the dynamic viscosity coefficient of the fluid; k is the inherent permeability; A is the flow area of the rock; A = πd2/4; and d is the sample diameter.
2.2. Nonlinear Flow Law
When the flow rate continues to increase and a non-negligible inertial loss occurs, typical nonlinear seepage behaviors appear. For this reason, a widely accepted equation is proposed, namely Forchheimer’s law. The Forchheimer equation can describe seepage behaviors in pore-fractured media. Coefficients a and b of the Forchheimer equation are defined as
where ρ is the fluid density; β is the non-Darcy flow coefficient and a dimensionless parameter, determined by experiments; and k is the inherent permeability, which is the key hydraulic characteristic of flow in pore-fracture media, determined by experiments. Moreover, for pore-fracture media, coefficient a depends on the properties of the media and fluid, related to the viscous force of the fluid–solid interface. Coefficient b depends on the geometric shape or structure of media and other properties, related to the inertial force [20].
2.3. Reynolds Number and Forchheimer’ Coefficient
In porous media and fractured media, researchers usually use Reynolds number Re and Forchheimer’s coefficient F0 as the criteria for determining the start of nonlinear flow to evaluate the boundary between linear and nonlinear flow [14,19,21,23,28,29]. Re, defined as the ratio of the inertial force to the viscous force, is the dimensionless number. Its expression is as follows:
where q is the seepage velocity; Q = Aq; and l is the characteristic length. For porous media, l is the particle diameter d [1,30]); for fractured media, it is fracture width w of the parallel plate [12,24]. According to the literature, the critical value of Reynolds number Re is in the range of 0.001–2300 [2,12,14,26,28,31,32,33,34,35]. If the Reynolds number does not exceed a value between 1 and 10 in porous media, Darcy’s law applies [1]. Forchheimer’s coefficient F0 is introduced because a subjective error exists in using Re as the criterion for quantitatively determining the start of nonlinear flow. F0 is defined as the ratio of nonlinear pressure loss bQ2 to linear pressure loss aQ in the Forchheimer equation [14,19,29,36], defined as
Based on Equations (1) and (7), Zeng and Grigg proposed the expression of nonlinear effect E [19].
Zeng and Grigg believed that critical value E of nonlinear effects is 0.1, and critical value F0 is 0.11 [19]. Macini et al. obtained a nonlinear effect E of 0.28 and F0 of 0.40 through experiments [37]. Ghane et al. studied the seepage test of flow through sawdust, giving E a value of 0.24 and F0 of 0.31 [23].
3. Experimental Methodology
3.1. Sample Preparation
The collected fine-medium granular sandstone was processed into a cylindrical sample with a diameter of 50 mm and a height of 100 mm. The natural average density of the sandstone was 2240.33 kg/m3, with an average longitudinal wave velocity of 2.19 km/s, and an average nuclear magnetic porosity of 17.20%. Microscopic observation of sandstone slices showed that the rock was composed of clastics and interstitials (see Figure 1). The particle sizes of debris were mostly between 0.25–0.5 mm, with a small amount between 0.05–0.25 mm and a very small amount between 0.01–0.05 mm. Table 1 shows the main components of debris and interstitials. Scanning electron microscope (SEM) results showed interconnected pore structures in specimens, which provided flow channels for fluids (see Figure 2).
Figure 1.
Microscopic observation of sandstone slices.
Table 1.
Main components of minerals.
Figure 2.
SEM images of microstructure: (a) Enlarged 500 times, (b) enlarged 10,000 times, (c) enlarged 20,000 times, and (d) enlarged 50,000 times.
Waterjet cutting and wire cutting were used to prefabricate single-fracture sandstone samples with different inclinations on cylindrical samples (ϕ 50 mm × 100 mm). Figure 3 and Figure 4 show that each fracture on fractured samples is 20 mm long, with a fracture aperture of 0.3 mm. The single-fracture geometry is characterized by parameter α, which represents the angle between fracture A and the loading axis, with the values of 0, 15, 30, 45, 60, 75, and 90°. The heat-shrinkable tube wrapping the sample was likely to be damaged due to the fractures of samples under the pressure in the triaxial pressure chamber, resulting in oil-water mixing and ultimately failure of the test. Therefore, in the process of this test, the surfaces before and after the prefabricated fractures were sealed with water mixed with gypsum (gypsum:water = 2:1), and the fractures were allowed to solidify. Then samples were wrapped with a heat-shrinkable tube to increase the compressive strength of samples’ fractures.
Figure 3.
Prefabricated sandstone sample model.
Figure 4.
Single-fracture sandstone samples with different inclinations.
3.2. Test Plan and Process
During this seepage test, fractured sandstone samples were put into the pressure chamber for sealing. Ignoring the influence of the axial pressure, five different confining pressures were set (σ3 = 8, 8.5, 9, 9.5, and 10 MPa). Five different water pressures (Ps = 3, 4, 5, 6, and 7 MPa) were set for each confining pressure to study the influences of different fracture inclinations, confining pressures, and water pressures on the seepage characteristics of samples (see Figure 5 for the specific test plan).
Figure 5.
