Experimental and Analytical Studies on Low-Cost Glass-Fiber-Reinforced-Polymer-Composite-Strengthened Reinforced Concrete Beams: A Comparison with Carbon/Sisal Fiber-Reinforced Polymers
Abstract
:1. Introduction
2. Experimental Program
2.1. Material Properties
2.2. Details of Test Specimens
2.3. Instrumentation and Test Setup
2.4. Strengthening Process
3. Experimental Results
3.1. Failure Modes
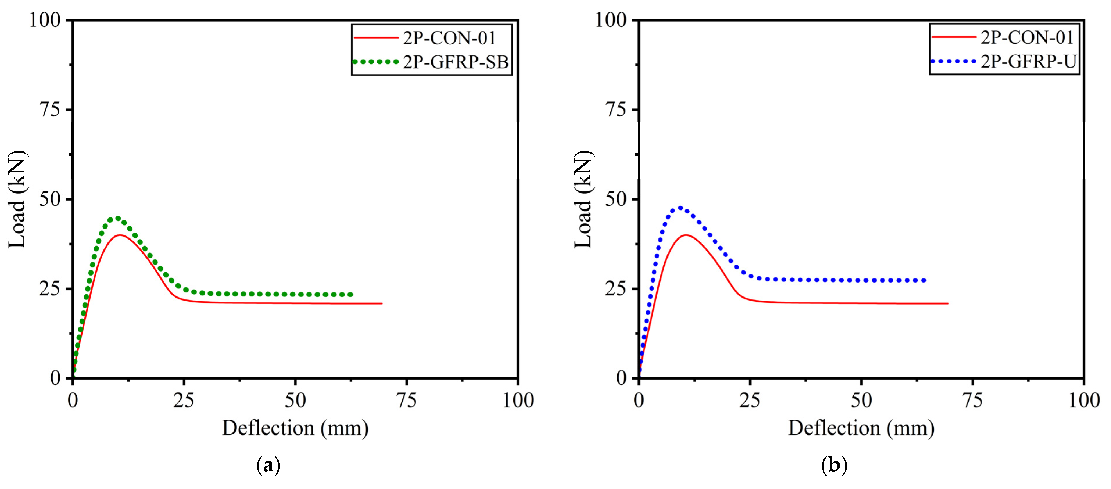
3.2. Load versus Deflection Response
3.3. Improvement in Peak Loads
3.4. Effect of Anchors on Peak Capacity
3.5. Strain Gauge Measurements
4. Analytical Investigations on Shear Capacity of LCGFRP-Strengthened Beams
Comparison of Experimental and Predicted Results
5. Discussions
6. Conclusions
- In three-point bending tests, LC-GFRP-reinforced beams in side-bonded and U-shaped configurations without anchors displayed no shear failure or debonding, whereas beams subjected to four-point bending without anchors exhibited shear failure and debonding of LC-GFRP wraps. Beams strengthened with LC-GFRP wraps and anchors showed varying results, with side-bonded configurations experiencing debonding and shear failure, and U-shaped configurations applied solely to the shear span successfully preventing shear failure, but full-span U-shaped configurations with anchors experiencing shear failure. Notably, the use of these wraps, especially on the tension side, also contributed to flexural capacity, potentially leaving the flexural-to-shear capacity ratio unchanged after strengthening and the member still vulnerable to shear issues.
- The use of LC-GFRP and CFRP applied continuously or as strips on all four sides of the beam effectively prevented shear failure, eliminating the need for additional through-bolt anchors. Among the considered strengthening methods, complete wrapping of the section proved to be the most efficient, followed by the three-sided U-wrap technique, while bonding to only two sides of the beam was the least efficient. Regarding peak capacity enhancement, side-bonded, U-shaped, and U-shaped configurations along the full span with anchors yielded enhancements of 72.11%, 43.66%, and 68.39%, respectively, compared to their counterparts without anchors.
- It is recognized that the performance of U-shaped wraps on an RC member is inferior to that of a fully wrapped member [43]. However, it was established that a combination of a U-shaped configuration in combination with through-bolt anchors yielded an equally satisfactory performance as that imparted by wraps on all four sides, mainly in terms of peak capacity improvement and ductility.
