Polymeric Materials Based on Carbon Dioxide: A Brief Review of Studies Carried Out at the Faculty of Chemistry, Warsaw University of Technology
Abstract
1. Introduction
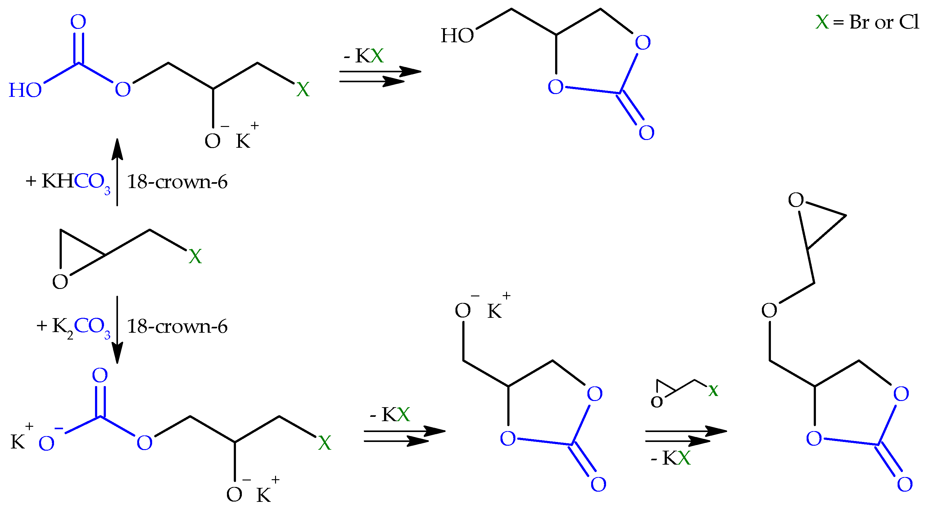
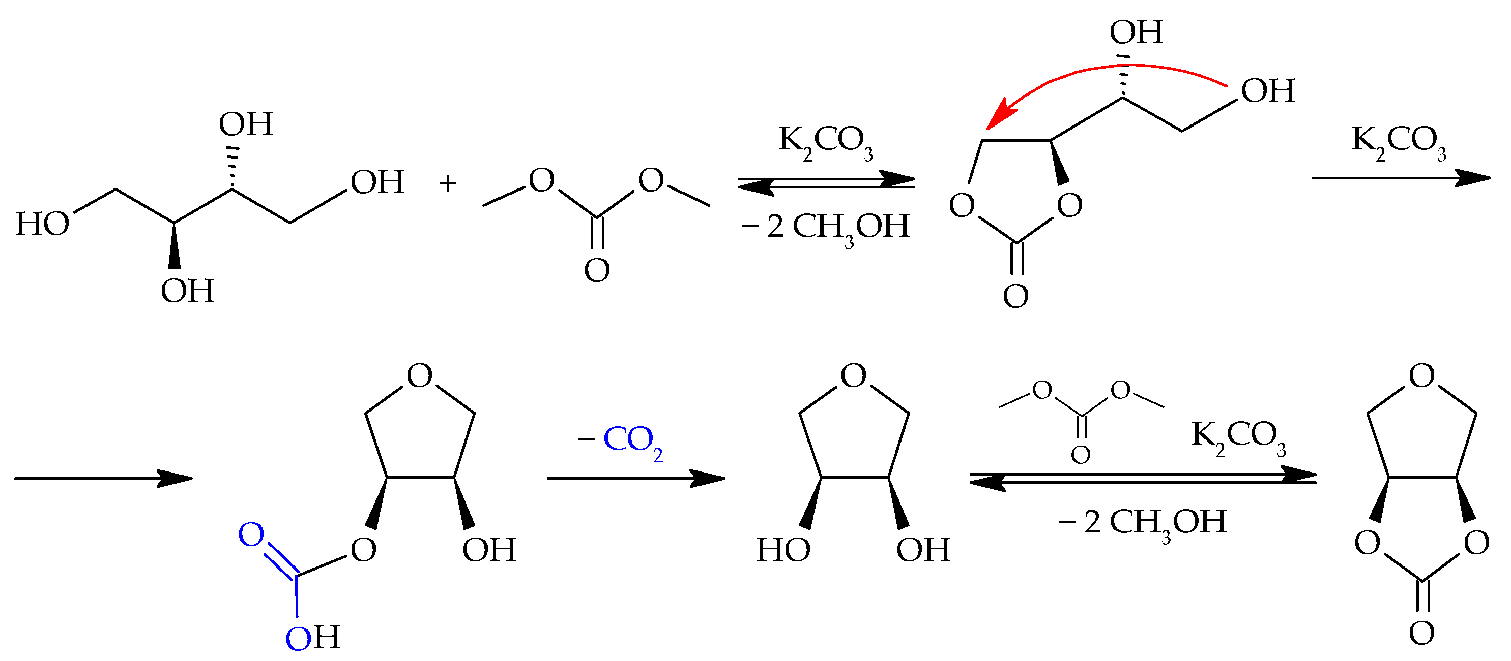
2. Synthesis of Five-Membered Cyclic Carbonates
3. Oligocarbonate and Co-Oligocarbonate Diols as Semiproducts in the Synthesis of Various Polymeric Materials
3.1. Poly(ester-carbonate)s
3.2. Poly(carbonate-urea-urethane)s
3.3. Poly(carbonate-urea-urethane)s Showing a Shape-Memory Effect (SME)
3.4. Poly(urea-urethane)s Derived from Oligo(ester-carbonate) Diols (PECUUs)
3.5. Poly(carbonate-siloxane-urethane)s
4. Non-Isocyanate Polyurethanes (NIPUs)
- polycondensation, e.g., transurethanization;
- step-growth polyaddition, e.g., synthesis of poly(hydroxy-urethanes) (PHUs).