Test plan for the seepage characteristic of sandstone samples.
Before the test, all samples were soaked in a closed container filled with distilled water for 48 h. Rock samples were completely submerged by distilled water to saturate them. Then a TAW-2000 (Rising Sun Testing Instrument Co., Ltd., Beijing, China) servo rock multifunctional test device (see Figure 6) was used to test the seepage characteristics of sandstone samples. During the test, the fluid was assumed to be incompressible, and the entire test was performed at about 20 °C. As shown in Figure 7, the samples were installed into the pressure chamber and the pressure chamber was filled with oil. The test specimen was applied to the targeted confining pressure at a rate of 0.2 MPa/s. Then the target water pressure was applied to ensure that the water pressure was always less than the confining pressure. The numerical information of the confining pressure, water pressure, and volume flow was recorded in real-time through the computers.
Figure 6.
TAW-2000 servo rock multifunctional test device.
Figure 7.
Structure of the pressure chamber.
4. Analysis and Discussion of Test Results
4.1. Analysis of Nonlinear Seepage Behaviors
Sample number SF in the work referred to single-fracture sandstone, and the following number referred to inclinations. Under different confining pressures (σ3 = 8, 8.5, 9, 9.5, and 10 MPa), the Forchheimer equation was used to analyze the correlation between seepage pressure gradient −∇P and volume flow Q of samples SF0-SF90 using the Forchheimer equation to obtain the fitting curves (see Figure 8). Q in the sample gradually decreased with increased σ3 by comparing the test results under the same seepage pressure gradient because increased σ3 closes fractures. With increased −∇P for samples SF0-SF90, the fitting curve was convex to the −∇P axis. The increase of Q was higher than the linear increase, presenting significant nonlinear characteristics and obvious nonlinear seepage behaviors.
Figure 8.
Fitting relationship between −∇P and Q of samples SF0-SF90 under different confining pressures: (a) SF0, (b) SF15, (c) SF30, (d) SF45, (e) SF60, (f) SF75, and (g) SF90.
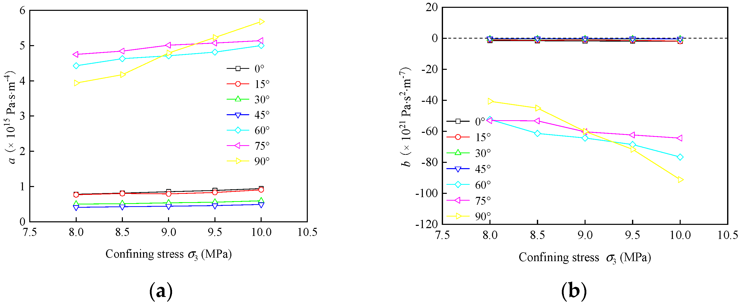
Figure 8 shows that fitting correlation coefficient R2 between −∇P and Q of samples SF0-SF90 under different confining pressures were high, with an average of 0.9988. The theoretical curve fitted by the Forchheimer equation was in good agreement with the experimental results. Figure 9 is plotted according to the obtained Forchheimer’s linear term coefficient a and nonlinear term coefficient b. a shows a gradually increasing trend with increased σ3, and increased a is caused by the closure of the internal fractures of samples under confining pressures. According to Figure 9, as the confining pressure increases, the pores and cracks of samples are continuously compressed, resulting in the continuous narrowing of the flow channel and the gradual decrease of inherent permeability k. Equations (1) and (4) show that b gradually decreases and a gradually increases, respectively. With the different dip angles of fractures, the seepage paths change greatly. When the dip angle changes at 0–45°, the increase rate of a and the decrease rate of b are relatively slow. At 60–90°, a increases greatly and b decreases greatly. In addition, after the dip angle is greater than 45°, linear-term coefficient a and nonlinear-term coefficient b have the phenomenon of “sudden jumps”.
Figure 9.
Variable characteristics of Forchheimer’s coefficients with confining pressures under different fracture inclinations: (a) Variation of linear term coefficient a with confining pressures and (b) variation of nonlinear term coefficient b with confining pressures.
In the process of σ3 increasing from 8 to 10 MPa in samples SF0-SF90, a increased by 20.51, 19.74, 18.00, 19.51, 12.87, 8.21, and 44.16%; b decreased by 21.32, 45.50, 21.28, 31.71, 31.63, 17.62, and 55.43%. In a single fissure with different inclinations, the a and b values varied significantly with the increased fracture inclination α. At 0, 15, 30, and 45°, the a and b values were concentrated in 0.41 × 1015–0.94 × 1015 Pa·s·m−4 and −1.97 × 1021–−0.28 × 1021 Pa·s2·m−7, respectively; at 60, 75, and 90°, the a and b values were concentrated in 3.94 × 1015–5.68 × 1015 Pa·s·m−4 and −91.18 × 1021–−40.64 × 1021 Pa·s2·m−7, respectively. The a value at 0, 15, 30, and 45° was significantly smaller than that at 60, 75, and 90°; the b value at 0, 15, 30, and 45° was significantly greater than that at 60, 75, and 90°. The results showed that the size of α has a greater influence on the seepage characteristics of the sandstone sample with pores and fractures.
