Evaluating the Multifunctional Performance of Structural Composites for Thermal Energy Storage
Abstract
:1. Introduction
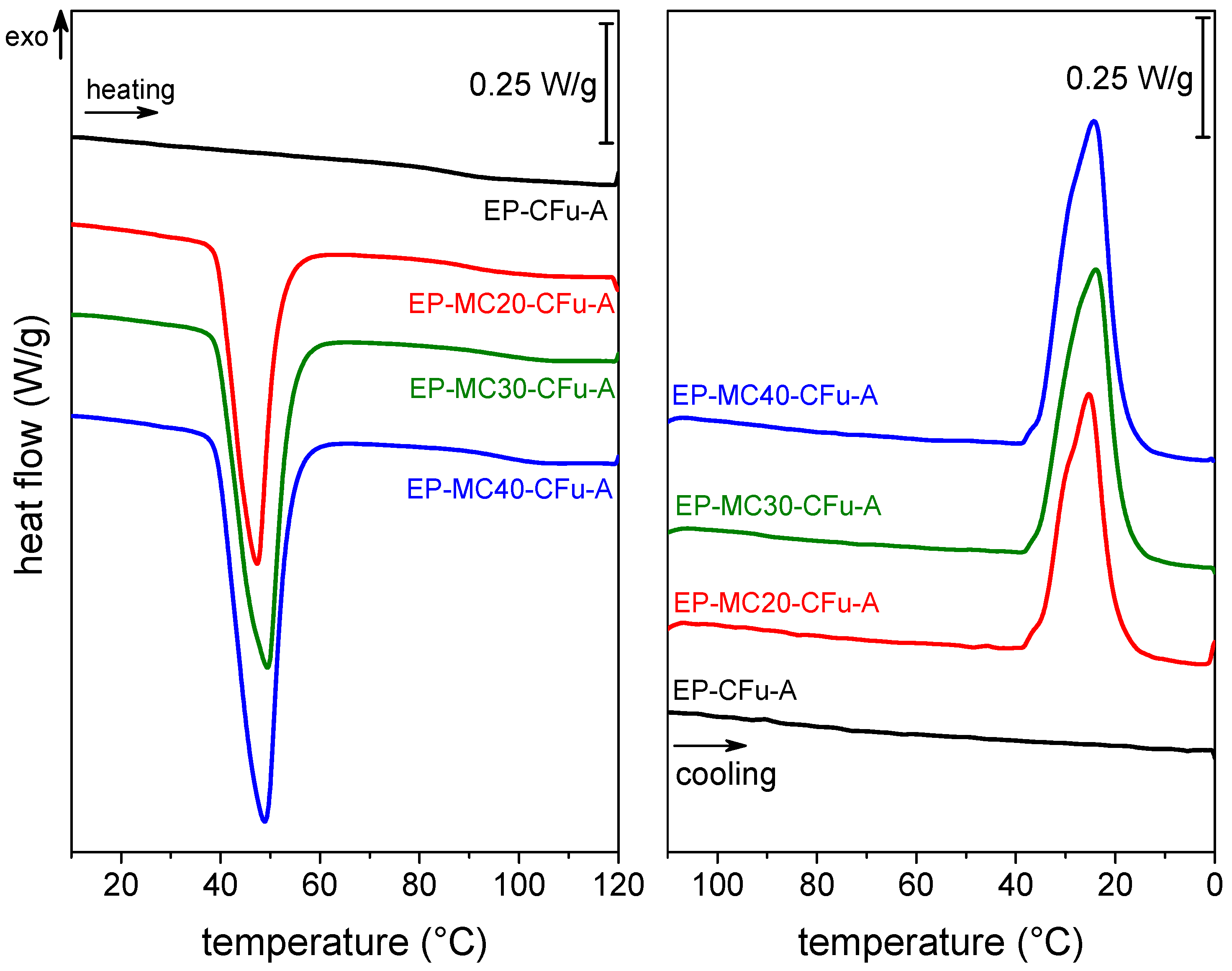
2. Case Study: Epoxy/Carbon Laminates Containing Paraffin Microcapsules
3. Summary and Comparison of the Investigated Composites
4. Evaluation of the Multifunctional Performance
5. Conclusions and Future Perspectives
Author Contributions
Funding
Data Availability Statement
Conflicts of Interest
References
- Pielichowska, K.; Pielichowski, K. Phase change materials for thermal energy storage. Prog. Mater. Sci. 2014, 65, 67–123. [Google Scholar] [CrossRef]
- Cabeza, L.F. Advances in thermal energy storage systems: Methods and applications. In Advances in Thermal Energy Storage Systems; Woodhead Publishing: Cambridge, UK, 2014; pp. 37–54. [Google Scholar]
- Da Cunha, J.P.; Eames, P. Thermal energy storage for low and medium temperature applications using phase change materials—A review. Appl. Energy 2016, 177, 227–238. [Google Scholar] [CrossRef] [Green Version]
- Ibrahim, N.I.; Al-Sulaiman, F.A.; Rahman, S.; Yilbas, B.S.; Sahin, A.Z. Heat transfer enhancement of phase change materials for thermal energy storage applications: A critical review. Renew. Sustain. Energy Rev. 2017, 74, 26–50. [Google Scholar] [CrossRef]
- Peng, H.; Zhang, D.; Ling, X.; Li, Y.; Wang, Y.; Yu, Q.; She, X.; Li, Y.; Ding, Y. n-Alkanes Phase Change Materials and Their Microencapsulation for Thermal Energy Storage: A Critical Review. Energy Fuels 2018, 32, 7262–7293. [Google Scholar] [CrossRef]
- Huang, X.; Zhu, C.; Lin, Y.; Fang, G. Thermal properties and applications of microencapsulated PCM for thermal energy storage: A review. Appl. Therm. Eng. 2019, 147, 841–855. [Google Scholar] [CrossRef]
- Kenisarin, M.; Mahkamov, K. Passive thermal control in residential buildings using phase change materials. Renew. Sustain. Energy Rev. 2016, 55, 371–398. [Google Scholar] [CrossRef]
- Ianniciello, L.; Biwolé, P.H.; Achard, P. Electric vehicles batteries thermal management systems employing phase change materials. J. Power Sources 2018, 378, 383–403. [Google Scholar] [CrossRef]
- Khudhair, A.M.; Farid, M.M. A review on energy conservation in building applications with thermal storage by latent heat using phase change materials. Energy Convers. Manag. 2004, 45, 263–275. [Google Scholar] [CrossRef]
- Tan, F.; Tso, C. Cooling of mobile electronic devices using phase change materials. Appl. Therm. Eng. 2004, 24, 159–169. [Google Scholar] [CrossRef]
- Ying, B.-A.; Kwok, Y.-L.; Li, Y.; Zhu, Q.-Y.; Yeung, C.-Y. Assessing the performance of textiles incorporating phase change materials. Polym. Test. 2004, 23, 541–549. [Google Scholar] [CrossRef]
- Mondal, S. Phase Change Fibers. In Handbook of Fibrous Materials, 1st ed.; Hu, J., Kumar, B., Lu, J., Eds.; Wiley-VCH Verlag GmbH&Co. KGaA: Weinheim, Germany, 2020. [Google Scholar]
