Phase Evolution, Mechanical, and Electrical Properties of Lightweight Ceramic Prepared Using Scoria at Low Temperature
Abstract
1. Introduction
2. Experimental Technique
2.1. Chemical Analysis
2.2. Batch Calculation
2.3. Sample Preparation
2.4. X-Ray Diffraction (XRD)
2.5. Porosity and Bending Strength
2.6. Electrical Properties
3. Results and Discussion
3.1. X-Ray Diffraction (XRD)
3.2. Porosity and Bending Strength
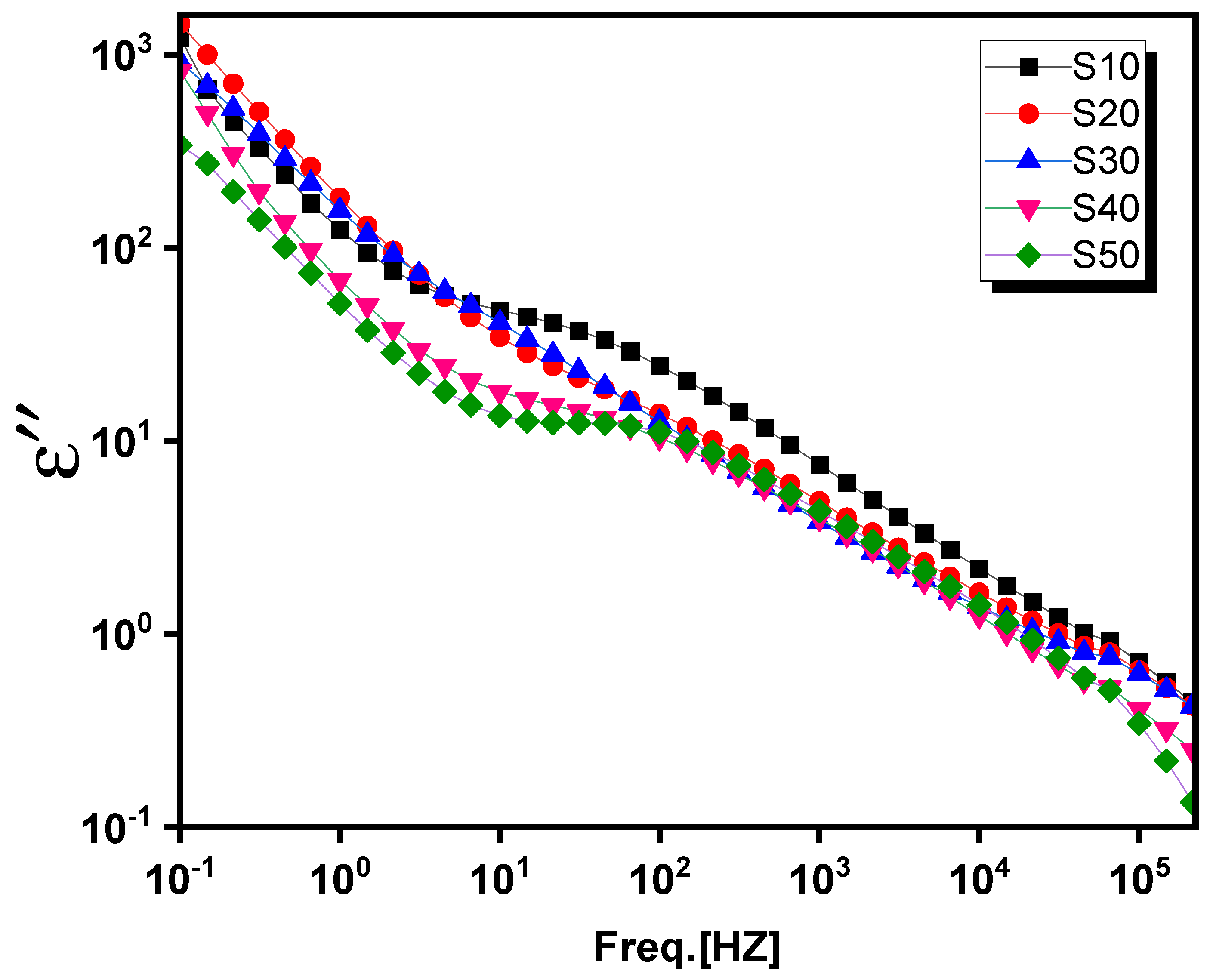
3.3. Electrical Properties
4. Conclusions
- Five main crystalline phases were identified in the samples, with the predominant phase changing from gehlenite to quartz as the scoria content increased.
