Abstract
In recent years, magnesium slag has been used as a raw material for solid waste treatment using the carbonization method and has proven to be promising in reducing carbon emissions. In this study, the alkali activation reaction was introduced to promote the carbonization of magnesium slag. The resulting mechanical properties, microstructural attributes, and carbonization mechanism were studied by varying the sodium hydroxide content, temperature, and carbon dioxide concentration during the reaction process. The results showed that the amounts of calcium hydroxide, C-S-H, and calcium carbonate in the reaction products increased with the sodium hydroxide content, which enhanced the compressive strength of the composite. However, it does not influence the carbonization mechanism with the increasing reaction temperature, which only elevates the reaction rate. With the increase in the carbon dioxide concentration during alkali activation, the carbonization reaction is dominated by the amount of CO2 dissolved in the reaction medium, and the carbonization mechanism is changed. Thus, a significant decrease in the calcium hydroxide content and a sharp increase in the calcium carbonate content in the products occurred, which significantly improved the compressive strength of the resulting magnesium slag composite. Among them, the maximum compressive strength is 6.83 MPa.
1. Introduction
China proposed carbon reduction targets three times in 2009, 2015, and 2020 [1], aiming to achieve carbon neutrality by 2060 [2]. In the early 21st century, carbon dioxide (CO2) capture and storage (CCS) was the primary method for achieving carbon reduction [3]. However, researchers found some limitations and drawbacks of CCS, such as high energy consumption in the regeneration process of adsorbents, insufficient water resources in dryland for carbon capture, high initial investment, strict quality control for facility operation, and associated costs with maintenance and transportation [4,5,6]. These shortcomings prevent CCS from becoming a universal solution to carbon reduction. Mineral carbonation, or carbonization, has been shown to absorb and fix CO2 by replicating the natural weathering process of minerals in the laboratory [7]. Therefore, utilizing carbonation to treat solid wastes of slag has gained increasing attention in recent years [8], as it can help achieve carbon reduction [9,10] and alleviate the environmental impact and pollution caused by slag [11].
Mineral carbonation is a process in which minerals undergo hydration in a CO2-dissolved liquid and then react with carbonic acid to precipitate carbonate [12]. Therefore, adjusting the pH value of the reaction medium liquid can effectively control the mineral hydration rate during carbonation [13]. Alkali activation is one such approach to adjusting the solution pH. Miyan et al. [14] used Na2O for the alkali excitation of ferrochrome slag and blast furnace slag. They found that the increase in the Na2O concentration led to the formation of OH−, which improved the dissolution of silicon and calcium ions. And denser reaction products such as C-S-H and C-A-S-H increased, resulting in improved mechanical properties. Li et al. [15] studied the hydration properties of granular blast furnace slag excited by NaOH. The results showed that in the high pH solution, the Ca-O bond, Si-O bonds, and Al-O bonds were destroyed by OH−. A thin layer of a hydration product is quickly formed on the surface of the slag particles. When the pH of the solution is higher, the more Ca and Si ions are eluted, the faster the C-S-H is formed. Alkali activators commonly include sodium hydroxide (NaOH), water glass, and sodium carbonate [16]. Among them, NaOH is readily available and has excellent activation effects, with a relatively short dissolution time and no introduction of other elements [17]. Liu et al. [18] found that NaOH had a strong alkali activation ability in the early stage of hydration, compared with Na2SiO3, which improved the strength in the later stage. Xiang et al. [19] quantitatively evaluated the effects of NaOH and Na2SiO3 on the carbonation of powdered blast furnace slag and showed that adding the activator increased the carbonate content in the final product. D.C et al. [20] confirmed that using NaOH and silicates as alkali activators promotes slag hydration. The specimen has a dense microstructure (density of 2025 kg/m3) and maximum elasto-mechanical properties (elastic modulus of 26.1 GPa and compressive strength of 102.8 MPa at 28 days). G.C et al. [21] used different molar concentrations of NaOH to excite silicon-manganese slag. The results showed that the shear stress increased with the increase in the NaOH molar concentration. Therefore, the carbonation efficiency of slag can be effectively improved by NaOH [22].
Magnesium alloy is a lightweight metal material widely used in aerospace and automotive industries due to its low density (about 1.8 g/cm3), high strength, high elastic modulus, excellent heat dissipation and vibration damping [23,24], and high impact resistance [25,26]. However, approximately 60 million tons of magnesium slag are produced annually in China as a byproduct of the magnesium alloy production process, accumulating at a rate of 8 million tons per annum [27,28]. Therefore, more researchers are beginning to focus on reusing magnesium slag to reduce carbon emissions [28,29]. It has been shown earlier that calcium-rich industrial solid wastes, such as magnesium slag, can be carbonized and reused for carbon reduction [30,31]. Magnesium slag contains a large amount of carbonizable γ-C2S, β-C2S, and a small amount of MgO [32], which can be carbonized to produce cementitious materials, such as calcium/magnesium carbonate [33], exhibiting excellent mechanical properties. K.J. [33] reported a gel material by the carbonization of magnesium slag and concrete, with a compressive strength of 52.5 MPa and a flexural strength of 10.7 MPa. Furthermore, J. Y. et al. [34] found that increasing the ambient temperature during magnesium slag carbonization promotes gel formation, improving the resulting mechanical properties of the final product. The compressive strength of the sample reached 50 MPa at 28 days. Fang et al. [29] cured magnesium slag with a high concentration of CO2 and confirmed that carbonation could significantly reduce the specimen porosity, gradually transforming macropores to micropores and considerably improving the pore size distribution and pore structure. Lei et al. [35] examined the CO2-activated aerated concrete with magnesium slag to prepare the carbonate binder and showed that the high carbonation degree could help absorb CO2 up to 28 wt%, while more than 90% of the CO2 absorption efficiency was obtained in the first 30 min. Hence, it is inferred that magnesium slag has excellent potential for carbonization within tens of minutes, and the carbonation efficiency of magnesium slag is crucial in determining the resulting mechanical properties of the composite. Alkali activation can effectively enhance the carbonation efficiency of slag. However, no studies have been conducted on the effect of alkali activation on the dynamic carbonization of short-term magnesium slag and its mechanism.