4.1. Non-Isocyanate Polyurethanes Obtained via Transurethanization
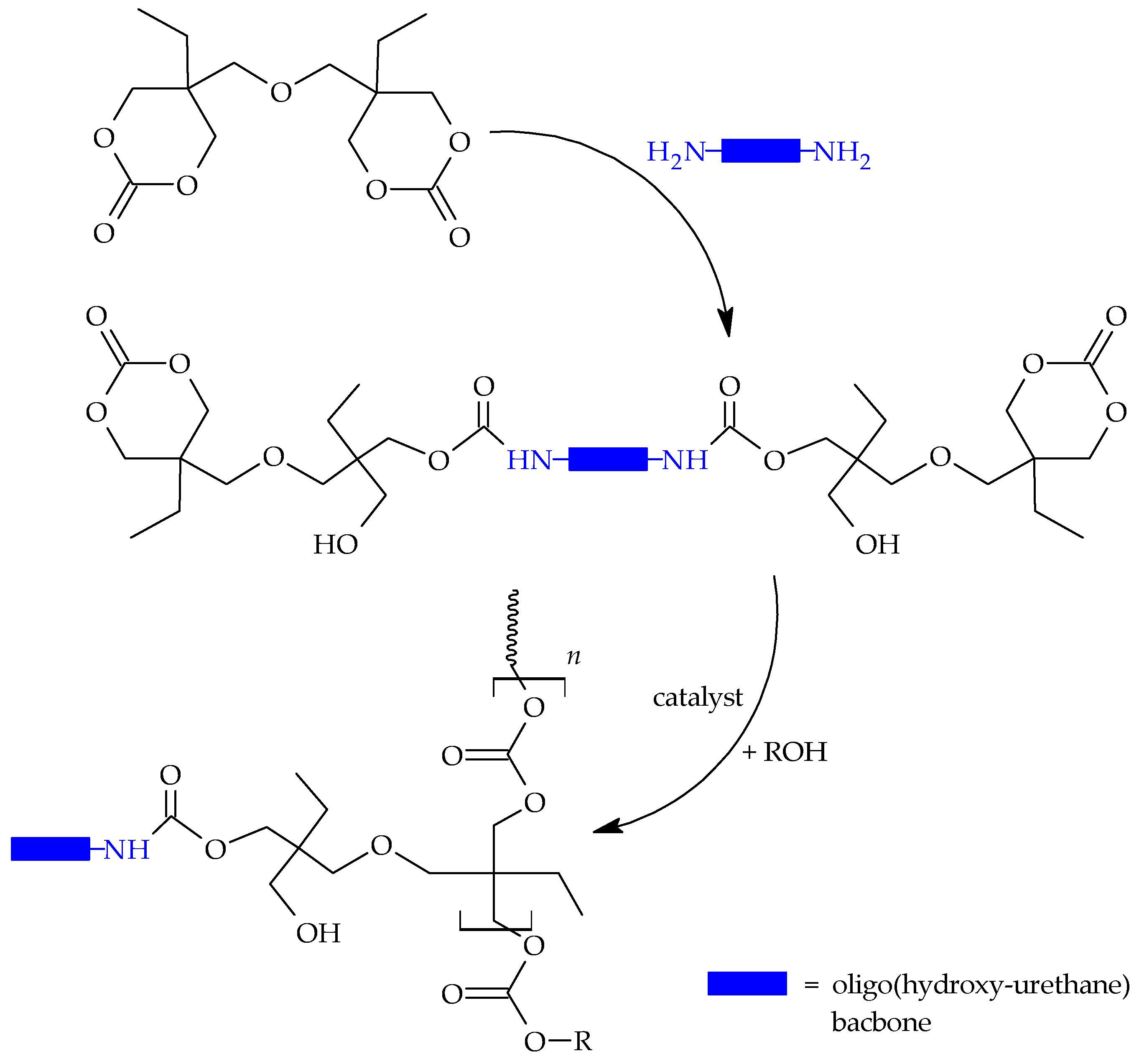
4.2. Non-Isocyanate Poly(hydroxy-urethane)s Obtained from Bis- and Multi(cyclic carbonate)s
4.3. Poly(hydroxy-urethane)s Based on Five- and Six-Membered Bis(cyclic carbonate)s
5. Hyperbranched Polymers (HBPs)
5.1. Hyperbranched Polyethers from Renewable Resources
5.2. Hyperbranched Polyesters and Polycarbonates
5.3. Solubility of HBP in Supercritical Carbon Dioxide (scCO2)
6. Reversible Carbon Dioxide Capture
7. Conclusions
Author Contributions
Funding
Institutional Review Board Statement
Informed Consent Statement
Data Availability Statement
Conflicts of Interest
References
- Porejko, S. Kazimierz Smoleński (1876–1943). Przemysł Chemiczny 1958, 37, 282–287. [Google Scholar]
- Ciechanowicz, L. From erythrene to Ker rubber. A chapter in the history of the Polish synthetic rubber. Elastomery 1999, 3, 3–12. [Google Scholar]
- Inoue, S.; Koinuma, H.; Tsuruta, T. Copolymerization of carbon dioxide and epoxide. J. Polym. Sci. Part B Polym. Lett. 1969, 7, 287–292. [Google Scholar] [CrossRef]
- Inoue, S.; Koinuma, H.; Tsuruta, T. Copolymerization of carbon dioxide and epoxide with organometallic compounds. Makromol. Chem. 1969, 130, 210–220. [Google Scholar] [CrossRef]
- Rokicki, A.; Kuran, W. Copolymerization of carbon dioxide with propylene oxide in the presence of catalysts based on alkylmetal compounds and pyrogallol. Makromol. Chem. 1979, 180, 2153–2161. [Google Scholar] [CrossRef]
- Górecki, P.; Kuran, W. Diethylzinc–trihydric phenol catalysts for copolymerization of carbon dioxide and propylene oxide: Activity in copolymerization and copolymer destruction processes. J. Polym. Sci. Polym. Lett. 1985, 23, 299–304. [Google Scholar] [CrossRef]
- Kuran, W.; Pasynkiewicz, S.; Skupińska, J.; Rokicki, A. Alternating copolymerization of carbon dioxide and propylene oxide in the presence of organometallic catalysts. Makromol. Chem. 1976, 177, 11–20. [Google Scholar] [CrossRef]
- Kawachi, H.; Minami, S.; Armour, J.N.; Rokicki, A.; Stein, B.K. Process for Preparing a Zinc-Containing Solid Catalyst and Process for Preparing Polyalkylene Carbonate. EP Patent 0358326B1, 27 December 1996. [Google Scholar]
- Coates, G.W.; Moore, D.R. Discrete Metal-Based Catalysts for the Copolymerization of CO2 and Epoxides: Discovery, reactivity, optimization, and mechanism. Angew. Chem. Int. Ed. 2004, 43, 6618–6639. [Google Scholar] [CrossRef]
- Darensbourg, D.J.; Wilson, S.J. What’s new with CO2? Recent advances in its copolymerization with oxiranes. Green Chem. 2012, 14, 2665–2671. [Google Scholar] [CrossRef]
- Trott, G.; Saini, P.K.; Williams, C.K. Catalysts for CO2/epoxide ring-opening copolymerization. Phil. Trans. R. Soc. A 2016, 374, 20150085. [Google Scholar] [CrossRef]
- Vogdanis, L.; Martens, B.; Uchtmann, H.; Hensel, F.; Heitz, W. Synthetic and thermodynamic investigations in the polymerization of ethylene carbonate. Makromol. Chem. 1990, 191, 465–472. [Google Scholar] [CrossRef]
