Characterisation and Modelling of Moisture Gradients in Polyamide 6
Abstract
:1. Introduction
2. Materials and Methods
2.1. Sample Processing and Conditioning
2.2. CT Measurement and Reconstruction Methods
2.3. Determination of Concentration-Dependent Mutual Diffusion Coefficients
2.4. Finite Element Model Used for Mass Diffusion Analysis
3. Results and Discussion
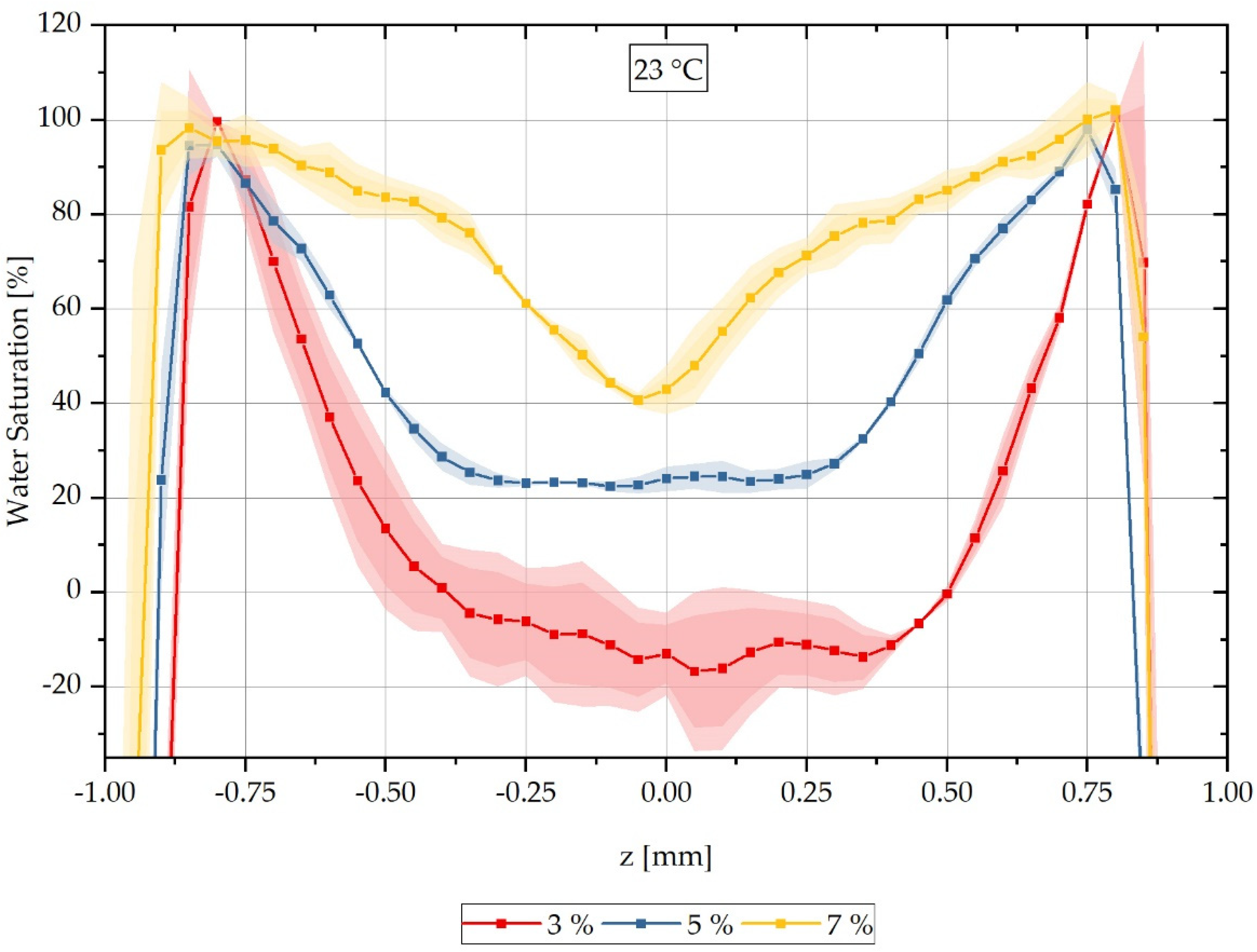
3.1. CT Measurements and Reconstruction and FE Analysis for Water Sorption with Experimentally Determined Diffusion Coefficients
3.2. CT Measurements and Reconstruction and FE Analysis for Water Sorption with Diffusion Coefficients Determined Using a Factor Comparison
4. Conclusions
Author Contributions
Funding
Acknowledgments
Conflicts of Interest
References
- Benaarbia, A.; Chrysochoos, A.; Robert, G. Influence of relative humidity and loading frequency on the PA6.6 cyclic ther-momechanical behavior: Part I. mechanical and thermal aspects. Polym. Test. 2014, 40, 290–298. [Google Scholar] [CrossRef] [Green Version]
- Lim, L.-T.; Britt, I.J.; Tung, M.A. Sorption and transport of water vapor in nylon 6,6 film. J. Appl. Polym. Sci. 1999, 71, 197–206. [Google Scholar] [CrossRef]
- Broudin, M.; Le Saux, V.; Le Gac, P.Y.; Champy, C.; Robert, G.; Charrier, P.; Marco, Y. Moisture sorption in polyamide 6.6: Experimental investigation and comparison to four physical-based models. Polym. Test. 2015, 43, 10–20. [Google Scholar] [CrossRef] [Green Version]
- Puffr, R.; Šebenda, J. On the Structure and Properties of Polyamides. XXVII. The Mechanism of Water Sorption in Polyam-ides. J. Polym. Sci. Part C Polym. Symp. 1967, 16, 79–93. [Google Scholar] [CrossRef]
- Reis, J.M.L.; Sanťanna, T.D.; Coutinho, P.P.; Monteiro, A.H.; Teixeira, S.C.S.; Chaves, E.G.; Mattos, H.S.D.C. Coupled effect of ageing and temperature in the mechanical behaviour of a polyamide. Polym. Test. 2016, 53, 267–275. [Google Scholar] [CrossRef]
- Monson, L.; Braunwarth, M.; Extrand, C.W. Moisture absorption by various polyamides and their associated dimensional changes. J. Appl. Polym. Sci. 2008, 107, 355–363. [Google Scholar] [CrossRef]
