Abstract
Epoxy resins have found various industrial applications in high-performance thermosetting resins, high-performance composites, electronic-packaging materials, adhesives, protective coatings, etc., due to their outstanding performance, including high toughness, high-temperature performance, chemical and environmental resistance, versatile processability and adhesive properties. However, cured epoxy resins are very brittle, which limits their applications. In this work, we attempted to enhance the toughness of cured epoxy resins by introducing benzene tetracarboxamide polyamine (BTCP), synthesized from pyromellitic dianhydride (PMDA) and diamines in N-methyl-2-pyrrolidone (NMP) solvent. During this reaction, increased viscosity and formation of amic acid could be confirmed. The chemical reactions were monitored and evidenced using 1H-NMR spectroscopy, FT-IR spectroscopy, water gel-phase chromatography (GPC) analysis, amine value determination and acid value determination. We also studied the effect of additives on thermomechanical properties using differential scanning calorimetry (DSC), thermogravimetric analysis (TGA), dynamical mechanical analysis (DMA), thermomechanical analysis (TMA) and by measuring mechanical properties. The BTCP-containing epoxy resin exhibited high mechanical strength and adhesion strength proportional to the amount of BTCP. Furthermore, field-emission scanning electron microscopy images were obtained for examining the cross-sectional morphology changes of the epoxy resin specimens with varying amounts of BTCP.
1. Introduction
Epoxy resins are widely used as industrial thermosetting plastics in composites, electronics, adhesives and coatings because of their low price, high toughness, high heat resistance, chemical resistance and excellent mechanical properties [1,2,3,4,5,6,7,8,9,10,11,12,13]. The mechanical properties of epoxy polymers depend on the types of epoxy resins, curing agents and the curing conditions. The presence of multiple amine functional groups in amine curing agents leads to a high crosslinking density during reaction with diglycidyl ether to form polymers which, in turn, causes brittleness, resulting in crack propagation upon external impact and low toughness related to low impact strength.
Therefore, the enhancement of toughness and the mechanical and thermal properties of epoxy polymers has been studied by adding soft polymers, such as amine-terminated butadiene-co-acrylonitrile (ATBN), carboxyl-terminated butadiene-co-acrylonitrile (CTBN), epoxidized natural rubber (ENR), hydroxyl-terminated butadiene-co-acrylonitrile (HTBN), polyethersulfone (PES), poly(etherimide) (PEI), poly(acrylonitrile-butadiene-styrene) (ABS), etc. [14,15,16,17,18,19,20,21,22,23]. While terminal reactive groups of both CTBN and ATBN react with epoxy groups to form a polymer matrix, their flexible rubbery parts are distributed over the matrix to form phase-separated microstructures. The rubbery microstructures act as impact absorber, resulting in an improvement in toughness, while slightly reducing the modulus of the polymer. In addition, engineering thermoplastics like PES, PEI or ABS, with high toughness, ductility and thermally-stable properties are used to enhance the toughness of the epoxy matrix. Elastomers are known to increase the toughness of epoxy polymers, while lowering strength, heat stability and the modulus of the matrix [24].
Herein we prepared a new amine hardener polymer called benzene tetracarboxamide polyamine (BTCP), to compensate for the brittleness of epoxy polymers comprising rigid amine hardeners, like dicyandiamide (DICY) and bisphenol A epoxy resin. We added variable amounts of BTCP (0–20 parts per hundred resin (phr)) in the epoxy compositions and measured the effects on mechanical and thermal properties of the epoxy resin. Furthermore, the fractured surface morphology of the thermosetting polymers was observed using field-emission scanning electron microscopy (FE-SEM).
2. Materials and Methods
2.1. Materials
Pyromellitic dianhydride (PMDA) was purchased from TCI (Tokyo, Japan), and N-methyl-2-pyrrolidone (NMP) was obtained from Sigma-Aldrich Co. (St. Louis, MO, USA). Liquid Jeffamine D-400 (amine hydrogen equivalent weight (AHEW) = 115 g/eq) was provided by Huntsman (Houston, TX, USA). Diglycidylether of bisphenol A (DGEBA, EPIKOTE 828, epoxy equivalent weight (EEW) = 187 g/eq) was obtained from Momentive Co. (Waterford, NY, USA). Latent curing agent, dicyandiamide (DICY, DICYANEX 1400F) and a urea-based reaction promoter (Amicure UR 7/10) were purchased from Air Products (Allentown, PA, USA). The structures of the epoxy resin, DICY, and BTCP are shown in Figure 1.