- It was found that the porosity and the mechanical, electrical, and dielectric properties of the ceramic samples were heavily influenced by the crystal phases formed, as well as by the physicochemical characteristics of the aluminosilicate source and the amount of clay incorporated with the volcanic scoria.
- The porosity of ceramic samples decreases from S10 to S50 due to the increase in the percentage of scoria, which has a high density of iron oxide (Fe2O3) which influences the pore structure by reducing the number of voids and making the structure denser. Thus, the reduction in porosity led to increased bending strength with the increasing amount of scoria in the samples.
- Moreover, the electrical and dielectric properties of the samples are significantly influenced by scoria content, affecting energy storage, charge transport mechanisms, and overall electrical performance.
- Higher scoria concentrations lead to lower dielectric constants and electrical conductivities due to the insulating nature of the scoria’s silicate and hematite (Fe2O3) components.
- The phase evolution played a significant role in determining the mechanical and electrical characteristics of the ceramic samples.
- These crystal structural changes directly contributed to enhanced bending strength and electrical insulation properties, with the sample containing 50% scoria (S50) exhibiting the most promising performance among the samples under study.
- The findings suggest that these scoria-based ceramics have significant potential for various applications, including construction, electrical, and potentially other high-performance industries.
Author Contributions
Funding
Data Availability Statement
Acknowledgments
Conflicts of Interest
References
- Otitoju, T.A.; Okoye, P.U.; Chen, G.; Li, Y.; Okoye, M.O.; Li, S. Advanced ceramic components: Materials, fabrication, and applications. J. Ind. Eng. Chem. 2020, 85, 34–65. [Google Scholar] [CrossRef]
- Eliche-Quesada, D.; Pérez-Villarejo, L.; Sánchez-Soto, P.J. Introductory Chapter: Ceramic Materials-Synthesis, Characterization, Applications and Recycling. In Ceramic Materials-Synthesis, Characterization, Applications and Recycling; IntechOpen: London, UK, 2019; Volume 1. [Google Scholar]
- Khater, G.A.; Nabawy, B.S.; El-Kheshen, A.A.; Abdel-Baki, M.; Farag, M.M.; Abd Elsatar, A.G. Preparation and characterization of low-cost wollastonite and gehlenite ceramics based on industrial wastes. Constr. Build. Mater. 2021, 310, 125214. [Google Scholar] [CrossRef]
- Quesada, D.E.; Villarejo, L.P.; Soto, P.S. (Eds.) Ceramic Materials: Synthesis, Characterization, Applications and Recycling; BoD–Books on Demand: Norderstedt, Germany, 2019. [Google Scholar]
- Khater, G.A.; Nabawy, B.S.; El-Kheshen, A.A.; Abdel-Baki, M.; Farag, M.M. Utilizing of solid waste materials for producing porous and lightweight ceramics. Mater. Chem. Phys. 2022, 280, 125784. [Google Scholar] [CrossRef]
- Alraddadi, S.; Assaedi, H. Thermal and mechanical properties of glass–ceramics based on slate and natural raw materials. Silicon 2023, 15, 1871–1882. [Google Scholar] [CrossRef]