- Rokicki, G. Aliphatic cyclic carbonates and spiroorthocarbonates as monomers. Prog. Polym. Sci. 2000, 25, 259–342. [Google Scholar] [CrossRef]
- Plichta, A.; Florjańczyk, Z.; Kundys, A.; Frydrych, A.; Dębowski, M.; Langwald, N. On the copolymerization of monomers from renewable resources: L-lactide and ethylene carbonate in the presence of metal alkoxides. Pure Appl. Chem. 2014, 86, 733–745. [Google Scholar] [CrossRef]
- Schmitz, F.; Keul, H.; Höcker, H. Alternating copolymers of tetramethylene urea with 2,2-dimethyltrimethylene carbonate and ethylene carbonate; preparation of the corresponding polyurethanes. Macromol. Rapid Commun. 1997, 18, 699–706. [Google Scholar] [CrossRef]
- Rokicki, G.; Nguyen, T.X. Epoxy resin—Cyclic carbonate oligomer compositions cured with BF3·Et2O. Polym. Polym. Compos. 1996, 4, 45–51. [Google Scholar]
- Parzuchowski, P.G.; Jurczyk-Kowalska, M.; Ryszkowska, J.; Rokicki, G. Epoxy resin modified with soybean oil containing cyclic carbonate groups. J. Appl. Polym. Sci. 2006, 102, 2904–2914. [Google Scholar] [CrossRef]
- Rokicki, G.; Kuran, W.; Pogorzelska-Marciniak, B. Cyclic carbonates from carbon dioxide and oxiranes. Monatsh. Chem. 1984, 115, 205–214. [Google Scholar] [CrossRef]
- Rokicki, G.; Wojciechowski, C. Epoxy resin modified by aliphatic cyclic carbonates. J. Appl. Polym. Sci. 1990, 41, 647–659. [Google Scholar] [CrossRef]
- Rokicki, G.; Rakoczy, P.; Parzuchowski, P.; Sobiecki, M. Hyperbranched aliphatic polyethers obtained from environmentally benign monomer: Glycerol carbonate. Green Chem. 2005, 7, 529–539. [Google Scholar] [CrossRef]
- Pawłowski, P.; Rokicki, G. Synthesis of oligocarbonate diols from ethylene carbonate and aliphatic diols catalyzed by alkali metal salts. Polymer 2004, 45, 3125–3137. [Google Scholar] [CrossRef]
- Tomczyk, K.M.; Parzuchowski, P.G.; Rokicki, G. Oligocarbonate diols from ethylene carbonate—Optimization of the synthesis process. J. Appl. Polym. Sci. 2011, 120, 683–691. [Google Scholar] [CrossRef]
- Mazurek, M.M.; Parzuchowski, P.G.; Rokicki, G. Propylene carbonate as a source of carbonate units in the synthesis of elastomeric poly(carbonate-urethane)s and poly(ester-carbonate-urethane)s. J. Appl. Polym. Sci. 2014, 131, 39764. [Google Scholar] [CrossRef]
- Tomczyk, K.M.; Parzuchowski, P.G.; Kozakiewicz, J.; Przybylski, J.; Rokicki, G. Synthesis of oligocarbonate diols from a “green monomer”—Dimethyl carbonate—As soft segments for poly(urethane-urea) elastomers. Polimery 2010, 55, 366–372. [Google Scholar] [CrossRef]
- Mazurek, M.M.; Bruliński, T.; Tomczyk, K.; Parzuchowski, P.; Florjańczyk, Z.; Plichta, A.; Rokicki, G. Aliphatic-aromatic poly(ester-carbonate)s obtained from simple carbonate esters, α, ω-aliphatic diols and dimethyl terephthalate. J. Polym. Res. 2015, 22, 34. [Google Scholar] [CrossRef]
- Mazurek, M.M.; Tomczyk, K.; Auguścik, M.; Ryszkowska, J.; Rokicki, G. Influence of the soft segment length on the properties of water-cured poly(carbonate-urethane-urea)s. Polym. Adv. Technol. 2015, 26, 57–67. [Google Scholar] [CrossRef]