- Wu, Y.; Chen, C.; Jia, Y.; Wu, J.; Huang, Y.; Wang, L. Review on electrospun ultrafine phase change fibers (PCFs) for thermal energy storage. Appl. Energy 2018, 210, 167–181. [Google Scholar] [CrossRef]
- Jamekhorshid, A.; Sadrameli, S.M.; Farid, M. A review of microencapsulation methods of phase change materials (PCMs) as a thermal energy storage (TES) medium. Renew. Sustain. Energy Rev. 2014, 31, 531–542. [Google Scholar] [CrossRef]
- Hassan, A.; Laghari, M.S.; Rashid, Y. Micro-Encapsulated Phase Change Materials: A Review of Encapsulation, Safety and Thermal Characteristics. Sustainability 2016, 8, 1046. [Google Scholar] [CrossRef] [Green Version]
- Mehrali, M.; Latibari, S.T.; Mehrali, M.; Mahlia, T.M.I.; Metselaar, H.S.C. Effect of carbon nanospheres on shape stabilization and thermal behavior of phase change materials for thermal energy storage. Energy Convers. Manag. 2014, 88, 206–213. [Google Scholar] [CrossRef]
- Sobolčiak, P.; Abdelrazeq, H.; Ouederni, M.; Karkri, M.; Al-Maadeed, S.; Krupa, I. The stabilizing effect of expanded graphite on the artificial aging of shape stabilized phase change materials. Polym. Test. 2015, 46, 65–71. [Google Scholar] [CrossRef]
- Krupa, I.; Sobolčiak, P.; Abdelrazeq, H.; Ouederni, M.; Al-Maadeed, S. Natural aging of shape stabilized phase change materials based on paraffin wax. Polym. Test. 2017, 63, 567–572. [Google Scholar] [CrossRef]
- Luyt, A.; Krupa, I.; Assumption, H.; Ahmad, E.; Mofokeng, J. Blends of polyamide 12 and maleic anhydride grafted paraffin wax as potential phase change materials. Polym. Test. 2010, 29, 100–106. [Google Scholar] [CrossRef]
- Christodoulou, L.; Venables, J.D. Multifunctional material systems: The first generation. Jom 2003, 55, 39–45. [Google Scholar] [CrossRef]
- Ozaki, T.; Takeya, H.; Kume, M.; Sekine, K. Multifunctional composite structures for space satellites. SAMPE J. 2008, 44, 6–11. [Google Scholar]
- Gibson, R.F. A review of recent research on mechanics of multifunctional composite materials and structures. Compos. Struct. 2010, 92, 2793–2810. [Google Scholar] [CrossRef]
- Salonitis, K.; Pandremenos, J.; Paralikas, J.; Chryssolouris, G. Multifunctional materials: Engineering applications and processing challenges. Int. J. Adv. Manuf. Technol. 2009, 49, 803–826. [Google Scholar] [CrossRef]
- Friedrich, K. Routes for achieving multifunctionality in reinforced polymers and composite structures. In Multifunctionality of Polymer Composites: Challenges and New Solutions; Friedrich, K., Breuer, U., Eds.; Elsevier: Waltham, MA, USA, 2015; pp. 3–41. [Google Scholar]
- González, C.; Vilatela, J.; Molina-Aldareguía, J.; Lopes, C.; Llorca, J. Structural composites for multifunctional applications: Current challenges and future trends. Prog. Mater. Sci. 2017, 89, 194–251. [Google Scholar] [CrossRef] [Green Version]
