Properties of ScAlMgO4 as Substrate for Nitride Semiconductors
Abstract
1. Introduction
2. Sample Preparations
3. Properties of SCAM
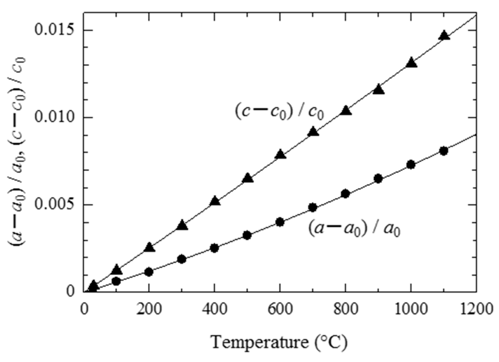
3.1. Lattice Constant and Thermal Expansion Coefficient
3.2. Thermal Conductance
3.3. Raman Scattering Measurements
3.4. Optical Transmissions
3.5. Refractive Index
4. Conclusions
Author Contributions
Funding
Data Availability Statement
Acknowledgments
Conflicts of Interest
References
- Kucharski, R.; Sochacki, T.; Lucznik, B.; Bockowski, M. Growth of bulk GaN crystals. J. Appl. Phys. 2020, 128, 050902. [Google Scholar] [CrossRef]
- Hellman, E.S.; Brandle, C.D.; Schneemeyer, L.F.; Wismann, D.; Brener, I.; Siegrist, T.; Berkstresser, G.W.; Buchanan, D.N.E.; Hartfrod, E.H. ScAlMgO4: An oxide substrate for GaN epitaxy. Mat. Res. Soc. Symp. Pro. 1996, 395, 51. [Google Scholar] [CrossRef]
- Hellman, E.S.; Brandle, C.D.; Schneemeyer, L.F.; Wiesmann, D.; Brener, I.; Siegrist, T.; Berkstresser, G.W.; Buchanan, D.N.E.; Hartford, E.H. ScAlMgO4: An oxide substrate for GaN epitaxy. MRS Internet J. Nitride Semicond. Res. 1996, 1, 1. [Google Scholar] [CrossRef]
- Iwabuchi, T.; Kuboya, S.; Tanikwa, T.; Hanada, T.; Katayama, R.; Minato, A.; Fukuda, T.; Matsuoka, T. Abstract of MOVPE Growth of GaN on ScAlMgO4 Substrate. In Proceedings of the Spring Meeting of Japan Society of Applied Physics, Aoyama Gakuin University, Tokyo, Japan, 17–20 March 2014. 18a-E13-8. [Google Scholar]
- Iwabuchi, T.; Kuboya, S.; Tanikawa, T.; Hanada, T.; Katayama, R.; Fukuda, T.; Matsuoka, T. Ga-polar GaN film gown by MOVPE on cleaved ScAlMgO4 (0001) substrate with millimeter-scale wide terraces. Phys. Stat. Sol. 2017, 214, 1607054. [Google Scholar]
- Ozaki, T.; Funato, M.; Kawakami, Y. InGaN-based visible light-emitting diodes on ScAlMgO4 (0001) substrates. Appl. Phys. Express 2015, 8, 062101. [Google Scholar] [CrossRef]
- Ohnishi, K.; Kanoh, M.; Tanikawa, T.; Kuboya, S.; Mukai, T.; Matsuoka, T. Halide vapor phase epitaxy of thick GaN films on ScAlMgO4 substrates and their self-separation for fabricating free-standing Wafers. Appl. Phys. Express 2017, 10, 101001. [Google Scholar] [CrossRef]
- Hanada, T.; Tajiri, H.; Sakata, O.; Fukuda, T.; Matsuoka, T. Characterization of the ScAlMgO4 cleaving layer by x-ray crystal truncation rod scattering. J. Appl. Phys. 2018, 123, 205305. [Google Scholar] [CrossRef]
- Ohnishi, K.; Kuboya, S.; Tanikawa, T.; Iwabuchi, T.; Yamamura, K.; Hasuike, N.; Harima, H.; Fukuda, T.; Matsuoka, T. Reuse of ScAlMgO4 substrates utilized for halide vapor phase epitaxy of GaN. Jpn. J. Appl. Phys. 2019, 58, SC1023. [Google Scholar] [CrossRef]
- Inaba, K.; Sugiyama, K.; Fujii, T.; Fukuda, T. X-ray diffraction analysis and X-ray topography of high-quality ScAlMgO4 substrates. J. Cryst. Growth 2021, 574, 126322. [Google Scholar] [CrossRef]
- Fukuda, T.; Shiraishi, Y.; Nanto, T.; Fujii, T.; Sugiyama, K.; Simura, R.; Iechi, H.; Tadatomo, K. Growth of bulk single crystal ScAlMgO4 boules and GaN films on ScAlMgO4 substrates for GaN-based optical devices, high-power and high-frequency transistors. J. Cryst. Growth 2021, 574, 126286. [Google Scholar] [CrossRef]
- Tang, H.; Xu, J.; Dong, Y.; Lin, H.; Wu, F. Study on growth and characterization of ScAlMgO4 substrate crystal. J. Alloys Compd. 2009, 471, L43–L46. [Google Scholar] [CrossRef]
- Fewster, P.F.; Andrew, N.L. Absolute lattice-parameter measurement. J. Appl. Crystallogr. 1995, 28, 451–458. [Google Scholar] [CrossRef]
- Kimizuka, N.; Mohri, T. Structural classification of RAO3(MO)n compounds (R=Sc, In, Y, or lanthanides; A=Fe(III), Ga, Cr, or Al; M =divalent cation; n = 1–11). J. Sol. Stat. Chem. 1989, 78, 98–107. [Google Scholar] [CrossRef]
- Parker, W.J.; Jenkins, R.J.; Butler, C.P.; Abbott, G.L. Flash method of determining thermal diffusivity, heat capacity, and thermal conductivity. J. Appl. Phys. 1961, 32, 1679–1684. [Google Scholar] [CrossRef]
- Cape, J.A.; Lehman, G.W. Temperature and finite pulse-time effects in the flash method for measuring thermal diffusivity. J. Appl. Phys. 1963, 34, 1909–1913. [Google Scholar] [CrossRef]