- Mazurek-Budzyńska, M.; Behl, M.; Muhammad, Y.R.; Nöchel, U.; Rokicki, G.; Lendlein, A. Hydrolytic stability of aliphatic poly(carbonate-urea-urethane)s: Influence of hydrocarbon chain length in soft segment. Polym. Degrad. Stab. 2019, 161, 283–297. [Google Scholar] [CrossRef]
- Mazurek-Budzyńska, M.; Razzaq, M.Y.; Tomczyk, K.; Rokicki, G.; Behl, M.; Lendlein, A. Poly(carbonate-urea-urethane) networks exhibiting high-strain shape-memory effect. Polym. Adv. Technol. 2017, 28, 1285–1293. [Google Scholar] [CrossRef]
- Mazurek-Budzyńska, M.; Razzaq, M.Y.; Rokicki, G.; Behl, M.; Lendlein, A. High-strain shape-memory properties of poly(carbonate-urea-urethane)s based on aliphatic oligocarbonates and L-lysine diisocyanate. MRS Adv. 2017, 2, 2529–2536. [Google Scholar] [CrossRef]
- Mazurek-Budzyńska, M.; Behl, M.; Neumann, R.; Lendlein, A. 4D-actuators by 3D-printing combined with water-based curing. Mater. Today Commun. 2022, 30, 102966. [Google Scholar] [CrossRef]
- Amsden, B. In vivo degradation mechanisms of aliphatic polycarbonates and functionalized aliphatic polycarbonates. Macromol. Biosci. 2021, 21, 2100085. [Google Scholar] [CrossRef]
- Schollenberger, C.S.; Stewart, F.D. Thermoplastic polyurethane hydrolysis stability. Angew. Makromol. Chem. 1973, 29, 413–430. [Google Scholar] [CrossRef]
- Mazurek, M.; Rokicki, G. Investigations on the synthesis and properties of biodegradable poly(ester-carbonate-urea-urethane)s. Pol. J. Chem. Technol. 2013, 15, 80–88. [Google Scholar] [CrossRef]
- Spontón, M.; Casis, N.; Mazo, P.; Raud, B.; Simonetta, A.; Rios, L.; Estenoz, D. Biodegradation study by Pseudomonas sp. of flexible polyurethane foams derived from castor oil. Int. Biodeterior. Biodegrad. 2013, 85, 85–94. [Google Scholar] [CrossRef]
- Shah, A.A.; Hasan, F.; Akhter, J.I.; Hameed, A.; Ahmed, S. Degradation of polyurethane by novel bacterial consortium isolated from soil. Ann. Microbiol. 2008, 58, 381–386. [Google Scholar] [CrossRef]
- Kratz, K.; Habermann, R.; Becker, T.; Richau, K.; Lendlein, A. Shape-memory properties and degradation behavior of multifunctional electro-spun scaffolds. Int. J. Artif. Organs 2011, 34, 225–230. [Google Scholar] [CrossRef]
- Mystkowska, J.; Mazurek-Budzyńska, M.; Piktel, E.; Niemirowicz, K.; Karalus, W.; Deptuła, P.; Pogoda, K.; Łysik, D.; Dąbrowski, J.R.; Rokicki, G.; et al. Assessment of aliphatic poly(ester-carbonate-urea-urethane)s potential as materials for biomedical application. J. Polym. Res. 2017, 24, 144. [Google Scholar] [CrossRef]
- Sikorska, W.; Wasyłeczko, M.; Przytulska, M.; Wojciechowski, C.; Rokicki, G.; Chwojnowski, A. Chemical degradation of PSF-PUR blend hollow fiber membranes—Assessment of changes in properties and morphology after hydrolysis. Membranes 2021, 11, 51. [Google Scholar] [CrossRef]
- Wojciechowski, C.; Chwojnowski, A.; Granicka, L.; Łukowska, E.; Grzeczkowicz, M. Polysulfone/polyurethane blend degradable hollow fiber membranes preparation and transport—Separation properties evaluation. Desalin. Water Treat. 2016, 57, 22191–22199. [Google Scholar] [CrossRef]
