Additive Manufacturing of Biodegradable Hemp-Reinforced Polybutylene Succinate (PBS) and Its Mechanical Characterization
Abstract
1. Introduction
2. Materials and Additively Manufactured Specimens
2.1. Raw Materials
2.1.1. PBS
2.1.2. Hemp (Particles)
2.2. Reinforced Material—Filaments
2.3. Composite Material Properties
2.4. Specimen Production
3. Experimental Test Series
3.1. Pilot Investigations
3.2. Main Test Series
4. Results and Discussion
4.1. Stress—Strain Behaviour
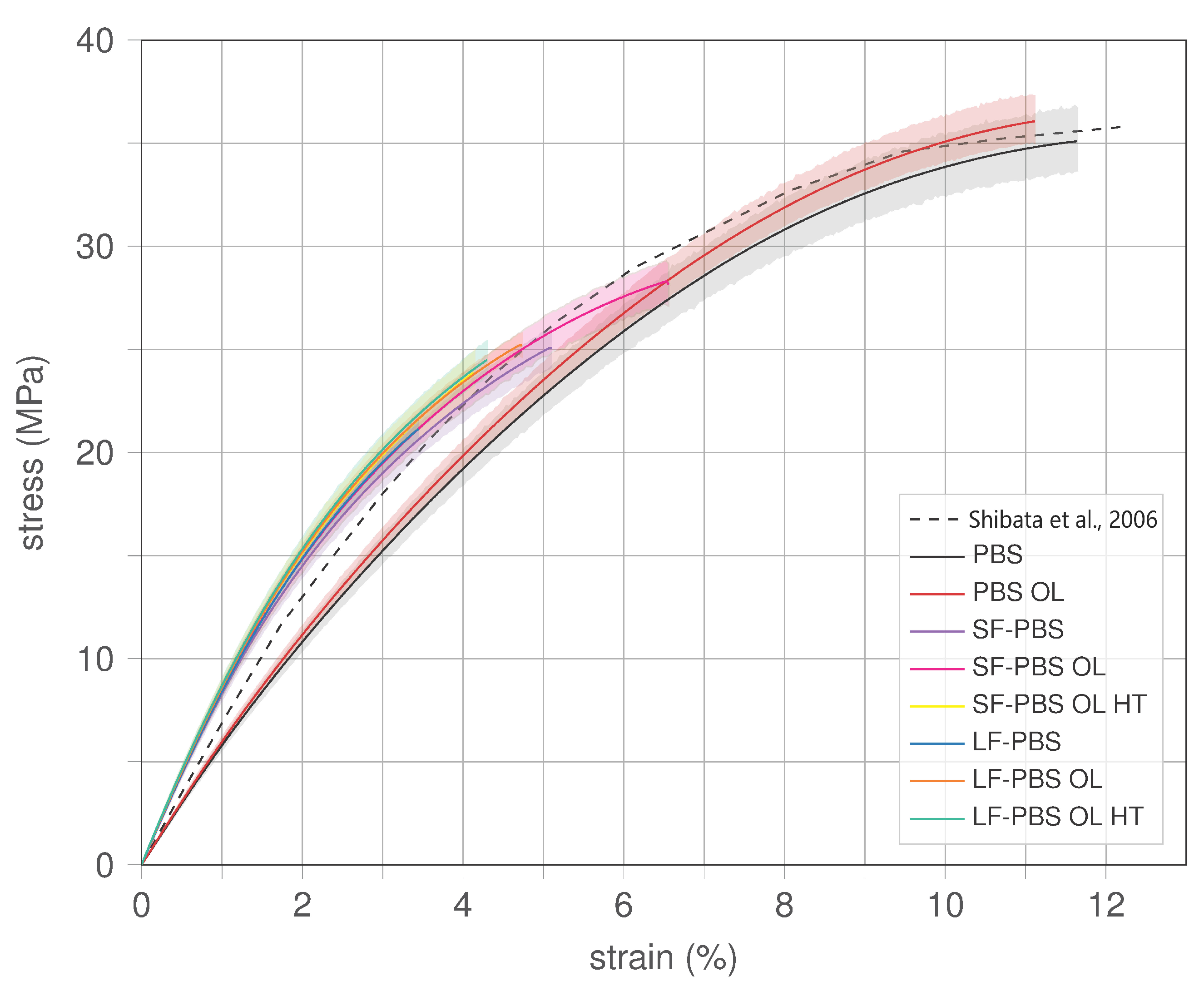
4.1.1. General Observations
4.1.2. Effect of Overlap
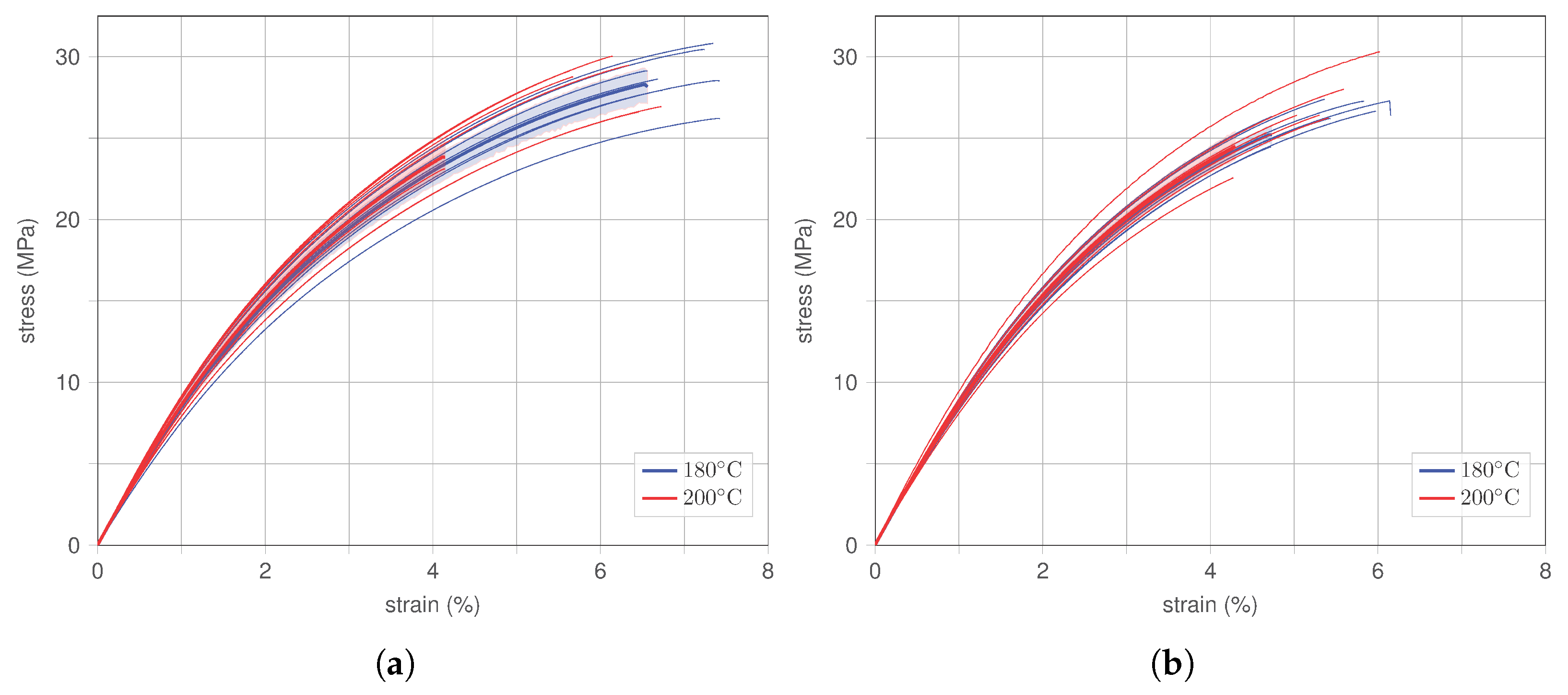
4.1.3. Effect of Printing Temperature
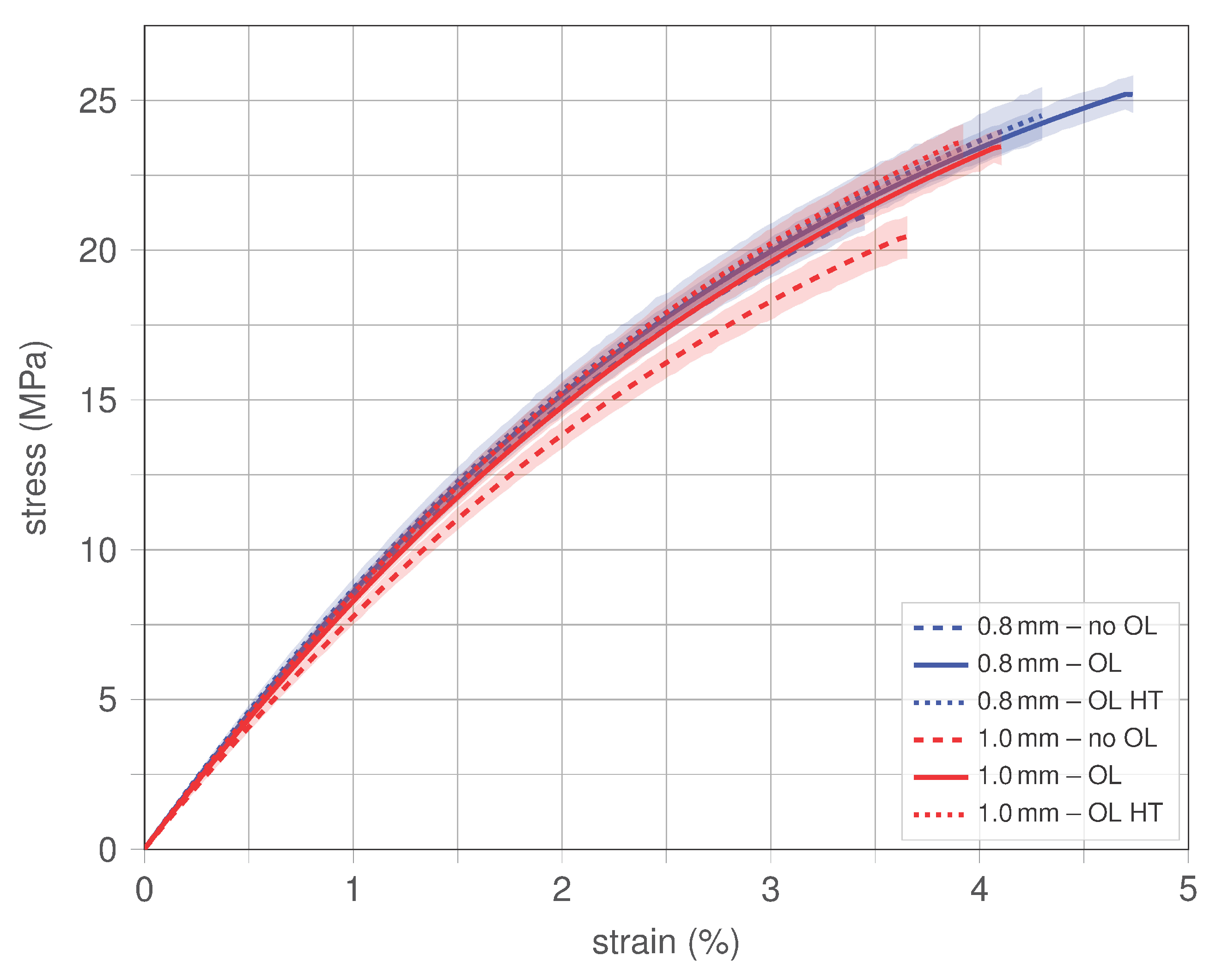
4.1.4. Effect of Nozzle Size
4.2. Stiffness and Strength
5. Conclusions
Author Contributions
Funding
Institutional Review Board Statement
Acknowledgments
Conflicts of Interest
References
- Gebhardt, A.; Kessler, J.; Thurn, L. 3D Printing Understanding Additive Manufacturing, 2nd ed.; Hanser: Munich, Germany, 2019. [Google Scholar]
- Lee, C.H.; Padzil, F.N.B.M.; Lee, S.H.; Ainun, Z.M.A.; Abdullah, L.C. Potential for Natural Fiber Reinforcement in PLA Polymer Filaments for Fused Deposition Modeling (FDM) Additive Manufacturing: A Review. Polymers 2021, 13, 1407. [Google Scholar] [CrossRef] [PubMed]