- Taylor, R.E.; Cape, J.A. Finite pulse-time effects in the flash diffusivity technique. Appl. Phys. Lett. 1964, 5, 212–213. [Google Scholar] [CrossRef]
- Zakurdaev, A.; Huang, X. Experimental study of phase transformation and specific heat of ternary zirconia-based oxides using differential scanning calorimetry. J. Alloys Compd. 2009, 488, 469–499. [Google Scholar] [CrossRef]
- Kubaschewski, O.; Alcock, C.B. Metallurgical Thermochemistry, 5th ed.; Pergamon Press: Oxford, UK, 1979; pp. 268–356. [Google Scholar]
- Hou, Y.; Yao, Y.P.; Dong, S.N.; Teng, M.L.; Sun, X.F.; Lia, X.G. Temperature dependence of phonon spectra and structural characteristics in multiferroic LuFe2O4 system. J. Raman Spectrosc. 2011, 42, 1695–1700. [Google Scholar] [CrossRef]
- Errandonea, D.; Kumar, R.S.; Ruiz-Fuertes, J.; Segura, A.; Haussühl, E. High-pressure study of substrate material ScAlMgO4. Phys. Rev. B 2011, 83, 144104. [Google Scholar] [CrossRef]
- Zhou, H.-T.; Liang, Y.; Huang, W.-X.; Ye, N.; Zou, Y.-Q. Single-crystal structure of ScAlMgO4. Chin. J. Struc. Chem. 2009, 28, 947–950. [Google Scholar]
- Harris, A.B.; Yildirim, T. Charge and spin ordering in the mixed-valence compound LuFe2O4. Phys. Rev. B 2010, 81, 134417. [Google Scholar] [CrossRef]
- Loudon, R. The Raman effect in crystals. Adv. Phys. 1964, 13, 423–482. [Google Scholar] [CrossRef]
- Yanagida, T.; Koshimizu, M.; Kawano, N.; Okada, G.; Kawaguchi, N. Optical and scintillation properties of ScAlMgO4 crystal grown by the floating zone method. Mater. Res. Bull. 2017, 95, 409–413. [Google Scholar] [CrossRef]
- Simura, R.; Sugiyam, K.; Nakatsuka, A.; Fukuda, T. Erratum: High-temperature thermal expansion of ScAlMgO4 for substrate application of GaN and ZnO epitaxial growth. Jpn. J. Appl. Phys. 2016, 55, 099201. [Google Scholar] [CrossRef]













| Temperature | Lattice Parameter | |
|---|---|---|
| (°C) | a (nm) | c (nm) |
| 30 | 0.32426(2) | 2.50850(2) |
| 100 | 0.32438(2) | 2.51070(2) |
| 200 | 0.32456(2) | 2.51390(2) |
| 300 | 0.32479(2) | 2.51711(2) |
| 400 | 0.32500(2) | 2.52053(2) |
| 500 | 0.32524(2) | 2.52388(2) |
| 600 | 0.32548(2) | 2.52725(2) |
| 700 | 0.32575(2) | 2.53052(2) |
| 800 | 0.32601(2) | 2.53351(2) |
| 900 | 0.32629(2) | 2.53655(2) |
| 1000 | 0.32655(2) | 2.54039(2) |
| 1100 | 0.32680(2) | 2.54431(2) |
Disclaimer/Publisher’s Note: The statements, opinions and data contained in all publications are solely those of the individual author(s) and contributor(s) and not of MDPI and/or the editor(s). MDPI and/or the editor(s) disclaim responsibility for any injury to people or property resulting from any ideas, methods, instructions or products referred to in the content. |
© 2023 by the authors. Licensee MDPI, Basel, Switzerland. This article is an open access article distributed under the terms and conditions of the Creative Commons Attribution (CC BY) license (https://creativecommons.org/licenses/by/4.0/).
Share and Cite
Matsuoka, T.; Morioka, H.; Semboshi, S.; Okada, Y.; Yamamura, K.; Kuboya, S.; Okamoto, H.; Fukuda, T. Properties of ScAlMgO4 as Substrate for Nitride Semiconductors. Crystals 2023, 13, 449. https://doi.org/10.3390/cryst13030449
Matsuoka T, Morioka H, Semboshi S, Okada Y, Yamamura K, Kuboya S, Okamoto H, Fukuda T. Properties of ScAlMgO4 as Substrate for Nitride Semiconductors. Crystals. 2023; 13(3):449. https://doi.org/10.3390/cryst13030449
Chicago/Turabian StyleMatsuoka, Takashi, Hitoshi Morioka, Satoshi Semboshi, Yukihiko Okada, Kazuya Yamamura, Shigeyuki Kuboya, Hiroshi Okamoto, and Tsuguo Fukuda. 2023. "Properties of ScAlMgO4 as Substrate for Nitride Semiconductors" Crystals 13, no. 3: 449. https://doi.org/10.3390/cryst13030449
APA StyleMatsuoka, T., Morioka, H., Semboshi, S., Okada, Y., Yamamura, K., Kuboya, S., Okamoto, H., & Fukuda, T. (2023). Properties of ScAlMgO4 as Substrate for Nitride Semiconductors. Crystals, 13(3), 449. https://doi.org/10.3390/cryst13030449