Based on this, magnesium slag was used as the raw material in this study, and NaOH was added to promote magnesium slag carbonation. The role and mechanism of alkali activation on the hydration reaction during the carbonization of magnesium slag were investigated within an hour, and the resulting mechanical properties were evaluated. Different carbonization temperatures and CO2 concentrations were introduced as experimental conditions to explore further the mechanism of CO2 concentration and experimental temperature on alkali activation. In actual production processes, the flue gas discharged from plants and static carbonization methods have limitations in practical applications. Therefore, the dynamic carbonation method was selected in this study. The crystal structure of the product was determined by X-ray scattering (X-ray diffraction), the functional groups and chemical composition were analyzed by Fourier transform infrared spectroscopy (FT-IR), and comprehensive thermal analysis was performed by thermogravimetry and differential scanning calorimetry (TG-DSC). The microscopic morphology was observed by scanning electron microscope (SEM) imaging. All specimens were tested for compressive strength using a DS-type Cement Flexing and Compression Integrated Machine according to the industry standard JGJ/T70-2009 “Standard for test method of basic properties of construction mortar” [36]. The carbonization data of magnesium slag and the mechanical properties of the bulks obtained in this study can serve as a reference for potential resource utilization.
2. Raw Materials and Experimental Procedure
2.1. Raw Materials
The magnesium slag used in this study was procured from Yulin Tianlong Magnesium Industry Co., Ltd. in Yulin, China, and its chemical composition is given in Table 1. NaOH (analytically pure; purity > 96%), produced by Tianjin Tianli Chemical Reagent Co., Ltd. (Tianjin, China), was used as an activator. Pure water prepared in the laboratory was used as the liquid medium.
Table 1.
Chemical composition of magnesium slag.
2.2. Specimen Preparation
The magnesium slag was ground and refined in a ball mill jar, then passed through a 20-mesh sieve after grinding for 20 min. The ball mill was obtained from Bohui Instrument Co., Ltd., Xi’an, China. The magnesium slag, NaOH, and pure water were pre-weighed with an electronic balance, placed in a cement mixer, and stirred for 300 s. The mix thus obtained was cast into cube molds of 70.7 × 70.7 × 70.7 mm and then air-cured for 24 h. The specimens were demolded after 24 h and were cured under the following different environments:
- (a)
- static treatment at different ambient temperatures: 20 °C or 140 °C for 1 h in air;
- (b)
- carbonized at 140 °C under 99.9% CO2 concentration for 1 h.
In order to study the effects of the NaOH content, carbonization temperature, and CO2 concentration on the compressive properties of the specimens, samples with a given water-to-slag ratio were cured under different conditions. The water-to-slag ratio was 0.3 in the mixes [37], defined as the mass ratio of pure water to magnesium slag. The NaOH proportions in magnesium slag were selected as 0 wt%, 1 wt%, 3 wt%, 5 wt%, 7 wt%, and 9 wt%, while the corresponding samples were denoted as SNa-0, SNa-1, SNa-3, SNa-5, and SNa-7, respectively. The carbonization temperature and CO2 concentration were taken as variables. For the carbonization temperature of 20 °C, the mix was termed SNa, as mentioned above; when the carbonization temperature was 140 °C, the corresponding mixes were denoted as SNaT-0, SNaT-1, SNaT-3, SNa-5, and SNa-7. The CO2 concentration was defined as the relative amount of CO2 in a nitrogen atmosphere. When the CO2 content was 0%, it was the SNaT, as mentioned above, and when the CO2 content was 100%, the specimens were named SNaTC-0, SNaTC-1, SNaTC-3, SNaTC-5, and SNaTC-7. The experimental groups are presented in Table 2.
Table 2.
Test parameters.
2.3. Experimental Methods
All the powder samples were ground to 80 μm in size and dried at 50 °C for 24 h before testing.
2.3.1. X-ray Diffraction (XRD)
X-ray diffraction (XRD) was used to characterize the crystalline phases in the prepared magnesium slag specimens after exposure to different carbonation conditions and before/after grinding. XRD (SmartLab 9KW, Rigaku, Tokyo, Japan) was carried out using Cu Kα radiation between 5° and 90° (2-θ), with a scanning rate of 10°/min.
2.3.2. Fourier Transform Infrared Spectroscopy (FT-IR)
Fourier transform infrared spectroscopy (FT-IR) was used to characterize the functional groups and chemical composition of the products. FTIR was conducted using an automatic Fourier transform infrared (FT-IR) spectrometer (IRTracer 100, Shimadzu, Kyoto, Japan) at a frequency range of 400–4000 cm−1. The specimen was a pressed mixture of 1 mg ground powder and 100 mg KBr.
2.3.3. TG-DSC
Thermogravimetric analysis (TGA) was conducted using TG-DSC analysis (TGA/DSC3+, Mettler Toledo, Zurich, Switzerland) to determine the amount of bound water, calcium hydroxide (CH), and calcium carbonate (CaCO3). The fractured samples after the compression test were used to examine the microstructure. Samples were prepared and stored in an alcohol solution for one day to remove free water and then dried at 50 °C for 3 days in a vacuum oven. Powdered samples were obtained by grinding the vacuum oven-dried samples for 15 min and sieved through a 75 μm sieve for the TG-DSC test. The samples were heated from 25 °C to 800 °C with a heating/cooling rate of 10 °C/min under a nitrogen atmosphere. The gas flow rate was 50 mL/min.
2.3.4. Scanning Electron Microscopy (SEM) Imaging
The morphological features of carbonation products and the microstructural changes were investigated by a scanning electron microscope (SEM, TESCAN MIRA LMS, TESCAN, Brno, Czech Republic) at an acceleration voltage of 5 kV.
2.3.5. Compressive Strength
The compressive strength of cured magnesium slag specimens was determined following JGJ/T70-2009 [36] using a DS-type cement flexural and compressive integrated machine (YYW-300, YIYU, Shaoxing, China). The loading rate of 1.5 kN/s was applied, and the average strength values of three samples were reported.
3. Results, Analysis, and Discussion
3.1. XRD Analysis
The results of XRD analysis are shown in Figure 1. In both cases of magnesium slag (before and after ball milling), γ-dicalcium silicate (γ-C2S), β-larnite (β-C2S), and a small amount of magnesium oxide were observed, indicating that ball milling did not change the magnesium slag composition, wherein the main Ca sources are β-C2S and γ-C2S.