- Polydoropoulou, P.; Katsiropoulos, C.; Pantelakis, S.; Raimondo, M.; Guadagno, L. A critical assessment of multifunctional polymers with regard to their potential use in structural applications. Compos. Part B 2018, 157, 150–162. [Google Scholar] [CrossRef]
- Kastiukas, G.; Zhou, X.; Castro-Gomes, J. Development and optimisation of phase change material-impregnated lightweight aggregates for geopolymer composites made from aluminosilicate rich mud and milled glass powder. Constr. Build. Mater. 2016, 110, 201–210. [Google Scholar] [CrossRef]
- Rigotti, D.; Dorigato, A.; Pegoretti, A. 3D printable thermoplastic polyurethane blends with thermal energy storage/release capabilities. Mater. Today Commun. 2018, 15, 228–235. [Google Scholar] [CrossRef]
- Resch-Fauster, K.; Hengstberger, F.; Zauner, C.; Holper, S. Overheating protection of solar thermal façades with latent heat storages based on paraffin-polymer compounds. Energy Build. 2018, 169, 254–259. [Google Scholar] [CrossRef]
- Resch-Fauster, K.; Feuchter, M. Thermo-physical characteristics, mechanical performance and long-term stability of high temperature latent heat storages based on paraffin-polymer compounds. Thermochim. Acta 2018, 663, 34–45. [Google Scholar] [CrossRef]
- Jeong, S.-G.; Kim, S.; Huh, W. Preparation of epoxy resin usingn-hexadecane based shape stabilized PCM for applying wood-based flooring. J. Adhes. Sci. Technol. 2013, 28, 711–721. [Google Scholar] [CrossRef]
- Paloma, J.G.; Rayón, E.; Roa, J.; Martinez, M.; Fernandez, A.I. Effect of the filler on the nanomechanical properties of polypropylene in contact with paraffinic phase change material. Eur. Polym. J. 2015, 63, 29–36. [Google Scholar] [CrossRef] [Green Version]
- Serrano, A.; Borreguero, A.M.; Garrido, I.; Rodriguez, J.F.; Carmona, M. The role of microstructure on the mechanical properties of polyurethane foams containing thermoregulating microcapsules. Polym. Test. 2017, 60, 274–282. [Google Scholar] [CrossRef]
- Yoo, S.; Kandare, E.; Shanks, R.; Al-Maadeed, M.A.; Khatibi, A.A. Thermophysical properties of multifunctional glass fibre reinforced polymer composites incorporating phase change materials. Thermochim. Acta 2016, 642, 25–31. [Google Scholar] [CrossRef]
- Yoo, S. Characterisation of Multifunctional Composites Exhibiting Mechanical and Thermal Management Capabilities. Master’s Thesis, RMIT University, Melbourne, Australia, 2016. [Google Scholar]
- Yoo, S.; Kandare, E.; Shanks, R.; Khatibi, A.A. Viscoelastic characterization of multifunctional composites incorporated with microencapsulated phase change materials. In Materials Today: Proceedings, Proceedings of the 2017 International Conference of Materials Processing and Characterization, Hyderabad, Telangana, 17–19 March 2017; Elsevier: Amsterdam, The Netherlands, 2017; Volume 4, pp. 5239–5247. [Google Scholar]