4.2. Expressions of Forchheimer’s Coefficients
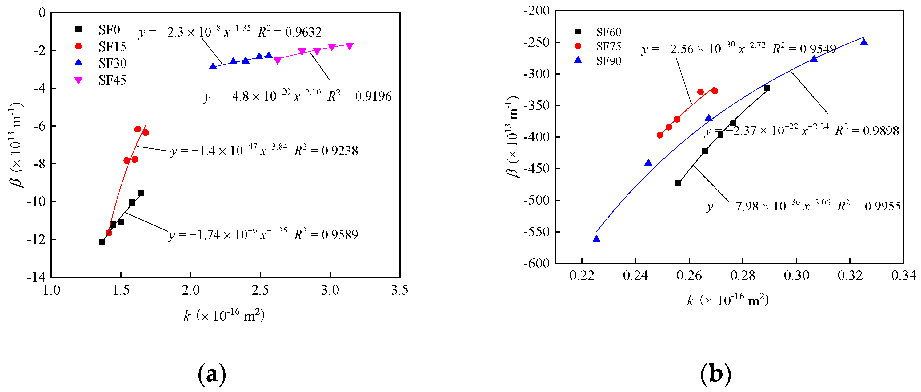
For pore-fracture media, inherent permeability k and non-Darcy coefficient β are indispensable parameters for determining linear term coefficient a and nonlinear term coefficient b. According to the literature, a direct correlation exists between k and β [20,22,23,26,38]. For porous or fractured media, the power function relationship between β and k has been widely used. The power function relationship is obtained by the fitting analysis of the correlation between β and k in pore-fracture media.
where γ and n are fitting coefficients.
Figure 10 plots the fitting curves of power functions and gives the values of fitting coefficients γ and n under different fracture inclinations. The results show that power functions fit the experimental data, and the range of correlation coefficient R2 is 0.9196–0.9955. Fitting coefficient γ varies in 1.40 × 10−47–1.74 × 10−6, and another fitting coefficient n varies in −3.84–−1.25. Note that the γ and n values of sandstone samples vary greatly under different inclinations.
Figure 10.
Curve fitting using Equation (11) to take β as a function of k: (a) Samples SF0-SF45 and (b) samples SF60-SF90.
4.3. Effective Methods for Evaluating the Applicability of Darcy’s Law
Defining linear and nonlinear flow is vital in studying fluid flow in rock pores or fractured media. The critical point is usually determined by observing the starting point deviating from the linear straight line in the pressure drop vs. flow curve. The critical point determined by this method has low accuracy and reliability due to the limitation of visual resolution. Also, the Reynolds number is often used to distinguish the flow state. At present, many scholars have given different critical values, but the parameters for determining the Reynolds number in this method are difficult to obtain. Therefore, the normalized hydraulic-conductivity method, pressure gradient ratio method, and discharge ratio method are used to evaluate the applicability of Darcy’s law for fluid flow in pore-fracture media in this section.
4.3.1. Normalized Hydraulic-Conductivity Method
Based on nonlinear effect E or Forchheimer’s coefficient F0, the applicability of Darcy’s law is evaluated by drawing the curves between normalized hydraulic-conductivity T/T0 and pressure gradient −∇P. −∇P is given and can be easily obtained, so the method is more intuitive and effective.
As an important hydraulic property, hydraulic conductivity T can be obtained according to Equation (3) as T = kA = μQ/(−∇P). Intrinsic hydraulic conductivity T0 is determined as T0 = μ/a according to Equations (1) and (4). Then T/T0 can be determined as follows [15]:
In Figure 11, a quadratic function can be used to describe the relationship between T/T0 and −∇P in samples SF0-SF90. The relationship is
where a1 and b1 are fitting coefficients.

Figure 11.
Evolution of normalized transmissivity T/T0 with pressure gradient −∇P: (a) SF0, (b) SF15, (c) SF30, (d) SF45, (e) SF60, (f) SF75, and (g) SF90.