- Existing models were analyzed to predict shear strength enhancements imparted by LC-GFRP for U-shaped with anchors and fully wrapped strip configurations. It is acknowledged that current models give reasonably accurate predictions for the shear contribution of U-shaped LC-GFRP confinement, along with through-bolt anchorage. However, there is a requirement to develop distinct expressions for LC-GFRP confinement, particularly when different configurations other than the U-shape are used.
7. Lessons Learned and Recommendations for Future Research
Author Contributions
Funding
Institutional Review Board Statement
Data Availability Statement
Acknowledgments
Conflicts of Interest
References
- Ejaz, A.; Ruangrassamee, A.; Kruavit, P.; Udomworarat, P.; Wijeyewickrema, A.C. Strengthening of Substandard Lap Splices Using Hollow Steel Section (HSS) Collars. Structures 2022, 46, 128–145. [Google Scholar] [CrossRef]
- AL-Shalif, S.A.H.; Akın, A.; Aksoylu, C.; Hakan Arslan, M. Strengthening of Shear-Critical Reinforced Concrete T-Beams with Anchored and Non-Anchored GFRP Fabrics Applications. Structures 2022, 44, 809–827. [Google Scholar] [CrossRef]
- ACI 318-19; Building Code Requirements for Structural Concrete and Commentary. ACI: Farmington Hills, MI, USA, 2019.
- Özkılıç, Y.O.; Gemi, L.; Madenci, E.; Aksoylu, C. Effects of Stirrup Spacing on Shear Performance of Hybrid Composite Beams Produced by Pultruded GFRP Profile Infilled with Reinforced Concrete. Arch. Civ. Mech. Eng. 2023, 23, 36. [Google Scholar] [CrossRef]
- Karimizadeh, H.; Arabzadeh, A.; Eftekhar, M.R.; Amani Dashlejeh, A. Shear Strengthening of RC Deep Beams with Symmetrically or Asymmetrically Positioned Square Openings Using CFRP Composites and Steel Protective Frames. Adv. Civ. Eng. 2022, 2022, 5352330. [Google Scholar] [CrossRef]
- Mosallam, A.S. Composites in Construction. In Handbook of Materials Selection; John Wiley & Sons, Inc.: New York, NY, USA, 2002; pp. 1369–1420. [Google Scholar]
- Chen, J.F.; Teng, J.G. Shear Capacity of FRP-Strengthened RC Beams: FRP Debonding. Constr. Build. Mater. 2003, 17, 27–41. [Google Scholar] [CrossRef]
- Al-Sulaimani, G.J.; Sharif, A.; Basunbul, I.A.; Baluch, M.H.; Ghaleb, B.N. Shear Repair for Reinforced Concrete by Fiberglass Plate Bonding. ACI Struct. J. 1994, 91, 458–464. [Google Scholar] [CrossRef]
- Khalifa, A.; Nanni, A. Improving Shear Capacity of Existing RC T-Section Beams Using CFRP Composites. Cem. Concr. Compos. 2000, 22, 165–174. [Google Scholar] [CrossRef]
- Chaallal, O.; Nollet, M.J.; Perraton, D. Strengthening of Reinforced Concrete Beams with Externally Bonded Fiber-Reinforced-Plastic Plates: Design Guidelines for Shear and Flexure. Can. J. Civ. Eng. 1998, 25, 692–704. [Google Scholar] [CrossRef]
- Joyklad, P.; Waqas, H.A.; Hafeez, A.; Ali, N.; Ejaz, A.; Hussain, Q.; Khan, K.; Sangthongtong, A.; Saingam, P. Experimental Investigations of Cement Clay Interlocking Brick Masonry Structures Strengthened with CFRP and Cement-Sand Mortar. Infrastructures 2023, 8, 59. [Google Scholar] [CrossRef]
- Teng, J.; Chen, J.; Smith, S.; Lam, L. FRP: Strengthened RC Structures; Wiley-VCH: Weinheim, Germany, 2002. [Google Scholar]
