High-Performance Hydrogel Adsorbent Based on Cellulose, Hemicellulose, and Lignin for Copper(II) Ion Removal
Abstract
1. Introduction
2. Materials and Methods
2.1. Materials and Chemicals
2.2. Synthesis and Characterizations
2.2.1. Preparation of Straw-Biopolymer-Based Hydrogel by a One-Pot Method
2.2.2. Characterization of Straw-Biopolymer-Based Hydrogel
2.2.3. Swelling Test
2.3. Adsorption Test
2.3.1. Determination of Copper(II) Ion Concentration
2.3.2. Batch Adsorption Experiment
2.3.3. Desorption Experiment
3. Results
3.1. Preparation of Straw-Biopolymer-Based Hydrogel by a One-Pot Method
3.2. FT-IR Spectrum of the Prepared Biopolymer Hydrogel
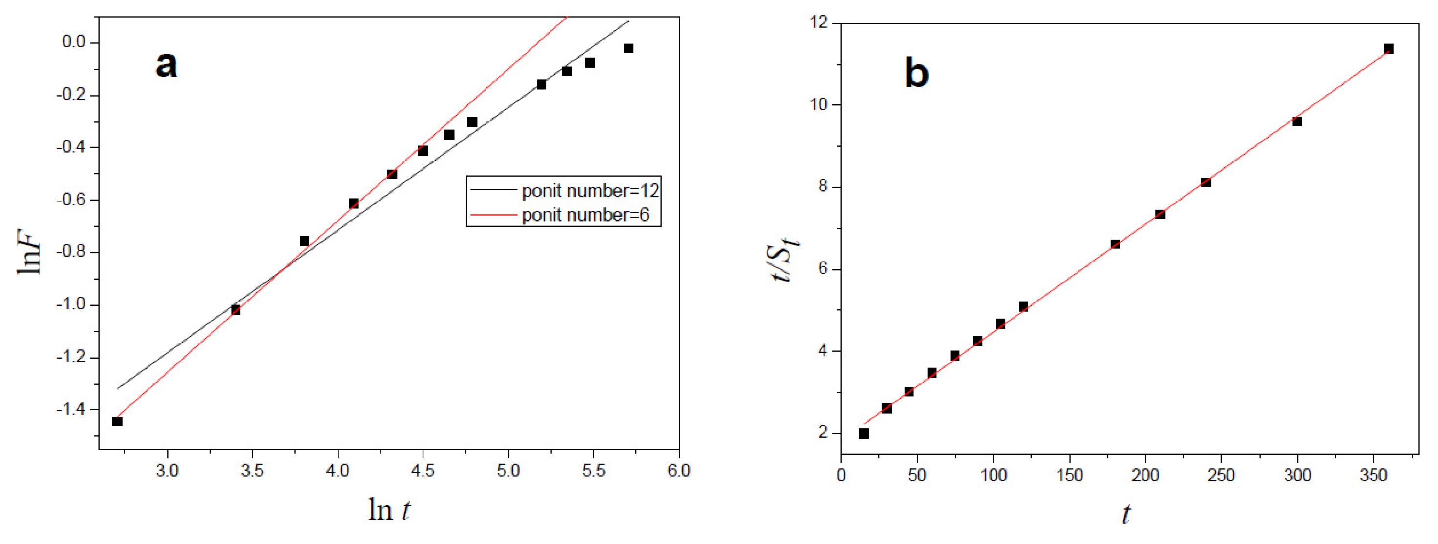
3.3. Analysis of Swelling Kinetics
3.4. Effect of Contact Time on Adsorption Behavior of the Hydrogel
3.5. Effect of Initial Concentration and Adsorption Isotherm
3.6. Adsorption Thermodynamics
3.7. Desorption and Reusability
4. Discussion on Adsorption Mechanism
5. Conclusions
Author Contributions
Funding
Institutional Review Board Statement
Informed Consent Statement
Data Availability Statement
Conflicts of Interest
References
- Cheng, C.; Wang, G.; Zhou, B.; Meng, J.; Li, J.; Cao, J.; Xiao, S. Comparison of dicarboxylic acids and related compounds in aerosol samples collected in Xi’an, China during haze and clean periods. Atmos. Environ. 2013, 81, 443–449. [Google Scholar] [CrossRef]
- Cao, G.; Zhang, X.; Wang, Y.; Zheng, F. Estimation of emissions from field burning of crop straw in China. Chin. Sci. Bull. 2008, 53, 784–790. [Google Scholar] [CrossRef]
- Wang, G.; Chen, C.; Li, J.; Zhou, B.; Xie, M.; Hu, S.; Kawamura, K.; Chen, Y. Molecular composition and size distribution of sugars, sugar-alcohols and carboxylic acids in airborne particles during a severe urban haze event caused by wheat straw burning. Atmos. Environ. 2011, 45, 2473–2479. [Google Scholar] [CrossRef]
- Sun, X.-F.; Sun, R.C.; Fowler, P.; Baird, M.S. Extraction and characterization of original lignin and hemicelluloses from wheat straw. J. Agric. Food. Chem. 2005, 53, 860–870. [Google Scholar] [CrossRef] [PubMed]
- Peñaranda-Avila, J.E.; Sabino, M.A. Effect of the presence of lignin or peat in IPN hydrogels on the sorption of heavy metals. Polym. Bull. 2010, 65, 495–508. [Google Scholar] [CrossRef]
- Sun, X.-F.; Wang, H.; Jing, Z.; Mohanathas, R. Hemicellulose-based pH-sensitive and biodegradable hydrogel for controlled drug delivery. Carbohydr. Polym. 2013, 92, 1357–1366. [Google Scholar] [PubMed]
- Sun, X.-F.; Zeng, Q.; Wang, H.; Hao, Y. Preparation and swelling behavior of pH/temperature responsive semi-IPN hydrogel based on carboxymethyl xylan and poly(N-isopropyl acrylamide). Cellulose 2019, 26, 1909–1922. [Google Scholar] [CrossRef]