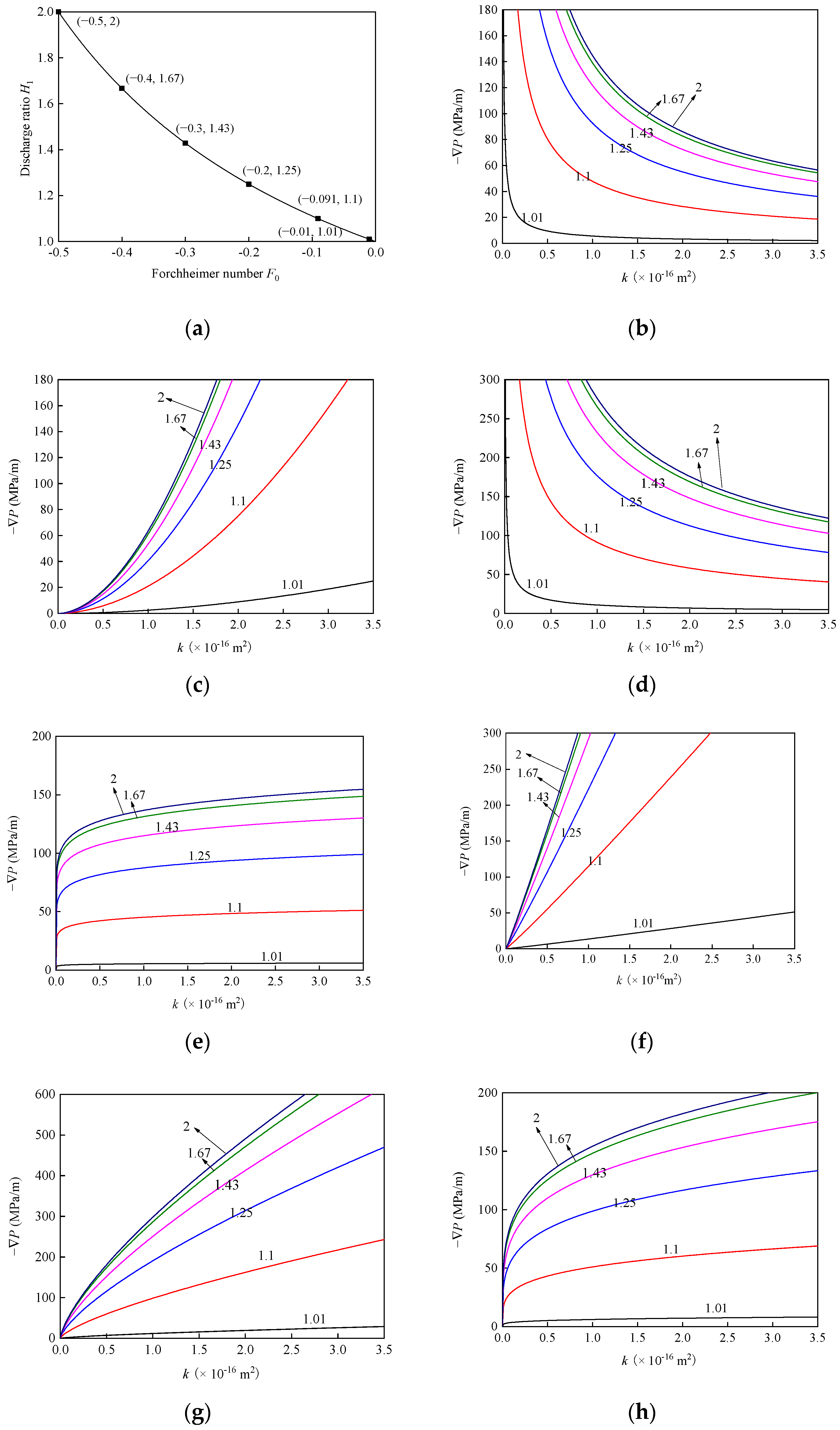
In Figure 11a–g, T/T0 increases with the increased −∇P. The critical pressure gradient −∇Pc range is further determined using critical T/T0 to quantify the linear- and nonlinear-flow regions. Zeng and Grigg suggested that nonlinear effect E = 0.1. If β is a negative value, then nonlinear effect E = −0.1 and the critical T/T0 = 1.1 in the work [19]. When α = 0, 15, 30, 45, 60, 75, and 90°, −∇Pc can be calculated as 33.12–37.20, 36.03–46.34, 55.28–61.90, 48.18–52.36, 29.22–31.85, 34.28–36.52, and 30.68–32.75 MPa/m. Further observation shows that α is in the range of 0–45°, and the range of −∇Pc is relatively large when the confining pressure increases from 8 to 10 MPa. α is in the range of 60–90°, and the range of −∇Pc is relatively small. −∇Pc varies with α due to the change of the fluid flow path in a single fracture with different inclinations. The fluid flow path at dip angles of 0–45° is smoother than that at 60–90° under the constant pressure gradient due to the change of the fluid flow path in a single fracture with different dip angles. The −∇Pc value is affected by the confining pressure to a greater extent at dip angles of 0–45° than those at 60–90°.
4.3.2. Pressure Gradient Ratio Method
For reflecting the degree of deviation of nonlinear seepage from Darcy seepage, we define the ratio of the pressure gradient of nonlinear seepage to the pressure gradient of Darcy seepage as pressure gradient ratio Hp [26], denoted as
Equations (7) and (9) are substituted into Equation (12) to obtain
where k and Q are used as two variables of function Hp.
According to Equations (7) and (12), the Hp-F0 relationship is drawn in Figure 12a, and Forchheimer’s coefficient F0 on the straight line has a corresponding Hp. F0 = −0.091 and Hp = 0.909 due to nonlinear effect E = −0.10. According to Equation (13), the isoheight of the relationship between Q and k is drawn at different inclinations in Figure 13b–h, and it corresponds to solid points in Figure 12a. As long as critical F0 is determined in Figure 12b–h, the isoheight of the critical pressure gradient can be determined. For example, if critical F0 = −0.091 is adopted in the work, Darcy’s law applies to the areas below Hp = 0.909. With increased k, the increasing trend of Q corresponding to α from fast to slow is 75, 15, 60, 90, 45, 30, and 0° by comparing the isoheight of Hp = 0.909 under different fracture inclinations. According to Equation (13), the increasing trend of Q is mainly determined by k, and the k value has a certain law with the increased angle. Meanwhile, the overall Q value corresponding to large angles increases rapidly under the influence of n (except for the cases of 15 and 90°).