- Chen, J.F.; Teng, J.G. Anchorage Strength Models for FRP and Steel Plates Bonded to Concrete. J. Struct. Eng. 2001, 127, 784–791. [Google Scholar] [CrossRef]
- Chen, G.M.; Zhang, Z.; Li, Y.L.; Li, X.Q.; Zhou, C.Y. T-Section RC Beams Shear-Strengthened with Anchored CFRP U-Strips. Compos. Struct. 2016, 144, 57–79. [Google Scholar] [CrossRef]
- Chaiyasarn, K.; Poovarodom, N.; Ejaz, A.; Ng, A.W.; Hussain, Q.; Saingam, P.; Mohamad, H.; Joyklad, P. Influence of natural fiber rope wrapping techniques on the compressive response of recycled aggregate concrete circular columns. Results Eng. 2023, 19, 101291. [Google Scholar] [CrossRef]
- Concrete Society. TR55 Design Guidance for Strengthening Concrete Structures Using Fibre Composite Materials: Report of a Concrete Society Working Party; Concrete Society: Surrey, UK, 2012. [Google Scholar]
- Teng, J.G.; Smith, S.T.; Yao, J.; Chen, J.F. Intermediate Crack-Induced Debonding in RC Beams and Slabs. Constr. Build. Mater. 2003, 17, 447–462. [Google Scholar] [CrossRef]
- Matthys, S. Structural Behaviour and Design of Concrete Members Strengthened with Externally Bonded FRP Reinforcement. Ph.D. Thesis, Ghent University, Ghent, Belgium, 2000. [Google Scholar]
- Fanning, P.J.; Kelly, O. Ultimate Response of RC Beams Strengthened with CFRP Plates. J. Compos. Constr. 2001, 5, 122–127. [Google Scholar] [CrossRef]
- Ceroni, F.; Pecce, M. Design Provisions for Crack Spacing and Width in RC Elements Externally Bonded with FRP. Compos. B Eng. 2009, 40, 17–28. [Google Scholar] [CrossRef]
- Suparp, S.; Ejaz, A.; Khan, K.; Hussain, Q.; Joyklad, P.; Saingam, P. Load-Bearing Performance of Non-Prismatic RC Beams Wrapped with Carbon FRP Composites. Sensors 2023, 23, 5409. [Google Scholar] [CrossRef]
- Almasabha, G.; Murad, Y.; Alghossoon, A.; Saleh, E.; Tarawneh, A. Sustainability of Using Steel Fibers in Reinforced Concrete Deep Beams without Stirrups. Sustainability 2023, 15, 4721. [Google Scholar] [CrossRef]
- Islam, M.R.; Mansur, M.A.; Maalej, M. Shear Strengthening of RC Deep Beams Using Externally Bonded FRP Systems. Cem. Concr. Compos. 2005, 27, 413–420. [Google Scholar] [CrossRef]
- Triantifillou, T.C. Shear Strengthening of Reinforced Concrete Beams Using Epoxy-Bonded FRP Composites. ACI Struct. J. 1998, 95, 107–115. [Google Scholar]
- Monti, G.; Liotta, M. Tests and Design Equations for FRP-Strengthening in Shear. Constr. Build. Mater. 2007, 21, 799–809. [Google Scholar] [CrossRef]
- Baggio, D.; Soudki, K.; Noël, M. Strengthening of Shear Critical RC Beams with Various FRP Systems. Constr. Build. Mater. 2014, 66, 634–644. [Google Scholar] [CrossRef]
- Boyd, A.J. Rehabilitation of Reinforced Concrete Beams with Sprayed Glass Fiber Reinforced Polymers. Ph.D. Thesis, The University of British Columbia, Vancouver, BC, Canada, 2000. [Google Scholar]
- Arslan, M.H.; Yazman, Ş.; Hamad, A.A.; Aksoylu, C.; Özkılıç, Y.O.; Gemi, L. Shear Strengthening of Reinforced Concrete T-Beams with Anchored and Non-Anchored CFRP Fabrics. Structures 2022, 39, 527–542. [Google Scholar] [CrossRef]