Figure 1.
Chemical structures of the epoxy resin (Bisphenol A), curing agent (DICY) and BTCP.
2.2. Synthesis of Benzene Tetracarboxamide Polyamine (BTCP)
The reaction scheme for the preparation of BTCP is shown in Figure 2. Jeffamine D-400 (39.4 g, 91.7 mmol) was dissolved in NMP (60 mL) and the solution was added to a three-neck flask (500 mL) under N2 gas. PMDA (10.0 g, 45.8 mmol) was slowly added to the flask and stirred for 30 min to prepare amic acid at room temperature. A small amount of amic acid was obtained for acid value measurement using Equation (1). Based on the calculation of acid value, three equivalents of Jeffamine D-400 were added to the flask and stirred for 1 h at 100–130 °C. After the solution was cooled, NMP was removed by vacuum evaporation. The obtained solid was dried for 6 h at 80 °C. The solid BTCP was processed into fine powder using a freezer mill for use as an associative curing agent for epoxy compositions.
Figure 2.
Reaction scheme for the synthesis of BTCP.
2.3. The Preparation of Epoxy Composition and its Curing Process
The detailed formulation ratios of epoxy resin, curing agent and BTCP are shown in Table 1. The epoxy resin was stirred in a 300 mL reactor equipped with a mechanical overhead stirrer for 20 min at 90 °C at 400 rpm. After removal of air bubbles under vacuum, DICY (16.9 g, EEW = 21.0), BTCP (0 to 20 phr) and Amicure (0.31 g) were added and stirred for 20 min to prepare for the epoxy composition.
Table 1.
Formulations of epoxy compositions.
The prepared epoxy composition was placed in a metallic mold and heated at 150 °C for 1 h followed by heating at 170 °C for 1 h and at 190 °C for 1 h for measuring thermal and mechanical properties. The cured epoxy polymer network structure and the BTCP-modified polymer network are shown in Figure 3a,b.
Figure 3.
Schematic illustrations of (a) neat epoxy networks and (b) hydrogen bonds and free volume in BTCP-modified epoxy networks.
2.4. BTCP Characterization
The structure of amic acid was confirmed using 1H-NMR spectroscopy (300 MHz, Bruker Advanced spectrophotometer, Billerica, MA, USA) at room temperature. The sample was dissolved in DMSO-d6 with trimethylsilane (TMS) as the internal standard. Furthermore, FT-IR spectrophotometry (Thermo Nicolet 6700, Thermo Scientific, Waltham, MA, USA) was used to observe the change in functional groups of both reactants and products. Moreover, the acid value of the amic acid was calculated using Equation (1). Acid value is the number of milligrams of KOH required to neutralize the acid in 1 g of sample. The mass of Jeffamine D-400 required to neutralize amic acid is determined by titrating amic acid.
where AV is the acid value (mg KOH/g), is the volume (mL) of titrant c(KOH), is a factor, is the molecular weight of KOH (56.11 g/mol) and is the sample weight (g). The molecular weight of BTCP was measured using gel-phase chromatography (GPC, Agilent, Santa Clara, CA, USA) with water eluent at room temperature, while the melting temperature was confirmed by using the M-565 device (BUCHI, Flawil, Switzerland).