Figure 12.
Relationship between pressure gradient ratio Hp and the Forchheimer’ coefficient F0 and the relationships between Hp isoheight, volume flow Q, and inherent permeability k: (a) Relationship between Hp and F0, (b) SF0, (c) SF15, (d) SF30, (e) SF45, (f) SF60, (g) SF75, and (h) SF90.
Figure 13.
Relationship between flow ratio Hq and Forchheimer’s coefficent F0 and the relationship between the isoheight of flow ratio Hq, pressure gradient −∇P, and inherent permeability k: (a) Relationship between Hq and F0, (b) SF0, (c) SF15, (d) SF30, (e) SF45, (f) SF60, (g) SF75, and (h) SF90.
4.3.3. Discharge Ratio Method
Forchheimer’s discharge Q1 is obtained by solving Equation (1). Considering that b is a negative number, Equation (1) is ensured to adopt a positive root. Therefore, the equation for calculating Q2 is as follows:
Darcy’s discharge ratio Q2 is calculated as
Therefore, the ratio of Forchheimer’s discharge to Darcy’s discharge is defined as discharge ratio Hq [22,23,26].
The higher Hq value means the stronger the inertia or turbulence effect. Therefore, the Hq value can be used to explore the applicability of Darcy’s law.
Equations (7) and (14) are used to obtain
Equations (16) and (17) are used to obtain the relationship Hq between and F0.
Equations (4), (5) and (9) are combined to obtain
According to Equation (18), Figure 13a presents the relationship between Hq and F0. The value of critical F0 is still −0.091, and the corresponding Hq is 1.1. F0 can be converted into Hq for quantitative evaluation, and the Hq value is greater than 1. According to Equation (19), Figure 14b–h show the isoheight of the relationship between −∇P and k under different inclinations, corresponding to solid points in Figure 13a. In Figure 13b–h, F0 is selected to determine critical isoheight, below which Darcy’s law applies. The pressure gradient ratio or discharge ratio in Figure 12 and Figure 13 can be used to judge whether Darcy’s law is suitable for specific engineering applications, and can accurately estimate the validity and degree of nonlinearity of Darcy’s law. Therefore, these two methods are of great significance in engineering applications, e.g., oil and gas extraction, water conservancy engineering, and mining engineering.
Figure 14.
Different nonlinear behaviors: (a) Increase of −∇P greater than the linear increase of Q and (b) increase of −∇P less than the linear increase of Q.
4.4. Seepage Characteristics
At present, the obvious inertia effect in most hydraulic tests causes additional pressure loss and the increase of −∇P to be greater than the linear increase of Q. Meanwhile, the nonlinear curve is convex to the Q axis (see Figure 14a). Coefficient a is related to the viscous force (viscous friction force) of the water-solid interface. The increased confining pressure closes fractures in samples and decreases permeability, thereby increasing coefficient a. Coefficient b describes the inertia effect caused by the irreversible kinetic energy loss from fluid flow, and coefficient β is positive. The ratio of inertial force to viscous force cannot be ignored at the high flow rate for the nonlinear seepage characteristics. Furthermore, Fuchheimer’s equation and Izbach’s equation can describe the nonlinear relationship.
Taking the working condition of sample SF0 when the confining pressure is 10 MPa as an example, the nonlinear curve is convex to the −∇P axis, and the increase of −∇P is less than the linear increase of Q in the −∇P-Q relationship (see Figure 14b). Nonlinear seepage characteristics are different from the situation in Figure 14a.
There are many explanations for such nonlinear characteristics, with no unified conclusion. Some people think that lithology is an important factor causing non-Darcy flow factor β to be negative. Some think that the seepage behavior in the broken rock mass after the peak is usually non-Darcy flow, and permeability k increases more sharply than before the peak. The instability of the seepage system shows that non-Darcy flow factor β is negative. Some believe that rock fracture expansion or hydraulic fracturing causes nonlinear flow under high confining pressures [26]. Under high confining pressure, the pores or fractures in rocks are compressed. As the pressure gradient increases, the confining pressure limit decreases, leading to the expanded fractures and the increased flow rate. Seepage instability occurs, presenting as nonlinear. Develi and Babadagli have observed a similar phenomenon in their experiments, and this phenomenon has also widely appeared in water conservancy engineering, oil and gas exploitation, geothermal energy extraction, and tunnel rock engineering [26,33,39,40,41,42]. Some believe that nonlinear flow is caused by strong solid–liquid interaction in rocks with low permeability, micro-fine fractures, and porous media [18,26,27]. However, none of the above explanations propose the specific seepage system state corresponding to the phenomenon.