- Sikorska, W.; Wojciechowski, C.; Przytulska, M.; Rokicki, G.; Wasyleczko, M.; Kulikowski, J.L.; Chwojnowski, A. Polysulfone-polyurethane (PSf-PUR) blend partly degradable hollow fiber membranes: Preparation, characterization and computer image analysis. Desalin. Water Treat. 2018, 128, 383–391. [Google Scholar] [CrossRef]
- Mazurek, M.M.; Tomczyk, K.; Rokicki, G. PET wastes utilization in the synthesis of aliphatic–aromatic polyurethane elastomers. Polym. Adv. Technol. 2014, 25, 1273–1284. [Google Scholar] [CrossRef]
- Kozakiewicz, J.; Rokicki, G.; Przybylski, J.; Pawłowski, P. Water-cured poly(urethane-urea)s containing soft segments originating from siloxane/carbonate macrodiols. Polimery 2012, 57, 791–798. [Google Scholar] [CrossRef]
- Dyer, E.; Scott, H. The preparation of polymeric and cyclic urethans and ureas from ethylene carbonate and amines. J. Am. Chem. Soc. 1957, 79, 672–675. [Google Scholar] [CrossRef]
- Rokicki, G.; Piotrowska, A. A new route to polyurethanes from ethylene carbonate, diamines and diols. Polymer 2002, 43, 2927–2935. [Google Scholar] [CrossRef]
- Wołosz, D.; Parzuchowski, P.G.; Świderska, A. Synthesis and characterization of the non-isocyanate poly(carbonate-urethane)s obtained via polycondensation route. Eur. Polym. J. 2021, 155, 110574. [Google Scholar] [CrossRef]
- Groszos, S.J.; Drechsel, E.K. Method of Preparing a Polyurethane. U.S. Patent 2,802,022, 6 August 1957. [Google Scholar]
- Parzuchowski, P.G.; Kiźlińska, M.; Rokicki, G. New hyperbranched polyether containing cyclic carbonate groups as a toughening agent for epoxy resin. Polymer 2007, 48, 1857–1865. [Google Scholar] [CrossRef]
- Rokicki, G. Cyclic dicarbonates as new monomers for the synthesis of poly(hydroxy ether)s. Macromol. Chem. Phys. 1985, 186, 331–337. [Google Scholar] [CrossRef]
- Świderska, A.; Parzuchowski, P.G.; Żurowski, R.; Więcław-Midor, A.; Wołosz, D. Energy dissipating poly(hydroxyurethane) elastomers—Synthesis, characterization and comparison with shear thickening fluid materials. Polymer 2021, 230, 124084. [Google Scholar] [CrossRef]
- Biernat, M.; Rokicki, G.; Szafran, M.; Cwalinska, A. Research on the synthesis and properties of multifunctional urethane-methacrylic monomers for dental composition. Eng. Biomater. 2007, 67–68, 9–11. [Google Scholar]
- Cwalinska, A.; Szafran, M.; Rokicki, G.; Biernat, M. Ceramic-polymer composites for dental application. Eng. Biomater. 2007, 69–72, 69–73. [Google Scholar]
- Tomczyk, K.M.; Guńka, P.A.; Parzuchowski, P.G.; Zachara, J.; Rokicki, G. Intramolecular etherification of five-membered cyclic carbonates bearing hydroxyalkyl groups. Green Chem. 2012, 14, 1749–1758. [Google Scholar] [CrossRef]
- Mazurek-Budzyńska, M.; Rokicki, G.; Drzewicz, M.; Guńka, P.A.; Zachara, J. Bis(cyclic carbonate) based on d-mannitol, d-sorbitol and di(trimethylolpropane) in the synthesis of non-isocyanate poly(carbonate-urethane)s. Eur. Polym. J. 2016, 84, 799–811. [Google Scholar] [CrossRef]
- Coury, A.J.; Hobot, C.M. Method for Producing Polyurethanes from Poly-(Hydroxyalkyl Urethanes). U.S. Patent 5,001,210, 19 March 1991. [Google Scholar]
- Blank, W.J. Certain Hydroxyalkyl Carbamates, Polymers and Uses Thereof. U.S. Patent 4,820,830, 11 April 1989. [Google Scholar]