- Miri, V.; Persyn, O.; Lefebvre, J.-M.; Seguela, R. Effect of water absorption on the plastic deformation behavior of nylon 6. Eur. Polym. J. 2009, 45, 757–762. [Google Scholar] [CrossRef]
- Jia, N.; Fraenkel, H.A.; Kagan, V.A. Effects of Moisture Conditioning Methods on Mechanical Properties of Injection Molded Nylon 6. J. Reinf. Plast. Compos. 2016, 23, 729–737. [Google Scholar] [CrossRef]
- Le Gac, P.-Y.; Arhant, M.; Le Gall, M.; Davies, P. Yield stress changes induced by water in polyamide 6: Characterization and modeling. Polym. Degrad. Stab. 2017, 137, 272–280. [Google Scholar] [CrossRef] [Green Version]
- Dlubek, G.; Redmann, F.; Krause-Rehberg, R. Humidity-induced plasticization and antiplasticization of polyamide 6: A posi-tron lifetime study of the local free volume. J. Appl. Polym. Sci. 2002, 84, 244–255. [Google Scholar] [CrossRef]
- Sambale, A.; Kurkowski, M.; Stommel, M. Determination of moisture gradients in polyamide 6 using StepScan DSC. Thermochim. Acta 2018, 672, 150–156. [Google Scholar] [CrossRef]
- Sharma, P.; Sambale, A.; Stommel, M.; Maisl, M.; Herrmann, H.-G.; Diebels, S. Moisture transport in PA6 and its influence on the mechanical properties. Contin. Mech. Thermodyn. 2019, 32, 307–325. [Google Scholar] [CrossRef]
- Bailakanavar, M.; Fish, J.; Aitharaju, V.; Rodgers, W. Computational coupling of moisture diffusion and mechanical defor-mation in polymer matrix composites. Int. J. Numer. Meth. Eng. 2014, 98, 859–880. [Google Scholar] [CrossRef]
- Taktak, R.; Guermazi, N.; Derbeli, J.; Haddar, N. Effect of hygrothermal aging on the mechanical properties and ductile fracture of polyamide 6: Experimental and numerical approaches. Eng. Fract. Mech. 2015, 148, 122–133. [Google Scholar] [CrossRef]
- Boukal, I. Effect of water on the mechanism of deformation of nylon 6. J. Appl. Polym. Sci. 1967, 11, 1483–1494. [Google Scholar] [CrossRef]
