DC Surface Flashover Characteristics of Polyimide Containing Polyhedral Oligomeric Silsesquioxane (POSS) in the Main Chains under Vacuum
Abstract
:1. Introduction
2. Experimental Part
2.1. Materials
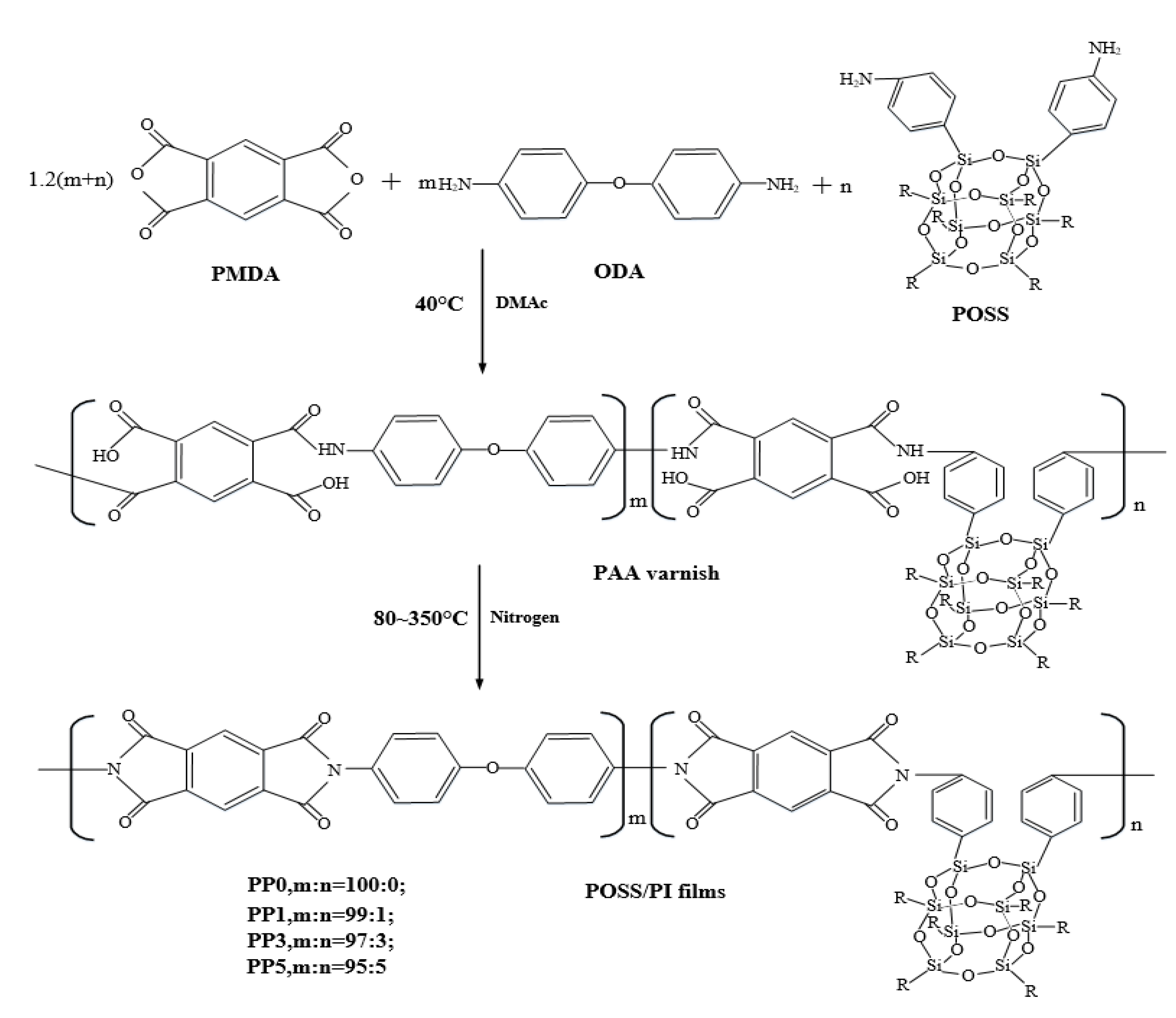
2.2. Preparaion of Polymers
2.3. Characterization
3. Experimental Results and Discussion
3.1. Structural Characterization
3.2. Optical Properties
3.3. Thermal and Mechanical Properties
3.4. Surface Flashover in Vacuum
4. Conclusions
- (1)
- After the introduction of POSS, the overall functional group structure of polyimide remains unchanged. The charge transfer complexation between molecular chains is inhibited, resulting in a relatively weak intermolecular force. In addition, since the cage-like structure of POSS reduces the packing density of the material, the light transmittance of the film is improved. The introduction of POSS will enhance the thermal conductivity and thermal weight loss temperature of the composite film to a certain extent. The mechanical properties of the composite films are slightly reduced, but they can still meet the requirements of most application scenarios.