The values of non-Darcy flow factor β were all negative by the hydraulic-mechanical coupling test of single-fracture sandstone with different inclinations in this work. The working condition of sample SF0-1 with a confining pressure of 10 MPa was taken as an example to explain the cause (see Figure 14b). Before the test, the water flow pipeline was checked to ensure that there was no leakage problem. Besides, the single-fissure sandstone samples have a fine sealing effect during the test. This showed that the negative β value was not caused by the error produced by the test system.
After analyzing the test results, this work divided the nonlinear seepage system into equilibrium and non-equilibrium states, and both of these states have negative β values. When the seepage system was in equilibrium, prefabricated fractures with different inclinations imposed a certain confining pressure on the fractured sandstone samples. The fractures and pores were compressed, and a certain seepage pressure was required to stabilize the seepage system. When the seepage water pressure increased to close to the confining-pressure restraint, the effective restraint produced by the confining pressure was suppressed. Under hydro-mechanical coupling, the flow state changed near the combined area of pores and prefabricated fractures. Normally assumed anti-skid boundary conditions became invalid, and the fracture surface was equivalent to a smooth surface, which led to excessive flow in the combined area of pores and prefabricated fractures. Finally, the value of non-Darcy flow factor β was the negative nonlinear seepage characteristic. When the seepage system was in a non-equilibrium state, hydro-mechanical coupling developed to a certain stage, and pore and fracture structures inside the rock changed. The fluid flow expanded the seepage channel, resulting in partial or complete loss of the barrier effect of rocks on fluids, which greatly changed its seepage characteristics. Seepage instability occurred with significant nonlinear seepage behaviors.
5. Conclusions
This work studied the nonlinear seepage characteristics of combined sandstone specimens under different water pressures and confining pressures through natural pores and prefabricated single fractures (0, 15, 30, 45, 60, 75, and 90°). The Forchheimer equation was used to analyze the influences of single fractures with different inclinations on the nonlinear flow in pore-fracture media. The applicability of Darcy’s law was evaluated to explain the new nonlinear seepage phenomenon. The main conclusions obtained are as follows:
(1) Forchheimer equation described the nonlinear characteristics of flow in pore-fracture media, and its linear term coefficient a and nonlinear term coefficient b were greatly affected by confining pressures and inclinations. In the −∇P-Q relationship, the fitting curves of samples SF0-SF90 increased toward the −∇P axis with increased −∇P. The increase of Q was higher than the linear increase, presenting the nonlinear characteristics of overflow. The nonlinear term coefficient b (or β) of the Forchheimer equation was negative.
(2) The linear term coefficient a and nonlinear term coefficient b of the sandstone samples with different inclinations and single fissures varied significantly with the increased fracture inclinations. When the fracture inclination was greater than 30°, the a and b values appeared to jump suddenly. The a value at the inclinations of 0–45° was significantly smaller than that at 60–90°; the b value at 0–45° was significantly greater than it was at 60–90°.
(3) The nonlinear inertial parameter equation of flow in pore-fracture media was proposed based on the experiment. The equation showed that the relationship between non-Darcy flow factor β (negative value) and inherent permeability k was still following the power function.
(4) Three effective methods for evaluating the applicability of Darcy’s law were discussed, namely the normalized hydraulic conductivity, pressure gradient ratio, and discharge ratio. When β was a negative value for the first time, critical nonlinear effect E was −0.1, and the corresponding Forchheimer’s coefficient F0 was −0.091.
(5) The work found that the different spatial combination of pores and prefabricated fractures is the main reason for such nonlinear seepage characteristics. Meanwhile, the seepage system was considered to be divided into equilibrium and non-equilibrium states, and there was a negative β value in these two states.
Author Contributions
Conceptualization, Y.Z. and X.W.; methodology, Q.G. and Z.Z.; validation, Y.Z., X.W. and Q.G.; formal analysis, X.W.; investigation, Z.Z.; resources, M.C.; writing—original draft preparation, Y.Z., X.W. and Q.G.; writing—review and editing, Q.G. and Z.Z.; supervision, M.C.; project administration, M.C.; funding acquisition, Q.G. and M.C. All authors have read and agreed to the published version of the manuscript.
Funding
This research was funded by the National Key Research and Development Program of China (No. 2021YFC3001301), Fundamental Research Funds for the Central Universities (No. FRF-IDRY-20-032), and National Natural Science Foundation of China (No. 52074020).
Institutional Review Board Statement
Not applicable.
Informed Consent Statement
Not applicable.
Data Availability Statement
Not applicable.
Conflicts of Interest
The authors declare no conflict of interest.
