Research on the Preparation and Anticorrosion Properties of EP/CeO2-GO Nanocomposite Coating
Abstract
1. Introduction
2. Materials and Methods
2.1. Raw Materials
2.2. Preparation of CeO2-GO Nanocomposites
2.3. Preparation of CeO2-GO Epoxy Coatings
2.4. Characterization
2.4.1. Micromorphological Characterization
2.4.2. Electrochemical Testing
3. Results
3.1. FESEM Analysis of Prepared Coating Composite
3.2. TEM Analysis of Best Mass Ratio of CeO2:GO
3.3. Open Circuit Potential (OCP) Analysis
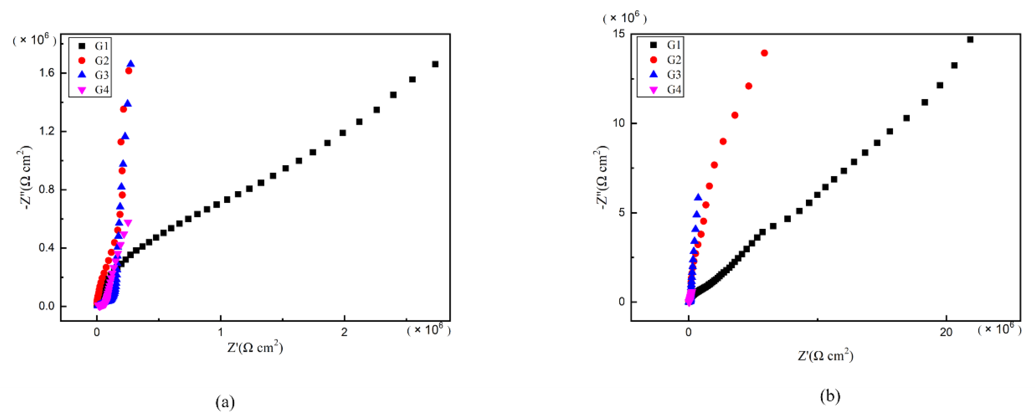
