Abstract
In this study, we found that the current droop (J-droop) in AlGaN-based UVB light-emitting diodes was more obvious at higher temperatures, despite both the main and parasitic peaks undergoing monotonic decreases in their intensity upon an increase in the temperature. The slower temperature droop (T-droop) did not occur when the forward current was increased to temperatures greater than 298 K. After an aging time of 6000 h, the emission wavelengths did not undergo any obvious changes, while the intensity of the parasitic peak barely changed. Thus, the degradation in the light output power during long-term operation was not obviously correlated to the existence of the parasitic peak.
1. Introduction
AlGaN-based ultraviolet-B light-emitting diodes (UVB-LEDs) that display emission wavelengths of 280–315 nm have attracted a great deal of attention since the implementation of the Minamata Convention on Mercury and due to the global health crisis arising from the severe acute respiratory syndrome coronavirus 2 (SARS-CoV-2) [1,2]. This is because there is much potential for using such UVB-LEDs in medical and agricultural applications [3,4,5,6,7]. Although several reports have disclosed that high external quantum efficiencies (EQEs) are possible [8,9,10,11,12], current droop (J-droop) and temperature droop (T-droop) processes, which commonly occur with visible-light LEDs, are also severe problems in AlGaN-based UVB-LEDs, even for emission wavelengths of less than 280 nm [13,14,15,16,17,18,19,20]. In addition to problems related to efficiency droop, accompanying parasitic peaks are often observed in electroluminescence (EL) spectra plotted on a logarithmic intensity scale [13,14,16,17]. The shapes of the parasitic peaks of AlGaN-based UVB-LEDs possess a few characteristic features, with a closed-form model having been developed to obtain more insight into their origin [16]. One emission peak, near 340 nm, which likely originated from an intra-band-gap radiative transition in the last quantum barrier (LQB) next to the electron-blocking layer (EBL), was influenced at high currents by enhanced hole injection upon an increase in the temperature. The other emission peak, near 410 nm, is possibly attributable to a radiative transition on the p-side. In other words, at lower driving currents, significant decreases have occurred in the intensity of both the signals from multiple quantum wells (MQWs) and the parasitic emissions when the temperature is increased to above 300 K [16]. In addition, two main parasitic peaks (310 and 400 nm) have been observed extending the low-energy side of the main peak at 275 nm [17]. The suggested origins of these parasitic peaks are deep-level radiative centers in the active region, or they are associated with other centers located in the p-region. Despite a few recent reports discussing the phenomena of T-droop, J-droop, and current-induced degradation in AlGaN-based UVB-LEDs [16,21,22], the mechanisms through which the parasitic peaks affect the degradation behavior during aging operation remain unclear—although they have attracted great interest.
In this study, we fabricated AlGaN-based UVB-LEDs that displayed a main emission peak wavelength of approximately 306 nm and an EL full width at half maximum (FWHM) of approximately 9 nm. We examined the EL characteristics of these UVB-LEDs over a temperature range of 298 to 348 K and a forward current (If) range from 10 to 130 mA to obtain insight into the behavior of the EL emission and the efficiency droop. Furthermore, we evaluated the impact of the parasitic peaks on the aging lifetimes of these UVB-LEDs, and we suggest a mechanism for the degradation that occurred during the aging operation.
2. Materials and Methods
All epitaxial layers were obtained using low-pressure metal–organic chemical vapor deposition (LP-MOCVD). First, a 2.2 μm thick AlN buffer layer was grown on a 2 inch (0001)-oriented sapphire substrate. Next, a strain-relieving interlayer consisting of 30 periods of an AlN/AlGaN superlattice was grown on the AlN buffer layer. A 1.5 μm thick layer of undoped Al0.6Ga0.4N was then grown on the interlayer, followed by a 2 μm thick Si-doped n-Al0.5Ga0.5N layer as the n-contact layer. The active region of the MQWs included five pairs of 2 nm thick Al0.35Ga0.65N quantum wells (QWs) and 8 nm thick Al0.45Ga0.55N quantum barriers (QBs), followed by a two-fold Mg-doped p-Al0.55Ga0.45N (10 nm)/Mg-doped p-Al0.4Ga0.6N (2 nm) structure as the EBL. Subsequently, a 50 nm thick Mg-doped p-AlGaN layer, with the Al content decreasing from 30% to 0%, was grown on the EBL. Finally, a 20 nm thick Mg-doped p-GaN layer was deposited, serving as the p-contact layer. After the epitaxial layers had been grown, the sample was annealed in situ (700 °C, 15 min) under a N2 ambient to activate the Mg dopants. UVB-LED chips having dimensions of 550 × 550 μm2 were fabricated using standard flip-chip processing technologies [23].