- Yoo, S.; Kandare, E.; Mahendrarajah, G.; Al-Maadeed, S.; Khatibi, A.A. Mechanical and thermal characterisation of multifunctional composites incorporating phase change materials. J. Compos. Mater. 2017, 51, 2631–2642. [Google Scholar] [CrossRef]
- Fredi, G.; Dorigato, A.; Fambri, L.; Pegoretti, A. Wax Confinement with Carbon Nanotubes for Phase Changing Epoxy Blends. Polym. 2017, 9, 405. [Google Scholar] [CrossRef] [Green Version]
- Fredi, G.; Dorigato, A.; Fambri, L.; Pegoretti, A. Multifunctional epoxy/carbon fiber laminates for thermal energy storage and release. Compos. Sci. Technol. 2018, 158, 101–111. [Google Scholar] [CrossRef]
- Fredi, G.; Dorigato, A.; Pegoretti, A. Multifunctional glass fiber/polyamide composites with thermal energy storage/release capability. Express Polym. Lett. 2018, 12, 349–364. [Google Scholar] [CrossRef]
- Fredi, G.; Dorigato, A.; Fambri, L.; Unterberger, S.H.; Pegoretti, A. Effect of phase change microcapsules on the thermo-mechanical, fracture and heat storage properties of unidirectional carbon/epoxy laminates. Polym. Test. 2020, 91, 106747. [Google Scholar] [CrossRef]
- Dorigato, A.; Fredi, G.; Pegoretti, A. Novel phase change materials using thermoplastic composites. In AIP Conference Proceedings, Proceedings of the 9th International Conference “Times of Polymers and Composites” (TOP), Ischia, Italy, 17–21 June 2018; AIP Publishing LLC: Melville, NY, USA, 2018; Volume 1981, p. 020044. [Google Scholar]
- Fredi, G.; Dorigato, A.; Unterberger, S.; Artuso, N.; Pegoretti, A. Discontinuous carbon fiber/polyamide composites with microencapsulated paraffin for thermal energy storage. J. Appl. Polym. Sci. 2019, 136, 47408. [Google Scholar] [CrossRef]
- Fredi, G.; Dorigato, A.; Fambri, L.; Pegoretti, A. Multifunctional polymer composites reinforced with discontinuous carbon fibers for thermal energy storage. In Proceedings of the ECCM 2018—18th European Conference on Composite Materials, Megaron Athens International Conference Centre (MAICC), Athens, Greece, 25–28 June 2018. [Google Scholar]
- Dorigato, A.; Fredi, G.; Meneghini, T.; Pegoretti, A. Thermo-mechanical behaviour of thermoplastic composite laminates with thermal energy storage/release capability. In Proceedings of the ECCM 2018—18th European Conference on Composite Materials, Megaron Athens International Conference Centre (MAICC), Athens, Greece, 25–28 June 2018. [Google Scholar]
- Dorigato, A.; Fredi, G.; Pegoretti, A. Application of the thermal energy storage concept to novel epoxy-short carbon fiber composites. J. Appl. Polym. Sci. 2019, 136, 47434. [Google Scholar] [CrossRef]
- Fredi, G.; Dorigato, A.; Pegoretti, A. Novel reactive thermoplastic resin as a matrix for laminates containing phase change microcapsules. Polym. Compos. 2019, 40, 3711–3724. [Google Scholar] [CrossRef]