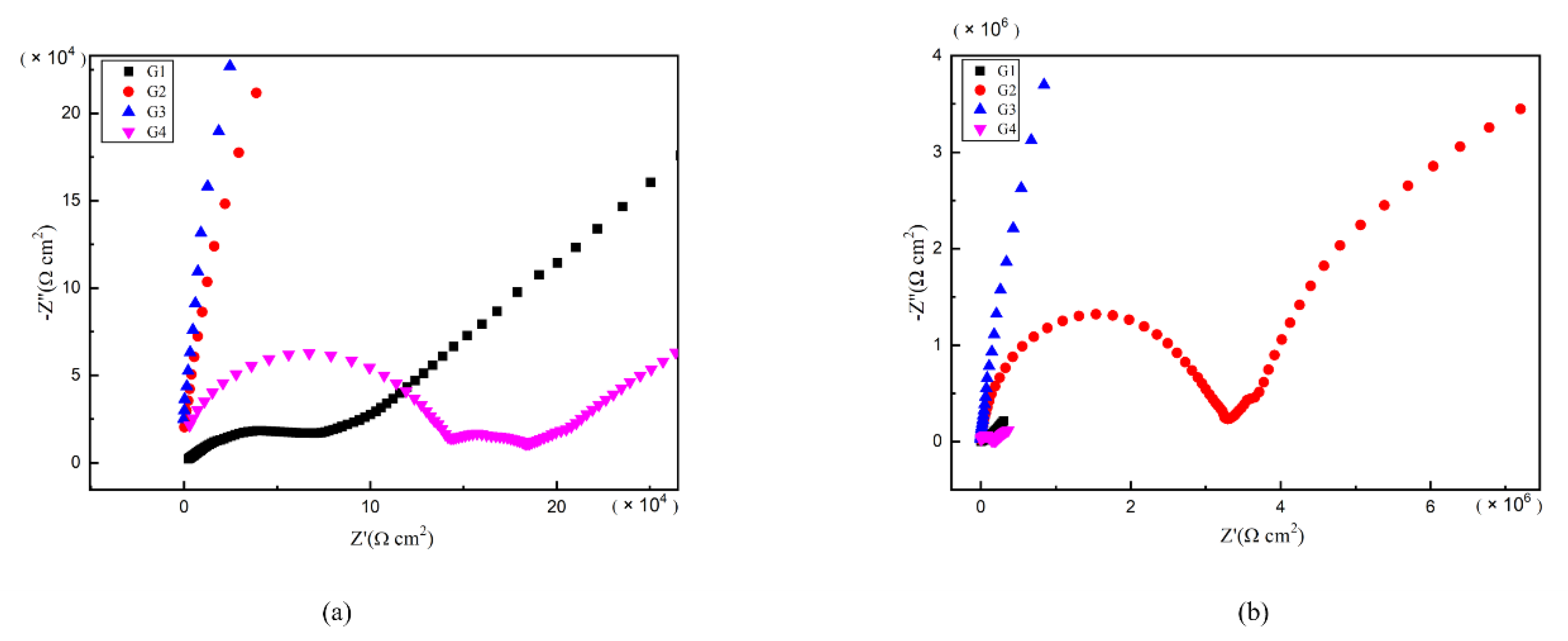
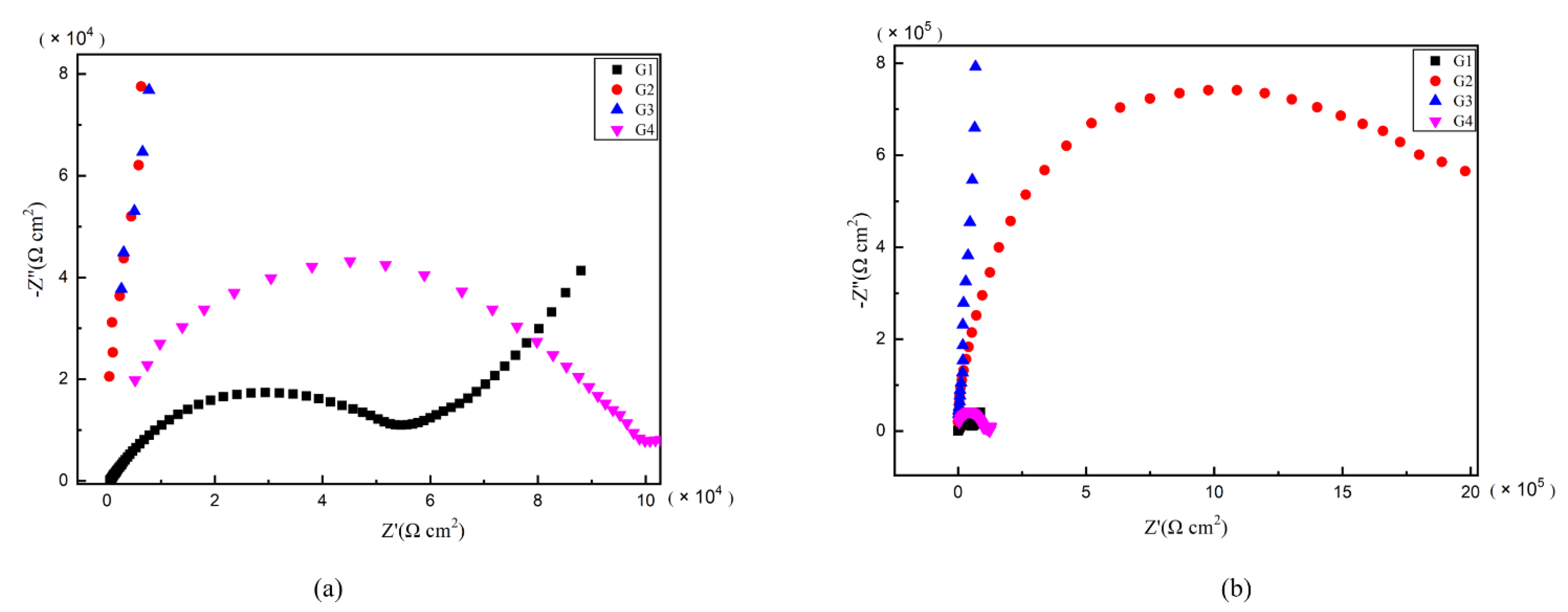
3.4. Electrochemical Alternating Current Impedance Spectroscopy (EIS) Analysis
3.5. Tafel Curve Analysis
3.6. Mott–Schottky Curve Analysis
4. Discussion
5. Conclusions
- (1)
- The SEM and TEM analysis indicated that via hydrothermal synthesis, GO was more effectively dispersed and the inter-layer inside the GO could provide space for CeO2 growth. The recommended CeO2 to GO mass ratio was 4:1, while with increasing ratios, GO and CeO2 would agglomerate inside the GO layers.
