PEDOT:PSS Conductivity Enhancement through Addition of the Surfactant Tween 80
Abstract
1. Introduction
2. Materials and Methods
2.1. Materials
2.2. Solution Formation
2.3. Film Formation
2.4. Film Characterisation
2.4.1. Sheet Resistance and Conductivity Measurements
2.4.2. XRD
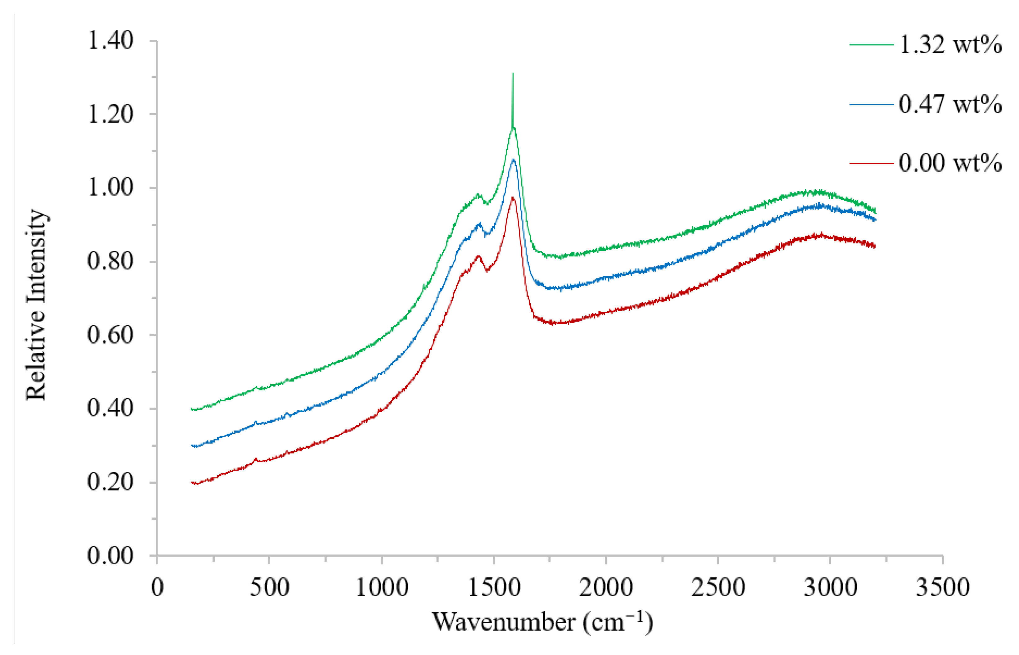
2.4.3. Raman
2.4.4. Atomic Force Microscopy
2.5. Solution Characterisation
2.5.1. Rheology
2.5.2. Surface Tension
3. Results and Discussion
3.1. Sheet Resistance and Conductivity
3.2. Microstructural Analysis
3.2.1. XRD
3.2.2. Raman
3.2.3. AFM
3.3. Solution Analysis
3.3.1. Rheology
3.3.2. Surface Tension
4. Conclusions
Author Contributions
Funding
Institutional Review Board Statement
Informed Consent Statement
Data Availability Statement
Acknowledgments
Conflicts of Interest
References
- Elschner, A.; Kirchmeyer, S.; Lövenich, W.; Merker, U.; Reuter, K. PEDOT: Principals and Applications of an Intrinsically Conductive Polymer; CRC Press: Boca Raton, FL, USA, 2011. [Google Scholar]
- Cairns, D.R.; Crawford, G.P. Electromechanical Properties of Transparent Conducting Substrates for Flexible Electronic Displays. Proc. IEEE 2005, 93, 1451–1458. [Google Scholar] [CrossRef]
- Azzopardi, B.; Emmott CJ, M.; Urbina, A.; Krebs, F.C.; Mutale, J.; Nelson, J. Economic assessment of solar electricity production from organic-based photovoltaic modules in a domestic environment. Energy Environ. Sci. 2011, 4, 3741–3753. [Google Scholar] [CrossRef]
- Søndergaard, R.; Hösel, M.; Angmo, D.; Larsen-Olsen, T.T.; Krebs, F.C. Roll-to-roll fabrication of polymer solar cells. Mater. Today 2012, 15, 36–49. [Google Scholar] [CrossRef]
- Eom, S.H.; Senthilarasu, S.; Uthirakumar, P.; Yoon, S.C.; Lim, J.; Lee, C.; Lim, H.S.; Lee, J.; Lee, S.-H. Polymer solar cells based on inkjet-printed PEDOT:PSS layer. Org. Electron. 2009, 10, 536–542. [Google Scholar] [CrossRef]
- Martin, B.D.; Nikolov, N.; Pollack, S.K.; Saprigin, A.; Shashidhar, R.; Zhang, F.; Heiney, P.A. Hydroxylated secondary dopants for surface resistance enhancement in transparent poly(3,4- ethylenedioxythiophene)– poly(styrenesulfonate) thin films. Synth. Met. 2004, 142, 187–193. [Google Scholar] [CrossRef]
- Zotti, G.; Zecchin, S.; Schiavon, G.; Louwet, F.; Groenendaal, L.; Crispin, X.; Osikowicz, W.; Salaneck, W.; Fahlman, M. Electrochemical and XPS studies toward the role of monomeric and polymeric sulfonate counterions in the synthesis, composition, and properties of poly(3,4- ethylenedioxythiophene). Macromolecules 2003, 36, 3337–3344. [Google Scholar] [CrossRef]