- Yadav, N.; Richter, T.; Löschke, O.; Abali, B.E.; Auhl, D.; Völlmecke, C. Towards Self-Reinforced PLA Composites for Fused Filament Fabrication. Appl. Sci. 2023, 13, 2637. [Google Scholar] [CrossRef]
- Dave, H.; Davim, J. (Eds.) Fused Deposition Modeling Based 3D Printing; Springer: Cham, Switzerland, 2021. [Google Scholar]
- Ramos, N.; Mittermeier, C.; Kiendl, J. Experimental and numerical investigations on heat transfer in fused filament fabrication 3D-printed specimens. Int. J. Adv. Manuf. Technol. 2022, 118, 1–15. [Google Scholar] [CrossRef]
- Borg, G.; Kiss, S.; Rochman, A. Filament Development for Laser Assisted FFF 3D Printing. J. Manuf. Mater. Process. 2021, 5, 115. [Google Scholar] [CrossRef]
- Jiang, C.; Wang, K.; Jiang, X.; Zhang, C.; Wang, B. Quantitative Investigation of the Process Parameters of Electrohydrodynamic Direct-Writing and Their Effects on Fiber Surface Roughness and Cell Adhesion. Polymers 2020, 12, 2475. [Google Scholar] [CrossRef]
- Habibi, M.; Foroughi, S.; Karamzadeh, V.; Packirisamy, M. Direct sound printing. Nat. Commun. 2022, 13, 1800. [Google Scholar] [CrossRef]