- (2)
- The anticorrosion properties of CeO2-GO nanocomposites as coatings were analyzed by OCP, EIS, Tafel curve and Mott–Schottky curve. Tafel curve showed that CeO2-GO (4:1) had the lowest corrosion current density and the highest polarization resistance. The protective efficiency of the coating was up to 99.88%. The Mott–Schottky curve showed that the 24 d carrier density of CeO2-GO (4:1) was only 7.577 × 108 cm−3, showing an excellent anticorrosion effect.
- (3)
- This study found that CeO2-GO (4:1) nanocomposite can not only improve the agglomeration of graphene, but also prepare graphene epoxy coating with good dispersion. The anticorrosion effect was very significant. That is beneficial to promote the engineering of CeO2-GO modified anticorrosive coating and improve the corrosion of metal.
Author Contributions
Funding
Institutional Review Board Statement
Informed Consent Statement
Data Availability Statement
Acknowledgments
Conflicts of Interest
References
- Chang Shibiao, Z.S. Project Geology Handbook; China Architecture & Building Press: Bejing, China, 2007; pp. 498–499. [Google Scholar]
- Zhang, T.; Lyu, X.; Yu, Y. Prediction and Analysis of the Residual Capacity of Concrete-Filled Steel Tube Stub Columns under Axial Compression Subjected to Combined Freeze-Thaw Cycles and Acid Rain Corrosion. Materials 2019, 12, 1098. [Google Scholar] [CrossRef] [PubMed]
- Li, Y.; Zhang, Y.; Jungwirth, S.; Seely, N.; Fang, Y.; Shi, X. Corrosion inhibitors for metals in maintenance equipment: Introduction and recent developments. Corros. Rev. 2014, 32, 163–181. [Google Scholar] [CrossRef]
- Sheng, Q.; Da Silveira, K.C.; Tian, W.; Fong, C.; Maeda, N.; Gubner, R.; Wood, C.D. Simultaneous Hydrate and Corrosion Inhibition with Modified Poly(vinyl caprolactam) Polymers. Energy Fuels 2017, 31, 6724–6731. [Google Scholar] [CrossRef]
- Chen, C.; Qiu, S.; Cui, M.; Qin, S.; Yan, G.; Zhao, H.; Wang, L.; Xue, Q. Achieving high performance corrosion and wear resistant epoxy coatings via incorporation of noncovalent functionalized graphene. Carbon 2017, 114, 356–366. [Google Scholar] [CrossRef]
- Mofidabadi, A.H.J.; Bahlakeh, G.; Ramezanzadeh, B. Explorations of the adhesion and anti-corrosion properties of the epoxy coating on the carbon steel surface modified by Eu2O3 nanostructured film. J. Mol. Liq. 2020, 314, 113658. [Google Scholar] [CrossRef]
- Xie, Y.; Liu, W.; Liang, L.; Liu, C.; Yang, M.; Shi, H.; Wang, S.; Zhang, F. Incorporation of silica network and modified graphene oxide into epoxy resin for improving thermal and anticorrosion properties. J. Appl. Polym. Sci. 2020, 137, 49405. [Google Scholar] [CrossRef]
- Gao, M.; Wang, J.; Zhou, Y.; He, P.; Wang, Z.; Zhao, S. The performance of epoxy coatings containing polyaniline (PANI) nanowires in neutral salt, alkaline, and acidic aqueous media. J. Appl. Polym. Sci. 2020, 137, 137. [Google Scholar] [CrossRef]
- Penna, M.O.; Silva, A.A.; Do Rosario, F.F.; Camargo Jr, S.D.S.; Soares, B.G. Organophilic nano-alumina for superhydrophobic epoxy coatings. Mater. Chem. Phys. 2020, 255, 123543. [Google Scholar] [CrossRef]
- Ghasemi-Kahrizsangi, A.; Shariatpanahi, H.; Neshati, J.; Akbarinezhad, E. Corrosion behavior of modified nano carbon black/epoxy coating in accelerated conditions. Appl. Surf. Sci. 2015, 331, 115–126. [Google Scholar] [CrossRef]