- Cui, J.; Wang, A.; Edleman, N.L.; Ni, J.; Lee, P.; Armstrong, N.R.; Marks, T.J. Indium Tin Oxide Alternatives—High Work Function Transparent Conducting Oxides as Anodes for Organic Light-Emitting Diodes. Adv. Mater. 2001, 13, 1476–1480. [Google Scholar] [CrossRef]
- Ouyang, J. “Secondary doping” methods to significantly enhance the conductivity of PEDOT:PSS for its application as transparent electrode of optoelectronic devices. Displays 2013, 34, 423–436. [Google Scholar] [CrossRef]
- Shi, H.; Liu, C.; Jiang, Q.; Xu, J. Effective Approaches to Improve the Electrical Conductivity of PEDOT:PSS: A Review. Adv. Electron. Mater. 2015, 1, 1–16. [Google Scholar] [CrossRef]
- Kim, N.; Kee, S.; Lee, S.H.; Lee, B.H.; Kahng, Y.H.; Jo, Y.R.; Kim, B.J.; Lee, K. Highly Conductive PEDOT:PSS Nanofibrils Induced by Solution- Processed Crystallization. Adv. Mater. 2014, 26, 2268–2272. [Google Scholar] [CrossRef] [PubMed]
- Mengistie, D.A.; Wang, P.-C.; Chu, C.-W. Effect of molecular weight of additives on the conductivity of PEDOT:PSS and efficiency for ITO-free organic solar cells. J. Mater. Chem. A 2013, 1, 9907–9915. [Google Scholar] [CrossRef]
- Zhang, S.; Kumar, P.; Nouas, A.; Fontaine, L.; Tang, H.; Cicoira, F. Solvent-induced changes in PEDOT: PSS films for organic electrochemical transistors. APL Mater. 2015, 3, 014911. [Google Scholar] [CrossRef]
- Alemu, D.; Wei, H.-Y.; Ho, K.-C.; Chu, C.-W. Highly conductive PEDOT:PSS electrode by simple film treatment with methanol for ITO-free polymer solar cells. Energy Environ. Sci. 2012, 5, 9662–9671. [Google Scholar] [CrossRef]
- Kim, Y.H.; Sachse, C.; Machala, M.L.; May, C.; Müller-Meskamp, L.; Leo, K. Highly Conductive PEDOT:PSS Electrode with Optimized Solvent and Thermal Post-Treatment for ITO-Free Organic Solar Cells. Adv. Funct. Mater. 2011, 21, 1076–1081. [Google Scholar] [CrossRef]
- Wang, X.; Kyaw AK, K.; Yin, C.; Wang, F.; Zhu, Q.; Tang, T.; Yee, P.I.; Xu, J. Enhancement of thermoelectric performance of PEDOT:PSS films by post-treatment with a superacid. RSC Adv. 2018, 8, 18334–18340. [Google Scholar] [CrossRef] [PubMed]