- Al-Rudainy, B.; Galbe, M.; Arcos Hernandez, M.; Jannasch, P.; Wallberg, O. Impact of lignin content on the properties of hemicellulose hydrogels. Polymers 2019, 11, 35. [Google Scholar]
- Liang, S.; Wu, J.; Tian, H.; Zhang, L.; Xu, J. High-strength cellulose/poly(ethylene glycol) gels. ChemSusChem 2008, 1, 558–563. [Google Scholar] [CrossRef]
- Song, X.; Chen, F.; Liu, S. A lignin-containing hemicellulose-based hydrogel and its adsorption behavior. BioResources 2016, 11, 6378–6392. [Google Scholar] [CrossRef][Green Version]
- Saber-Samandari, S.; Saber-Samandari, S.; Gazi, M. Cellulose-graft-polyacrylamide/hydroxyapatite composite hydrogel with possible application in removal of Cu (II) ions. React. Funct. Polym. 2013, 73, 1523–1530. [Google Scholar] [CrossRef]
- Shen, X.; Xie, Y.; Wang, Q.; Yi, X.; Shamshina, J.L.; Rogers, R.D. Enhanced heavy metal adsorption ability of lignocellulosic hydrogel adsorbents by the structural support effect of lignin. Cellulose 2019, 26, 4005–4019. [Google Scholar] [CrossRef]
- Ren, J.; Dai, Q.; Zhong, H.; Liu, X.; Meng, L.; Wang, X.; Xin, F. Quaternized xylan/cellulose nanocrystal reinforced magnetic hydrogels with high strength. Cellulose 2018, 25, 4537–4549. [Google Scholar] [CrossRef]
- Zhang, L.; Lu, H.; Yu, J.; Fan, Y.; Yang, Y.; Ma, J.; Wang, Z. Synthesis of lignocellulose-based composite hydrogel as a novel biosorbent for Cu2+ removal. Cellulose 2018, 25, 7315–7328. [Google Scholar] [CrossRef]
- Yang, M.-J.; Chen, C.-H.; Lin, P.-J.; Huang, C.-H.; Chen, W.; Sung, H.-W. Novel method of forming human embryoid bodies in a polystyrene dish surface-coated with a temperature-responsive methylcellulose hydrogel. Biomacromolecules 2007, 8, 2746–2752. [Google Scholar] [CrossRef]
- Eyholzer, C.; Borges de Couraça, A.; Duc, F.; Bourban, P.E.; Tingaut, P.; Zimmermann, T.; Månson, J.A.E.; Oksman, K. Biocomposite hydrogels with carboxymethylated, nanofibrillated cellulose powder for replacement of the nucleus pulposus. Biomacromolecules 2011, 12, 1419–1427. [Google Scholar] [CrossRef]
- Sun, X.-F.; Hao, Y.; Cao, Y.; Zeng, Q. Superadsorbent hydrogel based on lignin and montmorillonite for Cu(II) ions removal from aqueous solution. Int. J. Biol. Macromol. 2019, 127, 511–519. [Google Scholar] [CrossRef]
- Ma, J.; Qin, G.; Zhang, Y.; Sun, J.; Wang, S.; Jiang, L. Heavy metal removal from aqueous solutions by calcium silicate powder from waste coal fly-ash. J. Clean. Prod. 2018, 182, 776–782. [Google Scholar] [CrossRef]
- Zhang, J.; Xu, Y.; Wu, Y.; Hu, S.; Zhang, Y. Dynamic characteristics of heavy metal accumulation in the farmland soil over Xiaoqinling gold-mining region, Shaanxi, China. Environ. Earth Sci. 2019, 78, 25. [Google Scholar] [CrossRef]