- Aksoylu, C.; Yazman, Ş.; Özkılıç, Y.O.; Gemi, L.; Arslan, M.H. Experimental Analysis of Reinforced Concrete Shear Deficient Beams with Circular Web Openings Strengthened by CFRP Composite. Compos. Struct. 2020, 249, 112561. [Google Scholar] [CrossRef]
- Soleimani, S.M.; Banthia, N. Shear Strengthening of RC Beams Using Sprayed Glass Fiber Reinforced Polymer. Adv. Civ. Eng. 2012, 2012, 635176. [Google Scholar] [CrossRef]
- Hussain, Q.; Pimanmas, A. Shear Strengthening of RC Deep Beams with Sprayed Fibre-Reinforced Polymer Composites (SFRP) and Anchoring Systems: Part 1. Experimental Study. Eur. J. Environ. Civ. Eng. 2015, 20, 79–107. [Google Scholar] [CrossRef]
- Hussain, Q.; Pimanmas, A. Shear Strengthening of RC Deep Beams with Openings Using Sprayed Glass Fiber Reinforced Polymer Composites (SGFRP): Part 1. Experimental Study. KSCE J. Civ. Eng. 2015, 19, 2121–2133. [Google Scholar] [CrossRef]
- Yoddumrong, P.; Rodsin, K.; Katawaethwarag, S. Seismic Strengthening of Low-Strength RC Concrete Columns Using Low-Cost Glass Fiber Reinforced Polymers (GFRPs). Case Stud. Constr. Mater. 2020, 13, e00383. [Google Scholar] [CrossRef]
- Rodsin, K.; Hussain, Q.; Suparp, S.; Nawaz, A. Compressive Behavior of Extremely Low Strength Concrete Confined with Low-Cost Glass FRP Composites. Case Stud. Constr. Mater. 2020, 13, e00452. [Google Scholar] [CrossRef]
- Rodsin, K.; Ali, N.; Joyklad, P.; Chaiyasarn, K.; Al Zand, A.W.; Hussain, Q. Improving Stress-Strain Behavior of Waste Aggregate Concrete Using Affordable Glass Fiber Reinforced Polymer (GFRP) Composites. Sustainability 2022, 14, 6611. [Google Scholar] [CrossRef]
- Joyklad, P.; Saingam, P.; Ali, N.; Ejaz, A.; Hussain, Q.; Khan, K.; Chaiyasarn, K. Low-Cost Fiber Chopped Strand Mat Composites for Compressive Stress and Strain Enhancement of Concrete Made with Brick Waste Aggregates. Polymers 2022, 14, 4714. [Google Scholar] [CrossRef]
- Haroon, M.; Moon, J.S.; Kim, C. Performance of Reinforced Concrete Beams Strengthened with Carbon Fiber Reinforced Polymer Strips. Materials 2021, 14, 5866. [Google Scholar] [CrossRef]
- Kim, Y.; Quinn, K.; Satrom, N.; Garcia, J. Shear Strengthening of Reinforced and Prestressed Concrete Beams Using Carbon Fiber Reinforced Polymer (CFRP) Sheets and Anchors; National Academies: Washington, DC, USA, 2012. [Google Scholar]
- ASTM D3013-13; Standard Specification for Epoxy Molding Compounds. ASTM International: West Conshohocken, PA, USA, 2021.
- Lima, P.; Santos, R.; Ferreira, S. Characterization and Treatment of Sisal Fiber Residues for Cement-Based Composite Application. Eng. Agrícola 2014, 34, 812–825. [Google Scholar] [CrossRef]
- Xian, G.; Guo, R.; Li, C. Combined effects of sustained bending loading, water immersion and fiber hybrid mode on the mechanical properties of carbon/glass fiber reinforced polymer composite. Compos. Struct. 2022, 281, 115060. [Google Scholar] [CrossRef]
- Wu, J.; Zhu, Y.; Li, C. Experimental Investigation of Fatigue Capacity of Bending-Anchored CFRP Cables. Polymers 2023, 15, 2483. [Google Scholar] [CrossRef] [PubMed]
- ACI 440.2R-17; Guide for the Design and Construction of Externally Bonded FRP Systems for Strengthening Concrete Structures. ACI Committee: Farmington Hills, MI, USA, 2017.