The prepared UVB-LED chips were flip-bonded onto AlN-based direct plating copper ceramic (AlN-DPC) lead frames (LFs) using the eutectic method, then attached to a quartz glass as the hermetic cover. The packaged samples were soldered onto an Al core printed circuit board (MCPCB). The light output power (LOP), current–voltage characteristics, and EL spectra of the samples were measured using an ATA-5000 LED photoelectric measurement system (Everfine) equipped with a 30 cm diameter integrating sphere. During measurement, the temperature of the heat-sink enclosing the samples was controlled (at 298, 323, or 348 K) while the values of If varied from 10 to 130 mA. Aging tests were performed over 6000 h at a value of If of 40 mA at room temperature (RT) to investigate the UVB-LED characteristics.
3. Results and Discussion
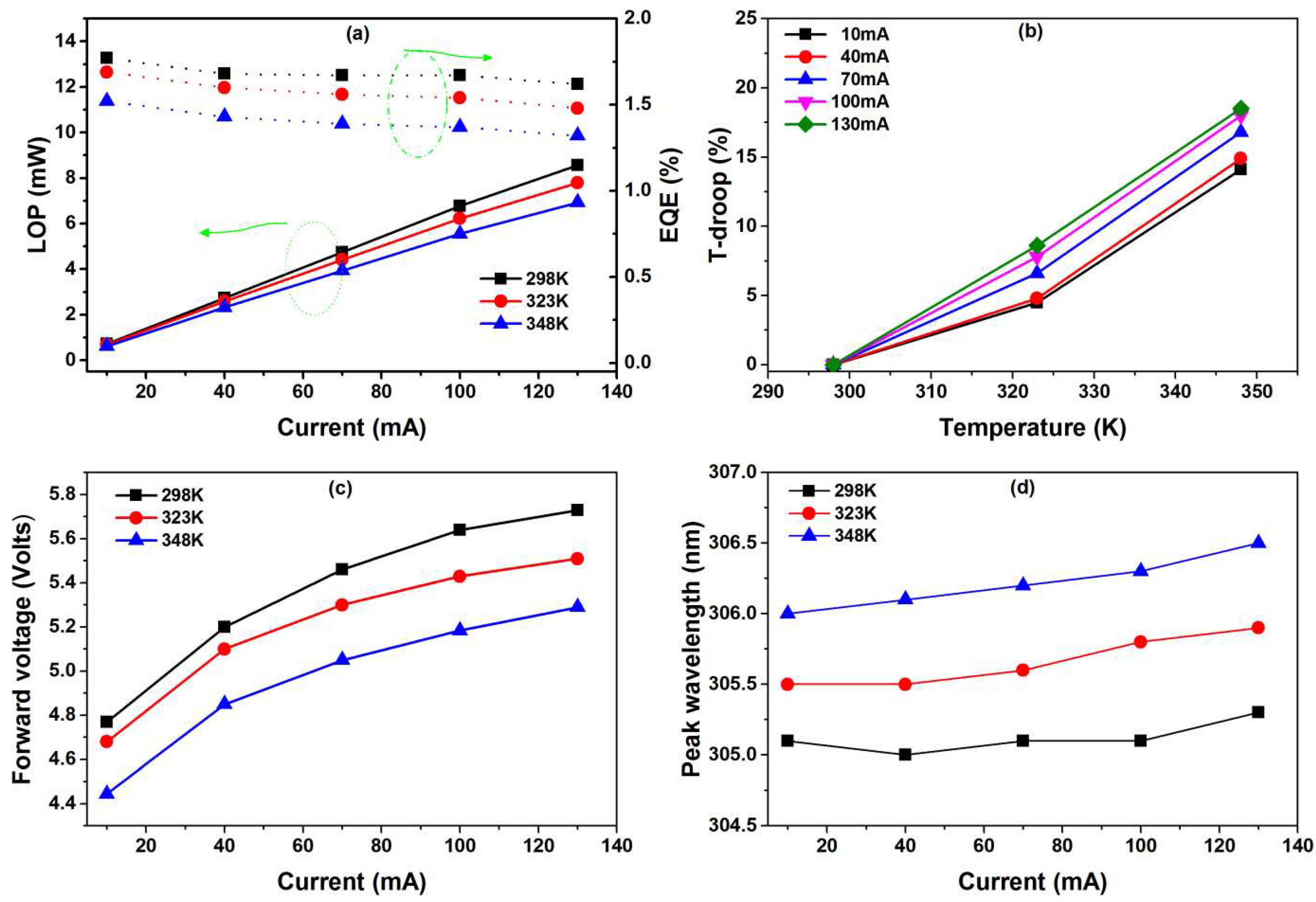
Figure 1a reveals the dependence of the EQEs and LOPs of the fabricated UVB-LED on the three tested temperatures and the various forward currents. The LOP increased monotonically when the forward current was increased to 130 mA, reaching maximum values of 8.6, 7.8, and 6.9 mW at 298, 323, and 348 K, respectively. The maximum EQEs at 298, 323, and 348 K (1.77, 1.69, and 1.52%, respectively) occurred when the value of If was 10 mA; at 130 mA, they decreased to 1.62, 1.48, and 1.32%, respectively. After applying Equation (1), we obtained J-droops of 8.47, 12.42, and 13.16% at 298, 323, and 348 K, respectively.
Figure 1.
(a) EQEs (dotted lines) and LOPs (solid lines) of the AlGaN-based UVB-LED plotted with respect to the forward current, measured at three different temperatures. (b) T-droop plotted with respect to temperature, measured at various forward currents. (c) Forward voltage and (d) peak wavelength plotted with respect to forward current, measured at the three temperatures.