- Khater, G.A.; El-Kheshen, A.A.; Farag, M.M. Synthesise and characterization of cordierite and wollastonite glass—Ceramics derived from industrial wastes and natural raw materials. Materials 2022, 15, 3534. [Google Scholar] [CrossRef]
- Barry Carter, C.; Grant Norton, M. Ceramic Materials, Science and Engineering; Springer: New York, NY, USA, 2013. [Google Scholar]
- Hammas, A.; Lecomte-Nana, G.; Daou, I.; Zibouche, F. Sintering and final properties of kaolinite-magnesite tapes for the manufacture of cordierite-mullite ceramics. Int. J. Appl. Ceram. Technol. 2020, 17, 2265–2276. [Google Scholar] [CrossRef]
- Corni, I.; Ryan, M.P.; Boccaccini, A.R. Electrophoretic deposition: From traditional ceramics to nanotechnology. J. Eur. Ceram. Soc. 2008, 28, 1353–1367. [Google Scholar] [CrossRef]
- Ten, J.G.; Orts, M.J.; Saburit, A.; Silva, G. Thermal conductivity of traditional ceramics. Part I: Influence of bulk density and firing temperature. Ceram. Int. 2010, 36, 1951–1959. [Google Scholar]
- Manfredini, T.; Hanuskova, M. Natural raw materials in “traditional” ceramic manufacturing. J. Univ. Chem. Technol. Metall. 2012, 47, 465–470. [Google Scholar]
- Tarvornpanich, T.; Souza, G.P.; Lee, W.E. Microstructural evolution in clay-based ceramics II: Ternary and quaternary mixtures of clay, flux, and quartz filler. J. Am. Ceram. Soc. 2008, 91, 2272–2280. [Google Scholar] [CrossRef]
- Pontikes, Y.; Nikolopoulos, P.; Angelopoulos, G.N. Thermal behaviour of clay mixtures with bauxite residue for the production of heavy-clay ceramics. J. Eur. Ceram. Soc. 2007, 27, 1645–1649. [Google Scholar] [CrossRef]
- Tufar, W.T. Ullmann’s Encyclopedia of Industrial Chemistry; Wiley-VCH Verlag GmbH & Co. KGaA: Weinheim, Germany, 2000. [Google Scholar]
- Wattanasiriwech, S.; Wattanasiriwech, D. Roles of talc-illite on phase transformation, vitrification and physical properties of a triaxial porcelain body. J. Ceram. Process. Res. 2019, 20, 643–648. [Google Scholar] [CrossRef]
- Serra, M.F.; Conconi, M.S.; Suarez, G.; Aglietti, E.F.; Rendtorff, N.M. Volcanic ash as flux in clay based triaxial ceramic materials, effect of the firing temperature in phases and mechanical properties. Ceram. Int. 2015, 41, 6169–6177. [Google Scholar] [CrossRef]
- Nasution, N.J.F.; Sembiring, K.; Sitorus, Z. Analysis of the Structure of Ceramic Materials of Clay, Mount Kelud Volcanic Ash and Sea Water. J. Phys. Conf. Ser. 2021, 2019, 012103. [Google Scholar] [CrossRef]
- Candamano, S.; De Luca, P.; Garofalo, P.; Crea, F. Ceramic Materials Containing Volcanic Ash and Characterized by Photoluminescent Activity. Environments 2023, 10, 172. [Google Scholar] [CrossRef]
- Tassongwa, B.; Njoya, A.; Pouepene, R.A.M.; Mbog, M.B.; Kenfack, J.V.; Dongmo, A.K.; Wouatong, A.S.L. Effect of volcanic ashes addition on ceramic properties of clayey materials from Koutaba (Western Cameroon). Arab. J. Geosci. 2022, 15, 541. [Google Scholar] [CrossRef]