- Chen, J.F.; Teng, J.G. Shear Capacity of Fiber-Reinforced Polymer-Strengthened Reinforced Concrete Beams: Fiber Reinforced Polymer Rupture. J. Struct. Eng. 2003, 129, 615–625. [Google Scholar] [CrossRef]
- TEC 18; Turkey: New Building Code for Earthquake Resilience. Ministry of Interior, Disaster and Emergency Management Authority: Ankara, Turkey, 2018.
- CEP-FIB. Fib TG 9.3 Externally Bonded FRP Reinforcement for RC Structures; CEP-FIB: Lausanne, Switzerland, 2001. [Google Scholar]

























| Composite | Ultimate Strength (MPa) | Ultimate Strain (%) | Elastic Modulus (GPa) |
|---|---|---|---|
| Epoxy | 17.20 | 0.63 | 2.72 |
| LC-GFRP | 377.64 | 2.04 | 18.70 |
| CFRP | 350.00 | 1.50 | 250.00 |
| Sisal | 79.43 | 5.65 | 13.79 |
| Group | Beam Type | Beams | Fiber | Fiber Layers | Anchor |
|---|---|---|---|---|---|
| A | Type-01 | 1P-CON | - | - | - |
| 1P-GFRP-SB | GFRP | 2 Layers | No | ||
| 1P-GFRP-U | GFRP | 2 Layers | No | ||
| 2P-CON-01 | - | - | - | ||
| 2P-GFRP-SB | GFRP | 2 Layers | No | ||
| 2P-GFRP-U | GFRP | 2 Layers | No | ||
| 2P-GFRP-UF | GFRP | 2 Layers | No | ||
| B | Type-02 | 2P-CON-02 | - | - | - |
| 2P-GFRP-SB-A | GFRP | 2 Layers | Yes | ||
| 2P-GFRP-SBF-A | GFRP | 2 Layers | Yes | ||
| 2P-GFRP-U-A | GFRP | 2 Layers | Yes | ||
| 2P-GFRP-UF-A | GFRP | 2 Layers | Yes | ||
| 2P-GFRP-SW | GFRP | 2 Layers | Yes | ||
| 2P-GFRP-FW | GFRP | 2 Layers | No | ||
| 2P-CFRP-SB-A | CFRP | 1 Layer | Yes | ||
| 2P-CFRP-SW | CFRP | 1 Layer | No | ||
| 2P-SISAL-SB-A | Sisal | 2 Layers | Yes |
| Beams | Shear Capacity (kN) | Increase in Capacity (%) | Failure Mode | Dissipated Energy (kN-mm) | Increase in Dissipated Energy (%) | Initial Stiffness (kN/mm) |
|---|---|---|---|---|---|---|
| 1P-CON | 39.50 | - | Shear failure | 1618 | - | 5.04 |
| 1P-GFRP-SB | 45.50 | 15.18 | Flexural failure, no debonding | 3075 | 90 | 5.57 |
| 1P-GFRP-U | 49.40 | 25.06 | Flexural failure, no debonding | 3460 | 114 | 5.80 |
| 2P-CON-01 | 42.35 | - | Shear failure | 1669 | - | 5.92 |
| 2P-GFRP-SB | 47.46 | 7.22 | Shear failure, debonding | 1707 | 2 | 8.50 |
| 2P-GFRP-U | 50.44 | 20.16 | Shear failure, debonding | 2009 | 20 | 8.70 |
| 2P-GFRP-UF | 56.06 | 41.91 | Shear failure, debonding | 2180 | 31 | 10.74 |
| 2P-CON-02 | 36.20 | - | Shear failure | 431 | - | 8.93 |
| 2P-GFRP-SB-A | 56.57 | 78.33 | Debonding at one end, shear cracks | 1527 | 254 | 8.60 |
| 2P-GFRP-SBF-A | 56.83 | 56.99 | Debonding at one end, shear cracks | 953 | 121 | 8.52 |
| 2P-GFRP-U-A | 59.30 | 63.82 | Flexural, no debonding | 2253 | 423 | 8.71 |
| 2P-GFRP-UF-A | 76.16 | 110.30 | Shear failure, debonding | 1643 | 281 | 8.86 |
| 2P-GFRP-SW | 63.02 | 74.08 | Flexural, no debonding | 2279 | 429 | 8.15 |
| 2P-GFRP-FW | 59.64 | 64.76 | Flexural, no debonding | 2945 | 583 | 8.00 |
| 2P-CFRP-SB-A | 49.19 | 35.88 | Shear failure | 908 | 111 | 8.57 |