References
- Bear, J. Dynamics of Fluids in Porous Media; Elsevier: New York, NY, USA, 1972. [Google Scholar]
- Brush, D.J.; Thomson, N.R. Fluid flow in synthetic rough-walled fractures: Navier-Stokes, Stokes, and local cubic law simulations. Water Resour. Res. 2003, 39, 1085. [Google Scholar] [CrossRef]
- Min, K.B.; Rutqvist, J.; Tsang, C.F.; Jing, L. Stress-dependent permeability of fractured rock masses: A numerical study. Int. J. Rock Mech. Min. Sci. 2004, 41, 1191–1210. [Google Scholar] [CrossRef] [Green Version]
- Tsang, Y.W.; Witherspoon, P.A. Hydromechanical behavior of a deformable rock fracture subject to normal stress. J. Geophys. Res. Solid Earth 1981, 86, 9287–9298. [Google Scholar] [CrossRef] [Green Version]
- Chen, Z.; Narayan, S.P.; Yang, Z.; Rahman, S.S. An experimental investigation of hydraulic behaviour of fractures and joints in granitic rock. Int. J. Rock Mech. Min. Sci. 2000, 37, 1061–1071. [Google Scholar] [CrossRef]
- Nazridoust, K.; Ahmadi, G.; Smith, D.H. A new friction factor correlation for laminar, single-phase flows through rock fractures. J. Hydrol. 2006, 329, 315–328. [Google Scholar] [CrossRef]
- Crandall, D.; Ahmadi, G.; Smith, D.H. Computational Modeling of Fluid Flow through a Fracture in Permeable Rock. Transp. Porous Media 2010, 84, 493–510. [Google Scholar] [CrossRef]
- Yang, Y.; Zhang, D.; Zhang, B.; Ye, C.; Yang, B. Analysis of Strength and permeability of crystalline sandstone under loading-unloading conditions. Energy Sources Part A Recovery Util. Environ. Eff. 2019, 41, 1–12. [Google Scholar] [CrossRef]
- Schrauf, T.W.; Evans, D.D. Laboratory studies of gas flow through a single natural fracture. Water Resour. Res. 1986, 22, 1038–1050. [Google Scholar] [CrossRef]
- Hassanizadeh, S.M.; Gray, W.G. High velocity flow in porous media. Transp. Porous Media 1987, 2, 521–531. [Google Scholar] [CrossRef]
- Ma, H.; Ruth, D.W. The microscopic analysis of high Forchheimer number flow in porous media. Transp. Porous Media 1993, 13, 139–160. [Google Scholar] [CrossRef]
- Zimmerman, R.W.; Bodvarsson, G.S. Hydraulic conductivity of rock fractures. Transp. Porous Media 1996, 23, 1–30. [Google Scholar] [CrossRef] [Green Version]
- Panfilov, M.; Oltean, C.; Panfilova, I.; Buès, M. Singular nature of nonlinear macroscale effects in high-rate flow through porous media. Comptes Rendus Mec. 2003, 331, 41–48. [Google Scholar] [CrossRef]
- Javadi, M.; Sharifzadeh, M.; Shahriar, K.; Mitani, Y. Critical Reynolds number for nonlinear flow through rough-walled fractures: The role of shear processes. Water Resour. Res. 2014, 50, 1789–1804. [Google Scholar] [CrossRef] [Green Version]
- Zimmerman, R.W.; Al-Yaarubi, A.; Pain, C.C.; Grattoni, C.A. Non-linear regimes of fluid flow in rock fractures. Int. J. Rock Mech. Min. Sci. 2004, 41, 163–169. [Google Scholar] [CrossRef]
- Qian, J.; Zhan, H.; Zhao, W.; Sun, F. Experimental study of turbulent unconfined groundwater flow in a single fracture. J. Hydrol. 2005, 311, 134–142. [Google Scholar] [CrossRef]
- Zhang, Z.; Nemcik, J. Fluid flow regimes and nonlinear flow characteristics in deformable rock fractures. J. Hydrol. 2013, 477, 139–151. [Google Scholar] [CrossRef]
- Zhou, J.Q.; Hu, S.H.; Fang, S.; Chen, Y.F.; Zhou, C.B. Nonlinear flow behavior at low Reynolds numbers through rough-walled fractures subjected to normal compressive loading. Int. J. Rock Mech. Min. Sci. 2015, 80, 202–218. [Google Scholar] [CrossRef]
- Zeng, Z.; Grigg, R. A criterion for non-Darcy flow in porous media. Transp. Porous Media 2006, 63, 57–69. [Google Scholar] [CrossRef]
- Sidiropoulou, M.G.; Moutsopoulos, K.N.; Tsihrintzis, V.A. Determination of Forchheimer equation coefficients a and b. Hydrol. Processes 2007, 21, 534–554. [Google Scholar] [CrossRef]
- Moutsopoulos, K.N.; Papaspyros, I.N.E.; Tsihrintzis, V.A. Experimental investigation of inertial flow processes in porous media. J. Hydrol. 2009, 374, 242–254. [Google Scholar] [CrossRef]
- Eck, B.J.; Barrett, M.E.; Charbeneau, R.J. Forchheimer flow in gently sloping layers: Application to drainage of porous asphalt. Water Resour. Res. 2012, 48, W01530. [Google Scholar] [CrossRef] [Green Version]
- Ghane, E.; Fausey, N.R.; Brown, L.C. Non-Darcy flow of water through woodchip media. J. Hydrol. 2014, 519, 3400–3409. [Google Scholar] [CrossRef]