- Alraddadi, S. Crystal Structure, Microstructure, and Dielectric and Electrical Properties of Ceramic Material Prepared Using Volcanic Ash. Crystals 2024, 14, 817. [Google Scholar] [CrossRef]
- Lao, X.; Xu, X.; Jiang, W.; Liang, J.; Miao, L.; Wu, Q. Influences of impurities and mineralogical structure of different kaolin minerals on thermal properties of cordierite ceramics for high-temperature thermal storage. Appl. Clay Sci. 2020, 187, 105485. [Google Scholar] [CrossRef]
- Alraddadi, S.; Assaedi, H. Physical properties of mesoporous scoria and pumice volcanic rocks. J. Phys. Commun. 2021, 5, 115018. [Google Scholar] [CrossRef]
- Alraddadi, S. The impact of thermal treatment on the mechanical properties and thermal insulation of building materials enhanced with two types of volcanic scoria additives. Heliyon 2023, 9, e20814. [Google Scholar] [CrossRef]
- Lemougna, P.N.; Melo, U.C.; Delplancke, M.P.; Rahier, H. Influence of the chemical and mineralogical composition on the reactivity of volcanic ashes during alkali activation. Ceram. Int. 2014, 40, 811–820. [Google Scholar] [CrossRef]
- Tchadjie, L.N.; Ekolu, S.O. Enhancing the reactivity of aluminosilicate materials toward geopolymer synthesis. J. Mater. Sci. 2018, 53, 4709–4733. [Google Scholar] [CrossRef]
- Zheng, Y.; Wang, S.; Ouyang, Z.; Zou, Y.; Liu, J.; Li, C.; Li, C.; Feng, J. CAS-1 lunar soil simulant. Adv. Space Res. 2009, 43, 448–454. [Google Scholar] [CrossRef]
- Takeda, H.; Hashimoto, S.; Kanie, H.; Honda, S.; Iwamoto, Y. Fabrication and characterization of hardened bodies from Japanese volcanic ash using geopolymerization. Ceram. Int. 2014, 40, 4071–4076. [Google Scholar] [CrossRef]
- Ndjock, B.D.L.; Elimbi, A.; Cyr, M. Rational utilization of volcanic ashes based on factors affecting their alkaline activation. J. Non-Cryst. Solids 2017, 463, 31–39. [Google Scholar] [CrossRef]
- Khater, G.A.; Nabawy, B.S.; Kang, J.; Yue, Y.; Mahmoud, M.A. Magnetic and electrical properties of glass and glass-ceramics based on weathered basalt. Silicon 2020, 12, 2921–2940. [Google Scholar] [CrossRef]
- Kremer, F.; Schönhals, A. (Eds.) Broadband Dielectric Spectroscopy; Springer Science & Business Media: Berlin, Germany, 2002. [Google Scholar]
- Rajabi Mashhadi, Z.; Naghizadeh, R. Effects of temperature and duration of anorthite synthesis from mixtures of kaolin and calcite. J. Inst. Eng. (India) Ser. E 2021, 102, 227–238. [Google Scholar] [CrossRef]
- Traore, K.; Kabre, T.S.; Blanchart, P. Gehlenite and anorthite crystallisation from kaolinite and calcite mix. Ceram. Int. 2003, 29, 377–383. [Google Scholar] [CrossRef]
- Pankrath, R.; Florke, O.W. Kinetics of Al-Si exchange in low and high quartz: Calculation of Al diffusion coefficients. Eur. J. Mineral. 1994, 6, 435–457. [Google Scholar] [CrossRef]
- Khater, G.A.; Nabawy, B.S.; El-Kheshen, A.A.; Abdel Latif, M.A.B.; Farag, M.M. Use of arc furnace slag and ceramic sludge for the production of lightweight and highly porous ceramic materials. Materials 2022, 15, 1112. [Google Scholar] [CrossRef]