| 2P-CFRP-SW | 62.15 | 71.68 | Flexural, no debonding, concrete crushing | 4562 | 959 | 8.06 |
| 2P-SISAL-SB-A | 64.56 | 56.27 | Shear failure, no debonding | 1506 | 249 | 9.06 |
| Reference | General Expression | Full Wrapping Case | Comments |
|---|---|---|---|
| ACI 440.2R-17 [43] | Only the case of full wrapping is considered, as no delamination was observed in U-shaped configuration with anchors. for continuous wrapping. | ||
| Chen and Teng [44] | Fracture mechanics-based model. | ||
| TEC-18 [45] | Does not account for side-bonded configuration. | ||
| FIB-TG 9.3 [46] | for continuous wrapping. in GPa. |
| Beam | (kN) | ACI 440.2R-17 | Chen and Teng | TEC-18 | fib-TG 9.3 | |||||||
|---|---|---|---|---|---|---|---|---|---|---|---|---|
(kN) | (kN) | (kN) | (kN) | |||||||||
| 2P-GFRP-U-A | 23.10 | 24.46 | 1.06 | 0.004 | 20.14 | 0.87 | - | - | 0.004 | 24.06 | 1.04 | 0.009 |
| 2P-GFRP-SW | 25.94 | 12.23 | 0.47 | 10.09 | 0.39 | 8.89 | 0.34 | 14.81 | 0.57 | |||
Disclaimer/Publisher’s Note: The statements, opinions and data contained in all publications are solely those of the individual author(s) and contributor(s) and not of MDPI and/or the editor(s). MDPI and/or the editor(s) disclaim responsibility for any injury to people or property resulting from any ideas, methods, instructions or products referred to in the content. |
© 2023 by the authors. Licensee MDPI, Basel, Switzerland. This article is an open access article distributed under the terms and conditions of the Creative Commons Attribution (CC BY) license (https://creativecommons.org/licenses/by/4.0/).
Share and Cite
Rodsin, K.; Ejaz, A.; Hussain, Q.; Parichatprecha, R. Experimental and Analytical Studies on Low-Cost Glass-Fiber-Reinforced-Polymer-Composite-Strengthened Reinforced Concrete Beams: A Comparison with Carbon/Sisal Fiber-Reinforced Polymers. Polymers 2023, 15, 4027. https://doi.org/10.3390/polym15194027
Rodsin K, Ejaz A, Hussain Q, Parichatprecha R. Experimental and Analytical Studies on Low-Cost Glass-Fiber-Reinforced-Polymer-Composite-Strengthened Reinforced Concrete Beams: A Comparison with Carbon/Sisal Fiber-Reinforced Polymers. Polymers. 2023; 15(19):4027. https://doi.org/10.3390/polym15194027
Chicago/Turabian StyleRodsin, Kittipoom, Ali Ejaz, Qudeer Hussain, and Rattapoohm Parichatprecha. 2023. "Experimental and Analytical Studies on Low-Cost Glass-Fiber-Reinforced-Polymer-Composite-Strengthened Reinforced Concrete Beams: A Comparison with Carbon/Sisal Fiber-Reinforced Polymers" Polymers 15, no. 19: 4027. https://doi.org/10.3390/polym15194027
APA StyleRodsin, K., Ejaz, A., Hussain, Q., & Parichatprecha, R. (2023). Experimental and Analytical Studies on Low-Cost Glass-Fiber-Reinforced-Polymer-Composite-Strengthened Reinforced Concrete Beams: A Comparison with Carbon/Sisal Fiber-Reinforced Polymers. Polymers, 15(19), 4027. https://doi.org/10.3390/polym15194027