For a given value of If, the EQEs decreased monotonically upon an increase in the temperature, and then decreased further upon an increase in the value of If. These findings suggested that the efficiency droop was probably related to a mechanism of enhanced non-radiative recombination, with carrier leakage or Auger recombination being exacerbated [16,17,18,19,20,21]. Figure 1b presents the T-droops with respect to temperature, which was quantified as follows:
Interestingly, after applying Equation (2), the T-droops measured at 10, 40, 70, 100, and 130 mA were 4.52, 4.76, 6.59, 7.78, and 8.64%, respectively, when the value of T was 323 K; at 348 K, they increased to 14.12, 14.88, 16.77, 17.96, and 18.52%, respectively. We observed monotonically increasing T-droops upon an increase in the temperature from 298 to 348 K, with higher T-droops occurring at higher values of If at a constant temperature. This behavior is not consistent with a previous finding that the T-droop decreased upon an increase in the current from 0.5 to 100 mA at a temperature of 340 K [20]. We suggest that the mechanism of T-droop in this study originated from Auger recombination, with carrier leakage becoming dominant when the temperature reached 348 K.
Figure 1c,d displays the effects of the forward voltage (Vf) and peak wavelength on the forward currents of the fabricated UVB-LED at the three tested temperatures. The forward voltages decreased and the peak wavelengths increased upon an increase in the temperature at the same forward current due to shrinkage of the band gap; the peak wavelength underwent a slight blue-shift (<0.5 nm) upon an increase in the current from 10 to 40 mA, when the temperature was 298 or 323 K. This result implies the absence of a band-filling effect or coulomb screening of the quantum confinement Stark effect (QCSE) in the MQWs of the fabricated UVB-LED. When the temperature was 348 K, the peak wavelength underwent a slight red-shift when the current was increased from 10 to 130 mA due to the effect of self-heating. Thus, suppression of the temperature-dependent recombination mechanism in the MQWs of the fabricated UVB-LED presumably occurred at temperatures of less than 348 K.