- (2)
- After the introduction of POSS, with the increase of POSS content, the surface dielectric strength of the film is improved in vacuum. When the POSS content is 5%, the vacuum surface flashover voltage of the polyimide composite film increases to 17.5 kV, which is 30.5% higher than that of the pure polyimide film.
- (3)
- The influence mechanism of POSS molecular structure-modified polyimide on the dielectric strength of the film under vacuum was preliminarily elucidated. First, the decrease of the resistivity of the composite film accelerates the dissipation speed of its surface charge, which increases the flashover voltage; second, the POSS forms a uniformly distributed Si-O-Si network by chemically keying the polyimide molecular chain modification. When the surface of the composite film is damaged, SiOx inorganic flocculent particles will be generated, which can not only scatter electrons but also reduce the depth of trap levels to accelerate the dissipation of surface charges and increase the flashover voltage.
Author Contributions
Funding
Institutional Review Board Statement
Informed Consent Statement
Data Availability Statement
Conflicts of Interest
References
- Xing, Z.; Zhang, C.; Xue, N.; Li, Z.; Li, F.; Wan, X.; Guo, S.; Hao, J. High-frequency surface insulation strength with nanoarchitectonics of disiloxane modified polyimide films. Polymers 2022, 14, 146. [Google Scholar] [CrossRef] [PubMed]
- Tu, Y.; Yi, C.; Wang, S.; Qin, S.; Yuan, Z.; Fan, L. Effect of temperature on polyimide dc flashover characteristics in different vacuum degrees. J. Phys. D Appl. Phys. 2019, 52, 305201. [Google Scholar] [CrossRef]
- Qian, M.; Zhou, B.; Liu, G.; Gao, Y.; Niu, Y.; Gong, S. Polyhedral oligomeric silsesquioxane polyimide nanocomposites for color filters and flexible conductive films. J. Appl. Polym. Sci. 2021, 19, 50372. [Google Scholar] [CrossRef]
- Li, S.; Pan, S.; Li, G.; Min, D.; Wang, W.; Li, S. Influence of electron beam irradiation on dc surface flashover of polyimide in vacuum. IEEE Trans. Dielectr. Electr. Insul. 2017, 24, 1288–1294. [Google Scholar] [CrossRef]
- Timothy, K.; Thomas, E.; Xu, C. On the utility of coated poss-polyimides for vehicles in very low earth orbit. ACS Appl. Mater. Interfaces 2021, 13, 51673–51684. [Google Scholar] [CrossRef]
- Zhang, B.; Wu, J.; Zheng, X. Study of the surface stability of modified polyimide and the suppression method of surface flashover under dc voltage in vacuum. Trans. China Electrotech. Soc. 2019, 39, 2847–2853. [Google Scholar] [CrossRef]
- Liu, Y.; Chen, Q.; Du, X. Effect of direct fluorination on surface and electrical properties of polyimide thin films. Mater. Lett. 2018, 223, 207–209. [Google Scholar] [CrossRef]
- An, Z.; Yin, Q.; Liu, Y.; Zheng, F.; Lei, Q.; Zhang, Y. Modulation of surface electrical properties of epoxy resin insulator by changing fluorination temperature and time. IEEE Trans. Dielectr. Electr. Insul. 2015, 22, 526–534. [Google Scholar] [CrossRef]
- Wu, J.; Yang, S.; Gao, S.; Hu, A.; Liu, J.; Fan, L. Preparation, morphology and properties of nano-sized Al2O3/polyimide hybrid films. Eur. Polym. J. 2005, 41, 73–81. [Google Scholar] [CrossRef]
- Feng, Y.; Yin, J.; Chen, M.; Song, M.; Su, B.; Lei, Q. Effect ofnano-TiO2 on the polarization process of polyimide/TiO2 composites. Mater. Lett. 2013, 96, 113–116. [Google Scholar] [CrossRef]