- Ranjith, P.G.; Darlington, W. Nonlinear single-phase flow in real rock joints. Water Resour. Res. 2007, 43, W09502. [Google Scholar] [CrossRef] [Green Version]
- Tzelepis, V.; Moutsopoulos, K.N.; Papaspyros, J.N.E.; Tsihrintzis, V.A. Experimental investigation of flow behavior in smooth and rough artificial fractures. J. Hydrol. 2015, 521, 108–118. [Google Scholar] [CrossRef]
- Chen, Y.F.; Zhou, J.Q.; Hu, S.H.; Hu, R.; Zhou, C.B. Evaluation of Forchheimer equation coefficients for non-Darcy flow in deformable rough-walled fractures. J. Hydrol. 2015, 529, 993–1006. [Google Scholar] [CrossRef]
- Li, W.L.; Zhou, J.Q.; He, X.L.; Chen, Y.F.; Zhou, C.B. Nonlinear flow characteristics of broken granite subjected to confining pressures. Rock Soil Mech. 2017, 2017, 140–150. [Google Scholar]
- Skjetne, E.; Auriault, J.L. New insights on steady, non-linear flow in porous media. Eur. J. Mech. B Fluids 1999, 18, 131–145. [Google Scholar] [CrossRef]
- Cherubini, C.; Giasi, C.I.; Pastore, N. Bench scale laboratory tests to analyze non-linear flow in fractured media. Hydrol. Earth Syst. Sci. 2012, 16, 2511–2522. [Google Scholar] [CrossRef] [Green Version]
- Fancher, G.H.; Lewis, J.A.; Barnes, K.B. Some physical characteristics of oil sands. [porosity, permeability, and screen analysis]. Penn. State Coll. Miner. Ind. Expt. Sta. Bull. 1933, 12. [Google Scholar]
- Louis, C. A study of groundwater flow in jointed rock and its influence of the stability of rock masses. Imp. Coll. Rock Mech. Res. Rep. 1969, 10, 1–90. [Google Scholar]
- Konzuk, J.S.; Kueper, B.H. Evaluation of cubic law based models describing single-phase flow through a rough-walled fracture. Water Resour. Res. 2004, 40, W02402. [Google Scholar] [CrossRef]
- Quinn, P.M.; Parker, B.L.; Cherry, J.A. Using constant head step tests to determine hydraulic apertures in fractured rock. J. Contam. Hydrol. 2011, 126, 85–99. [Google Scholar] [CrossRef] [PubMed]
- Qian, J.; Zhan, H.; Luo, S.; Zhao, W. Experimental evidence of scale-dependent hydraulic conductivity for fully developed turbulent flow in a single fracture. J. Hydrol. 2007, 339, 206–215. [Google Scholar] [CrossRef]
- Wittke, W. Rock Mechanics: Theory and Applications with Case Histories; Springer: Berlin/Heidelberg, Germany, 1990. [Google Scholar]
- Ruth, D.; Ma, H. On the derivation of the Forchheimer equation by means of the averaging theorem. Transp. Porous Media 1992, 7, 255–264. [Google Scholar] [CrossRef]
- Macini, P.; Mesini, E.; Viola, R. Laboratory measurements of non-Darcy flow coefficients in natural and artificial unconsolidated porous media. J. Pet. Sci. Eng. 2011, 77, 365–374. [Google Scholar] [CrossRef]
- Belhaj, H.A.; Aghj, K.R.; Nouri, A.M.; Butt, S.D.; Vaziri, H.H.; Islam, M.R. Numerical and experimental modeling of non-Darcy flow in porous media. In Proceedings of the Society of Petroleum Engineers, SPE Latin America and Caribbean Petroleum Engineering, Port-of-Spain, Trinidad and Tobago, Caribbean, 27–30 April 2003. [Google Scholar]
- Develi, K.; Babadagli, T. Experimental and visual analysis of single-phase flow through rough fracture replicas. Int. J. Rock Mech. Min. Sci. 2015, 73, 139–155. [Google Scholar] [CrossRef]
- Sun, J.L.; Wang, F.; Li, Z.Q.; Ren, D.R.; Yu, M.Y. A new hybrid copula-based nonparametric Bayesian model for risk assessments of water inrush. Qual. Reliab. Eng. Int. 2022. [Google Scholar] [CrossRef]
- Kumar, K.G.; Rahimi-Gorji, M.; Reddy, M.G.; Chamkha, A.J.; Alarifi, I.M. Enhancement of heat transfer in a convergent/divergent channel by using carbon nanotubes in the presence of a Darcy-Forchheimer medium. Microsyst. Technol. 2019, 8, 1–10. [Google Scholar] [CrossRef]
- Rasool, G.; Zhang, T.; Chamkha, A.J.; Shafiq, A.; Tlili, I.; Shahzadi, G. Entropy Generation and Consequences of Binary Chemical Reaction on MHD Darcy-Forchheimer Williamson Nanofluid Flow Over Non-Linearly Stretching Surface. Entropy 2019, 22, 18. [Google Scholar] [CrossRef] [Green Version]
Publisher’s Note: MDPI stays neutral with regard to jurisdictional claims in published maps and institutional affiliations. |
© 2022 by the authors. Licensee MDPI, Basel, Switzerland. This article is an open access article distributed under the terms and conditions of the Creative Commons Attribution (CC BY) license (https://creativecommons.org/licenses/by/4.0/).