Figure 2a–c presents the normalized EL emission spectra plotted on a logarithmic scale, measured at 298, 323, and 348 K, respectively, for forward currents (If) supplied in the range from 10 to 130 mA. Each EL emission spectrum featured a main peak wavelength near 306 nm, with a parasitic peak appearing in the range from 330 to 370 nm. The relative intensities of the parasitic peaks decreased when the value of If and the temperature increased. Figure 3a–d displays the spectral distributions and the peak intensities of the EL recorded at various forward currents and temperatures of 298, 323, and 348 K. At a constant temperature, the intensity ratios between the parasitic and main peaks decreased when the value of If increased. However, at a constant value of If, the intensity ratios of the parasitic and main peaks decreased upon an increase in the temperature (Figure 3d). This behavior is different from that expected when considering the previously suggested hypothesis that the parasitic peak emission is related to a defect-assisted emission in the MQW active region [13]. In addition, Wu et al. reported that the band-edge emission in the EL spectra surged, while the increases in the intensities of two parasitic peaks stalled upon an increase in the value of If at various temperatures [17]. They obtained maximum EQEs of 1.19 and 0.61% at temperatures of 20 and 300 K, respectively; when the current increased from 1 to 7 mA, these values decreased to approximately 0.82 and 0.53%, respectively [17]. In other words, the decrease in the EQE at a temperature of 20 K (ca. 31%) was more pronounced than that at 300 K (ca. 13.1%). In contrast, in this study, we found that the J-droop was more obvious at higher temperatures (Figure 1a). This finding is similar to that for the InGaN-based blue LED [18], despite both the main and parasitic peaks undergoing monotonic decreases in intensity upon an increase in the temperature (Figure 3b,c).
Figure 2.
Normalized EL emission spectra of the AlGaN-based UVB-LED, recorded at various forward currents (a) 298, (b) 323, (c) 348 K.
Figure 3.
EL spectral data recorded at various forward currents and temperatures of 298, 323, and 348 K. (a) Spectral distributions, (b) main peak intensities, (c) parasitic peak intensities, and (d) peak intensity ratios.
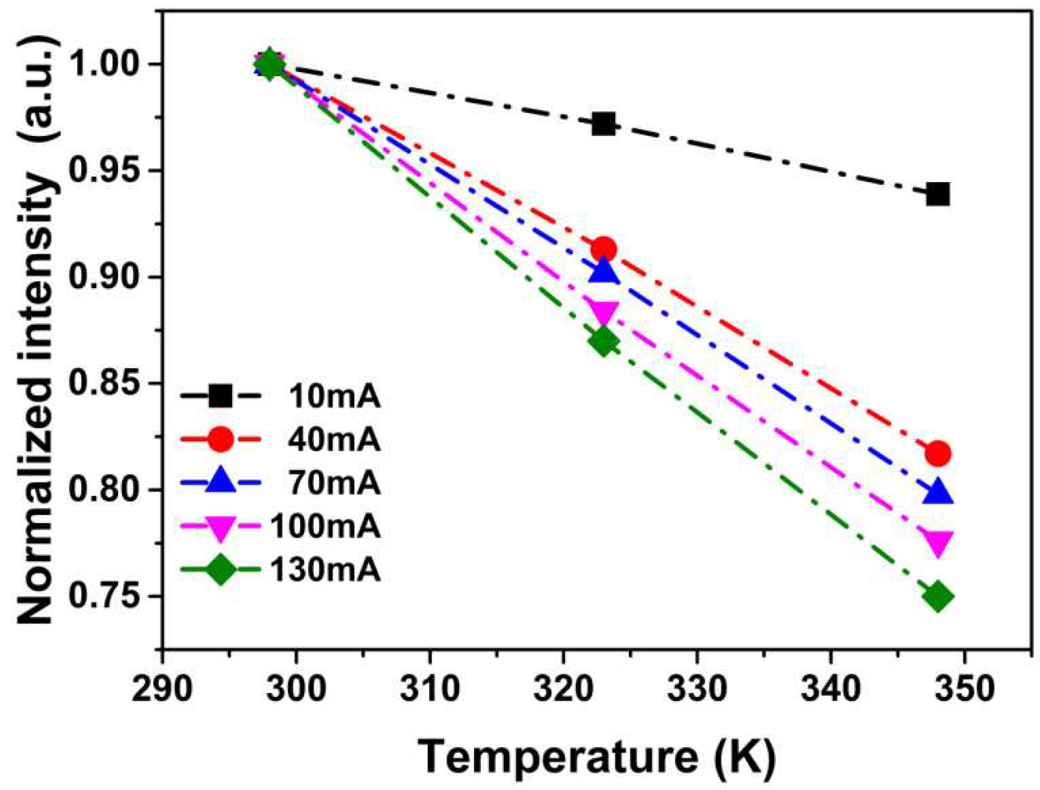
Figure 4 provides the normalized intensities of the peak wavelengths recorded at temperatures of 298, 323, and 348 K with forward currents applied in a range from 10 to 130 mA. In a previous study, Santi et al. observed a parasitic peak near 340 nm for their UVB-LED and attributed its origin to radiative transitions through deep levels in the QB next to the EBL and not inside the QWs [16].