- Sembiring, S.; Simanjuntak, W.; Situmeang, R.; Riyanto, A.; Karo-Karo, P. Effect of alumina addition on the phase transformation and crystallisation properties of refractory cordierite prepared from amorphous rice husk silica. J. Asian Ceram. Soc. 2017, 5, 186–192. [Google Scholar] [CrossRef]
- Barsoum, M. Fundamentals of Ceramics; CRC Press: Boca Raton, FL, USA, 2019. [Google Scholar]
- Rani, P.; Deshmukh, K.; Kadlec, J.; Karthik, T.K.; Pasha, S.K. Dielectric properties of graphene/nano-Fe2O3 filled poly (vinyl alcohol)/Chitosan blends. Mater. Chem. Phys. 2023, 295, 126986. [Google Scholar] [CrossRef]
- Chaturvedi, A.K.; Pappu, A.; Gupta, M.K. Unraveling the role of agro waste-derived graphene quantum dots on dielectric and mechanical property of the fly ash based polymer nanocomposite. J. Alloys Compd. 2022, 903, 163953. [Google Scholar] [CrossRef]
- Chaturvedi, A.K.; Pappu, A.; Srivastava, A.K.; Gupta, M.K. Synthesis dielectric and mechanical properties of paddy straw derived graphene quantum dots-stone waste nanocomposite. Mater. Lett. 2021, 301, 130323. [Google Scholar] [CrossRef]
- Şahingöz, R.; Kanbur, H.; Voigt, M.; Soykan, C. The determination of interface states and series resistance profile of Al/polymer/PEDOT-PSS/ITO heterojunction diode by I–V and C–V methods. Synth. Met. 2008, 158, 727–731. [Google Scholar] [CrossRef]
- Yıldırım, M.; Erdal, M.O.; Kocyigit, A. The effect of indium doping concentration on the electrical and dielectric properties of ZnO thin films in Al/In: ZnO/p-Si heterojunctions. Phys. B Condens. Matter 2019, 572, 153–160. [Google Scholar] [CrossRef]
- Biswal, B.; Mishra, D.K.; Das, S.N.; Bhuyan, S. Structural, micro-structural, optical and dielectric behavior of mullite ceramics. Ceram. Int. 2021, 47, 32252–32263. [Google Scholar] [CrossRef]
- Shanker, J.; Buchi Suresh, M.; Narsinga Rao, G.; Suresh Babu, D. Colossal dielectric, relaxor ferroelectric, diamagnetic and weak ferromagnetic properties of NdCrO3 perovskite nanoparticles. J. Mater. Sci. 2019, 54, 5595–5604. [Google Scholar] [CrossRef]
- Alraddadi, S.; Saeed, A.; Assaedi, H. Effect of thermal treatment on the structural, electrical, and dielectric properties of volcanic scoria. J. Mater. Sci. Mater. Electron. 2020, 31, 11688–11699. [Google Scholar] [CrossRef]










| Main Constituents (wt.%) | Scoria | Red Clay | Limestone | Silica Sand |
|---|---|---|---|---|
| SiO2 | 42.67 | 48.76 | 0.68 | 99.2 |
| Al2O3 | 16.03 | 22.96 | 0.65 | 0.28 |
| Fe2O3 | 14.63 | 9.44 | 0.35 | 0.03 |
| TiO2 | 2.3 | 0.03 | - | trace |
| MgO | 6.53 | 0.82 | 0.98 | trace |
| CaO | 10.9 | 1.36 | 54 | 0.1 |
| ZrO2 | 0.05 | - | - | - |
| P2O5 | 0.4 | - | - | - |
| Na2O | 3.46 | 0.9 | - | trace |
| K2O | 0.71 | 0.6 | - | trace |
| L.O.I. | 2.33 | 15.57 | 43.34 | 0.39 |
| Batch No. | Nominal Composition | Batch Composition % | Batch Constituents % | |||||||||||
|---|---|---|---|---|---|---|---|---|---|---|---|---|---|---|
| Scoria | Red Clay | SiO2 | Al2O3 | Fe2O3 | CaO | MgO | Na2O | K2O | TiO2 | Red Clay | Scoria | Limestone | Silica Sand | |
| S10 | 10 | 90 | 56.28 | 26.01 | 11.64 | 2.52 | 1.66 | 1.35 | 0.95 | 0.30 | 62.50 | 6.94 | 30.56 | - |