- Crispin, X.; Jakobsson FL, E.; Crispin, A.; Grim PC, M.; Andersson, P.; Volodin, A.; Van Haesendonck, C.; Van Der Auweraer, M.; Salaneck, W.R.; Berggren, M. The origin of the high conductivity of poly(3,4-ethylenedioxythiophene)- poly(styrenesulfonate) (PEDOT-PSS) plastic electrodes. Chem. Mater. 2006, 18, 4354–4360. [Google Scholar] [CrossRef]
- Lingstedt, L.V.; Ghittorelli, M.; Lu, H.; Koutsouras, D.A.; Marszalek, T.; Torricelli, F.; Crăciun, N.I.; Gkoupidenis, P.; Blom PW, M. Effect of DMSO Solvent Treatments on the Performance of PEDOT:PSS Based Organic Electrochemical Transistors. Adv. Electron. Mater. 2019, 5, 1800804. [Google Scholar] [CrossRef]
- Kishi, N.; Kondo, Y.; Kunieda, H.; Hibi, S.; Sawada, Y. Enhancement of thermoelectric properties of PEDOT:PSS thin films by addition of anionic surfactants. J. Mater. Sci. Mater. Electron. 2018, 29, 4030–4034. [Google Scholar] [CrossRef]
- Oh, J.Y.; Shin, M.; Lee, J.B.; Ahn, J.H.; Baik, H.K.; Jeong, U. Effect of PEDOT nanofibril networks on the conductivity, flexibility, and coatability of PEDOT:PSS films. ACS Appl. Mater. Interfaces 2014, 6, 6954–6961. [Google Scholar] [CrossRef]
- Thompson, B.T. Enhancing the Conductivity of PEDOT:PSS on Bulk Substrates. Ph.D. Thesis, University of Warwick, Coventry, UK, 2017. [Google Scholar]
- Yoon, S.S.; Khang, D. Roles of Nonionic Surfactant Additives in PEDOT:PSS Thin Films. J. Phys. Chem. C 2016, 120, 29525–29532. [Google Scholar] [CrossRef]
- Kommeren, S.; Coenen MJ, J.; Eggenhuisen, T.M.; Slaats TW, L.; Gorter, H.; Groen, P. Combining solvents and surfactants for inkjet printing PEDOT:PSS on P3HT/PCBM in organic solar cells. Org. Electron. 2018, 61, 282–288. [Google Scholar] [CrossRef]
- Hoath, S.D.; Hsiao, W.-K.; Martin, G.D.; Jung, S.; Butler, S.A.; Morrison, N.F.; Harlen, O.G.; Yang, L.S.; Bain, C.D.; Hutchings, I.M. Oscillations of aqueous PEDOT:PSS fluid droplets and the properties of complex fluids in drop-on-demand inkjet printing. J. Non-Newton. Fluid Mech. 2015, 223, 28–36. [Google Scholar] [CrossRef]
- Kopola, P.; Tuomikoski, M.; Suhonen, R.; Maaninen, A. Gravure printed organic light emitting diodes for lighting applications. Thin Solid Film. 2009, 517, 5757–5762. [Google Scholar] [CrossRef]
- Sigma-Aldrich 2015. Certificate of Analysis: Poly(3,4 ethylene dioxythiophene)-poly(styrene sulfonate). Available online: https://www.sigmaaldrich.com/GB/en/product/aldrich/739332 (accessed on 14 July 2022).
- Sigma-Aldrich 2006 Safety data sheet. Available online: https://www.sigmaaldrich.com/GB/de/sds/sial/p8074 (accessed on 14 July 2022).