Figure 4.
Normalized QW intensities of the peak wavelengths of the AlGaN-based UVB-LED measured at temperatures of 298, 323, and 348 K while applying forward currents from 10 to 130 mA at a step of 30 mA.
However, their paper reveals that a slower T-droop occurred when the temperature was greater than 300 K upon an increase in the value of If [16]. Nevertheless, in the present study, we did not observe a similar T-droop phenomenon when the temperature was 348 K. Furthermore, we found that the normalized intensities of the peak wavelengths underwent a steeper decline upon an increase in the temperature when increasing the value of If. According to the dependence of the emission intensity on temperature, Figure 4 indicates that at a higher forward current, the AlGaN-based UVB-LED exhibited weaker temperature stability. This trend is dramatically different from that reported previously [19]. Figure 5 presents the relative LOP measured over time for the UVB-LED operated at 40 mA (current density: ca. 28.5 A/cm2) and RT, as well as a photograph of the UVB-LED during operation. A rapid degradation in the LOP, to 79.7% of its initial value, occurred in the first 500 h of the aging operation; it then decreased more slowly to 70.6% of its initial value when the aging time reaching 6000 h (the inset in Figure 5 displays the LOP plotted with respect to a logarithmic time scale). Such behavior has been observed many times previously [21,22,23,24,25,26,27,28]. This performance is close to the specifications of commercial solid-state lighting products and the estimated 70% lifetime (L70) is comparable with values reported by Ruschel et al. for a 310 nm UVB-LED operated at a current density of 33.5 A/cm2 [21]. Figure 6a–c presents the time-dependence of the forward voltage, the EL peak wavelength, and the EL FWHM, respectively, which were all measured during aging tests performed with an If value of 40 mA. The forward voltage decreased dramatically at the onset of operation but remained stable during operation between 500 and 6000 h.
Figure 5.
Relative LOP of the AlGaN-based UVB-LED, measured during aging tests performed at 40 mA. Insets: (left) photograph of the UVB-LED during operation; (right) LOP plotted on a logarithmic time scale.
Figure 6.
(a) Forward voltages, (b) EL peak wavelengths, and (c) EL FWHMs of the AlGaN-based UVB-LED measured at a value of If of 40 mA during the aging tests. (d) EL emission spectra of the AlGaN-based UVB-LED measured at a value of If of 40 mA before and after performing the aging tests.
Interestingly, while the LOPs and forward voltages decreased simultaneously when the aging time was increased to 6000 h, no significant changes occurred in the peak wavelengths or the FWHMs. This behavior suggested that the crystal quality of the MQWs did not undergo serious deterioration over time. Moreover, Figure 6d displays the EL emission spectra measured at a value of If of 40 mA before and after aging for 6000 h. Although the emission wavelengths of both the main and parasitic peaks did not undergo any obvious changes before and after aging, the intensity of the main peak decreased to 63.6% of its initial value, whereas the intensity of the parasitic peak barely changed. The behavior of the parasitic peak in this case was different from that reported by Trivellin et al. during the degradation of a 280-nm UVC-LED [13]. Thus, further investigations will be necessary to determine whether the mechanism responsible for the parasitic peak observed in our EL spectra involved radiative recombination in the EBL or p-layer through electron leakage. In addition, the degradation of the LOP during long-term operation was not obviously correlated with the existence of the parasitic peak. Therefore, we infer that the rapid decrease in the LOP and the decrease in the value of Vf that occurred simultaneously at the onset of the current stress were due to intrinsic defects in the MQWs and extrinsic defects dynamically induced by the current stress; those defects were occupied by injection carriers, resulting in a decrease in the width of the space-charge region. Because the number of defects in the MQWs gradually became saturated, the rate of degradation decreased during further operation. Previous reports have suggested that decreases in LOPs arise as a result of the diffusion of dopants [24,26,27,28]. We will investigate this phenomenon in future studies.