- Laus, R.; de Fávere, V.T. Competitive adsorption of Cu(II) and Cd(II) ions by chitosan crosslinked with epichlorohydrin–triphosphate. Bioresour. Technol. 2011, 102, 8769–8776. [Google Scholar] [CrossRef]
- Fu, W.; Huang, Z. Magnetic dithiocarbamate functionalized reduced graphene oxide for the removal of Cu(II), Cd(II), Pb(II), and Hg(II) ions from aqueous solution: Synthesis, adsorption, and regeneration. Chemosphere 2018, 209, 449–456. [Google Scholar] [CrossRef] [PubMed]
- Ozay, O.; Ekici, S.; Baran, Y.; Aktas, N.; Sahiner, N. Removal of toxic metal ions with magnetic hydrogels. Water Res. 2009, 43, 4403–4411. [Google Scholar] [CrossRef]
- Farooq, U.; Kozinski, J.A.; Khan, M.A.; Athar, M. Biosorption of heavy metal ions using wheat based biosorbents—A review of the recent literature. Bioresour. Technol. 2010, 101, 5043–5053. [Google Scholar] [CrossRef]
- Petersková, M.; Valderrama, C.; Gibert, O.; Cortina, J.L. Extraction of valuable metal ions (Cs, Rb, Li, U) from reverse osmosis concentrate using selective sorbents. Desalination 2012, 286, 316–323. [Google Scholar] [CrossRef]
- Verma, V.K.; Tewari, S.; Rai, J.P.N. Ion exchange during heavy metal bio-sorption from aqueous solution by dried biomass of macrophytes. Bioresour. Technol. 2008, 99, 1932–1938. [Google Scholar] [CrossRef] [PubMed]
- Kong, A.; Ji, Y.; Ma, H.; Song, Y.; He, B.; Li, J. A novel route for the removal of Cu(II) and Ni(II) ions via homogeneous adsorption by chitosan solution. J. Clean. Prod. 2018, 192, 801–808. [Google Scholar] [CrossRef]
- Liu, S.; Li, Z.; Diao, K.; Huang, W.; Wang, J.; Deng, W.; Lei, F.; Goodman, B.A. Direct identification of Cu(II) species adsorbed on rosin-derived resins using electron paramagnetic resonance (EPR) spectroscopy. Chemosphere 2018, 210, 789–794. [Google Scholar] [CrossRef]
- Sun, X.; Sun, R.; Tomkinson, J.; Baird, M. Isolation and characterization of lignins, hemicelluloses, and celluloses from wheat straw by alkaline peroxide treatment. Cellul. Chem. Technol. 2003, 37, 283–304. [Google Scholar]
- Li, H.; Xiao, D.-L.; He, H.; Lin, R.; Zuo, P.-L. Adsorption behavior and adsorption mechanism of Cu(II) ions on amino-functionalized magnetic nanoparticles. Trans. Nonferrous Met. Soc. 2013, 23, 2657–2665. [Google Scholar] [CrossRef]
- Essawy, H.A.; Mohamed, M.F.; Ammar, N.S.; Ibrahim, H.S. Potassium fulvate-functionalized graft copolymer of polyacrylic acid from cellulose as a promising selective chelating sorbent. RSC Adv. 2017, 7, 20178–20185. [Google Scholar] [CrossRef]
- Bjelopavlic, M.; Newcombe, G.; Hayes, R. Adsorption of NOM onto activated carbon: Effect of surface charge, ionic strength, and pore volume distribution. J. Colloid Interface Sci. 1999, 210, 271–280. [Google Scholar] [CrossRef] [PubMed]