- Kim, S.; Cho, S.; Lee, S.J.; Lee, G.; Kong, M.; Moon, S.; Myoung, J.-M.; Jeong, U. Boosting up the electrical performance of low-grade PEDOT:PSS by optimizing non-ionic surfactants. Nanoscale 2017, 9, 16079–16085. [Google Scholar] [CrossRef]
- Chang, S.H.; Chiang, C.-H.; Kao, F.-S.; Tien, C.-L.; Wu, C.-G. Unraveling the Enhanced Electrical Conductivity of PEDOT:PSS Thin Films for ITO-Free Organic Photovoltaics. IEEE Photonics J. 2014, 6, 1–7. [Google Scholar] [CrossRef]
- Stillhart, C.; Kuentz, M. Comparison of high-resolution ultrasonic resonator technology and Raman spectroscopy as novel process analytical tools for drug quantification in self-emulsifying drug delivery systems. J. Pharm. Biomed. Anal. 2012, 59, 29–37. [Google Scholar] [CrossRef]
- Ouyang, J.; Xu, Q.; Chu, C.-W.; Yang, Y.; Li, G.; Shinar, J. On the mechanism of conductivity enhancement in poly(3,4- ethylenedioxythiophene): Poly(styrene sulfonate) film through solvent treatment. Polymer 2004, 45, 8443–8450. [Google Scholar] [CrossRef]
- Ouyang, J.; Chu, C.W.; Chen, F.C.; Xu, Q.; Yang, Y. High-Conductivity Poly(3,4-ethylenedioxythiophene):Poly(styrene sulfonate) Film and Its Application in Polymer Optoelectronic Devices. Adv. Funct. Mater. 2005, 15, 203–208. [Google Scholar] [CrossRef]
- Timpanaro, S.; Kemerink, M.; Touwslager, F.J.; De Kok, M.M.; Schrader, S. Morphology and conductivity of PEDOT/PSS films studied by scanning–tunneling microscopy. Chem. Phys. Lett. 2004, 394, 339–343. [Google Scholar] [CrossRef]
- Kim, J.Y.; Jung, J.H.; Lee, D.E.; Joo, J. Enhancement of electrical conductivity of poly(3,4-ethylenedioxythiophene)/poly(4-styrenesulfonate) by a change of solvents. Synth. Met. 2002, 126, 311–316. [Google Scholar] [CrossRef]
- Shahrim NA, A.; Ahmad, Z.; Wong Azman, A.; Fachmi Buys, Y.; Sarifuddin, N. Mechanisms for doped PEDOT:PSS electrical conductivity improvement. Mater. Adv. 2021, 2, 7118–7138. [Google Scholar] [CrossRef]
- Setti, L.; Fraleoni-Morgera, A.; Ballarin, B.; Filippini, A.; Frascaro, D.; Piana, C. An amperometric glucose biosensor prototype fabricated by thermal inkjet printing. Biosens. Bioelectron. 2005, 20, 2019–2026. [Google Scholar] [CrossRef] [PubMed]
- Kopola, P. High efficient plastic solar cells fabricated with a high-throughput gravure printing method. Sol. Energy Mater. Sol. Cells 2010, 94, 1673–1681. [Google Scholar] [CrossRef]








| Additive | Concentration (%) | Conductivity Change (S cm−1) | Transparency | Ref. |
|---|---|---|---|---|
| 2,2′-thiodiethanol (TDE) | 5 | 15 to 98 | 84% | [6] |
| Diethylene glycol (DEG) | 0.3 | 0.006 to 10 | Yes | [17] |
| DMSO | 5 | 0.69 to 898 | NR | [16] |
| 10 | 2.5 to 1233 | NR | [18] | |
| Dodecylbenzene sulphonic acid (DBSA) | 2 | 1 to 500 | NR | [13] |
| EG | 6 | 0.3 to 640 | ~93% | [12] |
| 6 | 1 to 735 | No change | [15] | |
| Glycerol | 5 | 15 to 57 | 81% | [6] |
| 6 | 0.782 to 152 | NR | [5] | |
| N-methyl-2-pyrrolidone (NMP) | 20 | 0.03 to 30 | NR | [7] |
