Theoretical Investigation of Magneto-Electro-Elastic Piezoelectric Phononic Crystal
Abstract
:1. Introduction
2. Transmission Function of the MPPC
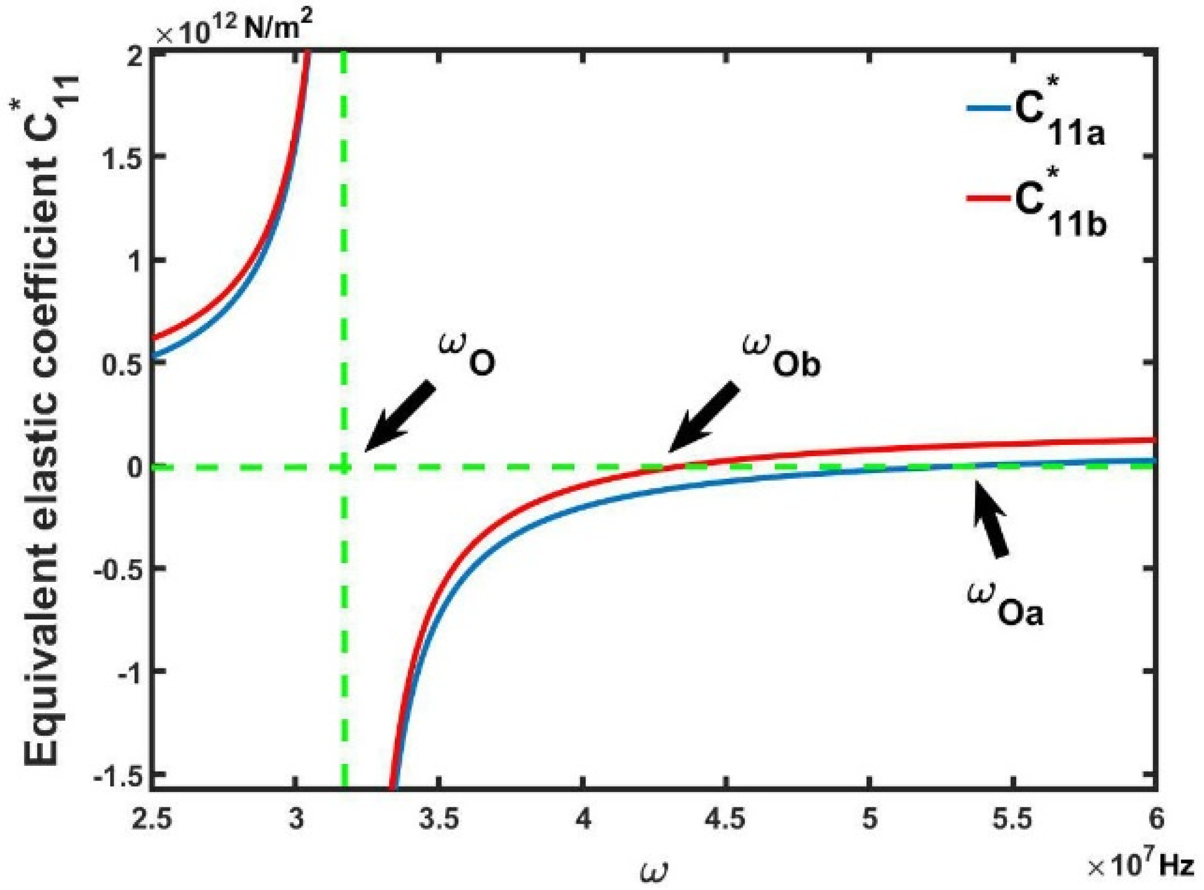
3. Results and Discussion
4. Conclusions
Author Contributions
Funding
Institutional Review Board Statement
Informed Consent Statement
Data Availability Statement
Conflicts of Interest
References
- Hepplestone, S.P.; Srivastava, G.P. Hypersonic modes in nanophononic semiconductors. Phys. Rev. Lett. 2008, 101, 105502. [Google Scholar] [CrossRef] [Green Version]
- Yablonovitch, E. Inhibited spontaneous emission in solid-state physics and electronics. Phys. Rev. Lett. 1987, 50, 2059–2062. [Google Scholar] [CrossRef] [PubMed] [Green Version]
- John, S. Strong localization of photons in certain disordered dielectric superlattices. Phys. Rev. Lett. 1987, 58, 2486–2489. [Google Scholar] [CrossRef] [PubMed] [Green Version]
- Mesquida, A.A.; Otero, J.A.; Ramos, R.R. Wave propagation in layered piezoelectric structures. J. Appl. Phys 1998, 83, 4652–4659. [Google Scholar] [CrossRef]
- Wilm, M.; Ballandras, S.; Laude, V.; Pastureaud, T. A full 3D plane-wave-expansion model for 1–3 piezoelectric composite structures. J. Acoust. Soc. Am. 2002, 112, 943–952. [Google Scholar] [CrossRef] [Green Version]
- Liu, W.; Yu, G. Propagation of Transverse Wave for the piezoelectric radial phononic crystal annular plate in a fibonacci order. Shock. Vib. 2021, 2021, 3905426. [Google Scholar] [CrossRef]
- Li, Q.; Guo, Y.; Wang, Y.; Zhang, H. Band tunability of coupled elastic waves along thickness in laminated anisotropic piezoelectric phononic crystals. Crystals 2019, 9, 426. [Google Scholar] [CrossRef] [Green Version]
- Hong, J.; He, Z.Z.; Zhang, G.; Mi, C.W. Tunable bandgaps in phononic crystal microbeams based on microstructure, piezo and temperature effects. Crystals 2021, 11, 1029. [Google Scholar] [CrossRef]
- Mistewicz, K.; Jesionek, M.; Kim, H.J.; Hajra, S.; Kozioł, M.; Chrobok, Ł.; Wang, X.D. Nanogenerator for determination of acoustic power in ultrasonic reactors. Ultrason. Sonochem. 2021, 78, 105718. [Google Scholar] [CrossRef]
- Hu, R.; Wu, J.; Yang, Y.Z.; Wang, X.Y.; Jia, H.; Deng, K.; He, Z.J.; Zhao, H.P. Tunable composite waveguide based on piezoelectric phononic crystal. AIP Adv. 2019, 9, 045120. [Google Scholar] [CrossRef]
- Tiercelin, N.; Dusch, Y.; Preobrazhensky, V.; Pernod, P. Magnetoelectric memory using orthogonal magnetization states and magnetoelastic switching. J. Appl. Phys. 2011, 109, 726. [Google Scholar] [CrossRef]
- Fiebig, M. Revival of the magnetoelectric effect. J. Phys. D Appl. Phys. 2005, 38, 123. [Google Scholar] [CrossRef]