2.5. Analysis of Mechanical and Thermal Properties of the Cured Epoxy Compositions
Thermal information, such as the onset temperature (Tonset), of epoxy compositions was collected using differential scanning calorimetry (DSC, TA instruments Q2000, New Castle, DE, USA) performed in the temperature range of 25–300 °C at a heating rate of 10 °C. The glass transition temperature (Tg) was measured by the second DSC run. Dynamic mechanical analysis (DMA) to measure viscoelastic properties was performed on a Q800 instrument (TA instruments, New Castle, DE, USA). The processed test specimens of dimensions 60 mm 12 mm 3 mm were mounted on the dual cantilever probe. The test was performed in the temperature range of 30–250 °C at a heating rate of 5 °C/min, frequency of 1 Hz, and amplitude of 10 µm to obtain the storage modulus, loss modulus and tan δ. Thermomechanical analysis (TMA, Q500, TA instruments, New Castle, DE, USA) was used to analyze the linear coefficient of thermal expansion (CTE) and the Tg of cured epoxy polymers processed to dimensions of 5 mm × 5 mm × 3 mm. The test specimens were placed on the expansion-type probe followed by an increase in temperature by 2 °C/min from 30 to 250 °C. The effects of different amounts of BTCP in epoxy compositions on the mechanical properties of the epoxy resin were studied by measuring the flexural, tensile and impact strengths. The tensile strength was measured using the ASTM D-638 method by employing a universal testing machine (UTM, model 5982, INSTRON, Norwood, MA, USA). The test specimen was processed to dimensions of 150 mm × 13 mm × 3 mm. The test was repeated five times to obtain an averaged value. The flexural strength was measured using the ASTM D 790M method by employing using UTM with test specimens having dimensions of 60 mm × 25 mm × 3 mm. The test was repeated five times to obtain an averaged value. The impact strength was measured with an Izode pendulum impact tester (JJHBT-6501, JJ-test, Chengde, Hebei, China) by the ASTM D256 method. Test samples were processed to dimensions of 63.5 mm × 12.7 mm × 3 mm with a 2.54 mm notch. Five cured polymers were tested for each epoxy composition to obtain an averaged value.
2.6. Morphology Analysis
The fractured surface of the cured epoxy plastic obtained from the impact test was observed using FE-SEM (MIRA 3, Tescan Co., Brno-Kohoutovice, Czech Republic) after coating with Pt.
3. Results
3.1. Synthesis of BTCP
The reaction products of both amic acid and BTCP were analyzed with 1H-NMR, FT-IR and measurement of the acid value.
Amic acid: 1H-NMR (300 MHz, DMSO-d6) (Figure 4a): δ (ppm) = 10.3–9.4 (2H, s), 8.7–8.1 (2H, s), 8.0–7.5 (2H, m).
Figure 4.
1H-NMR spectra of (a) amic acid and (b) BTCP.
BTCP: 1H-NMR (300 MHz, DMSO-d6) (Figure 4b): δ (ppm) = 8.6–8.0 (4H, m), 7.3–7.6 (H, s), 7.6–8.0 (H, s).
Figure 4a shows the 1H-NMR spectra of amic acid, while Figure 4b shows the 1H-NMR spectra of BTCP. The signal for the carboxylic proton of amic acid (Figure 4a) at 10.3–9.4 ppm is absent in Figure 4b, owing to the formation of amide by the reaction between acid and amine. This reaction is also confirmed by the 1:2 integral ratio of Ha against Hb.
FT-IR was performed before and after the reaction, and the results are shown in Figure 5. The C=O stretching peak of amic acid observed at 1625 cm−1 (Figure 5b) shifted to 1670 cm−1 owing to the formation of the amide group of BTCP (Figure 5c). The antisymmetric stretching peak (COO–) also shifted from 1560 cm−1 for amic acid to 1625 cm−1 for BTCP. In addition, there are NH2 stretching peaks at 3220 cm−1 and 3360 cm−1, as well as an NH2 bending peak at 1590 cm−1 (Figure 5c).
Figure 5.
FT-IR spectra of (a) diamine, (b) amic acid and (c) BTCP.
The reaction from amic acid to BTCP was followed by measurements of the acid value using Equation (1); the acid value decreased dramatically from 0.070 g KOH/g for amic acid to 0.019 g KOH/g for the reaction product to form BTCP.
The molecular weight of the produced BTCP was measured by gel permeation chromatography (GPC), and the obtained data are provided in Table 2. The measured number average molecular weight (Mn) was 463,200 g/mol, and the weight average molecular weight (Mw) was 572,640 g/mol. The measured melting point of BTCP was 190 °C.
Table 2.
Characterization of BTCP.
3.2. Thermal and Mechanical Properties of Epoxy/Prepared Amine Curer Compositions
Thermal data including the onset temperature, Tpeak and Tg obtained from the DSC experiments are presented in Table 3. The onset temperature and Tpeak are proportional with the amount of BTCP, while Tg is inversely proportional to the amount of BTCP. The Tg of neat epoxy observed at 125.81 °C decreased to 108.74 °C when the amount of BTCP in the epoxy composition reached 20 phr. The addition of BTCP led to a slight decrease in Tg, which is attributed to an increase in the amount of dissolved BTCP within the epoxy matrix. This behavior was also observed in other rubber- or elastomer-modified epoxy systems [25,26,27].