- Sambale, A.K.; Stanko, M.; Emde, J.; Stommel, M. Characterisation and FE Modelling of the Sorption and Swelling Behaviour of Polyamide 6 in Water. Polymers 2021, 13, 1480. [Google Scholar] [CrossRef]
- Ellis, T.S. Moisture-induced plasticization of amorphous polyamides and their blends. J. Appl. Polym. Sci. 1988, 36, 451–466. [Google Scholar] [CrossRef]
- Cohen, D.S.; White, J.A.B. Sharp fronts due to diffusion and viscoelastic relaxation in polymers. SIAM J. Appl. Math. 1991, 51, 472–483. [Google Scholar] [CrossRef] [Green Version]
- Moradllo, M.K.; Hu, Q.; Ley, M.T. Using X-ray imaging to investigate in-situ ion diffusion in cementi-tious materials. Constr. Build. Mater. 2017, 136, 88–98. [Google Scholar] [CrossRef]
- Sinchuk, Y.; Pannier, Y.; Antoranz-Gonzalez, R.; Gigliotti, M. Analysis of moisture diffusion induced stress in carbon/epoxy 3D textile composite materials with voids by µ-CT based Finite Element Models. Compos. Struct. 2019, 212, 561–570. [Google Scholar] [CrossRef]
- Inoue, K.; Hoshino, S. Swelling of nylon 6 film due to water sorption. J. Polym. Sci. Polym. Phys. Ed. 1976, 14, 1513–1526. [Google Scholar] [CrossRef]
- Vlasveld, D.P.N.; Groenewold, J.; Bersee, H.E.N.; Picken, S.J. Moisture absorption in polyamide-6 silicate nanocomposites and its influence on the mechanical properties. Polymer 2005, 46, 12567–12576. [Google Scholar] [CrossRef]
- Lanxess Deutschland GmbH. Durethan B 31 SK 000000: Polyamid 6 Unverstärkt, Material Data Sheet; Lanxess Deutschland GmbH: Cologne, Germany, 2017. [Google Scholar]
- Feldkamp, L.A.; Davis, L.C.; Kress, J.W. Practical cone-beam algorithm. J. Opt. Soc. Am. A 1984, 1, 612–619. [Google Scholar] [CrossRef] [Green Version]
- Kak, A.C.; Slaney, M. Principles of Computerized Tomographic Imaging; SIAM: Philadelphia, PA, USA, 2001. [Google Scholar]
- Frick, A.; Stern, C. Einführung in die Kunststoffprüfung: Prüfmethoden und Anwendungen; Carl Hanser Verlag GmbH Co KG: Munich, Germany, 2017. [Google Scholar]
- Seltzer, S. XCOM-Photon Cross Sections Database, NIST Standard Reference Database 8. 1987. Available online: http://physics.nist.gov/xcom (accessed on 30 August 2021).