Figure 1.
XRD patterns of magnesium slag before and after grinding.
Furthermore, the phase compositions of hydration and carbonation products (SNa, SNaT, and SNaTC samples) were characterized by XRD to investigate the effects of NaOH content, temperature, and CO2 concentration during the reaction. The corresponding XRD patterns are shown in Figure 2. Diffraction peaks of γ-C2S, β-C2S, and calcite were detected in all specimens. The presence of calcite is possibly due to the reaction with small amounts of CO2 in the air, consistent with the previous findings [37]. With the increase in the NaOH content, there has been no significant increase in calcite. Furthermore, by comparing the phase compositions of the specimens carbonized at 140 °C (Figure 2b) and the specimens carbonized at the atmosphere of 99.9% CO2 concentration (Figure 2c), the main product of the carbonized magnesium slag are consistent with the specimens activated by NaOH. This indicates that the different reaction environments have limited influence on the type of carbonization product phases. The intensity of the γ-C2S/calcite diffraction peak in Figure 2b was significantly enhanced, indicating that high temperature can promote carbonate formation. After being cured in an atmosphere of 99.9% CO2 (Figure 2c), the γ-C2S/calcite diffraction peaks were further enhanced, indicating the greater carbonization of magnesium slag with increased CO2 concentrations. In addition, the Ca(OH)2 diffraction peaks were observed in all samples except for SNa-0, SNaT-0, and SNaTC-0, indicating that NaOH is conducive to the formation of a large amount of hydration products, facilitating carbonate formation [38,39,40].
Figure 2.
XRD patterns of specimens with different NaOH contents (0 wt%, 1 wt%, 3 wt%, 5 wt%, 7 wt%, and 9 wt%) in different carbonization environments: (a) SNa, (b) SNaT, and (c) SNaTC.
3.2. FTIR Analysis
The FTIR spectra of the samples cured with different reaction parameters are shown in Figure 3. β-C2S and γ-C2S are allotropes with the same chemical formula, Ca2SiO4 or 2CaO·SiO2. The carbonization reaction of C2S can be divided into two steps.
Figure 3.
FT-IR spectra of specimens with different NaOH contents (0 wt%, 1 wt%, 3 wt%, 5 wt%, 7 wt%, and 9 wt%) in different carbonization environments: (a) SNa, (b) SNaT, and (c) SNaTC.
(i) First, C2S undergoes a hydration reaction to form C-S-H and Ca(OH)2, which further reacts with CO2 to form CaCO3. The dehydration and carbonation reaction equations are given as follows [41,42,43]:
Ca(OH)2 + CO2 → CaCO3 + H2O and
Ca2(SiO4)(H2O) + CO2 → CaCO3 + SiO2 + H2O.
(ii) Second, C2S can directly react with CO2: Ca2SiO4 + CO2 → CaCO3 + SiO2 [44].
It can be seen that if carbonate is generated in the product, a C-O bond will be formed. Thus, FTIR analysis was carried out to understand the changes occurring during the carbonation reaction, as shown in Figure 3. The bands at 507 cm−1 are designated to the stretching vibration of the Si-O bond [45]. The bands at 661 cm−1 indicate the stretching vibration of the Si-O bond [46], while the bands at 845 cm−1 correspond to both the stretching vibration of the Si-O [47] and C-O bonds [48]. The bands at 950 cm−1 correspond to the stretching vibration of the Si-O bond [49]. The bands around 1485 cm−1 reflect the stretching vibration of the C-O bond [50], whereas the bands around 3429 cm−1 represent the stretching vibration of the O-H bond [50]. The Si-O bond originates from the uncarbonized C2S, whereas the C-O bond is derived from the calcium carbonate formed after carbonation and the O-H bond is derived from Ca(OH)2 in the product, which is consistent with the XRD results (Figure 2). Figure 3a shows that the strength of the C-O bond does not increase with the NaOH addition. The highest peak occurs when the NaOH content is 3 wt%, indicating that alkali activation can improve the carbonization reaction of magnesium slag. Nevertheless, the degree of improvement is limited. It is observed in Figure 3b,c that the peak of the C-O bond increases as the carbonization temperature increases, indicating that the carbonization temperature promotes carbonization.
In the specimens of the SNaTC group, both the temperature and CO2 concentration were increased. Notably, the highest C-O peak is observed when the NaOH content is 5 wt%, i.e., the most carbonized products are formed, suggesting that increasing the carbon dioxide concentration and temperature during the reaction may change the mechanism of the carbonization reaction.