- Gutiérrez, E.; Barreto, J.D.J.; Garcia-Hernandez, S.; Morales, R.; González-Solorzano, M.G. Decrease of Nozzle Clogging through Fluid Flow Control. Metals 2020, 10, 1420. [Google Scholar] [CrossRef]
- Oktavianty, O.; Haruyama, S.; Ishii, Y. Enhancing Droplet Quality of Edible Ink in Single and Multi-Drop Methods by Optimization the Waveform Design of DoD Inkjet Printer. Processes 2022, 10, 91. [Google Scholar] [CrossRef]
- Özen, A.; Auhl, D.; Völlmecke, C.; Kiendl, J.; Abali, B.E. Optimization of Manufacturing Parameters and Tensile Specimen Geometry for Fused Deposition Modeling (FDM) 3D-Printed PETG. Materials 2021, 14, 2556. [Google Scholar] [CrossRef]
- Özen, A.; Abali, B.E.; Völlmecke, C.; Gerstel, J.; Auhl, D. Exploring the Role of Manufacturing Parameters on Microstructure and Mechanical Properties in Fused Deposition Modeling (FDM) Using PETG. Appl. Compos. Mater. 2021, 28, 1799–1828. [Google Scholar] [CrossRef]
- Özen, A.; Auhl, D. Modeling of the mechanical properties of fused deposition modeling (FDM) printed fiber reinforced thermoplastic composites by asymptotic homogenization. Compos. Adv. Mater. 2022, 31, 263498332211322. [Google Scholar] [CrossRef]