- Deng, J.; Cao, D.; Li, L.; Chen, Y.; Zhang, G.; Yang, X. Electrospun nanofiber separator derived from nano-SiO2-modified polyimide with superior mechanical flexibility for high-performance lithium-ion battery. J. Mater. Sci. 2021, 56, 15215–15228. [Google Scholar] [CrossRef]
- Bian, L.; Liu, C. An effective model for the thermal conductivity of nanoparticle composites/polymers. Acta Mech. 2020, 4, 1639–1654. [Google Scholar] [CrossRef]
- Bhutta, M.; Akram, S.; Meng, P.; Castellon, J.; Agnel, S.; Li, H.; Guo, Y.; Rasool, G.; Hussain, S.; Nazir, M. Steady-state conduction current performance for multilayer Polyimide/Sio2 films. Polymers 2021, 13, 640. [Google Scholar] [CrossRef] [PubMed]
- Akram, S.; Castellon, J.; Agnel, S.; Zhou, K.; Habas, J.; Nazir, M. Multilayer polyimide nanocomposite films synthesis process optimization impact on nanoparticles dispersion and their dielectric performance. J. Appl. Polym. Sci. 2020, 4, 49715. [Google Scholar] [CrossRef]
- Akram, S.; Castellon, J.; Kai, Z.; Agnel, S.; Habas, J.; Nazir, M. Dielectric properties and modeling of multilayer polyimide nanocomposite to highlight the impact of nanoparticles dispersion. IEEE Trans. Dielectr. Electr. Insul. 2020, 27, 1238–1246. [Google Scholar] [CrossRef]
- Xing, Z.; Chen, W.; Li, Z.; Xue, N.; Li, F.; Dai, X.; Guo, S.; Cui, H. Study on high frequency surface discharge characteristics of Sio2 modified polyimide film. Polymers 2021, 13, 4387. [Google Scholar] [CrossRef]
- Ding, Z.; Huang, X.; Li, Q.; Guo, Y.; Lin, J. A comparative study on the high frequency creeping discharge lifetime of two kinds of functionalized siloxy-containing polyimide films. Trans. China Electrotech. Soc. 2021, 36, 2720–2729. [Google Scholar] [CrossRef]
- Wei, W.; Zhang, Y.; Liu, M.; Zhang, Y.; Yin, Y.; Wojciech, S.; Deng, P.; Zheng, C. Improving the damping properties of nanocomposites by monodispersed hybrid poss nanoparticles: Preparation and mechanisms. Polymers 2019, 11, 647. [Google Scholar] [CrossRef] [Green Version]
- Zhang, Y.; Wu, B.; Wang, H.; Wu, H.; An, Y.; Zhi, X.; Liu, J. Preparation and characterization of transparent polyimide nanocomposite films with potential applications as spacecraft antenna substrates with low dielectric features and good sustainability in atomic-oxygen environments. Nanomaterials 2021, 11, 1886. [Google Scholar] [CrossRef]
- Timothy, K.; Michael, E.; Sandra, J.; Sara, A.; Shen, L.; Amy, L.; Russell, C.; Zhang, J.; Vandana, V.; Andrew, J.; et al. Atomic Oxygen Effects on POSS Polyimides in Low Earth Orbit. ACS Appl. Mater. Interfaces 2012, 4, 492–502. [Google Scholar] [CrossRef]
- Zhang, Y.; Wu, H.; Guo, Y.; Yang, Y.; Yu, Q.; Liu, J.; Wu, B. Atomic oxygen-resistant polyimide composite films containing nanocaged polyhedral oligomeric silsesquioxane components in matrix and fillers. Nanomaterials 2021, 11, 141. [Google Scholar] [CrossRef] [PubMed]
- Guan, Y.; Sun, Y.; Shang, D. Amine-functionalized POSS cross-linked the poly(imide siloxane) block copolymers nanocomposites: Preparation, thermal properties, against atomic oxygen erosion. J. Macromol. Sci. Part A Pure Appl. Chem. 2022, 59, 241–248. [Google Scholar] [CrossRef]
- Wu, H.; Zhang, Y.; Guo, Y.; Qi, H.; An, Y.; Jia, Y.; Tan, Y.; Liu, J.; Wu, B. Preparation and properties of intrinsically atomic-oxygen resistant polyimide films containing polyhedral oligomeric silsesquioxane (poss) in the side chains. Polymers 2021, 12, 2865. [Google Scholar] [CrossRef] [PubMed]