- Pawłowski, P.; Szymański, A.; Kozakiewicz, J.; Przybylski, J.; Rokicki, G. Poly(urethane-urea)s based on oligocarbonatediols comprising bis(carbamate)alkanes. Polym. J. 2005, 37, 742–753. [Google Scholar] [CrossRef][Green Version]
- Parzuchowski, P.G.; Świderska, A.; Roguszewska, M.; Frączkowski, T.; Tryznowski, M. Amine functionalized polyglycerols obtained by copolymerization of cyclic carbonate monomers. Polymer 2018, 151, 250–260. [Google Scholar] [CrossRef]
- Rokicki, G.; Parzuchowski, P.G.; Maciejewski, D.; Rzytki, P. Hyperbranched poly(hydroxyethers) from bicyclic carbonate with phenol group. Polimery 2007, 52, 648–657. [Google Scholar] [CrossRef]
- Tomasik, A.K.; Biernat, M.; Parzuchowski, P.G. Hyperbranched multimethacrylate resins of low viscosity and low oxygen inhibition for dental applications. Polimery 2010, 55, 284–292. [Google Scholar] [CrossRef]
- Tryznowski, M.; Żołek-Tryznowska, Z.; Świderska, A.; Parzuchowski, P.G. Synthesis, characterization and reactivity of a six-membered cyclic glycerol carbonate bearing a free hydroxyl group. Green Chem. 2016, 18, 802–807. [Google Scholar] [CrossRef]
- Parzuchowski, P.G.; Jaroch, M.; Tryznowski, M.; Rokicki, G. Synthesis of new glycerol-based hyperbranched polycarbonates. Macromolecules 2008, 41, 3859–3865. [Google Scholar] [CrossRef]
- Tryznowski, M.; Tomczyk, K.; Fraś, Z.; Gregorowicz, J.; Rokicki, G.; Wawrzyńska, E.; Parzuchowski, P.G. Aliphatic hyperbranched polycarbonates: Synthesis, characterization, and solubility in supercritical carbon dioxide. Macromolecules 2012, 45, 6819–6829. [Google Scholar] [CrossRef]
- Parzuchowski, P.G.; Grabowska, M.; Tryznowski, M.; Rokicki, G. Synthesis of glycerol based hyperbranched polyesters with primary hydroxyl groups. Macromolecules 2006, 39, 7181–7186. [Google Scholar] [CrossRef]
- Wolf, F.K.; Frey, H. Inimer-promoted synthesis of branched and hyperbranched polylactide copolymers. Macromolecules 2009, 42, 9443–9456. [Google Scholar] [CrossRef]
- Parzuchowski, P.G.; Grabowska, M.; Jaroch, M.; Kusznerczuk, M. Synthesis and characterization of hyperbranched polyesters from glycerol-based AB2 monomer. J. Polym. Sci. A Polym. Chem. 2009, 47, 3860–3868. [Google Scholar] [CrossRef]
- Gregorowicz, J.; Fras, Z.; Parzuchowski, P.; Rokicki, G.; Kusznerczuk, M.; Dziewulski, S. Phase behaviour of hyperbranched polyesters and polyethers with modified terminal OH groups in supercritical solvents. J. Supercrit. Fluids 2010, 55, 786–796. [Google Scholar] [CrossRef]
- Gregorowicz, J.; Wawrzyńska, E.P.; Parzuchowski, P.G.; Fraś, Z.; Rokicki, G.; Wojciechowski, K.; Wieczorek, S.A.; Wiśniewska, A.; Plichta, A.; Dąbrowski, K.; et al. Synthesis, characterization, and solubility in supercritical carbon dioxide of hyperbranched copolyesters. Macromolecules 2013, 46, 7180–7195. [Google Scholar] [CrossRef]
- Parzuchowski, P.G.; Gregorowicz, J.; Fraś, Z.; Wawrzyńska, E.P.; Brudzyńska, E.; Rokicki, G. Hyperbranched poly(ether-siloxane) amphiphiles of surprisingly high solubility in supercritical carbon dioxide. J. Supercrit. Fluids 2014, 95, 222–227. [Google Scholar] [CrossRef]