Table 3.
DSC data of epoxy/BTCP compositions.
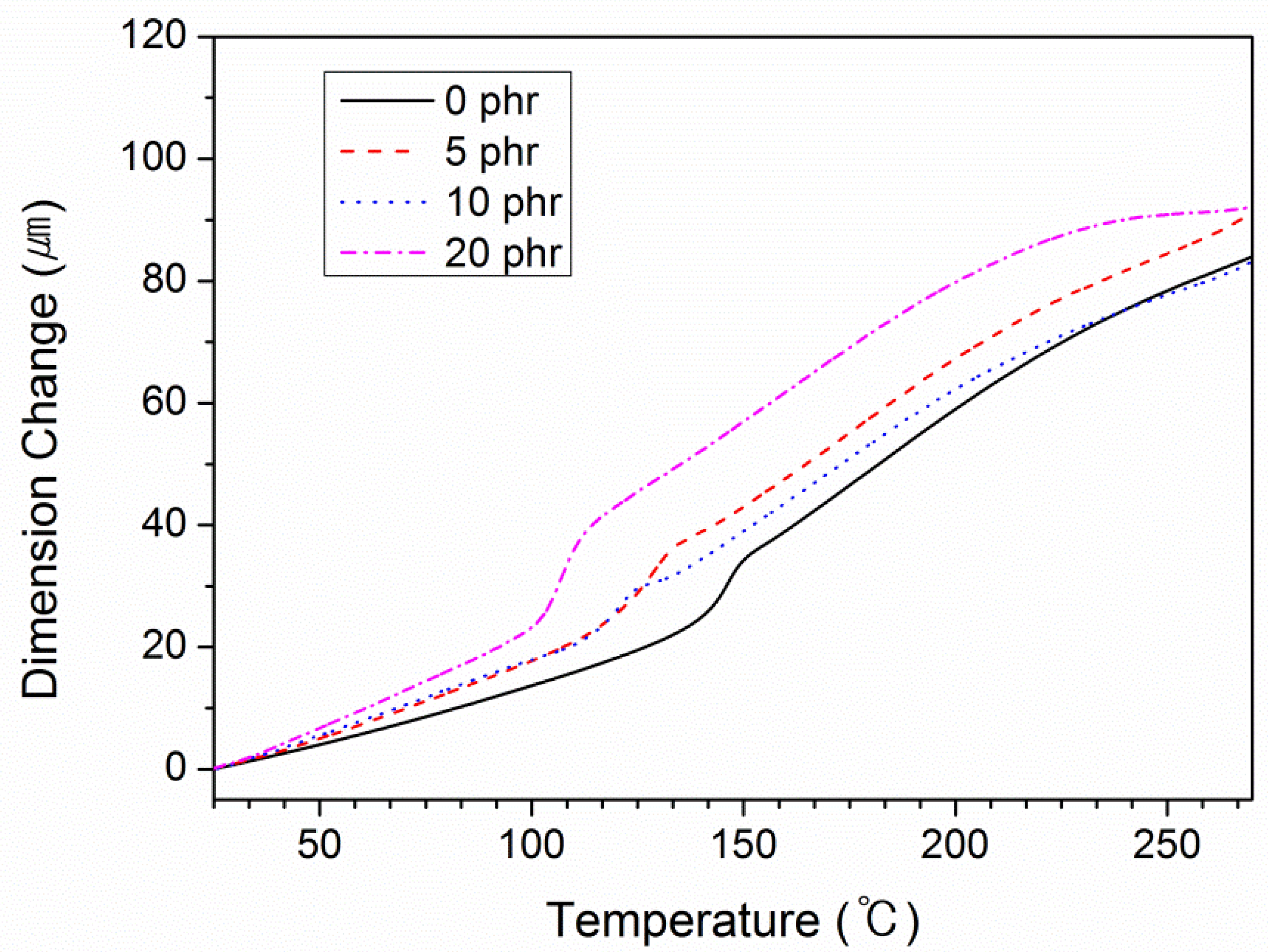
Figure 6 shows the results of the thermomechanical analysis (TMA) of the compositions, the data for which are presented in Table 4. The linear coefficient of thermal expansion (CTE) is obtained around Tg. α1 represents a CTE below Tg and α2 implies a CTE above Tg. The CTE value of α1 tends to increase with the amount of BTCP, whereas the CTE of α2 decreases with increasing amount of BTCP. In general, when the CTE value increases, the internal stress also increases, causing a crack in the polymer matrix, which, in turn, decreases the adhesive strength. Therefore, as other studies have also shown, it is preferable to lower the CTE value [28].