- Hu, C.; Zheng, Y.; Qing, Y.; Wang, F.; Mo, C.; Mo, Q. Preparation of Poly(o-toluidine)/Nano ZrO2/Epoxy Composite Coating and Its Application for Corrosion Protection of Steel. J. Wuhan Univ. Technol. Mater. Sci. Ed. 2016, 31, 937–944. [Google Scholar] [CrossRef]
- Rassouli, L.; Naderi, R.; Mahdavain, M. The role of micro/nano zeolites doped with zinc cations in the active protection of epoxy ester coating. Appl. Surf. Sci. 2017, 423, 571–583. [Google Scholar] [CrossRef]
- Shirehjini, F.T.; Danaee, I.; Eskandari, H.; Zarei, D. Effect of Nano Clay on Corrosion Protection of Zinc-rich Epoxy Coatings on Steel 37. J. Mater. Sci. Technol. 2016, 32, 1152–1160. [Google Scholar] [CrossRef]
- Zhu, Q.; Li, E.; Liu, X.; Song, W.; Li, Y.; Wang, X.; Liu, C. Epoxy coating with in-situ synthesis of polypyrrole functionalized graphene oxide for enhanced anticorrosive performance. Prog. Org. Coat. 2020, 140, 105488. [Google Scholar] [CrossRef]
- Ramezanzadeh, M.; Ramezanzadeh, B.; Sari, M.G.; Saeb, M.R. Corrosion resistance of epoxy coating on mild steel through polyamidoamine dendrimer-covalently functionalized graphene oxide nanosheets. J. Ind. Eng. Chem. 2020, 82, 290–302. [Google Scholar] [CrossRef]
- Zheng, W.; Chen, W.G.; Feng, T.; Li, W.Q.; Liu, X.T.; Dong, L.L.; Fu, Y.Q. Enhancing chloride ion penetration resistance into concrete by using graphene oxide reinforced waterborne epoxy coating. Prog. Org. Coat. 2020, 138, 105389. [Google Scholar] [CrossRef]
- Thuy Duong, N.; Anh Son, N.; Boi An, T.; Ke Oanh, V.; Dai Lam, T.; Thanh Thao, P.; Scharnagl, N.; Zheludkevich, M.L.; Thi Xuan Hang, T. Molybdate intercalated hydrotalcite/graphene oxide composite as corrosion inhibitor for carbon steel. Surf. Coat. Technol. 2020, 399, 126165. [Google Scholar]
- Wang, H.; Wang, S.; Li, Y.; Li, M.; Xu, Y.; He, K.; Yuan, C.; Zeng, B.; Dai, L. Fabrication of excellent anti-corrosion epoxy coating based on GON-An composites. Surf. Eng. 2020, 36, 877–888. [Google Scholar] [CrossRef]
- Wu, Y.; Zhao, W.; Qiang, Y.; Chen, Z.; Wang, L.; Gao, X.; Fang, Z. pi-pi interaction between fluorinated reduced graphene oxide and acridizinium ionic liquid: Synthesis and anti-corrosion application. Carbon 2020, 159, 292–302. [Google Scholar] [CrossRef]
- Li, J.; Feng, Q.; Cui, J.; Yuan, Q.; Qiu, H.; Gao, S.; Yang, J. Self-assembled graphene oxide microcapsules in Pickering emulsions for self-healing waterborne polyurethane coatings. Compos. Sci. Technol. 2017, 151, 282–290. [Google Scholar] [CrossRef]
- Zhang, F.; Zhao, L.; Chen, H.; Xu, S.; Evans, D.G.; Duan, X. Corrosion resistance of superhydrophobic layered double hydroxide films on aluminum. Angew. Chem. Int. Ed. 2008, 47, 2466–2469. [Google Scholar] [CrossRef]
- Zhao, L.; Liu, Q.; Gao, R.; Wang, J.; Yang, W.; Liu, L. One-step method for the fabrication of superhydrophobic surface on magnesium alloy and its corrosion protection, antifouling performance. Corros. Sci. 2014, 80, 177–183. [Google Scholar] [CrossRef]
- Gong, L.-X.; Pei, Y.-B.; Han, Q.-Y.; Zhao, L.; Wu, L.-B.; Jiang, J.-X.; Tang, L.-C. Polymer grafted reduced graphene oxide sheets for improving stress transfer in polymer composites. Compos. Sci. Technol. 2016, 134, 144–152. [Google Scholar] [CrossRef]
- Pinheiro da Silva, M.F.; De Jesus Fraga da Costa, H.C.; Triboni, E.R.; Politi, M.J.; Isolani, P.C. Synthesis and characterization of CeO2-graphene composite. J. Therm. Anal. Calorim. 2012, 107, 257–263. [Google Scholar] [CrossRef]