- Auhl, D.; Rohnstock, F.; Löschke, O.; Schäfer, K.; Wang, P.; Wagner, M.H. 3D-printing quality in relation to melt flow and fusion behavior of polymer materials. AIP Conf. Proc. 2019, 2107, 030004. [Google Scholar] [CrossRef]
- Elkaseer, A.; Schneider, S.; Scholz, S. Experiment-Based Process Modeling and Optimization for High-Quality and Resource-Efficient FFF 3D Printing. Appl. Sci. 2020, 10, 2899. [Google Scholar] [CrossRef]
- Mochane, M.J.; Magagula, S.I.; Sefadi, J.S.; Mokhena, T.C. A Review on Green Composites Based on Natural Fiber-Reinforced Polybutylene Succinate (PBS). Polymers 2021, 13, 1200. [Google Scholar] [CrossRef]
- Zhang, X.; Liu, Q.; Shi, J.; Ye, H.; Zhou, Q. Distinctive Tensile Properties of the Blends of Poly(l-lactic acid) (PLLA) and Poly(butylene succinate) (PBS). J. Polym. Environ. 2018, 26, 1737–1744. [Google Scholar] [CrossRef]
- Dash, B.N.; Nakamura, M.; Sahoo, S.; Kotaki, M.; Nakai, A.; Hamada, H. Mechanical Properties of Hemp Reinforced Poly(butylene succinate) Biocomposites. J. Biobased Mater. Bioenergy 2008, 2, 273–281. [Google Scholar] [CrossRef]