Figure 6.
TMA graphs of epoxy compositions.
Table 4.
TMA data for each epoxy composition with varying amounts of BTCP.
The dynamic mechanical analysis (DMA) data, including the values of tan δ and the storage modulus (E’) of each epoxy composition, are shown in Figure 7 and listed in Table 5. We examined the behavior of the cured polymers over a wide range of temperatures, in low-(25–30 °C), intermediate-(50–100 °C), and high-temperature regions (100–200 °C). In the low-temperature region, all epoxy composites show similar values of the storage modulus (Figure 7a). In general, the storage modulus values (E’) of the epoxy compositions including BTCP were lower than that of the neat epoxy composition system. A sharp decrease in the storage modulus was obtained in all epoxy compositions near Tg. The temperature at which the sharp decrease begins tends to decrease in proportion to the amount of BTCP. The decrease of tan δ follows a similar trend to that shown in Figure 7b. This suggests that the rubbery properties of BTCP lower both the storage modulus (E’) and tan δ of the epoxy compositions. The height of tan δ for the epoxy compositions, including BTCP, is lower than that of the neat epoxy composition, because of the size decrease in the epoxy phase resulting from the increase of the BTCP content, which forms the rubber-rich phase [29].
Figure 7.
DMA graphs of epoxy compositions (a) storage modulus and (b) tan δ.
Table 5.
DMA data of epoxy compositions.
The polymer chains of the epoxy composition with 20 phr of BTCP (sample 4) started to move at a lower temperature, as compared to the neat epoxy resin. As the fluidity of the polymer chain is inversely proportional to the crosslinking density, the fluidity of the polymer chains decreases as the crosslinking density increases [30]. In fact, neat epoxy, with a relatively high crosslinking density, shows a higher Tg than that of sample 4. Therefore, the epoxy compositions with BTCP are predicted to compensate for the brittleness of the epoxy polymer due to the lower crosslinking density.
The mechanical properties of the cured epoxy compositions were analyzed by measuring their tensile strength, flexural strength, and Izod impact strength. Figure 8a,b show the results of the tensile strength tests. The tensile strength (Figure 8a) of each epoxy composition increases, from 74.40 MPa for neat epoxy to 76.96 MPa for sample 4, with increasing amounts of BTCP. This slight improvement in the tensile strength can be explained by the improved hydrogen bonding in the polymer (Figure 3b) after curing the epoxy polymer [31]. Additionally, the primary amines of BTCP react with the glycidyl ether of the epoxy resin to participate in the epoxy polymer network. The cured epoxy compositions with BTCP exhibit a more flexible and elastic behavior during loading than the neat epoxy composition. The elongation of the cured epoxy compositions with 20 phr of BTCP shows an increase of 26.5% from 3.7% to 4.68%. (Figure 8b). Typically, the addition of rubbery tougheners to the polymer matrix decreases the tensile strength. Akbari et al. [32] and Saleh et al. [13] mentioned a decrease in the tensile strength of CTBN-modified epoxy resin. Moreover, Thomas et al. [33] reported a decrease in the tensile strength of epoxy resin modified with hydroxyl-terminated polybutadiene (HTPB) liquid rubber. Notably, one benefit of the BTCP used here is that it does not seriously deteriorate the physical performance of the epoxy polymers. Flexural strength data in Figure 9 show that the addition of flexural BTCP does not result in a loss of flexural strength, as compared to that in a neat epoxy composition, unlike other toughening agents, which decrease the flexural strength [13,33].
Figure 8.
Universal tensile testing: (a) tensile strength and (b) elongation at break of cured epoxy compositions.
Figure 9.
Flexural strength of cured epoxy samples.