3.3. TG-DSC Analysis
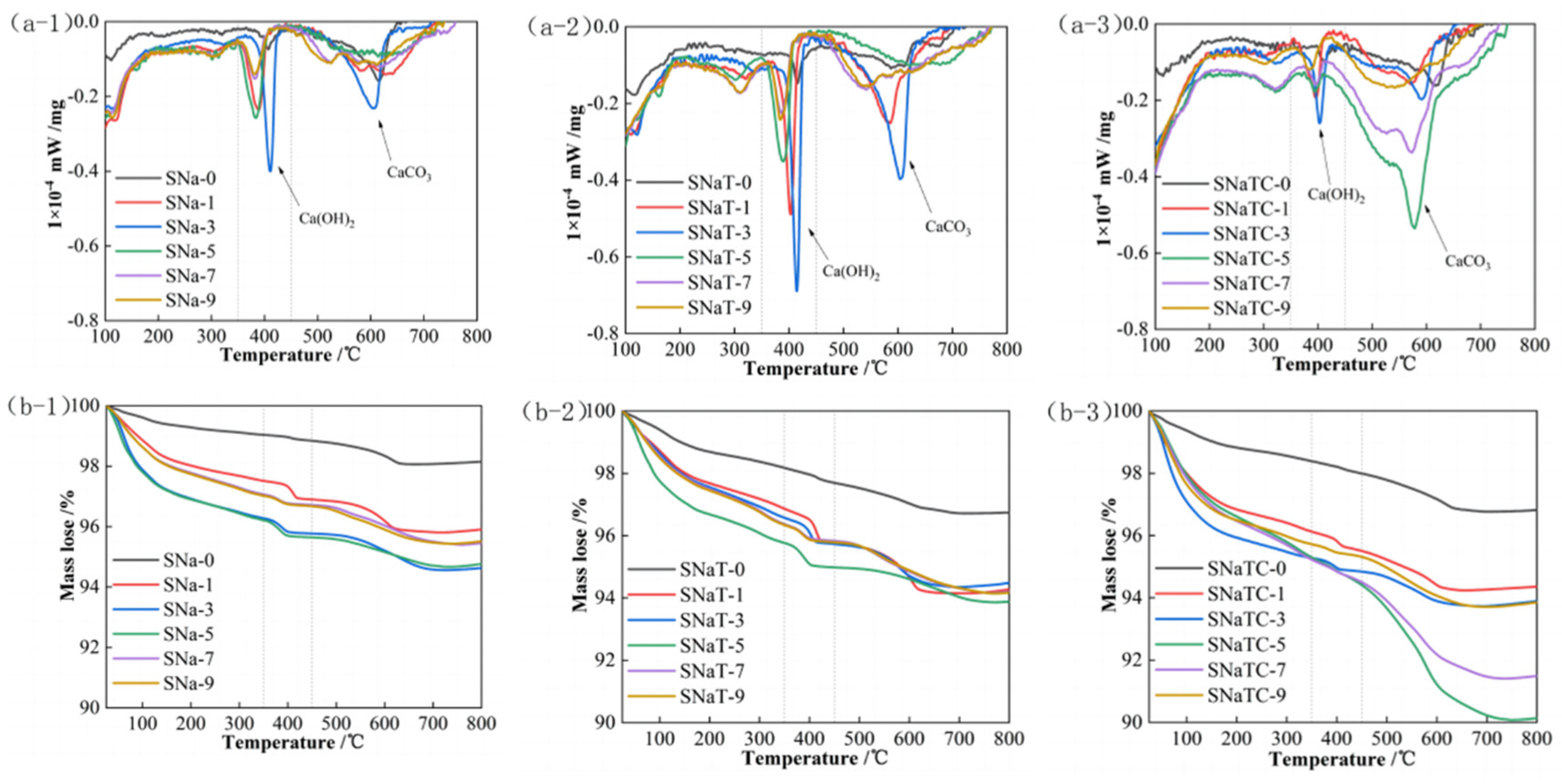
In order to understand the carbon fixation capacity of magnesium slag specimens prepared under different conditions, the heat absorption, heat release, and weight loss of each specimen group after carbonization were measured by TG-DSC, as shown in Figure 4. Two prominent endothermic peaks appearing at 350~450 °C and 450~800 °C were observed in all samples (Figure 4a,b), corresponding to dihydroxylation (the dehydration of Ca(OH)2) [51] and decarbonation (the decomposition of CaCO3) [37], respectively. This is consistent with the XRD results, which also show the presence of Portlandite and calcite.
Figure 4.
Specimens with different NaOH contents (0 wt%, 1 wt%, 3 wt%, 5 wt%, 7 wt%, 9 wt%) in different carbonation environments. (a) DSC curves: (a−1) SNa, (a−2) SNaT, (a−3) SNaTC. (b) TG curves: (b−1) SNa, (b−2) SNaT, (b−3) SNaTC.
Figure 4a−1 shows the DSC curves under different NaOH contents at room temperature. The amount of Ca(OH)2 and CaCO3 increased with the increasing NaOH content from 0 wt% to 3 wt%, whereas it decreased as the NaOH content reached 5%. This result is consistent with the FTIR analysis in Figure 3a. This signifies that adding a suitable amount of NaOH can promote hydration and carbonization reactions under natural conservation conditions. However, for specimens with a high alkali content, additional alkali content does not promote further carbonization, mainly due to the formation of a protective film on the surface of products [52], which acts as a barrier and prevents the growth of hydration products, thereby limiting compressive strength development.
Figure 4a−2,b−2 shows the alkali activation effect of temperature on the hydration and carbonization reaction of magnesium slag, respectively. The endothermic peaks of Ca(OH)2 and CaCO3 are stronger than those in Figure 4a−1 due to the promotion effect of the elevated temperatures on the hydration and carbonization of magnesium slag. When the NaOH content is 3 wt%, the reaction products contain the highest Ca(OH)2 and CaCO3 after carbonization, which is consistent with the result shown in Figure 4a−1,b−1.
Comparing the TG-DSC curves of the SNaT (Figure 4a−2,b−2) and the SNaTC (Figure 4a−3,b−3) with those of the SNa (Figure 4a−1,b−1), it can be found that the DSC peak corresponding to CaCO3 under high temperature and high CO2 concentration conditions is higher than that corresponding to CaCO3 under ambition conditions. This suggests that increasing the carbonization temperature and CO2 concentration can both further promote the formation of carbonation products, which is consistent with the FTIR analysis in Figure 3.
Furthermore, the amount of CaCO3 in the sample cured under elevated temperatures and CO2 concentrations for 5 wt% of NaOH content is more than that for the other samples. It is also noticed that the endothermic peak of Ca(OH)2 decreased, whereas the endothermic peak of CaCO3 increased, which may be attributed to the transformation of Portlandite into calcite, consistent with the XRD results [35,53]. This shows that, at elevated temperatures and CO2 concentrations, Ca(OH)2 produced by alkali activation is more likely to react with CO2 to form CaCO3, increasing the carbonization reaction products at higher alkali contents. This may be because the reaction environment with a high concentration of CO2 provides sufficient CO2 for the carbonization of the hydration reaction product.
The amount of CO2 absorbed by magnesium slag is an important indicator to evaluate its carbon fixation capacity. According to the mass loss of CaCO3 decomposed between 450 °C and 800 °C in the TG-DSC curves, the amount of CO2 absorbed can be calculated from Equation (1) [37]. And the calculated amount percentage of CO2 absorbed under different conditions are shown in Table 3.
where ΔW (450~800 °C) represents the weight loss of different magnesium slag samples in the range of 450~800 °C. The weight at 800 °C indicates the weight of dry samples at 800 °C.
Table 3.
CO2 absorbed amount percentage of the magnesium slag samples (wt%).
It can be seen from Table 3 that the CO2 amount of SNa and SNaT groups are low, with the maximum being only 1.73%. The amount of CO2 absorbed by magnesium slag samples increased significantly after carbonization. With the increase in the NaOH content, the CO2 amount of samples gradually increased. Among them, the CO2 amount of SNaTC-7 after 1 h of carbonization is the highest, which is 4.74%; that is, 1 ton of magnesium slag can fix 47.7 kg of CO2.