- Fredi, G.; Dorigato, A.; Pegoretti, A. Dynamic-mechanical response of carbon fiber laminates with a reactive thermoplastic resin containing phase change microcapsules. Mech. Time 2020, 24, 395–418. [Google Scholar] [CrossRef]
- Galvagnini, F.; Dorigato, A.; Fambri, L.; Fredi, G.; Pegoretti, A. Thermophysical Properties of Multifunctional Syntactic Foams Containing Phase Change Microcapsules for Thermal Energy Storage. Polymers 2021, 13, 1790. [Google Scholar] [CrossRef] [PubMed]
- Dorigato, A.; Fredi, G.; Pegoretti, A. Thermo-Mechanical Behavior of Novel Wood Laminae-Thermoplastic Starch Biodegradable Composites with Thermal Energy Storage/Release Capability. Front. Mater. 2019, 6, 76. [Google Scholar] [CrossRef]
- Wirtz, R.; Fuchs, A.; Narla, V.; Shen, Y.; Zhao, T.; Jiang, Y. A multi-functional graphite/epoxy-based thermal energy storage composite for temperature control of sensors and electronics. In 41st AIAA Aerospace Sciences Meeting and Exhibit; University of Nevada: Reno, NV, USA, 2003; pp. 1–9. [Google Scholar]
- Ghafaar, M.A.; Mazen, A.A.; El-Mahallawy, N.A. Behavior of woven fabric reinforced epoxy composites under bending and compressive loads. J. Eng. Sci. 2006, 34, 453–469. [Google Scholar] [CrossRef]
- Subagia, I.A.; Kim, Y.; Tijing, L.D.; Kim, C.S.; Shon, H.K. Effect of stacking sequence on the flexural properties of hybrid composites reinforced with carbon and basalt fibers. Compos. Part B 2014, 58, 251–258. [Google Scholar] [CrossRef]
- Fredi, G.; Dorigato, A.; Fambri, L.; Pegoretti, A. Detailed experimental and theoretical investigation of the thermomechanical properties of epoxy composites containing paraffin microcapsules for thermal management. Polym. Eng. Sci. 2020, 60, 1202–1220. [Google Scholar] [CrossRef]
- Obrien, D.J.; Baechle, D.M.; Wetzel, E.D. Design and performance of multifunctional structural composite capacitors. J. Compos. Mater. 2011, 45, 2797–2809. [Google Scholar] [CrossRef]
- Snyder, J.; Gienger, E.; Wetzel, E. Performance metrics for structural composites with electrochemical multifunctionality. J. Compos. Mater. 2015, 49, 1835–1848. [Google Scholar] [CrossRef]
- Ferreira, A.D.B.; Nóvoa, P.R.; Marques, A.T. Multifunctional Material Systems: A state-of-the-art review. Compos. Struct. 2016, 151, 3–35. [Google Scholar] [CrossRef]








| Sample | ||||||||
|---|---|---|---|---|---|---|---|---|
| MC | 46.5 | 221.7 | 27.6 | 223.5 | 100.0 | - | - | 100.0 |
| EP-CFu-A | - | - | - | - | 0.0 | 2.3 | 62.5 | 0.0 |
| EP-MC20-CFu-A | 45.4 | 29.3 | 27.0 | 29.8 | 13.2 | 6.8 | 39.4 | 17.5 |
| EP-MC30-CFu-A | 47.8 | 40.3 | 25.5 | 40.2 | 18.2 | 5.1 | 38.2 | 24.1 |
| EP-MC40-CFu-A | 48.2 | 48.7 | 24.9 | 48.7 | 22.0 | 8.5 | 35.6 | 27.7 |
| EP-CFu-B | - | - | - | - | 0.0 | 1.2 | 58.8 | 0.0 |