Figure 10 shows the Izod impact strength of the notched epoxy composition test specimen as a function of the BTCP content. The impact strength of epoxy compositions with BTCP is significantly greater than that of the neat epoxy composition. The impact strength of the neat epoxy composition increased by approximately 48% by adding 20 phr of BTCP, from 34.28 J/m to 50.84 J/m (Figure 10). The increment in the Izod impact strength of the epoxy composition can be attributed to the strong interaction, as well as good compatibility, between the epoxy matrix and BTCP. This suggests that BTCP is useful to toughen polymers for enhancing the impact resistance, while maintaining other physical properties.
Figure 10.
Impact strength of cured epoxy samples.
3.3. FE-SEM Analysis
Figure 11 shows the FE-SEM images of the test specimen obtained after measuring the impact strength. The fracture morphology of the cured neat epoxy resin composition (Figure 10a) looks smooth, and shows a slight wavy pattern caused by the brittleness of epoxy resin. As the content of BTCP increases from 5 phr to 20 phr, the area torn out from the fracture surface increases, which is an indication of enhanced toughness. The increase in roughness is caused by the distortion of intramolecular cavities (free space) when the specimen undergoes the impact strength test. For 20% of BTCP added to the composition, the fractured surface is the roughest, and the impact strength is 48.3% higher than that of the cured neat epoxy. In addition, all samples exhibit homogeneous morphology without the presence of a second phase.
Figure 11.
FE-SEM images of the fractured surface after impact testing with different BTCP contents: (a) 0 phr, (b) 5 phr, (c) 10 phr and (d) 20 phr.
4. Conclusions
The structure of BTCP was determined by GPC, FT-IR, 1H-NMR and acid value measurements. The tensile strength of the epoxy compositions increased with increasing amounts of BTCP, from 74.4 MPa for neat epoxy to 76.96 MPa for the composition with 20 phr BTCP.
Although most toughening agents with rubbery parts reduce the flexural strength, BTCP in varying contents in the compositions did not deteriorate the flexural strength. Moreover, the impact strength of the compositions increased by 48.3% with the amount of BTCP, from 34.28 J/m for neat epoxy to 50.84 J/m for sample 4. In addition, FE-SEM images showed that the fracture surface in the modified system had a rough and irregular appearance. The degree of roughness also increased with the amount of additive BTCP. Therefore, based on the results of the impact strength and FE-SEM experiments, BTCP is promising as an epoxy toughener.
Author Contributions
Conceptualization, S.Y. and C.-S.L.; Methodology, C.-S.L.; Software, S.Y.; Validation, S.Y., C.-S.L. and B.S.; Formal Analysis, S.Y.; Investigation, S.Y.; Resources, S.Y.; Data Curation, S.Y.; Writing-Original Draft Preparation, S.Y.; Writing-Review & Editing, C.-S.L.; Visualization, C.-S.L., W.L. and B.S.; Supervision, C.-S.L.; Project Administration, B.S.; Funding Acquisition, B.S.
Acknowledgments
This research has been performed as project No SI1809-01 (Development of specialty chemicals for automobile industry) and supported by the Korea Research Institute of Chemical Technology (KRICT).
Conflicts of Interest
The authors declare no conflict of interest.