4. Conclusions
We found that the J-droop in an AlGaN-based UVB-LED was more obvious at higher temperatures, despite both the main and parasitic peaks undergoing monotonic decreases in their intensity upon increases in the temperature. A higher T-droop occurred upon increases in both the value of If and the temperature. Although the emission wavelengths did not undergo obvious changes after 6000 h of aging, the intensity of the main peak decreased to 63.6% of its initial value, whereas the intensity of the parasitic peak barely changed. This result suggested that the mechanism responsible for the origin of the parasitic emission peak did not also lead to serious deterioration in the crystal quality; furthermore, the degradation of the LOP during long-term operation was not obviously correlated with the existence of the parasitic peak. At the onset of current stress, the intrinsic defects in the MQWs and the extrinsic defects dynamically induced by the current stress (occupied by injection carriers) resulted in a decrease in the width of the space-charge region. Moreover, the decelerating rate of degradation during further operation was due to the gradual saturation of the number of defects in the MQWs.
Author Contributions
Conceptualization, M.-J.L. and Y.-T.C.; methodology, M.-J.L., Y.-T.C. and R.-S.L.; formal analysis, M.-J.L. and Y.-T.C.; investigation, M.-J.L., R.-S.L. and R.-M.L.; data curation, L.-J.Z., Y.-H.L. and M.-J.L.; writing—original draft preparation, M.-J.L. and Y.-T.C.; writing—review and editing, S.-F.H., S.-CW., X.Z., L.-C.C. and R.-M.L.; visualization, X.Z., L.-C.C. and R.-M.L.; supervision, L.-C.C. and R.-M.L.; project administration, M.-J.L., L.-C.C., S.-F.H. and R.-M.L.; funding acquisition, Y.-T.C., S.-C.W., S.-F.H. and R.-M.L. All authors have read and agreed to the published version of the manuscript.
Funding
Jimei University Research Project (contract no. Z91956/4412), National Natural Science Foundation of China (grant no. 62005026), Natural Science Foundation of Jiangsu Province (grant no. BK20191027), and Suzhou Science and Technology Project (grant no. SZS2020313), Ministry of Science and Technology (MOST) of Taiwan (contract MOST 109-2221-E-182-060), Chang Gung Memorial Hospital (grant BMRP 591).
Institutional Review Board Statement
Not applicable.
Informed Consent Statement
Not applicable.
Data Availability Statement
Not applicable.
Acknowledgments
We thank Keh-Yung Cheng, Liann-Be Chang, and Chieh-Hsiung Kuan for the helpful discussions.
Conflicts of Interest
The authors declare no conflict of interest.
References
- Amano, H.; Collazo, R.; De Santi, C.; Einfeldt, S.; Funato, M.; Glaab, J.; Hagedorn, S.; Hirano, A.; Hirayama, H.; Ishii, R.; et al. The 2020 UV emitter roadmap. J. Phys. D Appl. Phys. 2020, 53, 503001. [Google Scholar] [CrossRef]
- Raeiszadeh, M.; Adeli, B. A Critical Review on Ultraviolet Disinfection Systems against COVID-19 Outbreak: Applicability, Validation, and Safety Considerations. ACS Photon. 2020, 7, 2941–2951. [Google Scholar] [CrossRef]
- Kneissl, M.; Rass, J. III-Nitride Ultraviolet Emitters: Technology and Applications; Springer: New York, NY, USA, 2016. [Google Scholar]
- Matsuura, S.; Ishikura, S. Suppression of Tomato mosaic virus disease in tomato plants by deep ultraviolet irradiation using light-emitting diodes. Lett. Appl. Microbiol. 2014, 59, 457–463. [Google Scholar] [CrossRef] [PubMed]