- Achenbach, J.D. Quantitative nondestructive evaluation. Int. J. Solids Struct. 2000, 37, 13–27. [Google Scholar] [CrossRef]
- Chen, J.Y.; Guo, J.H.; Pan, E. Wave propagation in magneto-electro-elastic multilayered plates with nonlocal effect. J. Sound Vib. 2017, 400, 550–563. [Google Scholar] [CrossRef]
- Ezzin, H.; Amor, M.B.; Ghozlen, M.H.B. Love waves propagation in a transversely isotropic piezoelectric layer on a piezomagnetic half-space. Ultrasonics 2016, 69, 83–89. [Google Scholar] [CrossRef]
- Hu, J.Y.; Yang, G.Y.; Shen, T.; Zhang, M.H.; Du, J.K. Bandgap tunability of surface acoustic waves in a two-dimensional magneto-electro-elastic phononic crystal. AIP Adv. 2021, 11, 065004. [Google Scholar] [CrossRef]
- Miranda, E.J.P.d., Jr.; Rodrigues, S.F.; Aranas, C., Jr.; Silva, H.V.C.d.; Silva, E.S.; Reis, G.S.; Paiva, A.E.M.; Santos, J.M.C.D. Modelling propagating bloch waves in magnetoelectroelastic phononic structures with Kagomé lattice using the improved plane wave expansion. Crystals 2020, 10, 586. [Google Scholar] [CrossRef]
- Deng, T.; Zhang, S.Z.; Gao, Y.W. A magnetic-dependent vibration energy harvester based on the tunable point defect in 2D magneto-elastic phononic crystals. Crystals 2019, 9, 261. [Google Scholar] [CrossRef] [Green Version]
- Tasson, M.; Legal, H.; Gay, J.S.; Peuzin, J.C.; Lissalde, F.S. Piezoelectric study of poling mechanism in lithium niobate crystals at temperature close to the curie point. Ferroelectrics 1976, 13, 479–481. [Google Scholar] [CrossRef]
- Magel, G.A.; Fejer, M.M.; Byer, R.L. Quasi-phase-matched second-harmonic generation of blue light in periodically poled LiNbO3. Appl. Phys. Lett. 1990, 56, 108–110. [Google Scholar] [CrossRef] [Green Version]
- Evlanova, I.I.N.N.F.; Gliko, O.A.; Lavrishchev, S.V. Study of periodically poled Czochralski-grown Nd:Mg:LiNbO3 by chemical etching and X-ray microanalysis. J. Cryst. Growth 1991, 181, 160–164. [Google Scholar]
- Hammoum, R.; Fontana, M.D.; Gilliot, M.; Bourson, P.; Kokanyan, E.P. Site spectroscopy of Hf doping in Hf-doped LiNbO3 crystals. Solid State Commun. 2009, 149, 1967. [Google Scholar] [CrossRef]
- Lorenzo, A.; Jaffrezic, H.; Roux, B.; Boulon, G.; Garcia-Sole, J. Lattice location of rare-earth ions in LiNbO3. Appl. Phys. Lett. 1995, 67, 3735. [Google Scholar] [CrossRef]
- Donnerberg, H.; Tomlinson, S.M.; Catlow, C.R.A.; Schirmer, O.F. Computer-simulation studies of extrinsic defects in LiNbO3 crystals. Phys. Rev. B 1991, 44, 4877. [Google Scholar] [CrossRef]
- Iyi, N.; Kitamura, K.; Yajima, Y.; Kimura, S.; Furukawa, Y.; Sato, M. Defect structure model of MgO-doped LiNbO3. J. Solid State Chem. 1995, 118, 148–152. [Google Scholar] [CrossRef]