- Tu, H.; Qu, Y.; Hu, X.; Yin, Y.; Zheng, H.; Xu, P.; Xiong, F. Study of the sigmoidal swelling kinetics of carboxymethylchitosan-g-poly(acrylic acid) hydrogels intended for colon-specific drug delivery. Carbohydr. Polym. 2010, 82, 440–445. [Google Scholar] [CrossRef]
- Nizam El-Din, H.M.; Abd Alla, S.G.; El-Naggar, A.W.M. Swelling and drug release properties of acrylamide/carboxymethyl cellulose networks formed by gamma irradiation. Radiat. Phys. Chem. 2010, 79, 725–730. [Google Scholar] [CrossRef]
- Huang, Y.; Zhang, B.; Xu, G.; Hao, W. Swelling behaviours and mechanical properties of silk fibroin–polyurethane composite hydrogels. Compos. Sci. Technol. 2013, 84, 15–22. [Google Scholar] [CrossRef]
- Ho, Y.S.; Wase, D.A.J.; Forster, C.F. Kinetic studies of competitive heavy metal adsorption by sphagnum moss peat. Environ. Technol. 1996, 17, 71–77. [Google Scholar] [CrossRef]
- Panic, V.V.; Velickovic, S.J. Removal of model cationic dye by adsorption onto poly(methacrylic acid)/zeolite hydrogel composites: Kinetics, equilibrium study and image analysis. Sep. Purif. Technol. 2014, 122, 384–394. [Google Scholar] [CrossRef]
- Herbert, F. Über die adsorption in lösungen. Z. Phys. Chem. 1907, 57, 385–470. [Google Scholar]
- Langmuir, I. The Adsorption of gases on plane surfaces of galss, mica and platinum. J. Am. Chem. Soc. 1918, 40, 1361–1403. [Google Scholar] [CrossRef]
- Tempkin, M.; Pyzhev, V. Kinetics of ammonia synthesis on promoted iron catalyst. Acta Phys. Chim. USSR 1940, 12, 327. [Google Scholar]
- Staroń, P.; Chwastowski, J.; Banach, M. Sorption behavior of methylene blue from aqueous solution by raphia fibers. Int. J. Environ. Sci. Technol. 2019, 16, 8449–8460. [Google Scholar] [CrossRef]
- Wang, S.-G.; Sun, X.-F.; Liu, X.-W.; Gong, W.-X.; Gao, B.-Y.; Bao, N. Chitosan hydrogel beads for fulvic acid adsorption: Behaviors and mechanisms. Chem. Eng. J. 2008, 142, 239–247. [Google Scholar] [CrossRef]
- Dang, V.B.H.; Doan, H.D.; Dang-Vu, T.; Lohi, A. Equilibrium and kinetics of biosorption of cadmium(II) and copper(II) ions by wheat straw. Bioresour. Technol. 2009, 100, 211–219. [Google Scholar] [CrossRef]
- Okieimen, F.E.; Sogbaike, C.E.; Ebhoaye, J.E. Removal of cadmium and copper ions from aqueous solution with cellulose graft copolymers. Sep. Purif. Technol. 2005, 44, 85–89. [Google Scholar] [CrossRef]
- Hu, L.-Q.; Dai, L.; Liu, R.; Si, C.-L. Lignin-graft-poly(acrylic acid) for enhancement of heavy metal ion biosorption. J. Mater. Sci. 2017, 52, 13689–13699. [Google Scholar] [CrossRef]
- Bell, J.P.; Tsezos, M. Removal of hazardous organic pollutants by biomass adsorption. Water Sci. Technol. 1987, 19, 191–198. [Google Scholar] [CrossRef]
- Sun, X.-F.; Liu, B.; Jing, Z.; Wang, H. Preparation and adsorption property of xylan/poly(acrylic acid) magnetic nanocomposite hydrogel adsorbent. Carbohydr. Polym. 2015, 118, 16–23. [Google Scholar] [CrossRef]