- Middelkamp-Hup, M.A.; Bos, J.D.; Rius-Diaz, F.; Gonzalez, S.; Westerhof, W. Treatment of vitiligo vulgaris with narrow-band UVB and oral Polypodium leucotomos extract: A randomized double-blind placebo-controlled study. J. Eur. Acad. Dermatol. Venereol. 2010, 21, 942–950. [Google Scholar] [CrossRef] [PubMed]
- Beani, J.C.; Jeanmougin, M. Narrow-band UVB therapy in psoriasis vulgaris: Good practice guideline and recommendations of the French Society of Photodermatology. Ann. Dermatol. Vénéréologie 2010, 137, 21–31. [Google Scholar] [CrossRef]
- Verhaeghe, E.; Lodewick, E.; van Geel, N.; Lambert, J. Intrapatient Comparison of 308-nm Monochromatic Excimer Light and Localized Narrow-Band UVB Phototherapy in the Treatment of Vitiligo: A Randomized Controlled Trial. Dermatology 2011, 223, 343–348. [Google Scholar] [CrossRef]
- Khan, M.A.; Matsumoto, T.; Maeda, N.; Kamata, N.; Hirayama, H. Improved external quantum efficiency of 293 nm AlGaN UVB LED grown on an AlN template. Jpn. J. Appl. Phys. 2018, 58, SAAF01. [Google Scholar] [CrossRef]
- Khan, M.A.; Maeda, N.; Jo, M.; Akamatsu, Y.; Tanabe, R.; Yamada, Y.; Hirayama, H. 13 mW operation of a 295–310 nm AlGaN UV-B LED with a p-AlGaN transparent contact layer for real world applications. J. Mater. Chem. C 2018, 7, 143–152. [Google Scholar] [CrossRef] [Green Version]
- Susilo, N.; Enslin, J.; Sulmoni, L.; Guttmann, M.; Zeimer, U.; Wernicke, T.; Weyers, M.; Kneissl, M. Effect of the GaN:Mg contact layer on the light-output and current–voltage characteristic of UVB LEDs. Phys. Status Solidi A 2017, 215, 1700643. [Google Scholar] [CrossRef]
- Guttmann, M.; Hermann, M.; Enslin, J.; Graupeter, S.; Sulmoni, L.; Kuhn, C.; Wernicke, T.; Kneissl, M. Improved light extraction and quantum efficiencies for UVB LEDs with UV-transparent p-AlGaN superlattices. Proc. SPIE 2017, 10104, 101041S. [Google Scholar] [CrossRef]
- Khan, M.A.; Itokazu, Y.; Maeda, N.; Jo, M.; Yamada, Y.; Hirayama, H. External quantum efficiency of 6.5% at 300 nm emission and 4.7% at 310 nm emission on bare wafer of AlGaN-based UVB LEDs. ACS Appl. Electron. Mater. 2020, 2, 1892–1907. [Google Scholar] [CrossRef]
- Trivellin, N.; Monti, D.; Piva, F.; Buffolo, M.; De Santi, C.; Zanoni, E.; Meneghesso, G.; Meneghini, M. Degradation processes of 280 nm high power DUV LEDs: Impact on parasitic luminescence. Jpn. J. Appl. Phys. 2019, 58, SCCC19. [Google Scholar] [CrossRef]
- Monti, D.; Santi, C.D.; Ruos, S.D.; Piva, F.; Glaab, J.; Rass, J.; Einfeldt, S.; Mehnke, F.; Enslin, J.; Wernicke, T.; et al. High-current stress of UV-B (In)AlGaN-based LEDs: Defect-generation and diffusion processes. IEEE Trans. Electron Dev. 2019, 66, 3387–3392. [Google Scholar] [CrossRef]
- Meneghini, M.; De Santi, C.; Tibaldi, A.; Vallone, M.; Bertazzi, F.; Meneghesso, G.; Zanoni, E.; Goano, M. Thermal droop in III-nitride based light-emitting diodes: Physical origin and perspectives. J. Appl. Phys. 2020, 127, 211102. [Google Scholar] [CrossRef]
- Santi, C.D.; Meneghini, M.; Monti, D.; Glaab, J.; Guttmann, M.; Rass, J.; Einfeldt, S.; Mehnke, F.; Enslin, J.; Wernicke, T.; et al. Recombination mechanisms and thermal droop in AlGaN-based UV-B LEDs. Photonics Res. 2017, 5, A44–A51. [Google Scholar] [CrossRef]