References
- Chen, C.; Curliss, D. Preparation, characterization, and nanostructural evolution of epoxy nanocomposites. J. Appl. Polym. Sci. 2003, 90, 2276–2287. [Google Scholar] [CrossRef]
- Zhou, C.; Lu, X.; Xin, Z.; Liu, J.; Zhang, Y. Hydrophobic benzoxaine-cured epoxy coatings for corrosion protection. Prog. Org. Coat. 2013, 76, 1178–1183. [Google Scholar] [CrossRef]
- Liu, J.; Tang, J.; Wang, X.; Wu, D. Synthesis, characterization and curing properties of a novel cyclolinear phosphazene-based epoxy resin for halogen-free flame retardancy and high performance. RSC Adv. 2012, 2, 5789–5799. [Google Scholar] [CrossRef]
- Chen, Y.; Zhou, C.; Chang, J.; Zou, H.; Liang, M. Effect of epoxy-silicone copolymer content on the thermal and mechanical properties of cured epoxy resin modified with siloxane. RSC Adv. 2014, 4, 60685–60693. [Google Scholar] [CrossRef]
- Kasemura, T.; Oshibe, Y.; Uozumi, H.; Kawai, S.; Yamada, Y.; Ohmura, H.; Yamamoto, T. Surface modification of epoxy resin with fluorine-containing methacrylic ester copolymers. J. Appl. Polym. Sci. 1993, 47, 2207–2216. [Google Scholar] [CrossRef]
- Li, S.; Wu, Q.; Zhu, H.; Lin, Q.; Wang, C. Impact resistance enhancement by adding core-shell particle to epoxy resin modified with hyperbranched polymer. Polymers 2017, 9, 684. [Google Scholar] [CrossRef]
- Yan, Z.; Liu, W.; Wang, H.; Su, K.; Xia-Hou, G. Synthesis and characterization of novel fluorinated siloxane star-like copolymer with short perfluoroalkyl chain and used for modification the epoxy resin. J. Fluorine Chem. 2014, 157, 63–72. [Google Scholar] [CrossRef]
- Thomas, R.; Boudenne, A.; Candau, Y.; Thomas, S. Thermophysical properties of CTBN and HTPB liquid rubber modified epoxy blend. J. Appl. Polym. Sci. 2010, 116, 3232–3241. [Google Scholar] [CrossRef]
- Kaynak, C.; Arikan, A.; Tincer, T. Flexibility improvement of short glass fiber reinforced epoxy by using a liquid elastomer. Polymer 2003, 44, 2433–2439. [Google Scholar] [CrossRef]
- Tripathi, G.; Srivastava, D. Cure kinetics of ternary blends of epoxy resins studied by nonisothermal DSC data. J. Appl. Polym. Sci. 2009, 112, 3119–3126. [Google Scholar] [CrossRef]
- Ramas, V.D.; Costa, H.M.; Soares, V.L.P.; Nascimento, R.S.V. Modification of epoxy resin: A comparison of different types of elastomer. Polym. Test. 2005, 24, 387–394. [Google Scholar] [CrossRef]
- Rajasekaran, R.; Alagar, M. Mechanical properties of polyethersulfone modified epoxy/3,3’-bis(maleimidophenyl) phenylphosphine oxide (BMI) intercrosslinked matrices. Bull. Mater. Sci. 2008, 31, 853–858. [Google Scholar] [CrossRef]
- Saleh, A.B.B.; Ishak, Z.A.M.; Hashim, A.S.; Kamil, W.A. Compatibility, mechanical, thermal and morphological properties of epoxy resin modified with carbonyl-terminated butadiene acrylonitrile copolymer liquid rubber. J. Phys. Sci. 2009, 20, 1–12. [Google Scholar]
- Konnola, R.; Joiji, J.; Parameswaranpillai, J.; Joseph, K. Structure and thermo-mechanical properties of CTBN-grafted-GO modified epoxy/DDS composites. RSC Adv. 2015, 5, 61775–61786. [Google Scholar] [CrossRef]
- Tripathi, G.; Srivastava, D. Effect of carboxyl-terminated poly(butadiene-co-acrylonitrile)(CTBN) concentration on thermal and mechanical properties of binary blends of diglycidyl ether of bisphenol-A (DGEBA) epoxy resin. Mater. Sci. Eng. 2007, 443, 262–269. [Google Scholar] [CrossRef]
- Mathew, V.S.; George, S.C.; Parameswaranpillai, J.; Thomas, S. Epoxidized natural rubber/epoxy blends: Phase morphology and thermomechanical properties. J. Appl. Polym. Sci. 2014, 131, 039906. [Google Scholar] [CrossRef]
- Mathew, V.S.; Jyotishkumar, P.; George, S.C.; Gopalakrishnan, P.; Delbreilh, L.; Saiter, J.M.; Saiter, P.J.; Thomas, S. High performance HTLNR/epoxy blend-Phase morphology and thermo-mechanical properties. J. Appl. Polym. Sci. 2012, 215, 804–811. [Google Scholar] [CrossRef]