- Jamadi, A.H.; Razali, N.; Petrů, M.; Taha, M.M.; Muhammad, N.; Ilyas, R.A. Effect of Chemically Treated Kenaf Fibre on Mechanical and Thermal Properties of PLA Composites Prepared through Fused Deposition Modeling (FDM). Polymers 2021, 13, 3299. [Google Scholar] [CrossRef]
- Niang, B.; Schiavone, N.; Askanian, H.; Verney, V.; Ndiaye, D.; Diop, A.B. Development and Characterization of PBSA-Based Green Composites in 3D-Printing by Fused Deposition Modelling. Materials 2022, 15, 7570. [Google Scholar] [CrossRef]
- Aliotta, L.; Seggiani, M.; Lazzeri, A.; Gigante, V.; Cinelli, P. A Brief Review of Poly (Butylene Succinate) (PBS) and Its Main Copolymers: Synthesis, Blends, Composites, Biodegradability, and Applications. Polymers 2022, 14, 844. [Google Scholar] [CrossRef]
- Rafiqah, S.A.; Khalina, A.; Harmaen, A.S.; Tawakkal, I.A.; Zaman, K.; Asim, M.; Nurrazi, M.N.; Lee, C.H. A Review on Properties and Application of Bio-Based Poly(Butylene Succinate). Polymers 2021, 13, 1436. [Google Scholar] [CrossRef]
- Mitsubishi PBS FZ71 Materials Data Sheet. Available online: https://www.mcpp-global.com/fileadmin/mcpp_data/documents/Products/4-Bio/BioPBS_-_AW_PTTMCC_Brochure_2019_A5_.pdf (accessed on 27 March 2023).