3.4. Correlation between Compressive Strength and Reaction Products Formed
Based on the weight loss between the temperature ranges of 350~450 °C and 450~800 °C, as shown on the TG curves (Figure 4b), the quantity of the hydration product (Ca(OH)2) and carbonation product (CaCO3) generated by the carbonated magnesium slag could be estimated using Equations (2) and (3). It is well known that the compressive strength of cementitious materials often comes from the formation of hydration and carbonization reaction products [29,37]. Therefore, there is a correlation between the compressive strength of the cementitious composite and the quantities of the hydration and carbonation products. In order to ascertain the correlation between the amounts of hydration and carbonization reaction products on the resulting compressive strength, the weight losses were compared with the compressive strengths under varying conditions in Figure 5.
Figure 5.
Compressive strength of specimens with different NaOH contents (0 wt%, 1 wt%, 3 wt%, 5 wt%, 7 wt%, 9 wt%) versus total weight loss in the temperature range from 25 °C to 800 °C.
As shown in Figure 5 and Table 3, the weight loss trend is consistent with the compressive strength development, which first increases and then decreases. The maximum compressive strengths of the samples from the SNa and SNaT groups are 2.10 MPa and 3.71 MPa, respectively, at the NaOH contents of 3 wt%. This because, at the early stage of reactions, the Ca-O bond on the surface of the slag particles is much weaker than the Si-O bond, and the Ca-O bond will first break under the polarization of OH−. And sufficient OH− will change the solubility of Ca ions in the solution and promote the hydrolysis of calcium-containing compounds [15], promoting the hydration reaction [39] and producing more metal cations in the slurry of magnesium slag, forming more carbonate products [54]. When the carbonization temperature increased, the trend in compressive strength did not change, indicating that the temperature increase only accelerated the reaction rate but did not change the influencing mechanism. Thus, it is inferred that whether the alkali activation carbonization reaction occurs at high temperature or room temperature, it is affected by the cation concentration in the liquid reaction medium. Therefore, although the high temperature can promote the carbonization reaction, manifested as the overall increase in the compressive strength of SNaT, the compressive strength of the SNaT specimens has the same trend as that for the ambient temperature (SNa).
The maximum compressive strength of samples from the SNaTC group is 6.83 MPa when the NaOH content is 5 wt%, consistent with the FT-IR (Figure 3) and TG (Figure 4b) results. The compressive strength of the samples from the SNaTC group showed some different trends under the reaction environment of high CO2 concentrations. From the FT-IR (Figure 3) and TG (Figure 4) analyses, the samples from the SNaTC group have a lower Ca(OH)2 content and a higher CaCO3 content than the samples from SNa and SNaT groups after carbonation. This shows that more cations can react with CO2 in an environment with sufficient CO2, forming more carbonates and promoting the carbonization reaction. Therefore, under sufficient CO2, the carbonization reaction rate is mainly affected by the CO2 concentration rather than the concentration of cations, which may significantly increase the compressive strength of the samples from the SNaTC group.
3.5. SEM Imaging
In order to study the influence of the micro-morphology of reaction products on the compressive strength, the SEM images of samples under different conditions are presented in Figure 6. Figure 6a shows the SEM image of the magnesium slag sample cured under ambient temperatures. There were unreacted particles [37,55], while plate-like calcite [37,55,56] and needle-like C-S-H hydration [37] products were observed in Figure 6a to be produced by the magnesium slag reacting with a small amount of CO2 in the air. However, the calcite and needle-like hydration products [37] were relatively few and dispersed, leading to the low density of the specimens. Therefore, the compressive strength of the specimen did not significantly increase. This led to a reduced compressive strength of 1.21 MPa of the specimen. Figure 6b shows the SEM image of the magnesium slag sample cured under 140 °C. The shapes of calcite were limited, with loose hydration products among them, signifying that when the amount of calcium ion was sufficient, the elevated temperature formed more calcite and hydration products. As shown in Figure 6c, abundant, tightly interconnected, cubic CaCO3 crystals were formed in the samples from SNa-5 and SNaT-5 groups after 1 h of CO2 curing, filling up most of the original pores, leading to improved mechanical properties [53]. This is because the addition of sufficient CO2 under alkali activation results in the formation of additional calcite, enhancing the compressive strength of the slag, as reported by Han et al. [57].
Figure 6.
Microscopic morphology of magnesium slag specimens: (a) SNa-5, (b) SNaT-5, (c) SNaTC-5.
Therefore, it can be concluded that NaOH addition promotes the carbonization reaction of magnesium slag, primarily because of the increased pH of the reaction medium, promoting the release of metal cations. However, the amounts of carbonization products formed by controlling the pH to promote the carbonization reaction are limited, so the compressive strength of magnesium slag specimens does not increase when the NaOH content is >3 wt%. This is due to the lack of CO2 as the reactant in the carbonization reaction. Second, the alkali-activated carbonization reaction at a high temperature of 140 °C has a similar carbonization mechanism as that at room temperature. Therefore, the compressive strength of the specimens cured at high temperatures showed a similar trend to those cured at room temperature. Due to the accelerated alkali-activated reaction rate, the maximum compressive strength value was 1.61MPa—larger than the samples cured at room temperature [39]. Thirdly, when ample CO2 was available, a large amount of CO2 could participate in the carbonization reaction, resulting in the carbonization rate being dominated by the CO2 concentration. Figure 7 illustrates the formation of products under different reaction mechanisms. In addition, the maximum compressive strength was 3.12 MPa—larger than the samples cured at 140 °C. Sufficient CO2 promotes the transition from hydration products to carbonate products, forming a dense micro-morphology and improving the mechanical properties of the composite.
Figure 7.
Schematic diagrams of the reaction mechanism of magnesium slag under different reaction conditions. (a) SNa−0, (b) SNa (apart from SNa−0), (c) SNaT, and (d) SNaTC.
4. Conclusions
In this study, magnesium slag specimens were prepared via the alkali activation of magnesium slag under varying conditions. The investigation focused on the impact of the NaOH content, carbonization temperature, and CO2 concentration on the microstructural and mechanical properties. The following conclusions are drawn from the results obtained.