- Wang, J.; Wei, L.; Ma, Y.; Li, K.; Li, M.; Yu, Y.; Wang, L.; Qiu, H. Collagen/cellulose hydrogel beads reconstituted from ionic liquid solution for Cu(II) adsorption. Carbohydr. Polym. 2013, 98, 736–743. [Google Scholar] [CrossRef] [PubMed]
- Sun, S.; Wang, L.; Wang, A. Adsorption properties of crosslinked carboxymethyl-chitosan resin with Pb(II) as template ions. J. Hazard. Mater. 2006, 136, 930–937. [Google Scholar] [CrossRef]










| Pseudo-First-Order | Pseudo-Second-Order | Intraparticle Diffusion | Elovich Equation | ||||||||
|---|---|---|---|---|---|---|---|---|---|---|---|
| qe | k1 | R2 | qe | k2 | R2 | Kp | C | R2 | a | b | R2 |
| 1.0286 | 0.2926 | 0.9711 | 1.2444 | 0.2846 | 0.9978 | 0.3269 | 0.0115 | 0.9660 | 1.0940 | 3.8939 | 0.9910 |
| T | Langmuir | Freundlich | Temkin | ||||||
|---|---|---|---|---|---|---|---|---|---|
| KL | qmax | R2 | KF | n | R2 | A | B | R2 | |
| 303 K | 0.0341 | 1.141 | 0.9863 | 0.2618 | 4.098 | 0.9938 | 0.1141 | 0.1583 | 0.9447 |
| 313 K | 0.0411 | 1.320 | 0.9790 | 0.2743 | 3.842 | 0.9913 | 0.0839 | 0.1889 | 0.9256 |
| 323 K | 0.0617 | 1.421 | 0.9931 | 0.4256 | 4.775 | 0.9949 | 0.3867 | 0.1656 | 0.9550 |
| qe (mmol/g) | ΔH (kJ/mol) | ΔS (kJ/(mol·K)) | ||
|---|---|---|---|---|
| 303 K | 313 K | 323 K | ||
| 0.8 | 54.12 | 0.2127 | 0.2048 | 0.2072 |
| 0.9 | 56.79 | 0.2215 | 0.2134 | 0.2155 |
| 1.0 | 50.83 | 0.2018 | 0.1943 | 0.1971 |
Publisher’s Note: MDPI stays neutral with regard to jurisdictional claims in published maps and institutional affiliations. |
© 2021 by the authors. Licensee MDPI, Basel, Switzerland. This article is an open access article distributed under the terms and conditions of the Creative Commons Attribution (CC BY) license (https://creativecommons.org/licenses/by/4.0/).
Share and Cite
Shan, S.; Sun, X.-F.; Xie, Y.; Li, W.; Ji, T. High-Performance Hydrogel Adsorbent Based on Cellulose, Hemicellulose, and Lignin for Copper(II) Ion Removal. Polymers 2021, 13, 3063. https://doi.org/10.3390/polym13183063
Shan S, Sun X-F, Xie Y, Li W, Ji T. High-Performance Hydrogel Adsorbent Based on Cellulose, Hemicellulose, and Lignin for Copper(II) Ion Removal. Polymers. 2021; 13(18):3063. https://doi.org/10.3390/polym13183063
Chicago/Turabian StyleShan, Shuang, Xiao-Feng Sun, Yangyang Xie, Wenbo Li, and Tiezheng Ji. 2021. "High-Performance Hydrogel Adsorbent Based on Cellulose, Hemicellulose, and Lignin for Copper(II) Ion Removal" Polymers 13, no. 18: 3063. https://doi.org/10.3390/polym13183063
APA StyleShan, S., Sun, X.-F., Xie, Y., Li, W., & Ji, T. (2021). High-Performance Hydrogel Adsorbent Based on Cellulose, Hemicellulose, and Lignin for Copper(II) Ion Removal. Polymers, 13(18), 3063. https://doi.org/10.3390/polym13183063