- Shibata, M.; Inoue, Y.; Miyoshi, M. Mechanical properties, morphology, and crystallization behavior of blends of poly(l-lactide) with poly(butylene succinate-co-l-lactate) and poly(butylene succinate). Polymer 2006, 47, 3557–3564. [Google Scholar] [CrossRef]
- Liu, M.; Thygesen, A.; Summerscales, J.; Meyer, A.S. Targeted pre-treatment of hemp bast fibres for optimal performance in biocomposite materials: A review. Ind. Crop. Prod. 2017, 108, 660–683. [Google Scholar] [CrossRef]
- Terzopoulou, Z.N.; Papageorgiou, G.Z.; Papadopoulou, E.; Athanassiadou, E.; Reinders, M.; Bikiaris, D.N. Development and study of fully biodegradable composite materials based on poly(butylene succinate) and hemp fibers or hemp shives. Polym. Compos. 2016, 37, 407–421. [Google Scholar] [CrossRef]
- Thomason, J.L.; Vlug, M.A. Influence of fibre length and concentration on the properties of glass fibre-reinforced polypropylene: 1. Tensile and flexural modulus. Compos. Part Appl. Sci. Manuf. 1996, 27, 477–484. [Google Scholar] [CrossRef]
- Faruk, O.; Bledzki, A.K.; Fink, H.P.; Sain, M. Biocomposites reinforced with natural fibers: 2000–2010. Prog. Polym. Sci. 2012, 37, 1552–1596. [Google Scholar] [CrossRef]
- Li, J.; Ben, G.; Yang, J. Fabrication of hemp fiber-reinforced green composites with organoclay-filled poly(butylene succinate) matrix by pultrusion process. Sci. Eng. Compos. Mater. 2014, 21, 289–294. [Google Scholar] [CrossRef]
- Marcuello, C.; Chabbert, B.; Berzin, F.; Bercu, N.B.; Molinari, M.; Aguié-Béghin, V. Influence of Surface Chemistry of Fiber and Lignocellulosic Materials on Adhesion Properties with Polybutylene Succinate at Nanoscale. Materials 2023, 16, 2440. [Google Scholar] [CrossRef]
- Xu, J.; Guo, B.H. Poly(butylene succinate) and its copolymers: Research, development and industrialization. Biotechnol. J. 2010, 5, 1149–1163. [Google Scholar] [CrossRef]
- Barbero, E. Introduction to Composite Materials Design; CRC Press: Boca Raton, FL, USA, 2018. [Google Scholar]
- D30 Committee. Test Method for Tensile Properties of Polymer Matrix Composite Materials; ASTM International: West Conshohocken, PA, USA, 2014. [Google Scholar] [CrossRef]













| Material | Tensile Modulus (MPa) | Tensile Failure Stress (MPa) | Tensile Failure Strain (%) | Density g/cm³ | 
|---|---|---|---|---|
| PBS [22,31] | 300–707 | 20–40 | 15–170 | 1.26 | 
| Hemp fibre [14] | 17.6–66 | 310–886 | 2–4 | 1.4–1.6 | 
| Extrusion Parameters | Screw Speed (rpm) | Temperature Zone (°C) | ||||
|---|---|---|---|---|---|---|
| 1 | 2 | 3 | 4 | 5 | ||
| Twin-screw | 100 | 50 | 120 | 105 | 105 | 100 | 
| Single-screw | 20 | 50 | 100 | 120 | 105 | 100 | 
| Specimen Geometry | |
|---|---|
| Length | 120 mm | 
| Length | 30 mm | 
| Width W | 15 mm | 
| Height H | 2 mm | 
| FFF 3D printer | |
| Printer | PRUSA i3 MK3S+ | 
| Nozzle Diameter | 0.8 mm and 1.0 mm (1.0 mm for LF-PBS) | 
| Quality | |
| Layer Height | 0.4 mm | 
| Initial Layer Height | 0.4 mm | 
| Line Width | 0.4 mm | 
| Walls | |
| Wall Line Count | 0 | 
| Top/Bottom | |
| Top Layers | 0 | 
| Infill | |
| Infill Density | 100% | 
| Infill Line Distance | 0.4 mm and 0.38 mm (0% and 5% overlap) | 