- Wu, T.; Lin, Y.; Peng, Z.; Chen, H.; Shangguan, Z.; Liu, M.; Chen, S.-W.H.; Lin, C.-H.; Kuo, H.-C.; Chen, Z. Interplay of carriers and deep-level recombination centers of 275-nm light-emitting diodes—Analysis on the parasitic peaks over wide ranges of temperature and injection density. Opt. Express 2019, 27, A1060–A1073. [Google Scholar] [CrossRef]
- Oh, C.H.; Shim, J.I.; Shin, D.S. Current- and temperature-dependent efficiency droops in InGaN-based blue and AlGaInP-based red light-emitting diodes. Jpn. J. Appl. Phys. 2019, 58, SCCC08. [Google Scholar] [CrossRef]
- Ploch, N.L.; Einfeldt, S.; Frentrup, M.; Rass, J.; Wernicke, T.; Knauer, A.; Kueller, V.; Weyers, M.; Kneissl, M. Investigation of the temperature dependent efficiency droop in UV LEDs. Semicond. Sci. Technol. 2013, 28, 125021. [Google Scholar] [CrossRef]
- Peng, Z.; Guo, W.; Wu, T.; Guo, Z.; Lu, Y.; Zheng, Y.-C.; Lin, Y.; Chen, Z. Temperature-Dependent Carrier Recombination and Efficiency Droop of AlGaN Deep Ultraviolet Light-Emitting Diodes. IEEE Photonics J. 2020, 12, 8200108. [Google Scholar] [CrossRef]
- Ruschel, J.; Glaab, J.; Beidoun, B.; Ploch, N.L.; Rass, J.; Kolbe, T.; Knauer, A.; Weyers, M.; Einfeldt, S.; Kneissl, M. Current-induced degradation and lifetime prediction of 310 nm ultraviolet light-emitting diodes. Photonics Res. 2019, 7, B36–B40. [Google Scholar] [CrossRef]
- Ruschel, J.; Glaab, J.; Brendel, M.; Kneissl, M. Localization of current-induced degradation effects in (InAlGa)N-based UV-B LEDs. J. Appl. Phys. 2018, 124, 084504. [Google Scholar] [CrossRef]
- Liu, T.-Y.; Huang, S.-M.; Lai, M.-J.; Liu, R.-S.; Zhang, X.; Chang, Y.-T.; Zhang, L.-J.; Lin, R.-M. Narrow-band AlGaN-based UVB light-emitting diodes. ACS Appl. Electron. Mater. 2021, 3, 4121. [Google Scholar] [CrossRef]
- Glaab, J.; Ploch, C.; Kelz, R.; Stölmacker, C.; Lapeyrade, M.; Ploch, N.L.; Rass, J.; Kolbe, T.; Einfeldt, S.; Mehnke, F.; et al. Degradation of (InAlGa)N-based UV-B light emitting diodes stressed by current and temperature. J. Appl. Phys. 2015, 118, 094504. [Google Scholar] [CrossRef]
- Nippert, F.; Mazraehno, M.T.; Davies, M.J.; Hoffmann, M.P.; Lugauer, H.-J.; Kure, T.; Kneissl, M.; Hoffmann, A.; Wagner, M.R. Auger recombination in AlGaN quantum wells for UV light-emitting diodes. Appl. Phys. Lett. 2018, 113, 071107. [Google Scholar] [CrossRef] [Green Version]
- Glaab, J.; Haefke, J.; Ruschel, J.; Brendel, M.; Rass, J.; Kolbe, T.; Knauer, A.; Weyers, M.; Einfeldt, S.; Guttmann, M.; et al. Degradation effects of the active region in UV-C light-emitting diodes. J. Appl. Phys. 2018, 123, 104502. [Google Scholar] [CrossRef]
- Zhu, X.; Su, M.; Chen, Z.; Deng, S.; Yao, H.; Wang, Y.; Chen, Z.; Deng, J.; Sun, W. Degradation analysis with characteristics and simulations of 265 nm UV-C LED. J. Mater. Sci. Mater. Electron. 2021, 32, 17115–17122. [Google Scholar] [CrossRef]
- Su, M.; Zhu, X.; Guo, Q.; Chen, Z.; Deng, S.; Chen, Z.; Wang, Y.; Deng, J.; Sun, W. Characterization and simulation of 280 nm UV-LED degradation. AIP Adv. 2021, 11, 035315. [Google Scholar] [CrossRef]
Publisher’s Note: MDPI stays neutral with regard to jurisdictional claims in published maps and institutional affiliations. |
© 2022 by the authors. Licensee MDPI, Basel, Switzerland. This article is an open access article distributed under the terms and conditions of the Creative Commons Attribution (CC BY) license (https://creativecommons.org/licenses/by/4.0/).