- Parzuchowski, P.G.; Świderska, A.; Roguszewska, M.; Rolińska, K.; Wołosz, D.; Mamiński, M. Hyperbranched poly(ether-siloxane)s containing ammonium groups: Synthesis, characterization and catalytic activity. Polymers 2020, 12, 856. [Google Scholar] [CrossRef]
- Parzuchowski, P.G.; Stefańska, M.; Świderska, A.; Roguszewska, M.; Zybert, M. Hyperbranched polyglycerols containing amine groups—Synthesis, characterization and carbon dioxide capture. J. CO2 Util. 2018, 27, 145–160. [Google Scholar] [CrossRef]
- Trends in Atmospheric Carbon Dioxide. Available online: https://gml.noaa.gov/ccgg/trends/ (accessed on 18 December 2021).
- Pardakhti, M.; Jafari, T.; Tobin, Z.; Dutta, B.; Moharreri, E.; Shemshaki, N.S.; Suib, S.; Srivastava, R. Trends in solid adsorbent materials development for CO2 capture. ACS Appl. Mater. Interfaces 2019, 11, 34533–34559. [Google Scholar] [CrossRef]
- Gargiulo, N.; Pepe, F.; Caputo, D. CO2 adsorption by functionalized nanoporous materials: A review. J. Nanosci. Nanotechnol. 2014, 14, 1811–1822. [Google Scholar] [CrossRef]
- Ghanbari, T.; Abnisa, F.; Daud, W.M.A.W. A review on production of metal organic frameworks (MOF) for CO2 adsorption. Sci. Total Environ. 2020, 707, 135090. [Google Scholar] [CrossRef]
- Chen, Y.; Mu, T. Conversion of CO2 to value-added products mediated by ionic liquids. Green Chem. 2019, 21, 2544–2574. [Google Scholar] [CrossRef]
- Zhang, N.; Pan, Z.; Zhang, Z.; Zhang, W.; Zhang, L.; Baena-Moreno, F.M.; Lichtfouse, E. CO2 capture from coalbed methane using membranes: A review. Environ. Chem. Lett. 2020, 18, 79–96. [Google Scholar] [CrossRef]
- Parzuchowski, P.G.; Mazurek, M.; Świderska, A.; Roguszewska, M.; Rolińska, K.; Wołosz, D. Preparation and long term stability studies of carbon dioxide adsorbents based on hyperbranched polymers. Polimery 2020, 65, 174–183. [Google Scholar] [CrossRef]
- Parzuchowski, P.G.; Świderska, A.; Roguszewska, M.; Rolińska, K.; Wołosz, D. Moisture- and temperature-responsive polyglycerol-based carbon dioxide sorbents—The insight into the absorption mechanism for the hydrophilic polymer. Energy Fuels 2020, 34, 12822–12832. [Google Scholar] [CrossRef]
- He, H.; Li, W.; Zhong, M.; Konkolewicz, D.; Wu, D.; Yaccato, K.; Rappold, T.; Sugar, G.; David, N.E.; Matyjaszewski, K. Reversible CO2 capture with porous polymers using the humidity swing. Energy Environ. Sci. 2013, 6, 488–493. [Google Scholar] [CrossRef]
- Yang, H.; Singh, M.; Schaefer, J. Humidity-swing mechanism for CO2 capture from ambient air. Chem. Commun. 2018, 54, 4915–4918. [Google Scholar] [CrossRef]
- Han, Y.; Zhu, L.; Yao, Y.; Shi, X.; Zhang, Y.; Xiao, H.; Chen, X. Strong bases behave as weak bases in nanoscale chemical environments: Implication in humidity-swing CO2 air capture. Phys. Chem. Chem. Phys. 2021, 23, 14811–14817. [Google Scholar] [CrossRef]
- Zhang, H.; Goeppert, A.; Olah, G.A.; Prakash, G.K.S. Remarkable effect of moisture on the CO2 adsorption of nano-silica supported linear and branched polyethylenimine. J. CO2 Util. 2017, 19, 91–99. [Google Scholar] [CrossRef]