1. FT-IR and XRD results indicate that under different reaction conditions, the mineral compositions of magnesium slag specimens contain β-C2S, γ-C2S, Ca(OH)2, and calcite. The chemical compositions and crystalline phases of the reaction products did not change under varying reaction conditions.
2. As the NaOH content increases, the Ca(OH)2 and CaCO3 contents increase in the magnesium slag specimens after curing. The carbonization products fill the pores in the magnesium slag specimens, increasing the compressive strength. The compressive strength of the magnesium slag specimens could reach the optimal value, 2.10 MPa, with a NaOH content of 3 wt%.
3. When the temperature of the alkali-activated reaction is increased, the compressive strength of the magnesium slag specimens reaches an optimal value of 3.71 MPa with a NaOH content of 3 wt%. The temperature further promotes the carbonization reaction rate, while the carbonization mechanism is not different from that at room temperature.
4. The alkali activation under a high CO2 concentration and temperature results in a sharp decrease in the Ca(OH)2 content and a significant increase in the CaCO3 content. The compressive strength of the magnesium slag specimens reached an optimal value of 6.83 MPa with a NaOH content of 5 wt% due to the formation of abundant, tightly interconnected carbonation products, which was much higher than that of the specimens cured without a high CO2 concentration. In this reaction condition, the carbonation reaction rate was dominated by the amount of dissolved CO2 in the reaction medium. Hence, the carbonation mechanism is altered.
Author Contributions
Conceptualization, M.Z. (Miaomiao Zhu); methodology, M.Z. (Miaomiao Zhu) and J.H.; validation, M.Z. (Miaomiao Zhu); investigation, M.Z. (Mingming Zhu); resources, M.Z. (Miaomiao Zhu) and J.H.; data curation, R.Z.; writing—original draft preparation, R.Z.; writing—review and editing, M.Z. (Miaomiao Zhu) and J.H.; supervision, J.H.; project administration, M.Z. (Miaomiao Zhu); funding acquisition, M.Z. (Miaomiao Zhu). All authors have read and agreed to the published version of the manuscript.
Funding
This research was funded by Shaanxi Youth Science and Technology New Star Project (2022KJXX-23).
Data Availability Statement
The original contributions presented in the study are included in the article; further inquiries can be directed to the corresponding authors.
Conflicts of Interest
Miaomiao Zhu, Ruoxin Zhai and Mingming Zhu were employed by the Shaanxi Provincial Academy of Building Research Co. The remaining author declare that the research was conducted in the absence of any commercial or financial relationships that could be construed as a potential conflict of interest.
References
- Qin, J.; Ou, D.; Yang, Z.; Gao, X.; Zhong, Y.; Yang, W.; Wu, J.; Yang, Y.; Xia, J.; Liu, Y.; et al. Synergizing economic growth and carbon emission reduction in China: A path to coupling the MFLP and PLUS models for optimizing the territorial spatial functional pattern. Sci. Total Environ. 2024, 929, 171926. [Google Scholar] [CrossRef] [PubMed]
- Zhan, J.; Wang, C.; Wang, H.; Zhang, F.; Li, Z. Pathways to achieve carbon emission peak and carbon neutrality by 2060: A case study in the Beijing-Tianjin-Hebei region, China. Renew. Sustain. Energy Rev. 2024, 189, 113955. [Google Scholar] [CrossRef]
- Zhao, H.; Liu, Y.Q. Study on the Challenges and Opportunities for Capture and Storage of CO2 as CDM Activities. Sichuan Environ. 2008, 2, 60–63. (In Chinese) [Google Scholar]
- Ou, Z.D. Research progress in emerging carbon dioxide capture technologies. Resour. Recycl. 2023, 9, 40–43. (In Chinese) [Google Scholar]
- Lu, B.; Fan, Y.; Zhi, X.; Han, Z.; Wu, F.; Li, X.; Luo, C.; Zhang, L. Material design and prospect of dual-functional materials for integrated carbon dioxide capture and conversion. Carbon Capture Sci. Technol. 2024, 12, 100207. [Google Scholar] [CrossRef]
- Zhang, K.; Wang, R. A critical review on new and efficient adsorbents for CO2 capture. Chem. Eng. J. 2024, 485, 149495. [Google Scholar] [CrossRef]
- Seifritz, W. CO2 disposal by means of silicates. Nature 1990, 345, 486. [Google Scholar] [CrossRef]
- Li, Z.; Xing, Y.; Ma, M.; Su, W.; Cui, Y.; Tian, J.; Fei, F. Towards the co-benefits of carbon capture, utilization and sequestration: A life cycle assessment study for steel slag disposal. J. Clean. Prod. 2024, 443, 141166. [Google Scholar] [CrossRef]
- He, D.; Chen, M.; Liu, H.; Wang, J. Preparation of activated electrolytic manganese residue-slag-cement ternary blended cementitious material: Hydration characteristics and carbon reduction potential. Constr. Build. Mater. 2024, 425, 135990. [Google Scholar] [CrossRef]
- Xu, D.; Liu, J.; Du, H.; Ma, B.; Tang, C.; Ni, W.; Yan, X.; Zhang, H. Performance optimization and carbon reduction effect of solid waste-based cementitious materials from iron and steel metallurgical slags and ammonia-soda residue. Chem. Eng. J. Adv. 2024, 17, 100584. [Google Scholar] [CrossRef]
- Ma, Y.; Zhang, X.; Du, Z.; Hou, H.; Zheng, Y. Research on Utilizable Calcium from Calcium Carbide Slag with Different Extractors and Its Effect on CO2 Mineralization. Materials 2024, 17, 1068. [Google Scholar] [CrossRef] [PubMed]
- Rashid, M.I.; Yaqoob, Z.; Mujtaba, M.A.; Fayaz, H.; Saleel, C.A. Developments in mineral carbonation for Carbon sequestration. Heliyon 2023, 9, e21796. [Google Scholar] [CrossRef] [PubMed]