| Infill Pattern | Lines | 
| Infill Line Directions | [90] | 
| Infill Wipe Distance | 0.1 mm | 
| Material | |
| Printing Temperature | 180.0 °C and 200.0 °C | 
| Build Plate Temperature | 85.0 °C | 
| Flow | 100.0% | 
| Speed | |
| Print Speed | 35.0 mm/s | 
| Travel Speed | 120.0 mm/s | 
| z Hop Speed | 10.0 mm/s | 
| Number of Slower Layers | 0 | 
| travel | |
| Enable Retraction | on | 
| Retraction Distance | 0.8 mm | 
| Retraction Speed | 35.0 mm/s | 
| Avoid Printed Parts When Travelling | on | 
| Z Hop When Retracted | on | 
| Z Hop Height | 1.0 mm | 
| Cooling | |
| Enable Print Cooling | off | 
| Specimen Geometry (pilot investigations) | |
|---|---|
| Length | 60 mm | 
| Length | 0–30 mm | 
| Width W | 10 mm | 
| Height H | 2 mm | 
| FFF 3D printer | |
| Printer | PRUSA i3 MK3S+ | 
| Nozzle Diameter | 0.8 mm and 1.0 mm | 
| Quality | |
| Layer Height | 0.3–0.4 mm | 
| Initial Layer Height | 0.2–0.4 mm | 
| Line Width | 0.4 mm | 
| Walls | |
| Wall Line Count | 0–2 | 
| Top/Bottom | |
| Top Layers | 0–2 | 
| Infill | |
| Infill Line Distance | 0.4–0.32 mm (0–20% overlap) | 
| Infill Line Directions | [0] and [90] | 
| Material | |
| Printing Temperature | 175.0–200.0 °C | 
| Build Plate Temperature | 60.0 °C | 
| Speed | |
| Print Speed | 20.0–60.0 mm/s | 
| Travel | |
| Avoid Printed Parts When Travelling | on and off | 
| Cooling | |
| Enable Print Cooling | on and off | 
| Disclaimer/Publisher’s Note: The statements, opinions and data contained in all publications are solely those of the individual author(s) and contributor(s) and not of MDPI and/or the editor(s). MDPI and/or the editor(s) disclaim responsibility for any injury to people or property resulting from any ideas, methods, instructions or products referred to in the content. | 
© 2023 by the authors. Licensee MDPI, Basel, Switzerland. This article is an open access article distributed under the terms and conditions of the Creative Commons Attribution (CC BY) license (https://creativecommons.org/licenses/by/4.0/).
Share and Cite
Dönitz, A.; Köllner, A.; Richter, T.; Löschke, O.; Auhl, D.; Völlmecke, C. Additive Manufacturing of Biodegradable Hemp-Reinforced Polybutylene Succinate (PBS) and Its Mechanical Characterization. Polymers 2023, 15, 2271. https://doi.org/10.3390/polym15102271
Dönitz A, Köllner A, Richter T, Löschke O, Auhl D, Völlmecke C. Additive Manufacturing of Biodegradable Hemp-Reinforced Polybutylene Succinate (PBS) and Its Mechanical Characterization. Polymers. 2023; 15(10):2271. https://doi.org/10.3390/polym15102271
Chicago/Turabian StyleDönitz, Antonia, Anton Köllner, Tim Richter, Oliver Löschke, Dietmar Auhl, and Christina Völlmecke. 2023. "Additive Manufacturing of Biodegradable Hemp-Reinforced Polybutylene Succinate (PBS) and Its Mechanical Characterization" Polymers 15, no. 10: 2271. https://doi.org/10.3390/polym15102271
APA StyleDönitz, A., Köllner, A., Richter, T., Löschke, O., Auhl, D., & Völlmecke, C. (2023). Additive Manufacturing of Biodegradable Hemp-Reinforced Polybutylene Succinate (PBS) and Its Mechanical Characterization. Polymers, 15(10), 2271. https://doi.org/10.3390/polym15102271
 
        

 
       