- Goeppert, A.; Zhang, H.; Czaun, M.; May, R.B.; Prakash, G.K.S.; Olah, G.A.; Narayanan, S.R. Easily regenerable solid adsorbents based on polyamines for carbon dioxide capture from the air. ChemSusChem 2014, 7, 1386–1397. [Google Scholar] [CrossRef]
- Cao, H.; Wang, X. Carbon dioxide copolymers: Emerging sustainable materials for versatile applications. SusMat 2021, 1, 88–104. [Google Scholar] [CrossRef]
- Pescarmona, P.P. Cyclic carbonates synthesised from CO2: Applications, challenges and recent research trends. Curr. Opin. Green Sustain. Chem. 2021, 29, 100457. [Google Scholar] [CrossRef]
- Bragato, N.; Fiorani, G. Cyclic organic carbonates from furanics: Opportunities and challenges. Curr. Opin. Green Sustain. Chem. 2021, 30, 100479. [Google Scholar] [CrossRef]
- Martínez, J.; de la Cruz-Martínez, F.; Martínez de Sarasa Buchaca, M.; Caballero, M.P.; Ojeda-Amador, R.M.; Salvador, M.D.; Fregapane, G.; Tejeda, J.; Castro-Osma, J.A.; Lara-Sánchez, A. Valorization of agricultural waste and CO2 into bioderived cyclic carbonates. J. Environ. Chem. Eng. 2021, 9, 105464. [Google Scholar] [CrossRef]
- Liu, Q.; Wu, L.; Jackstell, R.; Beller, M. Using carbon dioxide as a building block in organic synthesis. Nat. Commun. 2015, 6, 5933. [Google Scholar] [CrossRef] [PubMed]


















| Publisher’s Note: MDPI stays neutral with regard to jurisdictional claims in published maps and institutional affiliations. | 
© 2022 by the authors. Licensee MDPI, Basel, Switzerland. This article is an open access article distributed under the terms and conditions of the Creative Commons Attribution (CC BY) license (https://creativecommons.org/licenses/by/4.0/).
Share and Cite
Florjańczyk, Z.; Rokicki, G.; Parzuchowski, P.G.; Mazurek-Budzyńska, M.; Dębowski, M. Polymeric Materials Based on Carbon Dioxide: A Brief Review of Studies Carried Out at the Faculty of Chemistry, Warsaw University of Technology. Polymers 2022, 14, 718. https://doi.org/10.3390/polym14040718
Florjańczyk Z, Rokicki G, Parzuchowski PG, Mazurek-Budzyńska M, Dębowski M. Polymeric Materials Based on Carbon Dioxide: A Brief Review of Studies Carried Out at the Faculty of Chemistry, Warsaw University of Technology. Polymers. 2022; 14(4):718. https://doi.org/10.3390/polym14040718
Chicago/Turabian StyleFlorjańczyk, Zbigniew, Gabriel Rokicki, Paweł Grzegorz Parzuchowski, Magdalena Mazurek-Budzyńska, and Maciej Dębowski. 2022. "Polymeric Materials Based on Carbon Dioxide: A Brief Review of Studies Carried Out at the Faculty of Chemistry, Warsaw University of Technology" Polymers 14, no. 4: 718. https://doi.org/10.3390/polym14040718
APA StyleFlorjańczyk, Z., Rokicki, G., Parzuchowski, P. G., Mazurek-Budzyńska, M., & Dębowski, M. (2022). Polymeric Materials Based on Carbon Dioxide: A Brief Review of Studies Carried Out at the Faculty of Chemistry, Warsaw University of Technology. Polymers, 14(4), 718. https://doi.org/10.3390/polym14040718
 
         
                                                



 
                        