- Li, X.; Du, H.H.; Ni, W.; Fu, P.F.; Wang, F. Ratio Optimization and Hydration Characteristics of Kr Desulfurization Slag Alkali-Activated Granulated Blast-Furnace Slag. Bull. Chin. Ceram. Soc. 2023, 42, 170–179. (In Chinese) [Google Scholar]
- Miyan, N.; Omur, T.; Kabay, N.; Birol, B. The potential usage of waste ferrochrome slag in alkali-activated mixes. J. Build. Eng. 2023, 75, 107026. [Google Scholar] [CrossRef]
- LI, P.; Tang, J.; Bai, Y.; Chen, X.; Chen, J. Experimental study on the pH for activating ground granulated blast-furnace slag activity at different temperatures. Sādhanā 2019, 44, 213. [Google Scholar] [CrossRef]
- Zhang, B.; Chen, Y.; Ma, Y.; Ji, T. Effect of hydration assemblage on the autogenous shrinkage of alkali-activated slag mortars. Mag. Concr. Res. 2023, 75, 447–463. [Google Scholar] [CrossRef]
- Kumar Sinha, A.; Talukdar, S. Mechanical and bond behaviour of high volume Ultrafine-slag blended fly ash based alkali activated concrete. Constr. Build. Mater. 2023, 383, 131368. [Google Scholar] [CrossRef]
- Liu, S.; Wang, Y.; Wu, A.; Shi, D.; Zhang, M.; Ruan, Z.; Wang, S. Study on the performance of alkali-activated phosphorus slag cemented paste backfill material: Effect of activator type and amount. Constr. Build. Mater. 2024, 425, 136036. [Google Scholar] [CrossRef]
- Xiang, J.; He, Y.; Cui, X.; Liu, L. Enhancement of setting times and hardening of alkali-activated slag binder using CO2-modified slag. Cem. Concr. Compos. 2022, 134, 104797. [Google Scholar] [CrossRef]
- Coffetti, D.; Candamano, S.; Crea, F.; Coppola, L. On the role of alkali content on one-part alkali activated slag pastes produced with tri-blend solid activators. Constr. Build. Mater. 2023, 409, 133868. [Google Scholar] [CrossRef]
- Cota, T.G.; Brigolini, G.J.; Lima, R.M.F.; Reis, É.L. Alkaline activation for production of slag-based binders from the manufacture of manganese ferroalloys. J. Build. Eng. 2023, 79, 107842. [Google Scholar] [CrossRef]
- Lu, G.; Han, J.; Ma, Z. Experimental design of alkali activated cementitious properties of magnesium slag. Exp. Technol. Manag. 2022, 39, 31–36+47. (In Chinese) [Google Scholar]
- Hamdy, A.S.; Butt, D.P. Corrosion mitigation of rare-earth metals containing magnesium EV31A-T6 alloy via chrome-free conversion coating treatment. Electrochim. Acta 2013, 108, 852–859. [Google Scholar] [CrossRef]
- Wang, H.; Luo, X.C.; Zhang, D.T.; Qiu, C.; Chen, D.L. High-strength extruded magnesium alloys: A critical review. J. Mater. Sci. Technol. 2024, 199, 27–52. [Google Scholar] [CrossRef]
- Bai, J.; Yang, Y.; Wen, C.; Chen, J.; Zhou, G.; Jiang, B.; Peng, X.; Pan, F. Applications of magnesium alloys for aerospace: A review. J. Magnes. Alloys 2023, 11, 3609–3619. [Google Scholar] [CrossRef]
- He, M.; Yang, L.; He, Q.; Zhang, M.; Xian, G.; Liu, W. Comparative study on the corrosion resistance of Al, AlTiSi and AlTiSiN coated Mg-Gd-Y magnesium alloy. Mater. Lett. 2024, 359, 135945. [Google Scholar] [CrossRef]
- Gao, M.; Dai, J.; Jing, H.; Ye, W.; Sesay, T. Investigation of the performance of cement-stabilized magnesium slag as a road base material. Constr. Build. Mater. 2023, 403, 133065. [Google Scholar] [CrossRef]
- Zhong, D.; Zhang, W.; Zhang, S.; Hou, G.; Lu, B. Preparation of aragonite whisker-rich materials by wet carbonation of magnesium slag: A sustainable approach for CO2 sequestration and reinforced cement. Constr. Build. Mater. 2024, 418, 135429. [Google Scholar] [CrossRef]
- Fang, Z.; Liu, L.; He, W.; Han, K.; Lan, H.; Gao, Y.; Sun, W.; Han, Z.; Xia, L.; Yang, P. Strength characteristics and carbonation depth evolution of modified magnesium slag based solid waste storage backfill materials. J. Environ. Chem. Eng. 2024, 12, 111975. [Google Scholar] [CrossRef]
- Sun, H.; Pan, G.; Lu, X.; Iqbal, S.; Meng, H. The in-situ grown nano-γ-Al2O3@FA composite synthesized by carbonization method improves the properties of gypsum slag cement. Constr. Build. Mater. 2024, 426, 136172. [Google Scholar] [CrossRef]
- Wang, J.; Ding, Y.; Zhou, Y.; Wei, W.; Wang, Y. Municipal solid waste incineration bottom ash recycling assessment: Carbon emission analysis of bottom ash applied to pavement materials. Constr. Build. Mater. 2024, 421, 135774. [Google Scholar] [CrossRef]
- Sun, R.; Wu, Z.J.; Wang, D.M.; Ding, Y.; Fang, K.Z. Properties and Hydration Mechanism of Ultrafine Magnesium Slag Powder-CementComposites Cementitious Materials. Mater. Rep. 2023, 37, 98–108. (In Chinese) [Google Scholar]
- Jin, K.; Zhou, X.; Wang, D.; Bi, W.; Lu, Y.; Wang, J. Performance of cementitious materials prepared with magnesium slag and concrete slurry waste. J. Build. Eng. 2024, 89, 109379. [Google Scholar] [CrossRef]
- Ye, J.; Liu, S.; Fang, J.; Zhang, H.; Zhu, J.; Guan, X. Effect of temperature on wet carbonation products of magnesium slag. Constr. Build. Mater. 2024, 425, 135949. [Google Scholar] [CrossRef]
- Lei, M.; Deng, S.; Huang, K.; Liu, Z.; Wang, F.; Hu, S. Preparation and characterization of a CO2 activated aerated concrete with magnesium slag as carbonatable binder. Constr. Build. Mater. 2022, 353, 129112. [Google Scholar] [CrossRef]
- JGJ/T 70-2009; Standard for Test Method of Basic Properties of Construction Mortar. People’s Republic of China Industry Standard: Beijing, China, 2009.