- Lei, X.; Qiao, M.; Tian, L.; Yao, P.; Ma, Y.; Zhang, H.; Zhang, Q. Improved space survivability of polyhedral oligomeric silsesquioxane (POSS) polyimides fabricated via novel POSS-diamine. Corros. Sci. 2015, 90, 223–238. [Google Scholar] [CrossRef]
- Anderson, R.A.; Brainard, J.P. Mechanism of pulsed surface flashover involving electronstimulated desorption. J. Appl. Phys. 1980, 51, 1414–1421. [Google Scholar] [CrossRef]
- Lin, H.; Wang, R.; Xie, Q.; Zhang, S.; Shao, T. Rapid surface modification by plasma jet to promote surface charge decaying. Trans. China Electrotech. Soc. 2017, 32, 257–264. [Google Scholar] [CrossRef]
- Verker, R.; Grossman, E.; Eliaz, N. Effect of the POSS-Polyimide nanostructure on its mechanical and electrical properties. Compos. Sci. Technol. 2012, 72, 1408–1415. [Google Scholar] [CrossRef]
- Yan, J.; Liang, G.; Duan, Q.; Ruan, H.; Kang, Y.; Peng, C.; Xie, Q. Effect of plasma surface step gradient silicon deposition on flashover properties of epoxy resin. Trans. China Electrotech. Soc. 2022, 37, 211–220. [Google Scholar] [CrossRef]











| Type of Film | Monomer Content | |||
|---|---|---|---|---|
| POSS (%) | ODA/mol | PMDA/mol | ||
| Pure PI | PP0 | 0 | 0.015 | 0.0153 |
| Modified group | PP1 | 1 | 0.015 | 0.015453 |
| PP3 | 3 | 0.015 | 0.015773 | |
| PP5 | 5 | 0.015 | 0.016105 | |
| Type of Film | Thermal Properties | Tensile Properties | ||||
|---|---|---|---|---|---|---|
| T5% (°C) | Rw750 (%) | λ (W/m·k) | TS (MPa) | TM (GPa) | Eb (%) | |
| PP0 | 532 ± 1.15 | 57.2 ± 0.05 | 0.236 ± 0.0015 | 136.5 ± 1.29 | 1.85 ± 0.005 | 65.2 ± 1.01 |
| PP1 | 539 ± 1.35 | 57.4 ± 0.06 | 0.238 ± 0.0016 | 131.4 ± 1.38 | 1.84 ± 0.004 | 57.3 ± 1.08 |
| PP3 | 546 ± 1.55 | 57.9 ± 0.04 | 0.246 ± 0.0016 | 120.3 ± 1.57 | 1.84 ± 0.004 | 46.7 ± 1.04 |
| PP5 | 552 ± 1.45 | 58.4 ± 0.04 | 0.252 ± 0.0014 | 107.6 ± 1.51 | 1.83 ± 0.004 | 30.3 ± 1.03 |
Publisher’s Note: MDPI stays neutral with regard to jurisdictional claims in published maps and institutional affiliations. |
© 2022 by the authors. Licensee MDPI, Basel, Switzerland. This article is an open access article distributed under the terms and conditions of the Creative Commons Attribution (CC BY) license (https://creativecommons.org/licenses/by/4.0/).
Share and Cite
Wang, J.; Xiao, R.; Liu, R.; Ping, A.; Wang, Z.; Liu, J.; Zhang, S.; Liu, Y. DC Surface Flashover Characteristics of Polyimide Containing Polyhedral Oligomeric Silsesquioxane (POSS) in the Main Chains under Vacuum. Polymers 2022, 14, 2453. https://doi.org/10.3390/polym14122453
Wang J, Xiao R, Liu R, Ping A, Wang Z, Liu J, Zhang S, Liu Y. DC Surface Flashover Characteristics of Polyimide Containing Polyhedral Oligomeric Silsesquioxane (POSS) in the Main Chains under Vacuum. Polymers. 2022; 14(12):2453. https://doi.org/10.3390/polym14122453
Chicago/Turabian StyleWang, Jian, Ruofan Xiao, Renying Liu, An Ping, Zhe Wang, Jikui Liu, Shumin Zhang, and Yanmin Liu. 2022. "DC Surface Flashover Characteristics of Polyimide Containing Polyhedral Oligomeric Silsesquioxane (POSS) in the Main Chains under Vacuum" Polymers 14, no. 12: 2453. https://doi.org/10.3390/polym14122453
APA StyleWang, J., Xiao, R., Liu, R., Ping, A., Wang, Z., Liu, J., Zhang, S., & Liu, Y. (2022). DC Surface Flashover Characteristics of Polyimide Containing Polyhedral Oligomeric Silsesquioxane (POSS) in the Main Chains under Vacuum. Polymers, 14(12), 2453. https://doi.org/10.3390/polym14122453