- Crank, J. The Mathematics of Diffusion; Oxford University Press: Oxford, UK, 1979; ISBN 0198534116. [Google Scholar]
- Abacha, N.; Kubouchi, M.; Sakai, T. Diffusion behavior of water in polyamide 6 organoclay nanocomposites. Express Polym. Lett. 2009, 3, 245–255. [Google Scholar] [CrossRef]
- Emde, J. Experimentelle Charakterisierung und FE-Modellierung des Sorptions- und Quellverhaltens von Polyamid 6 in Was-ser. Master’s Thesis, TU Dortmund, Dortmund, Germany, 2020. [Google Scholar]
- Fick, A. Ueber Diffusion. Ann. Phys. 1855, 170, 59–86. [Google Scholar] [CrossRef]
- Systèmes, D. Abaqus Analysis User’s Guide (6.14); Dassault Systèmes: Vélizy-Villacoublay, France, 2014. [Google Scholar]
- Systèmes, D. Abaqus Theory Guide (6.14); Simulia Corporation: Providence, RI, USA, 2014. [Google Scholar]
- Arhant, M.; Le Gac, P.Y.; Le Gall, M.; Burtin, C.; Briançon, C.; Davies, P. Modelling the non Fickian water absorption in pol-yamide 6. Polym. Degrad. Stab. 2016, 133, 404–412. [Google Scholar] [CrossRef] [Green Version]
- Vrentas, J.S.; Duda, J.L. Diffusion in polymer—solvent systems. I. Reexamination of the free-volume theory. J. Polym. Sci. Polym. Phys. Ed. 1977, 15, 403–416. [Google Scholar] [CrossRef]







| Measurement Parameters | Parameter Values |
|---|---|
| X-ray tube voltage | |
| Anode current | |
| Prefilter | aluminum |
| Voxel size | |
| Scan time |
| Water Concentration | Diffusion Coefficient at 80 °C | Mutual Diffusion Coefficient at 80 °C |
|---|---|---|
| Water Bath Temperature 80 °C | Integral Water Content | ||
|---|---|---|---|
| Water Bath Temperature 80 °C | Integral Water Content | ||
|---|---|---|---|
| Water Bath Temperature 23 °C | Integral Water Content | ||
|---|---|---|---|
| Water Concentration | Diffusion Coefficient at 80 °C | Mutual Diffusion Coefficient at 80 °C | Factor | Diffusion Coefficient at 23 °C | Mutual Diffusion Coefficient at 23 °C |
|---|---|---|---|---|---|
Publisher’s Note: MDPI stays neutral with regard to jurisdictional claims in published maps and institutional affiliations. |
© 2021 by the authors. Licensee MDPI, Basel, Switzerland. This article is an open access article distributed under the terms and conditions of the Creative Commons Attribution (CC BY) license (https://creativecommons.org/licenses/by/4.0/).
Share and Cite
Sambale, A.K.; Maisl, M.; Herrmann, H.-G.; Stommel, M. Characterisation and Modelling of Moisture Gradients in Polyamide 6. Polymers 2021, 13, 3141. https://doi.org/10.3390/polym13183141
Sambale AK, Maisl M, Herrmann H-G, Stommel M. Characterisation and Modelling of Moisture Gradients in Polyamide 6. Polymers. 2021; 13(18):3141. https://doi.org/10.3390/polym13183141
Chicago/Turabian StyleSambale, Anna Katharina, Michael Maisl, Hans-Georg Herrmann, and Markus Stommel. 2021. "Characterisation and Modelling of Moisture Gradients in Polyamide 6" Polymers 13, no. 18: 3141. https://doi.org/10.3390/polym13183141
APA StyleSambale, A. K., Maisl, M., Herrmann, H.-G., & Stommel, M. (2021). Characterisation and Modelling of Moisture Gradients in Polyamide 6. Polymers, 13(18), 3141. https://doi.org/10.3390/polym13183141