- Ramezanzadeh, B.; Bahlakeh, G.; Ramezanzadeh, M. Polyaniline-cerium oxide (PAni-CeO2) coated graphene oxide for enhancement of epoxy coating corrosion protection performance on mild steel Check. Corros. Sci. 2018, 137, 111–126. [Google Scholar] [CrossRef]
- Jiang, L.; Yao, M.; Liu, B.; Li, Q.; Liu, R.; Lv, H.; Lu, S.; Gong, C.; Zou, B.; Cui, T.; et al. Controlled Synthesis of CeO2/Graphene Nanocomposites with Highly Enhanced Optical and Catalytic Properties. J. Phys. Chem. C 2012, 116, 11741–11745. [Google Scholar] [CrossRef]
- Láng, G. Electrochemical impedance, analysis and interpretation (ASTM STP 1188). Mater. Corros. 1994, 45, 582. [Google Scholar] [CrossRef]
- Flores, J.M.; Cywiak, M.; Servin, M.; Juarez, L. Bode plots applied to microscopic interferometry. Rev. Mex. De Fis. 2009, 55, 347–353. [Google Scholar]
- Gots, V.; Lastivka, O.; Berdnyk, O.; Tomin, O.; Shilyuk, P. Corrosion Resistance of Polyester Powder Coatings Using Fillers of Various Chemical Nature. Key Eng. Mater. 2020, 864, 115–121. [Google Scholar] [CrossRef]
- Ruan, Q.; Miao, T.; Wang, H.; Tang, J. Insight on Shallow Trap States-Introduced Photocathodic Performance in n-Type Polymer Photocatalysts. J. Am. Chem. Soc. 2020, 142, 2795–2802. [Google Scholar] [CrossRef]












| Element | Line Type | Weight Percentage | wt% Sigma | Atomic Percentage |
|---|---|---|---|---|
| C | K line series | 16.05 | 0.45 | 54.14 |
| O | K line series | 9.63 | 0.29 | 24.37 |
| Ce | L line series | 74.33 | 0.49 | 21.49 |
| Total | / | 100.00 | / | 100.00 |
| Coating | Ecorr (V) | Icorr (A/cm2) | η (%) | Rp (ohm) |
|---|---|---|---|---|
| G1 | −0.747 | 1.079 × 10−5 | / | 3.222 × 103 |
| G2 | −00.893 | 2.814 × 10−6 | 73.92 | 8.410 × 104 |
| G3 | −00.451 | 1.276 × 10−8 | 99.88 | 3.463 × 106 |
| G4 | −00.7153 | 1.605 × 10−7 | 98.51 | 2.550 × 105 |
| Coating | 2 d ND (cm−3) | 8 d ND (cm−3) | 16 d ND (cm−3) | 24 d ND (cm−3) |
|---|---|---|---|---|
| G1 | 2.501 × 1010 | 1.045 × 1013 | 3.679 × 1013 | 3.550 × 1014 |
| G2 | 7.403 × 109 | 6.740 × 109 | 4.296 × 1010 | 6.229 × 109 |
| G3 | 7.853 × 108 | 2.988 × 109 | 2.268 × 109 | 7.577 × 108 |
| G4 | 7.373 × 1011 | 1.048 × 1013 | 5.061 × 1012 | 1.030 × 1014 |
Publisher’s Note: MDPI stays neutral with regard to jurisdictional claims in published maps and institutional affiliations. |
© 2021 by the authors. Licensee MDPI, Basel, Switzerland. This article is an open access article distributed under the terms and conditions of the Creative Commons Attribution (CC BY) license (http://creativecommons.org/licenses/by/4.0/).
Share and Cite
Liu, X.; Jie, H.; Liu, R.; Liu, Y.; Li, T.; Lyu, K. Research on the Preparation and Anticorrosion Properties of EP/CeO2-GO Nanocomposite Coating. Polymers 2021, 13, 183. https://doi.org/10.3390/polym13020183
Liu X, Jie H, Liu R, Liu Y, Li T, Lyu K. Research on the Preparation and Anticorrosion Properties of EP/CeO2-GO Nanocomposite Coating. Polymers. 2021; 13(2):183. https://doi.org/10.3390/polym13020183
Chicago/Turabian StyleLiu, Xiaoyan, Handuo Jie, Ruidan Liu, Yanqi Liu, Tianyu Li, and Kai Lyu. 2021. "Research on the Preparation and Anticorrosion Properties of EP/CeO2-GO Nanocomposite Coating" Polymers 13, no. 2: 183. https://doi.org/10.3390/polym13020183
APA StyleLiu, X., Jie, H., Liu, R., Liu, Y., Li, T., & Lyu, K. (2021). Research on the Preparation and Anticorrosion Properties of EP/CeO2-GO Nanocomposite Coating. Polymers, 13(2), 183. https://doi.org/10.3390/polym13020183