| PEG (Mw 200, 300 and 400) | 2 | 0.3 to 805 | 93% | [12] |
| Sodium dodecylbenzene sulphate (SDBS) | 10 | 0.61 to 224 | NR | [19] |
| Sodium dodecyl sulphate (SDS) | 10 | 0.61 to 70 | NR | [19] |
| Triton X-100 | 1 | 0.24 to 100 | 96% | [20] |
| Tween 80 (wt%) | Thickness (µm) | Sheet Resistance (Ω□−1) | Conductivity (S cm−1) |
|---|---|---|---|
| 0.00 | 2.31 | 1639.49 | 2.64 |
| 0.00 | 2.08 | 1096.41 | 4.39 |
| 0.00 | 2.40 | 1334.68 | 3.12 |
| 0.00 | - | 715.67 | - |
| 0.34 | 4.18 | 637.85 | 3.75 |
| 0.37 | - | 429.53 | - |
| 0.44 | 3.28 | 757.14 | 4.02 |
| 0.47 | - | 597.84 | - |
| 0.49 | 2.27 | 1074.19 | 4.11 |
| 0.49 | 2.78 | 1120.75 | 3.21 |
| 0.53 | 3.08 | 955.35 | 3.39 |
| 0.53 | - | 736.25 | - |
| 0.85 | 5.11 | 121.96 | 16.04 |
| 0.93 | - | 125.08 | - |
| 0.95 | 3.43 | 142.38 | 20.46 |
| 0.95 | - | 136.58 | - |
| 1.17 | 5.11 | 104.47 | 18.75 |
| 1.29 | - | 99.57 | - |
| 1.32 | - | 104.37 | - |
| 1.40 | 3.34 | 111.84 | 26.80 |
| 1.40 | 4.57 | 123.75 | 17.68 |
| 1.57 | 5.53 | 87.15 | 20.75 |
| 2.05 | 6.42 | 98.72 | 15.77 |
| 2.05 | - | 89.11 | - |
| 2.10 | 7.25 | 77.97 | 17.69 |
| 2.27 | - | 78.40 | - |
| 2.50 | - | 74.24 | - |
| 2.63 | 8.00 | 83.73 | 14.93 |
| 2.63 | - | 69.36 | - |
| 2.67 | 6.70 | 79.29 | 18.84 |
| 2.67 | 6.77 | 72.33 | 20.41 |
| Tween 80 (wt%) | Viscosity (Pa.s) | Surface Tension (mNm−1) |
|---|---|---|
| 0 | 0.136 | 30.61 |
| 0.37 | 0.262 | 30.12 |
| 0.47 | 0.310 | 36.82 |
| 0.93 | 0.579 | 16.52 |
| 1.29 | 0.515 | 26.57 |
| 1.32 | 0.514 | 18.81 |
| 2.27 | 0.376 | 28.22 |
| 2.50 | 0.281 | 32.72 |
Publisher’s Note: MDPI stays neutral with regard to jurisdictional claims in published maps and institutional affiliations. |
© 2022 by the authors. Licensee MDPI, Basel, Switzerland. This article is an open access article distributed under the terms and conditions of the Creative Commons Attribution (CC BY) license (https://creativecommons.org/licenses/by/4.0/).
Share and Cite
Carter, J.L.; Kelly, C.A.; Marshall, J.E.; Hammond, V.; Goodship, V.; Jenkins, M.J. PEDOT:PSS Conductivity Enhancement through Addition of the Surfactant Tween 80. Polymers 2022, 14, 5072. https://doi.org/10.3390/polym14235072
Carter JL, Kelly CA, Marshall JE, Hammond V, Goodship V, Jenkins MJ. PEDOT:PSS Conductivity Enhancement through Addition of the Surfactant Tween 80. Polymers. 2022; 14(23):5072. https://doi.org/10.3390/polym14235072
Chicago/Turabian StyleCarter, Joseph L., Catherine A. Kelly, Jean E. Marshall, Vicki Hammond, Vannessa Goodship, and Mike J. Jenkins. 2022. "PEDOT:PSS Conductivity Enhancement through Addition of the Surfactant Tween 80" Polymers 14, no. 23: 5072. https://doi.org/10.3390/polym14235072
APA StyleCarter, J. L., Kelly, C. A., Marshall, J. E., Hammond, V., Goodship, V., & Jenkins, M. J. (2022). PEDOT:PSS Conductivity Enhancement through Addition of the Surfactant Tween 80. Polymers, 14(23), 5072. https://doi.org/10.3390/polym14235072