| EP-MC20-CFu-B | 49.2 | 30.6 | 23.8 | 30.5 | 13.8 | 4.9 | 37.6 | 18.5 |
| EP-MC30-CFu-B | 51.0 | 42.0 | 21.9 | 41.9 | 19.0 | 3.7 | 35.4 | 25.1 |
| EP-MC40-CFu-B | 53.7 | 47.5 | 19.4 | 47.1 | 21.4 | 8.1 | 29.2 | 26.5 |
| Sample | ||
|---|---|---|
| EP-CFu-B | 0.15 ± 0.03 | 0.27 ± 0.01 |
| EP-MC20-CFu-B | 0.34 ± 0.02 | 0.40 ± 0.01 |
| EP-MC30-CFu-B | 0.27 ± 0.02 | 0.32 ± 0.01 |
| EP-MC40-CFu-B | 0.24 ± 0.02 | 0.30 ± 0.02 |
| Label | Matrix | Reinforcement | PCM | Reference |
|---|---|---|---|---|
| PA-ParCNT-GF | Polyamide 12 | Bidirectional glass fibers | CNT-stabilized paraffin | [38,40] |
| PA-MC-GF | Polyamide 12 | Bidirectional glass fibers | Paraffin microcapsules | [40] |
| EL-MC-CF | Reactive acrylic thermoplastic | Bidirectional carbon fibers | Paraffin microcapsules | [47,48] |
| Starch/PEG/wood | Thermoplastic starch | Thin beechwood laminae | Poly(ethylene glycol) 600 | [50] |
| EP-ParCNT-CF | Epoxy | Bidirectional carbon fibers | CNT-stabilized paraffin | [38,39] |
| EP-MC-CFu-A | Epoxy | Unidirectional carbon fibers | Paraffin microcapsules | [41] |
| EP-MCx | Epoxy | - | Paraffin microcapsules | [54] |
| EP-MCx-CFSy | Epoxy | Milled carbon fibers | Paraffin microcapsules | [46] |
| PA-MCx | Polyamide 12 | - | Paraffin microcapsules | [43] |
| PA-CFLx | Polyamide 12 | Chopped carbon fibers | - | [43] |
| PA-CFSx | Polyamide 12 | Milled carbon fibers | - | [43] |
| PA-MCx-CFLy | Polyamide 12 | Chopped carbon fibers | Paraffin microcapsules | [43] |
| PA-MCx-CFSy | Polyamide 12 | Milled carbon fibers | Paraffin microcapsules | [43] |
Publisher’s Note: MDPI stays neutral with regard to jurisdictional claims in published maps and institutional affiliations. |
© 2021 by the authors. Licensee MDPI, Basel, Switzerland. This article is an open access article distributed under the terms and conditions of the Creative Commons Attribution (CC BY) license (https://creativecommons.org/licenses/by/4.0/).
Share and Cite
Fredi, G.; Dorigato, A.; Fambri, L.; Pegoretti, A. Evaluating the Multifunctional Performance of Structural Composites for Thermal Energy Storage. Polymers 2021, 13, 3108. https://doi.org/10.3390/polym13183108
Fredi G, Dorigato A, Fambri L, Pegoretti A. Evaluating the Multifunctional Performance of Structural Composites for Thermal Energy Storage. Polymers. 2021; 13(18):3108. https://doi.org/10.3390/polym13183108
Chicago/Turabian StyleFredi, Giulia, Andrea Dorigato, Luca Fambri, and Alessandro Pegoretti. 2021. "Evaluating the Multifunctional Performance of Structural Composites for Thermal Energy Storage" Polymers 13, no. 18: 3108. https://doi.org/10.3390/polym13183108
APA StyleFredi, G., Dorigato, A., Fambri, L., & Pegoretti, A. (2021). Evaluating the Multifunctional Performance of Structural Composites for Thermal Energy Storage. Polymers, 13(18), 3108. https://doi.org/10.3390/polym13183108