- Kushibiki, J.; Kobayashi, T.; Ishiji, H.; Chubachi, N. Elastic properties of 5−mol% MgO doped LiNbO3 crystals measured by line focus beam acoustic microscopy. Appl. Phys. Lett. 1992, 61, 2164–2166. [Google Scholar] [CrossRef]
- Xue, D.F.; He, X.K. Dopant occupancy and structural stability of doped lithium niobate crystals. Phys. Rev. B 2006, 73, 064113. [Google Scholar] [CrossRef]
- Zharov, A.A.; Shadrivov, I.V.; Kivshar, Y.S. Nonlinear properties of left-handed metamaterials. Phys. Rev. Lett. 2003, 91, 037401. [Google Scholar] [CrossRef] [Green Version]
- Bai, W.C.; Zhao, D.; Lan, Z.J.; Zhang, H.; Zhang, H.Z.; Yuan, L. Theoretical investigation of magneto-electro-elastic metamaterials. Solid State Commun. 2020, 310, 113850. [Google Scholar] [CrossRef]
- Landau, L.D.; Lifschitz, E.M. Electrodynamics of Continuous Media; Pergamon Press: Oxford, UK, 1984. [Google Scholar]
- Auld, B.A. Acoustic Fields and Waves in Solids; Wiley: New York, NY, USA, 1973. [Google Scholar]
- Camley, R.E.; Djafari-Rouhani, B.; Dobrzynski, L.; Maradudin, A.A. Transverse elastic waves in periodically layered infinite and semi-infinite media. Phys. Rev. B 1983, 27, 7318–7329. [Google Scholar] [CrossRef]
- Djafari-Rouhani, B.; Dobrzynski, L.; Duparc, O.H.; Camley, R.E.; Maradudin, A.A. Sagittal elastic waves in infinite and semi-infinite superlattices. Phys. Rev. B 1983, 28, 1711–1720. [Google Scholar] [CrossRef]
- Grabmaier, B.C.; Otto, F. Growth and investigation of MgO-doped LiNbO3. J. Cryst. Growth 1986, 79, 682. [Google Scholar] [CrossRef]
- Abdi, F.; Aillerie, M.; Bourson, P.; Fontana, M.D. Defect structure in Mg-doped LiNbO3LiNbO3: Revisited study. J. Appl. Phys. 2009, 106, 033519. [Google Scholar] [CrossRef]
- Kushibiki, J.; Kobayashi, T.; Ishiji, H.; Jen, C.K. Surface-acoustic-wave properties of MgO-doped LiNbO3 single crystals measured by line-focus-beam acoustic microscopy. J. Appl. Phys. 1999, 85, 7863. [Google Scholar] [CrossRef]
- Bai, W.C.; Jiang, L.; Zhang, H.Z.; Ma, G.H. Influence of Mg doping on the dielectric properties of MgO-doped lithium niobate. Phys. B 2011, 406, 1567. [Google Scholar] [CrossRef]
- Xue, D.; Kitamura, K. Dielectric characterization of the defect concentration in lithium niobate single crystals. Solid State Commun. 2002, 122, 537. [Google Scholar] [CrossRef]
- Qi, F.; Zhang, H. Inequalities of the complete elliptic integrals. Tamkang J. Math. 1995, 3, 165–169. [Google Scholar] [CrossRef]
- Cerone, P.; Dragomir, S.S. Lobatto type quadrature rules for functions with bounded derivative. Math. Inequal Appl. 2003, 3, 197–209. [Google Scholar] [CrossRef]
- Guo, B.N.; Feng, Q. Some bounds for the complete elliptic integrals of the first and the second kinds. Math. CA 2009, 18, 2787–2790. [Google Scholar] [CrossRef]