- Chikhi, N.; Fellahi, S.; Baka, M. Modification of epoxy resin using reactive liquid (ATBN) rubber. Eur. Polym. J. 2002, 38, 251–264. [Google Scholar] [CrossRef]
- Jyotishkumar, P.; Pionteck, J.; Hassler, R.; George, S.M.; Cvelbar, U.; Thomas, S. Studies on stress relaxation and thermomechanical properties of Poly(acrylonitrile-butadiene-styrene) modified epoxy-amine systems. Ind. Eng. Chem. Res. 2011, 50, 4432–4440. [Google Scholar]
- Bucknall, C.B.; Patridge, I.K. Phase separation in epoxy resins containing polyethersulphone. Polymer 1983, 24, 639–644. [Google Scholar] [CrossRef]
- Bucknall, C.B.; Partridge, I.K. Addition of polyethersulphone to epoxy resins. Br. Polym. J. 1983, 15, 71–75. [Google Scholar] [CrossRef]
- Raghava, R.S. Role of matrix-particle interface adhesion on fracture toughness of dual phase epoxy-polyethersulfone blend. J. Polym. Sci. Pol. Phys. 1987, 25, 1017–1031. [Google Scholar] [CrossRef]
- Bucknall, C.B.; Gilbert, A.H. Toughening tetrafunctional epoxy resins using polyetherimide. Polymer 1989, 30, 213–217. [Google Scholar] [CrossRef]
- Sunny, A.T.; Vijayan, P.P.; Adhikari, R.; Mathew, S.; Thomas, S. Copper oxide nanoparticle in an epoxy network: Microstructure, chain confinement and mechanical behavior. Phys. Chem. Chem. Phys. 2016, 18, 19655–19667. [Google Scholar] [CrossRef] [PubMed]
- Reghunadhan, A.; Datta, J.; Kalarikkal, N.; Thomas, S. Development of nanoscale morphology and role of viscoelastic phase separation on the properties of epoxy/recycled polyurethane blends. Polymer 2017, 117, 96–106. [Google Scholar] [CrossRef]
- Ratna, D.; Banthia, A.K.; Deb, P.C. Acrylate-based liquid rubber as impact modifier for epoxy resin. J. Appl. Polym. Sci. 2001, 80, 1792–1801. [Google Scholar] [CrossRef]
- Thomas, R.; Abraham, J.; Thomas, P.; Thomas, S.P. Influence of carboxyl-terminated (butadiene-co-acrylonitrile) loading on the mechanical and thermal properties of cured epoxy blends. J. Polym. Sci. Pol. Phys. 2004, 42, 2531–2544. [Google Scholar] [CrossRef]
- Park, S.J.; Kim, H.C. Thermal stability and toughening of epoxy resin with polysulfone resin. J. Polym. Sci. Pol. Phys. 2001, 39, 121–128. [Google Scholar] [CrossRef]
- Pillai, J.P.; Pionteck, J.; Häβler, R.; Sinturel, C.; Mathew, V.S.; Thomas, S. Effect of cure conditions on the generated morphology and viscoelastic properties of a poly(acrylonitrile-butadiene-styrene) modified epoxy-amine system. Ind. Eng. Chem. Res. 2012, 51, 2586–2595. [Google Scholar] [CrossRef]
- Kojio, K.; Furukawa, M.; Matsumura, S.; Motokucho, S.; Osajima, T.; Yoshinaga, K. The effect of cross-linking density and dangling chains on surface molecular mobility of network polyurethanes. Polym. Chem. 2012, 3, 2287–2292. [Google Scholar] [CrossRef]
- Elrehim, M.A.; Voit, B.; Bruchmann, B.; Eichhorn, K.J.; Grundke, K.; Bellmann, C. Structural and end-group effects on bulk and surface properties of hyperbranched poly(urea urethane)s. J. Polym. Sci. Pol. Chem. 2005, 43, 3376–3392. [Google Scholar] [CrossRef]
- Akbari, R.; Beheshty, M.H.; Shervin, M. Toughening of dicyandiamide-cured DGEBA-based epoxy resins by CTBN liquid rubber. Iran. Polym. J. 2013, 22, 313–324. [Google Scholar] [CrossRef]
- Thomas, R.; Yumei, D.; Yuelong, H.; Le, Y.; Moldenaers, P.; Weimin, Y.; Czigany, T.; Thomas, S. Miscibility, morphology, thermal and mechanical properties of a DGEBA based epoxy resin toughened with a liquid rubber. Polymer 2008, 49, 278–794. [Google Scholar] [CrossRef]
© 2018 by the authors. Licensee MDPI, Basel, Switzerland. This article is an open access article distributed under the terms and conditions of the Creative Commons Attribution (CC BY) license (http://creativecommons.org/licenses/by/4.0/).