- Mo, L.; Hao, Y.; Liu, Y.; Wang, F.; Deng, M. Preparation of calcium carbonate binders via CO2 activation of magnesium slag. Cem. Concr. Res. 2019, 121, 81–90. [Google Scholar] [CrossRef]
- Liu, Z.; Zhang, D.; LI, L.; Wang, J.; Shao, N.; Wang, D. Microstructure and phase evolution of alkali-activated steel slag during early age. Constr. Build. Mater. 2019, 204, 158–165. [Google Scholar] [CrossRef]
- Feng, J.; Sun, J. A comparison of the 10-year properties of converter steel slag activated by high temperature and an alkaline activator. Constr. Build. Mater. 2020, 234, 116948. [Google Scholar] [CrossRef]
- Li, W.; Cao, M.; Liu, F.; Wang, D.; Chang, J. Pretreatment of alkali activation and carbonation of steel slag for using as binding material. Cem. Concr. Compos. 2024, 149, 105521. [Google Scholar] [CrossRef]
- Šauman, Z. Carbonization of porous concrete and its main binding components. Cem. Concr. Res. 1971, 1, 645–662. [Google Scholar] [CrossRef]
- Zhang, J.; Zhang, W.; Ye, J.; Ren, X.; Liu, L.; Shen, W. Influence of alkaline carbonates on the hydration characteristics of β-C2S. Constr. Build. Mater. 2021, 296, 123661. [Google Scholar] [CrossRef]
- Chen, Q.; Zhu, L.; Wang, Y.; Chen, J.; Qi, C. The carbon uptake and mechanical property of cemented paste backfill carbonation curing for low concentration of CO2. Sci. Total Environ. 2022, 852, 158516. [Google Scholar] [CrossRef]
- Luo, K.; Zhang, W.; Ye, J.; Li, J.; Lu, Z.; Ren, X. Mechanism of interaction between hydration–carbonation of C2S. Constr. Build. Mater. 2024, 412, 134891. [Google Scholar] [CrossRef]
- Shi, T.; Yang, Z.P.; Zheng, L.W. FTIR spectra for early age hydration of cement-basedcomposites incorporatted with CNTs. Acta Mater. Compos. Sin. 2017, 34, 653–660. (In Chinese) [Google Scholar]
- Chen, H.M.; Qin, Z.G.; Chen, J.; Zhang, Y.D.; Wu, P. Experimental study on drying shrinkage and microscopic characteristics of borax-sodium silicate alkali-activated slag mortar. Exp. Technol. Manag. 2024, 41, 25–31. (In Chinese) [Google Scholar]
- Fang, Y.; Chang, J. Rapid hardening β-C2S mineral and microstructure changes activated by accelerated carbonation curing. J. Therm. Anal. Calorim. 2017, 129, 681–689. [Google Scholar] [CrossRef]
- Khan, R.I.; Ashraf, W.; Olek, J. Amino acids as performance-controlling additives in carbonation-activated cementitious materials. Cem. Concr. Res. 2021, 147, 106501. [Google Scholar] [CrossRef]
- Cao, R.; Zhang, S.; Banthia, N.; Zhang, Y.; Zhang, Z. Interpreting the early-age reaction process of alkali-activated slag by using_combined embedded ultrasonic measurement, thermal analysis, XRD, FTIR_and SEM. Compos. Part B 2020, 186, 107840. [Google Scholar] [CrossRef]
- Hansen, M.R.; Jakobsen, H.J.; Skibsted, J. 29Si chemical shift anisotropies in calcium silicates from high-field 29Si MAS NMR spectroscopy. Inorg. Chem. 2003, 42, 2368–2377. [Google Scholar] [CrossRef]
- Gupta, A.; Armatis, P.D.; Sabharwall, P.; Fronk, B.M.; Utgikar, V. Energy and exergy analysis of Ca(OH)2/CaO dehydration-hydration chemical heat pump system: Effect of reaction temperature. J. Energy Storage 2021, 39, 102633. [Google Scholar] [CrossRef]
- Xu, R.; Kong, F.; Yang, R.; Wang, H.; Hong, T. Influences of silicate modulus and alkali content on macroscopic properties and microstructure of alkali-activated blast furnace slag-copper slag. Constr. Build. Mater. 2024, 442, 137622. [Google Scholar] [CrossRef]
- Fang, Z.; Gao, Y.; He, W.; Zhu, M.; Xia, L.; Yang, P.; Liu, D.; He, J. Carbonation curing of magnesium-coal slag solid waste backfill material: Study on properties of flow, mechanics and carbon sequestration. Case Stud. Constr. Mater. 2024, 20, e03204. [Google Scholar] [CrossRef]
- Jun, Y.; Han, S.H.; Kim, J.H. Performance of CO2-cured alkali-activated blast-furnace slag incorporating magnesium oxide. Constr. Build. Mater. 2024, 429, 136462. [Google Scholar] [CrossRef]
- Zhong, X.; Li, L.; Jiang, Y.; Ling, T. Elucidating the dominant and interaction effects of temperature, CO2 pressure and carbonation time in carbonating steel slag blocks. Constr. Build. Mater. 2021, 302, 124158. [Google Scholar] [CrossRef]
- Zhang, C.; Liu, S.; Tang, P.; Guan, X.; Shi, C. Enhancing the hardening properties and microstructure of magnesium slag blocks by carbonation-hydration sequential curing. J. Build. Eng. 2023, 76, 107414. [Google Scholar] [CrossRef]
- Han, S.H.; Kim, S.M.; Jun, Y.; Han, T.H.; Kim, J.H. Carbon-captured sodium hydroxide solution for sustainable alkali-activated slag. Sustain. Mater. Technol. 2024, 40, e00915. [Google Scholar] [CrossRef]
Disclaimer/Publisher’s Note: The statements, opinions and data contained in all publications are solely those of the individual author(s) and contributor(s) and not of MDPI and/or the editor(s). MDPI and/or the editor(s) disclaim responsibility for any injury to people or property resulting from any ideas, methods, instructions or products referred to in the content. |
© 2024 by the authors. Licensee MDPI, Basel, Switzerland. This article is an open access article distributed under the terms and conditions of the Creative Commons Attribution (CC BY) license (https://creativecommons.org/licenses/by/4.0/).