| S20 | 20 | 80 | 54.73 | 24.82 | 12.05 | 3.41 | 2.26 | 1.38 | 0.83 | 0.53 | 53.71 | 13.43 | 32.87 | - |
| S30 | 30 | 70 | 53.53 | 23.73 | 12.50 | 4.28 | 2.88 | 1.75 | 0.72 | 0.78 | 46.37 | 19.87 | 33.76 | - |
| S40 | 40 | 60 | 52.12 | 22.68 | 12.93 | 5.14 | 3.48 | 2.00 | 0.62 | 1.03 | 43.22 | 28.81 | 27.97 | - |
| S50 | 50 | 50 | 50.82 | 21.67 | 13.38 | 5.98 | 4.09 | 2.28 | 0.50 | 1.28 | 32.75 | 32.75 | 30.45 | 4.06 |
| Freq. (Hz) | S10 | S20 | S30 | S40 | S50 | |||||
|---|---|---|---|---|---|---|---|---|---|---|
| ε′ | σ′ | ε′ | σ′ | ε′ | σ′ | ε′ | σ′ | ε′ | σ′ | |
| 0.1 | 304.62 | 6.80 × 10−11 | 259.00 | 8.067 × 10−11 | 199.55 | 5.10 × 10−11 | 168.16 | 4.56 × 10−11 | 124.36 | 1.88 × 10−11 |
| 1.0 | 134.65 | 6.89 × 10−11 | 83.47 | 1.01 × 10−10 | 95.86 | 8.69 × 10−11 | 58.21 | 3.77 × 10−11 | 53.06 | 2.87 × 10−11 |
| 10.0 | 84.66 | 2.64 × 10−10 | 47.58 | 1.92 × 10−10 | 46.53 | 2.27 × 10−10 | 40.71 | 9.96 × 10−11 | 39.33 | 7.51 × 10−11 |
| 100.0 | 33.14 | 1.36 × 10−9 | 24.16 | 7.68 × 10−10 | 20.54 | 6.98 × 10−10 | 21.23 | 5.78 × 10−10 | 22.09 | 6.19 × 10−10 |
| 1000.0 | 15.49 | 4.20 × 10−9 | 13.17 | 2.71 × 10−9 | 12.83 | 2.13 × 10−9 | 11.87 | 2.21 × 10−9 | 11.07 | 2.42 × 10−9 |
| 10,000.0 | 10.95 | 1.22 × 10−8 | 9.81 | 9.09 × 10−9 | 10.22 | 7.72 × 10−9 | 9.064 | 6.91 × 10−9 | 7.92 | 7.87 × 10−9 |
| 100,000.0 | 9.52 | 3.99 × 10−8 | 8.53 | 3.60 × 10−8 | 9.023 | 3.46 × 10−8 | 8.23 | 2.28 × 10−8 | 6.99 | 1.92 × 10−8 |
| 1,000,000.0 | 9.13 | 1.03 × 10−7 | 8.11 | 1.04 × 10−7 | 8.58 | 1.10 × 10−7 | 7.99 | 6.22 × 10−8 | 6.98 | 1.59 × 10−8 |
Disclaimer/Publisher’s Note: The statements, opinions and data contained in all publications are solely those of the individual author(s) and contributor(s) and not of MDPI and/or the editor(s). MDPI and/or the editor(s) disclaim responsibility for any injury to people or property resulting from any ideas, methods, instructions or products referred to in the content. |
© 2024 by the authors. Licensee MDPI, Basel, Switzerland. This article is an open access article distributed under the terms and conditions of the Creative Commons Attribution (CC BY) license (https://creativecommons.org/licenses/by/4.0/).
Share and Cite
Alraddadi, S.; Assaedi, H. Phase Evolution, Mechanical, and Electrical Properties of Lightweight Ceramic Prepared Using Scoria at Low Temperature. Crystals 2024, 14, 929. https://doi.org/10.3390/cryst14110929
Alraddadi S, Assaedi H. Phase Evolution, Mechanical, and Electrical Properties of Lightweight Ceramic Prepared Using Scoria at Low Temperature. Crystals. 2024; 14(11):929. https://doi.org/10.3390/cryst14110929
Chicago/Turabian StyleAlraddadi, Shoroog, and Hasan Assaedi. 2024. "Phase Evolution, Mechanical, and Electrical Properties of Lightweight Ceramic Prepared Using Scoria at Low Temperature" Crystals 14, no. 11: 929. https://doi.org/10.3390/cryst14110929
APA StyleAlraddadi, S., & Assaedi, H. (2024). Phase Evolution, Mechanical, and Electrical Properties of Lightweight Ceramic Prepared Using Scoria at Low Temperature. Crystals, 14(11), 929. https://doi.org/10.3390/cryst14110929