- Guillaume, C.E. The anomaly of the nickel-steels. Proc. Phys. Soc. 1920, 32, 374–404. [Google Scholar] [CrossRef]
- Olsson, R.H., III; El-Kady, I. Microfabricated Phononic Crystal Devices and Applications. Meas. Sci. Technol. 2009, 20, 012002. [Google Scholar] [CrossRef]
- Bai, W.C.; Zhang, H.; Jiang, L.; Zhang, H.Z.; Zhang, L.Q. Theoretical investigation of phonon-polariton modes in undoped and ion-doped PPLN crystals. Solid State Commun. 2011, 151, 1261–1265. [Google Scholar] [CrossRef]
- Bai, W.C.; Lan, Z.J.; Zhang, H.; Jiang, L. Theoretical investigation of the phonon-polariton mode in Czochralski grown piezoelectric superlattice. Superlattices Microstruct. 2016, 97, 167–175. [Google Scholar] [CrossRef]
- Pendry, J.B.; Holden, A.J.; Stewart, W.J.; Youngs, I. Extremely low frequency plasmons in metallic meso structures. Phys. Rev. Lett. 1996, 76, 4773. [Google Scholar] [CrossRef] [Green Version]
- Veselago, V.G.; Lebedev, P.N. The electrodynamics of substances with simultaneously negative values of ε and µ. Sov. Phys. Usp. 1968, 10, 509–514. [Google Scholar] [CrossRef]
- Parazzoli, C.G.; Greegor, R.B.; Li, K.; Koltenbah, B.E.C.; Tanielian, M. Experimental verification and simulation of negative index of refraction using Snell’s law. Phys. Rev. Lett. 2003, 90, 107401. [Google Scholar] [CrossRef] [Green Version]




| Publisher’s Note: MDPI stays neutral with regard to jurisdictional claims in published maps and institutional affiliations. | 
© 2022 by the authors. Licensee MDPI, Basel, Switzerland. This article is an open access article distributed under the terms and conditions of the Creative Commons Attribution (CC BY) license (https://creativecommons.org/licenses/by/4.0/).
Share and Cite
Bai, W.-C.; Cao, Y.; Zhou, B.-H.; Liu, J.-L.; Liu, G.-X.; Zhang, H.; Zhang, H.-Z.; Hu, H. Theoretical Investigation of Magneto-Electro-Elastic Piezoelectric Phononic Crystal. Crystals 2022, 12, 876. https://doi.org/10.3390/cryst12060876
Bai W-C, Cao Y, Zhou B-H, Liu J-L, Liu G-X, Zhang H, Zhang H-Z, Hu H. Theoretical Investigation of Magneto-Electro-Elastic Piezoelectric Phononic Crystal. Crystals. 2022; 12(6):876. https://doi.org/10.3390/cryst12060876
Chicago/Turabian StyleBai, Wen-Chao, Yan Cao, Ben-Hu Zhou, Jian-Lin Liu, Gui-Xiang Liu, Han Zhang, Han-Zhuang Zhang, and Hui Hu. 2022. "Theoretical Investigation of Magneto-Electro-Elastic Piezoelectric Phononic Crystal" Crystals 12, no. 6: 876. https://doi.org/10.3390/cryst12060876
APA StyleBai, W.-C., Cao, Y., Zhou, B.-H., Liu, J.-L., Liu, G.-X., Zhang, H., Zhang, H.-Z., & Hu, H. (2022). Theoretical Investigation of Magneto-Electro-Elastic Piezoelectric Phononic Crystal. Crystals, 12(6), 876. https://doi.org/10.3390/cryst12060876
 
         
                                                


